Light Exposure Effects on the DC Kink of AlGaN/GaN HEMTs
Abstract
:1. Introduction
2. The DUTs and the Optical Setup
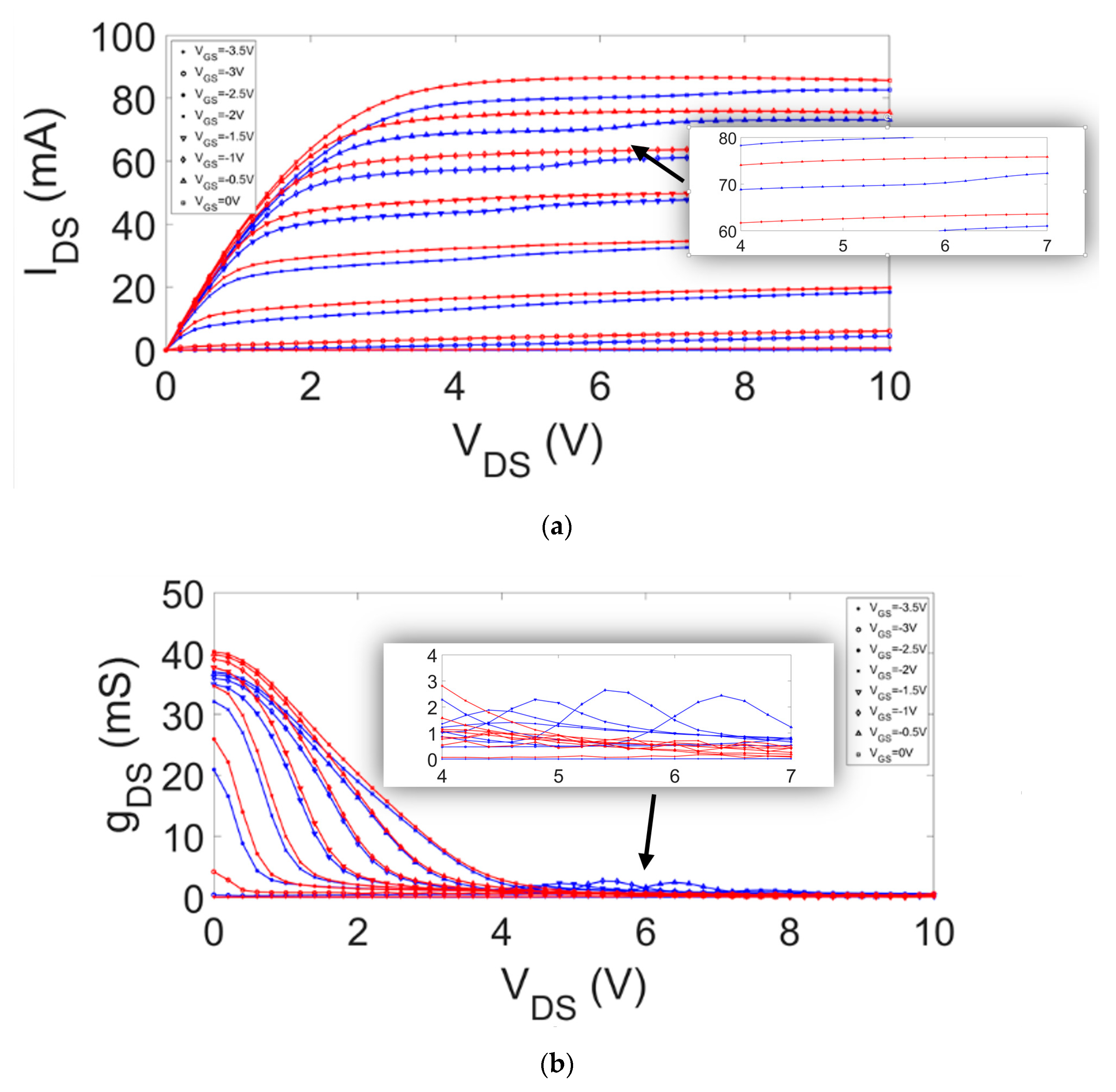
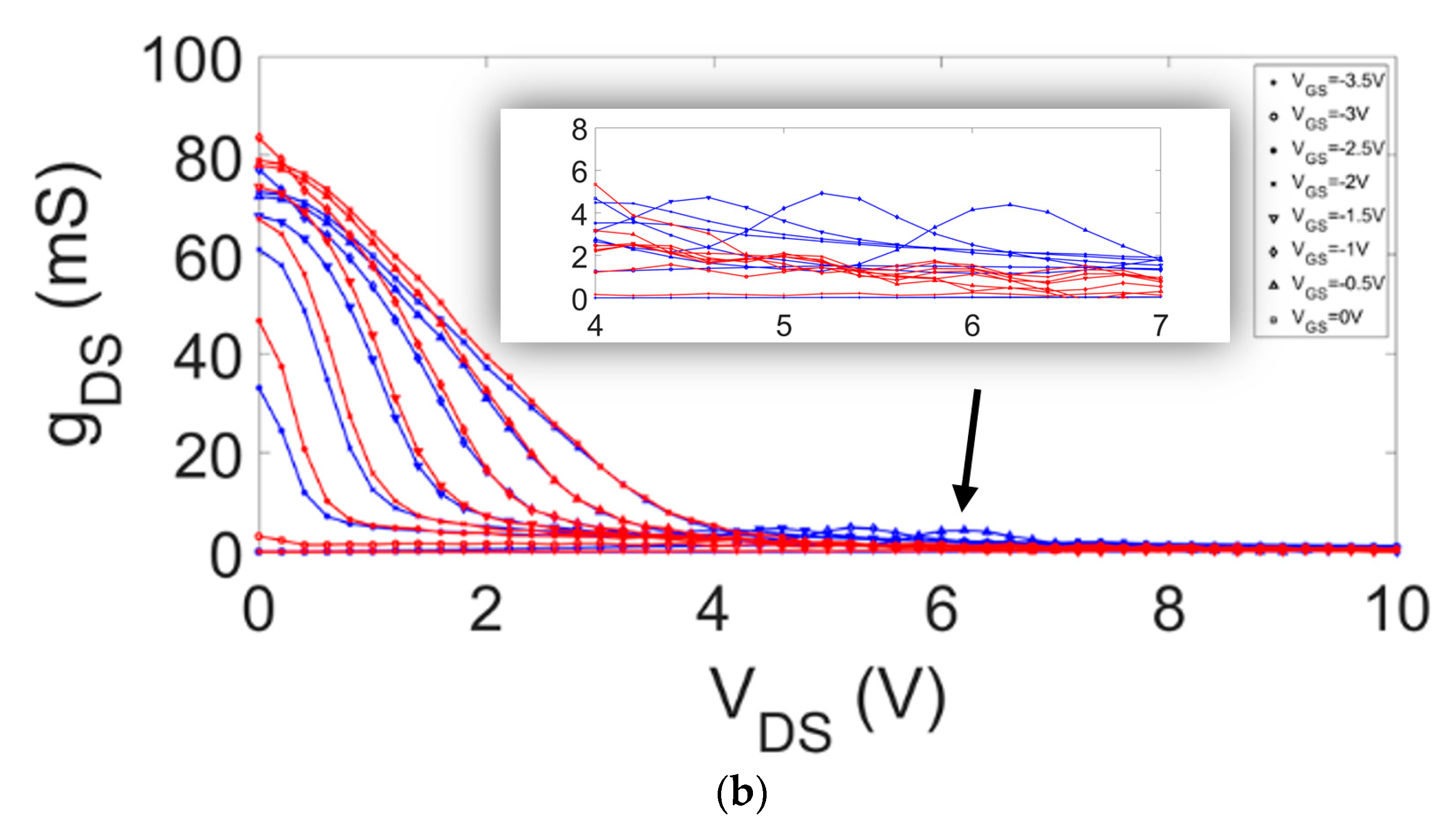
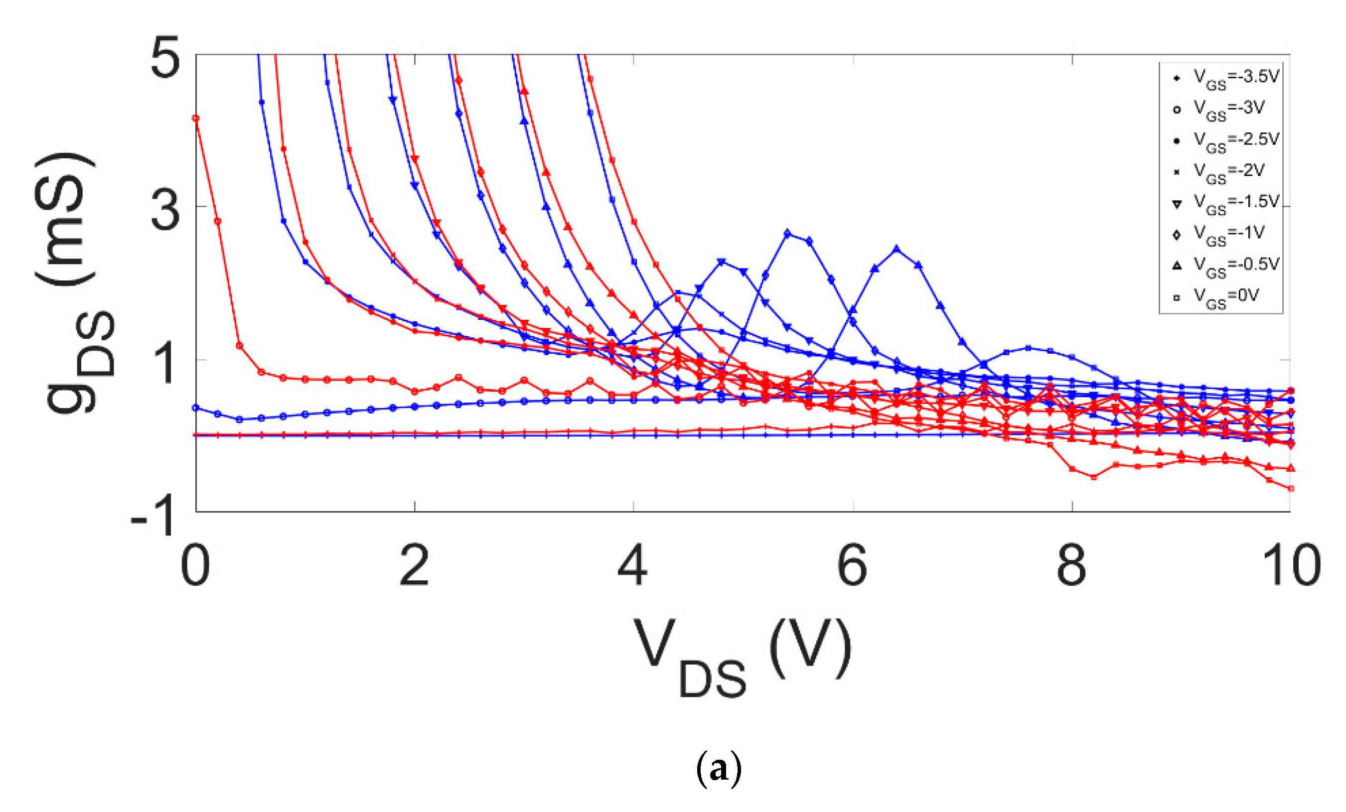
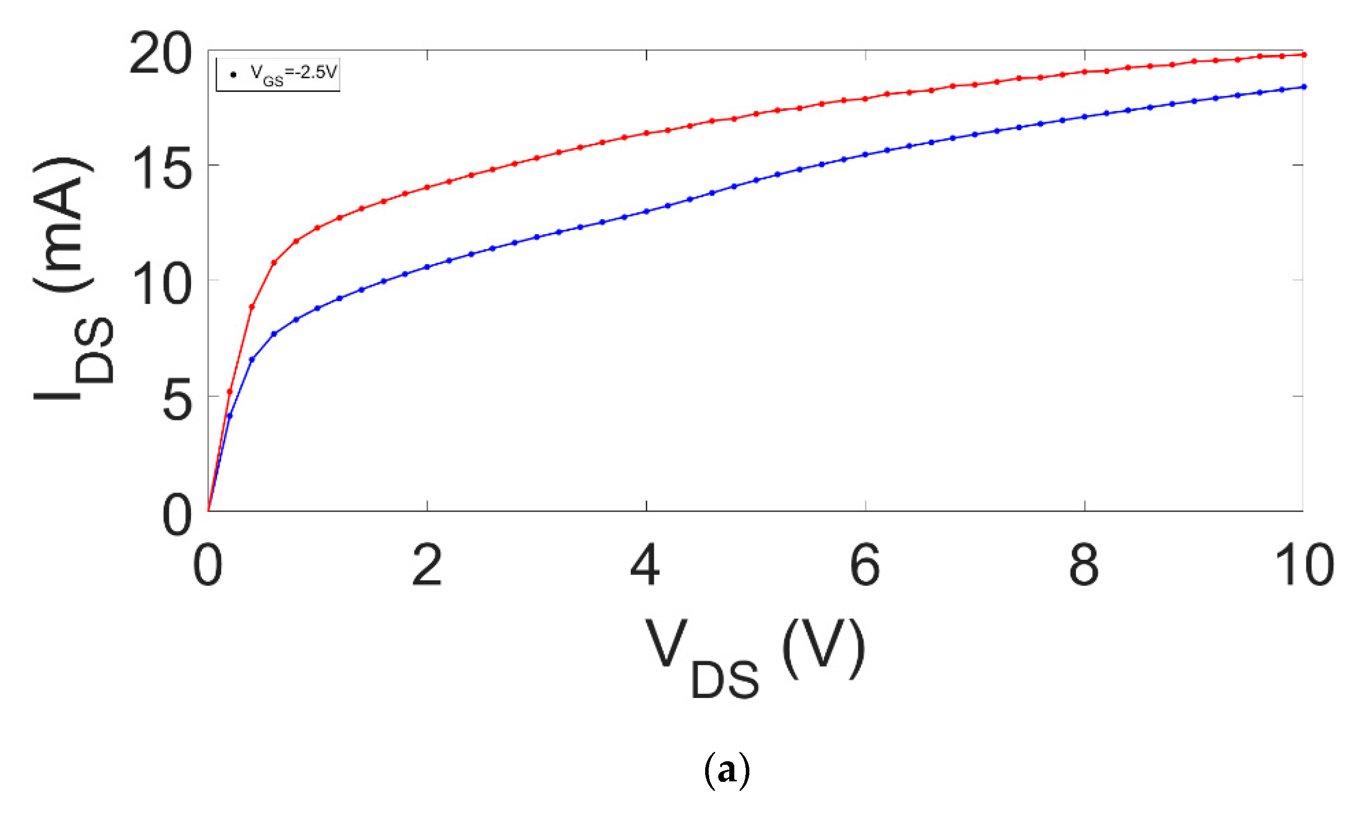
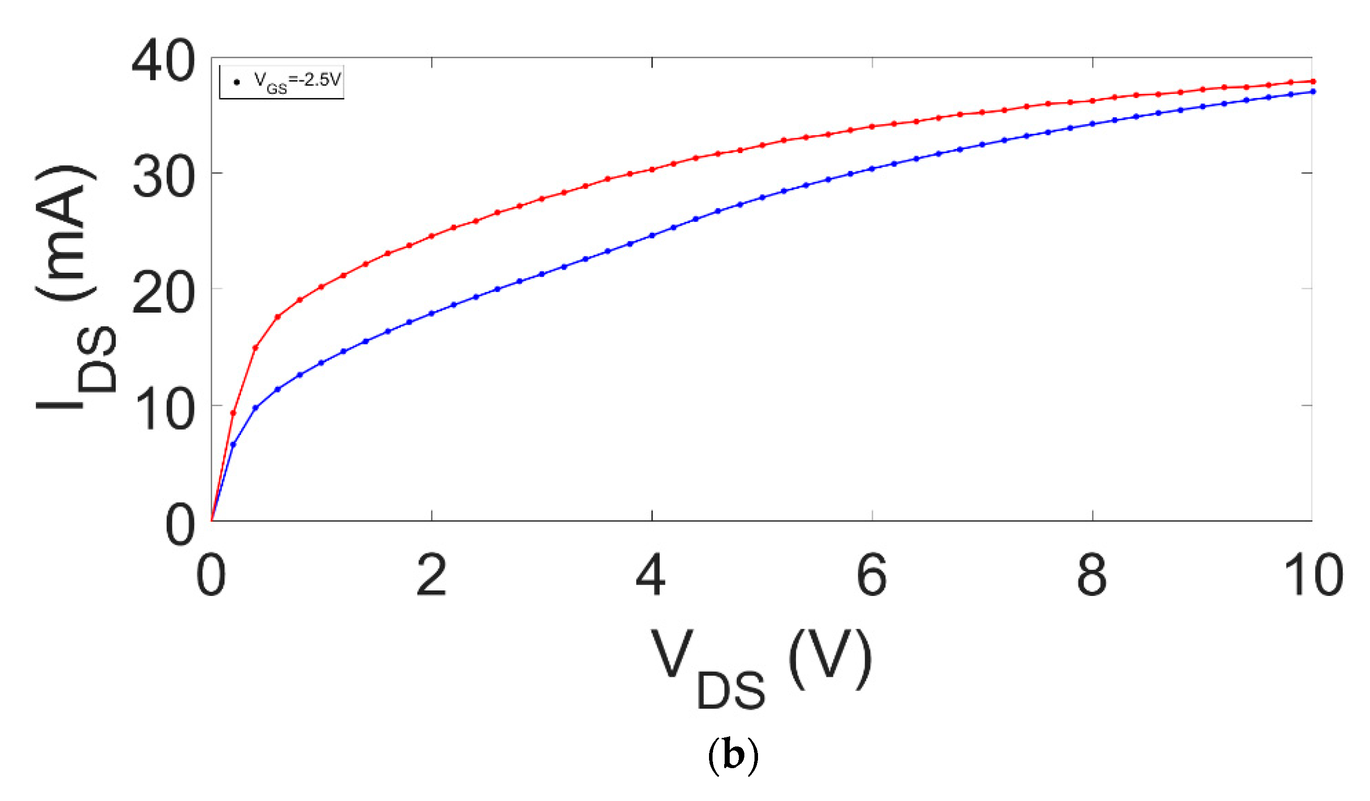
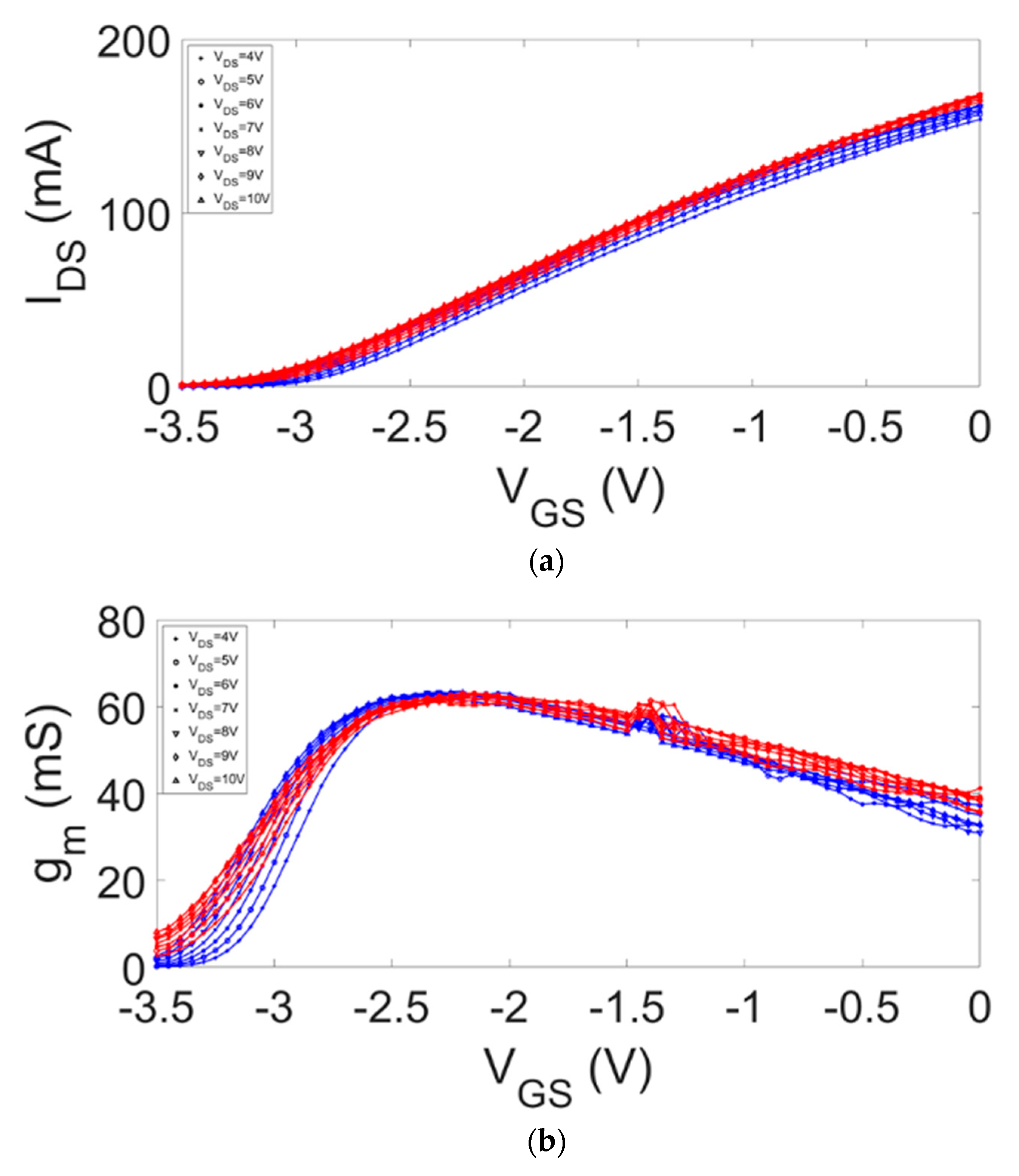
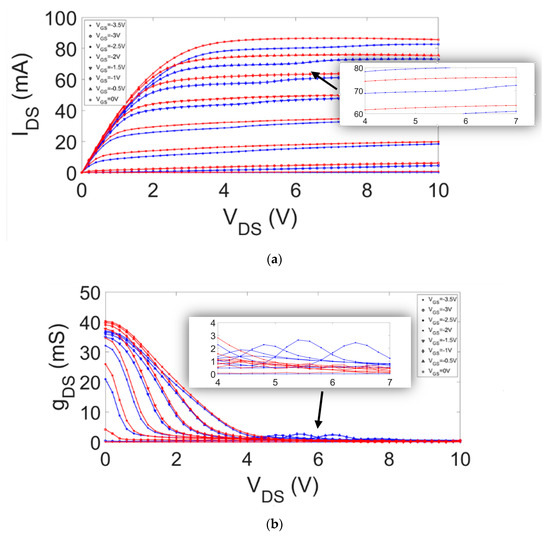
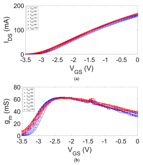
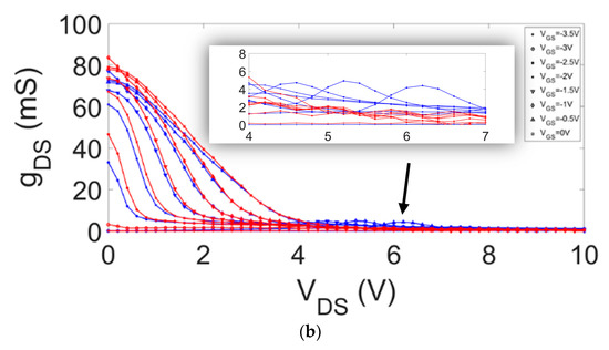
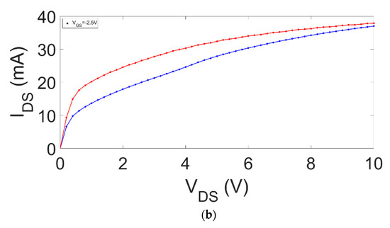
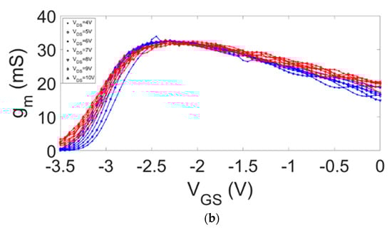
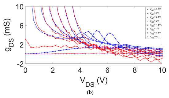
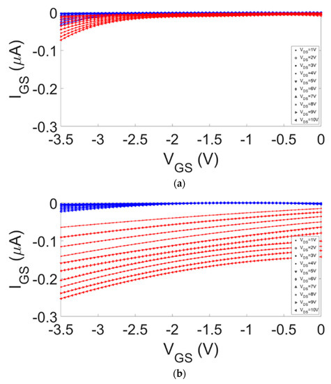
3. AlGaN/GaN HEMTs under Light Exposure
4. Conclusions
Author Contributions
Funding
Conflicts of Interest
References
- Fujiwaraa, M.; Sasakia, M.; Nagatab, H.; Matsuo, H. Optical control of low frequency noise behavior in cryogenic GaAs junction field effect transistor. Cryogenics 2009, 49, 626–629. [Google Scholar] [CrossRef]
- Caddemi, A.; Cardillo, E. Optical control of gain amplifiers at microwave frequencies. In Proceedings of the 2017 Computing and Electromagnetics International Workshop (CEM), Barcelona, Spain, 21–24 June 2017. [Google Scholar]
- Meneghesso, G.; Zanon, F.; Uren, M.J.; Zanoni, E. Anomalous kink effect in GaN high electron mobility transistors. IEEE Electron Device Lett. 2009, 30, 100–102. [Google Scholar] [CrossRef]
- Liang, Y.; Jia, L.; He, Z.; Fan, Z.; Zhang, Y.; Yang, F. The study of the contribution of the surface and bulk traps to the dynamic Rdson in AlGaN/GaN HEMT by light illumination. Appl. Phys. Lett. 2016, 109, 182103–182106. [Google Scholar] [CrossRef]
- Caddemi, A.; Cardillo, E.; Salvo, G.; Patanè, S. Microwave effects of UV light exposure of a GaN HEMT: Measurements and model extraction. Microelectron. Reliab. 2016, 65, 310–317. [Google Scholar] [CrossRef]
- Somerville, M.H.; del Álamo, J.A.; Hoke, W. Direct correlation between impact ionization and the kink effect in InAlAs/InGaAs HEMTs. IEEE Electron Device Lett. 1996, 17, 473–475. [Google Scholar] [CrossRef]
- Webster, R.T.; Wu, S.; Anwar, A.F.M. Impact ionization in InAlAs/InGaAs/InAlAs HEMTs. IEEE Electron Device Lett. 2000, 21, 1935. [Google Scholar] [CrossRef]
- Cuerdo, R.; Pei, Y.; Chen, Z.; Keller, S.; DenBaars, S.P.; Calle, F.; Mishra, U.K. The kink effect at cryogenic temperatures in deep submicron AlGaN/GaN HEMTs. IEEE Electron Device Lett. 2009, 30, 209–212. [Google Scholar] [CrossRef]
- Birafane, A.; Aflaki, P.; Kouki, A.B.; Ghannouchi, F.M. Enhanced DC model for GaN HEMT transistors with built-in thermal and trapping effects. Solid State Electron. 2012, 76, 77–83. [Google Scholar] [CrossRef]
- Jarndal, A.; Ghannouchi, F.M. Improved modeling of GaN HEMTs for predicting thermal and trapping-induced-kink effects. Solid State Electron. 2016, 123, 19–25. [Google Scholar] [CrossRef]
- Kaushik, J.K.; Balakrishnan, V.R.; Panwar, B.S. Muralidharan On the origin of kink effect in current–voltage characteristics of AlGaN/GaN high electron mobility transistors. IEEE Trans. Electron Devices 2013, 60, 3351–3357. [Google Scholar] [CrossRef]
- Singh, M.; Uren, M.J.; Martin, T.; Karboyan, S.; Chandrasekar, H.; Kuball, M. Kink in AlGaN/GaN-HEMTs: Floating buffer model. IEEE Trans. Electron Devices 2018, 65, 374653. [Google Scholar] [CrossRef]
- Brar, B.; Boutros, K.; DeWames, R.E.; Tilak, V.; Shealy, R.; Eastman, L. Impact ionization in high performance AlGaN/GaN HEMTs. In Proceedings of the IEEE Lester Eastman Conference on High Performance Devices, Newark, DE, USA, 6–8 August 2002. [Google Scholar]
- Caddemi, A.; Cardillo, E.; Crupi, G. Light activation of noise at microwave frequencies: A study on scaled GaAs HEMT’s. IET Circ. Device Syst. 2018, 12, 242–248. [Google Scholar] [CrossRef]
- Takanashi, Y.; Takahata, K.; Muramoto, Y. Characteristics of InAlAs/InGaAs high-electron mobility transistors under illumination with modulated light. IEEE Trans. Electron Devices 1999, 46, 2271–2277. [Google Scholar] [CrossRef]
- Caddemi, A.; Cardillo, E.; Crupi, G. Comparative Analysis of Microwave Low-Noise Amplifiers under Laser Illumination. Microw. Opt. Technol. Lett. 2016, 58, 2437–2443. [Google Scholar] [CrossRef]
- Chiu, H.-C.; Lin, C.-K.; Lin, C.-W.; Chen, M.-Y. Enhanced optical responsivity of InAlAs/InGaAs metamorphic high mobility electron mobility using indium tin oxide transparent gate technology. Appl. Phys. Lett. 2008, 93, 43506–43508. [Google Scholar] [CrossRef]
- Caddemi, A.; Cardillo, E.; Patanè, S.; Triolo, C. An accurate experimental investigation of an optical sensing microwave amplifier. IEEE Sens. J. 2018, 18, 9214–9221. [Google Scholar] [CrossRef]
- Osinski, M.; Eliseev, P.G.; Perlin, P.; Lee, J.; Sato, H.; Sugahara, T.; Naoi, Y.; Sakai, S. Anomalous temperature behavior and band tailing in InGaN/GaN heterostructures grown on sapphire by MOCVD. In Proceedings of the Conference on Lasers and Electro-Optics Europe-Technical Digest, San Francisco, CA, USA, 3–8 May 1998. [Google Scholar]
- Turkulets, Y.; Shalisha, I. Franz-Keldysh effect in semiconductor built-in fields: Doping concentration space charge region characterization. J. Appl. Phys. 2018, 124, 075102. [Google Scholar] [CrossRef]
- Šantìc, B.; Scholz, F. On the evaluation of optical parameters of a thin semiconductor film from transmission spectra, and application to GaN films. Meas. J. Technol. 2008, 19, 105303. [Google Scholar] [CrossRef]












© 2019 by the authors. Licensee MDPI, Basel, Switzerland. This article is an open access article distributed under the terms and conditions of the Creative Commons Attribution (CC BY) license (http://creativecommons.org/licenses/by/4.0/).
Share and Cite
Caddemi, A.; Cardillo, E.; Patanè, S.; Triolo, C. Light Exposure Effects on the DC Kink of AlGaN/GaN HEMTs. Electronics 2019, 8, 698. https://doi.org/10.3390/electronics8060698
Caddemi A, Cardillo E, Patanè S, Triolo C. Light Exposure Effects on the DC Kink of AlGaN/GaN HEMTs. Electronics. 2019; 8(6):698. https://doi.org/10.3390/electronics8060698
Chicago/Turabian StyleCaddemi, Alina, Emanuele Cardillo, Salvatore Patanè, and Claudia Triolo. 2019. "Light Exposure Effects on the DC Kink of AlGaN/GaN HEMTs" Electronics 8, no. 6: 698. https://doi.org/10.3390/electronics8060698
APA StyleCaddemi, A., Cardillo, E., Patanè, S., & Triolo, C. (2019). Light Exposure Effects on the DC Kink of AlGaN/GaN HEMTs. Electronics, 8(6), 698. https://doi.org/10.3390/electronics8060698

