Application of Artificial Neural Network for Image Noise Level Estimation in the SVD domain
Abstract
1. Introduction
2. Noise Level Estimation in the SVD Domain
2.1. Image-Based Noise Level Estimation in the SVD Domain
2.2. Block-Based Noise Level Estimation in the SVD Domain
2.3. Adaptive Block-Based Noise Level Estimation in the SVD Domain
3. Proposed ANN-Based Algorithm for Noise Level Estimation in the SVD Domain
3.1. Overview of the Proposed ANN-Based Noise Level Estimation Algorithm in the SVD Domain
- Tessellate an input image A into r × r blocks.
- Randomly select 40% of the available blocks.
- Apply the singular value decomposition on each block to obtain the associated sequence of singular values , where i = 1, 2, …, r.
- Add the AWGN of a known standard deviation, e.g., , to the selected set of image blocks to obtain a new set of image blocks that are now associated with the image B.
- Apply the singular value decomposition on each block corresponding to image B to obtain the associated sequence of singular values , where i = 1, 2, …, r.
- From each selected block, extract the feature vector to form the artificial neural network input aswhere the size of the feature vector is defined by [0.2r, 1].
- A noise level estimate is obtained for each of the K selected image blocks using the artificial neural network that has been trained to perform the noise level estimation in the SVD domain across a range of noise levels.
- Evaluate the noise level estimate for the entire image as the average value of K independent noise level estimates, where each independent estimate is associated with one distinct block.
3.2. Applying Artifical Neural Network for the Noise Level Estimation in the SVD domain
4. Results and Discussion
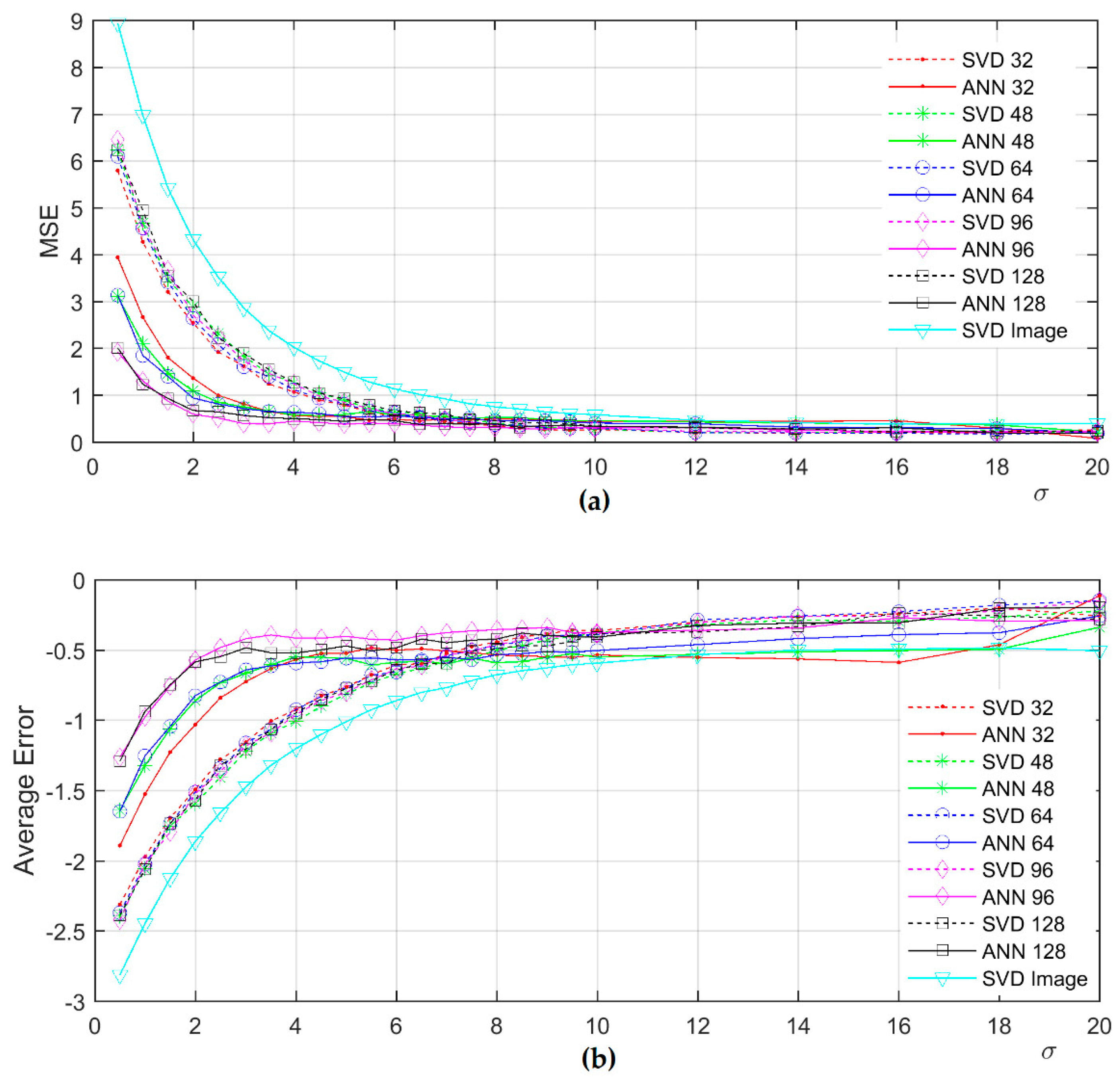
4.1. Mean Square Error and Average Noise Level Estimation Error
4.2. Estimator Variability
4.3. Highly Textural Images
4.4. Image Denoising
4.5. Computational Time
5. Conclusions
Author Contributions
Funding
Acknowledgments
Conflicts of Interest
References
- Turajlic, E.; Karahodzic, V. An Adaptive Scheme for X-ray Medical Image Denoising using Artificial Neural Networks and Additive White Gaussian Noise Level Estimation in SVD Domain. In Proceedings of the International Conference on Medical and Biological Engineering (CMBEBIH 2017), Sarajevo, Bosnia and Herzegovina, 16–18 March 2017; pp. 36–40. [Google Scholar]
- Sun, X.; He, N.; Zhang, Y.Q.; Zhen, X.Y.; Lu, K.; Zhou, X.L. Color Image Denoising Based on Guided Filter and Adaptive Wavelet Threshold. Appl. Comput. Intell. Soft. Comput. 2017, 2017, 5835020. [Google Scholar] [CrossRef]
- Dabov, K.; Foi, A.; Katkovnik, V.; Egiazarian, K. Image denoising by sparse 3-d transform-domain collaborative filtering. IEEE Trans. Image Process. 2007, 16, 2080–2095. [Google Scholar] [CrossRef]
- Liu, X.; Tanaka, M.; Okutomi, M. Single-image noise level Estimation for blind denoising. IEEE Trans. Image Process. 2013, 22, 5226–5237. [Google Scholar] [CrossRef]
- Liu, Y.; Wang, Z.; Si, L.; Zhang, L.; Tan, C.; Xu, J. A Non-Reference Image Denoising Method for Infrared Thermal Image Based on Enhanced Dual-Tree Complex Wavelet Optimized by Fruit Fly Algorithm and Bilateral Filter. Appl. Sci. 2017, 7, 1190. [Google Scholar] [CrossRef]
- Zhang, L.; Zhou, X.; Wang, Z.; Tan, C.; Liu, X. A nonmodel dual-tree wavelet thresholding for image denoising through noise variance optimization based on improved chaotic drosophila algorithm. Int. J. Pattern Recognit. Artif. Intell. 2017, 31, 1754015. [Google Scholar] [CrossRef]
- Elder, J.H.; Zucker, S.W. Local scale control for edge detection and blur estimation. IEEE Trans. Pattern Anal. Mach. Intell. 1998, 20, 699–716. [Google Scholar] [CrossRef]
- Tian, J.; Ma, K.K. Stochastic super-resolution image reconstruction. J. Vis. Commun. Image Represent. 2010, 21, 232–244. [Google Scholar] [CrossRef]
- Arbelaez, P.; Maire, M.; Fowlkes, C.; Malik, J. Contour detection and hierarchical image segmentation. IEEE Trans. Pattern Anal. Mach. Intell. 2011, 33, 898–916. [Google Scholar] [CrossRef]
- Fu, P.; Sun, X.; Sun, Q. Hyperspectral image segmentation via frequency-based similarity for mixed noise estimation. Remote Sens. 2017, 9, 1237. [Google Scholar] [CrossRef]
- Jan, L.; Fridrich, J.; Goljan, M. Digital camera identification from sensor pattern noise. IEEE Trans. Inform. Forensics Secur. 2006, 1, 205–214. [Google Scholar]
- Greenberg, S.; Aladjem, M.; Kogan, D. Fingerprint image enhancement using filtering techniques. Real-Time Imaging 2002, 8, 227–236. [Google Scholar] [CrossRef]
- Chervyakov, N.; Lyakhov, P.; Kaplun, D.; Butusov, D.; Nagornov, N. Analysis of the quantization noise in discrete wavelet transform filters for image processing. Electronics 2018, 7, 135. [Google Scholar] [CrossRef]
- Lee, J.S.; Hoppel, K. Noise modeling and estimation of remotely sensed images. In Proceedings of the 12th Canadian Symposium on Remote Sensing Geoscience and Remote Sensing Symposium, Vancouver, BC, Canada, 10–14 July 1989; pp. 1005–1008. [Google Scholar]
- Wang, S.; Liu, H.; Xie, K.; Chen, Z.; Zhang, J. Noise level estimation using gradients of image blocks. In Proceedings of the 5th International Conference on Computer Science and Network Technology (ICCSNT 2016), Changchun, China, 10–11 December 2016; pp. 758–761. [Google Scholar]
- Huang, X.; Chen, L.; Tian, J.; Zhang, X.; Fu, X. Blind noisy image quality assessment using block homogeneity. Comput. Electr. Eng. 2014, 40, 796–807. [Google Scholar] [CrossRef]
- Huang, X.; Chen, L.; Tian, J.; Zhang, X. Blind image noise level estimation using texture-based eigenvalue analysis. Multimed. Tools Appl. 2016, 75, 2713–2724. [Google Scholar] [CrossRef]
- Abramova, V. A Blind Method for Additive Noise Variance Evaluation Based on Homogeneous Region Detection Using the Fourth Central Moment Analysis. Telecommun. Radio Eng. 2015, 74, 1651–1669. [Google Scholar] [CrossRef]
- Tang, C.; Yang, X.; Zhai, G. Robust noise estimation based on noise injection. J. Signal Process. Syst. 2014, 74, 69–78. [Google Scholar] [CrossRef]
- Olsen, S.I. Estimation of noise in images: An evaluation. Graph. Models Image Proc. 1993, 55, 319–323. [Google Scholar] [CrossRef]
- Bilcu, R.C.; Vehvilainen, M.A. New Method for Noise Estimation in Images. In Proceedings of the IEEE-EURASIP International Workshop on Nonlinear Signal and Image Processing, Sapporo, Japan, 18–20 May 2005. [Google Scholar]
- Tai, S.C.; Yang, S.M. A fast method for image noise estimation using Laplacian operator and adaptive edge detection. In Proceedings of the 3rd International Symposium on Communications, Control, and Signal Processing, St Julians, Malta, 12–14 March 2008; pp. 1077–1081. [Google Scholar]
- Corner, B.; Narayanan, R.; Reichenbach, S. Noise estimation in remote sensing imagery using data masking. Int. J. Remote Sens. 2003, 24, 689–702. [Google Scholar] [CrossRef]
- Rank, K.; Lendl, M.; Unbehauen, R. Estimation of image noise variance. IEE Proc. Vision Image Signal 1999, 146, 80–84. [Google Scholar] [CrossRef]
- Liu, A. A fast method of estimating Gaussian noise. In Proceedings of the first International Conference on Information Science and Engineering, Nanjing, China, 26–28 December 2009; pp. 441–444. [Google Scholar]
- Shin, D.; Park, R.; Yang, S.; Jung, J. Block-based noise estimation using adaptive Gaussian filtering. IEEE Trans. Consum. Electron. 2005, 51, 218–226. [Google Scholar] [CrossRef]
- Yang, S.M.; Tai, S.C. Fast and reliable image-noise estimation using a hybrid approach. J. Electron. Imaging 2010, 19, 033007. [Google Scholar] [CrossRef]
- Turajlic, E. A fast noise level estimation algorithm based on adaptive image segmentation and Laplacian convolution. In Proceedings of the 40th International Convention on Information and Communication Technology, Electronics and Microelectronics (MIPRO 2017), Opatija, Croatia, 22–26 May 2017; pp. 486–491. [Google Scholar]
- Tang, C.; Yang, X.; Zhai, G. Dual-transform based noise estimation. In Proceedings of the IEEE International Conference on Multimedia and Expo (ICME 2012), Melbourne, Australia, 9–13 July 2012; pp. 991–996. [Google Scholar]
- Manjón, J.V.; Coupé, P.; Buades, A. MRI noise estimation and denoising using non-local PCA. Med. Image Anal. 2015, 22, 35–47. [Google Scholar] [CrossRef] [PubMed]
- Ponomarenko, M.; Gapon, N.; Voronin, V.; Egiazarian, K. Blind estimation of white Gaussian noise variance in highly textured images. J. Electron. Imaging 2018, 13, 382. [Google Scholar] [CrossRef]
- Ghazi, M.M.; Erdogan, H. Image noise level estimation based on higher-order statistics. Multimed. Tools Appl. 2017, 76, 2379–2397. [Google Scholar] [CrossRef]
- Pyatykh, S.; Hesser, J.; Zheng, L. Image noise level estimation by principal component analysis. IEEE Trans. Image Process. 2013, 22, 687–699. [Google Scholar] [CrossRef] [PubMed]
- Liu, X.; Tanaka, M.; Okutomi, M. Noise level estimation using weak textured patches of a single noisy image. In Proceedings of the 19th IEEE International Conference on Image Processing (ICIP), Orlando, FL, USA, 30 September–3 October 2012; pp. 665–668. [Google Scholar]
- Liu, W.; Lin, W. Additive white Gaussian noise level estimation in SVD domain for images. IEEE Trans. Image Process. 2013, 22, 872–883. [Google Scholar] [CrossRef] [PubMed]
- Liu, W. Additive white Gaussian noise level estimation based on block SVD. In Proceedings of the IEEE Workshop on Electronics, Computer and Applications, Ottawa, ON, Canada, 8–9 May 2014; pp. 960–963. [Google Scholar]
- Turajlic, E. Adaptive Block-based Approach to Image Noise Level Estimation in the SVD domain. Electronics 2018, 7, 397. [Google Scholar] [CrossRef]
- Wang, X.; Wang, W.; Li, X.; Wang, J. A Tensor-Based Subspace Approach for Bistatic MIMO Radar in Spatial Colored Noise. Sensors 2014, 14, 3897–3907. [Google Scholar] [CrossRef]
- Chen, W.; Ma, H.; Yu, D.; Zhang, H. SVD-Based Technique for Interference Cancellation and Noise Reduction in NMR Measurement of Time-Dependent Magnetic Fields. Sensors 2016, 16, 323. [Google Scholar] [CrossRef]
- Zhang, H.; Wang, C.; Zhou, X. Fragile Watermarking for Image Authentication Using the Characteristic of SVD. Algorithms 2017, 10, 27. [Google Scholar] [CrossRef]
- Oktay, O.; Ferrante, E.; Kamnitsas, K.; Heinrich, M.; Bai, W.; Caballero, J.; Cook, S.A.; de Marvao, A.; Dawes, T.; O‘Regan, D.P.; et al. Anatomically constrained neural networks (ACNNs): Application to cardiac image enhancement and segmentation. IEEE Trans. Med. Imaging 2018, 37, 384–395. [Google Scholar] [CrossRef] [PubMed]
- Crisosto, C.; Hofmann, M.; Mubarak, R.; Seckmeyer, G. One-Hour Prediction of the Global Solar Irradiance from All-Sky Images Using Artificial Neural Networks. Energies 2018, 11, 2906. [Google Scholar] [CrossRef]
- Granada Computer Vision Group Test Images Database. Available online: http://decsai.ugr.es/cvg/dbimagenes/g512.php (accessed on 30 September 2018).
- Cimpoi, M.; Maji, S.; Kokkinos, I.; Mohamed, S.; Vedaldi, A. Describing textures in the wild. In Proceedings of the IEEE Conference on Computer Vision and Pattern Recognition, Columbus, OH, USA, 23–28 June 2014; pp. 3606–3613. [Google Scholar]
- Gonzalez, R.C.; Wood, R.E. Digital Image Processing, 3rd ed.; Pearson Prentice Hall: Upper Saddle River, NJ, USA, 2008. [Google Scholar]
- Aja-Fernández, S.; Pieciak, T.; Vegas-Sánchez-Ferrero, G. Spatially variant noise estimation in MRI: A homomorphic approach. Med. Image Anal. 2015, 20, 184–197. [Google Scholar] [CrossRef] [PubMed]
- Goossens, B.; Pizurica, A.; Philips, W. Wavelet domain image denoising for non-stationary noise and signal-dependent noise. In Proceedings of the IEEE International Conference on Image Processing, Atlanta, GA, USA, 8–11 October 2006; pp. 1425–1428. [Google Scholar]










| Block Size | Noise Level, σ | |||||||||
|---|---|---|---|---|---|---|---|---|---|---|
| 10 | 15 | 20 | 25 | 30 | 35 | 40 | 45 | 50 | 55 | |
| 32 × 32 | 34.098 | 51.081 | 68.437 | 85.237 | 102.381 | 119.100 | 137.077 | 153.730 | 168.914 | 188.073 |
| 48 × 48 | 41.999 | 62.778 | 84.013 | 104.561 | 125.994 | 146.364 | 167.638 | 188.123 | 209.965 | 230.173 |
| 64 × 64 | 48.545 | 72.760 | 97.179 | 121.180 | 145.495 | 169.147 | 193.799 | 217.674 | 242.477 | 266.374 |
| 96 × 96 | 59.674 | 89.173 | 118.963 | 148.577 | 178.454 | 208.266 | 237.717 | 266.795 | 297.003 | 327.294 |
| 128 × 128 | 68.784 | 103.148 | 137.403 | 171.966 | 206.436 | 240.356 | 274.850 | 308.780 | 343.950 | 378.292 |
| Initial Noise Level | = 2 | |||
|---|---|---|---|---|
| Noise Estimation Method | SVD 32 | ASVD 64 | ANN 96 | |
| Lena | Noise estimate | = 2.37 | = 2.77 | = 3.02 |
| Denoised image MSE | 3.20 | 3.42 | 3.62 | |
| Town | Noise estimate | = 2.58 | = 2.77 | = 3.26 |
| Denoised image MSE | 3.26 | 3.33 | 3.66 | |
| Couple | Noise estimate | = 2.64 | = 2.92 | = 3.48 |
| Denoised image MSE | 3.73 | 3.94 | 4.56 | |
| Einstein | Noise estimate | = 2.57 | = 3.07 | = 3.71 |
| Denoised image MSE | 3.43 | 3.73 | 4.51 | |
| Girlface | Noise estimate | = 2.08 | = 2.39 | = 2.70 |
| Denoised image MSE | 2.73 | 2.76 | 2.87 | |
| Algorithm | SVD | SVD | ANN | SVD | ANN | SVD | ANN | SVD | ANN | SVD | ANN |
|---|---|---|---|---|---|---|---|---|---|---|---|
| Block size | Image | 32 × 32 | 32 × 32 | 48 × 48 | 48 × 48 | 64 × 64 | 64 × 64 | 96 × 96 | 96 × 96 | 128 × 128 | 128 × 128 |
| Time (s) | 0.0811 | 0.0590 | 0.8906 | 0.0413 | 0.4146 | 0.0396 | 0.2417 | 0.0435 | 0.1549 | 0.0403 | 0.1073 |
© 2019 by the authors. Licensee MDPI, Basel, Switzerland. This article is an open access article distributed under the terms and conditions of the Creative Commons Attribution (CC BY) license (http://creativecommons.org/licenses/by/4.0/).
Share and Cite
Turajlic, E.; Begović, A.; Škaljo, N. Application of Artificial Neural Network for Image Noise Level Estimation in the SVD domain. Electronics 2019, 8, 163. https://doi.org/10.3390/electronics8020163
Turajlic E, Begović A, Škaljo N. Application of Artificial Neural Network for Image Noise Level Estimation in the SVD domain. Electronics. 2019; 8(2):163. https://doi.org/10.3390/electronics8020163
Chicago/Turabian StyleTurajlic, Emir, Alen Begović, and Namir Škaljo. 2019. "Application of Artificial Neural Network for Image Noise Level Estimation in the SVD domain" Electronics 8, no. 2: 163. https://doi.org/10.3390/electronics8020163
APA StyleTurajlic, E., Begović, A., & Škaljo, N. (2019). Application of Artificial Neural Network for Image Noise Level Estimation in the SVD domain. Electronics, 8(2), 163. https://doi.org/10.3390/electronics8020163

