Realization of High-Performance Broadband Quadrature Directional Couplers in UMS PH25 Technology
Abstract
:1. Introduction
2. Analysis of Coupled-Line Section’s Realization in UMS PH25 Technology
2.1. Edge-Coupled Lines
2.2. Two-Strip Asymmetric Coupled Lines
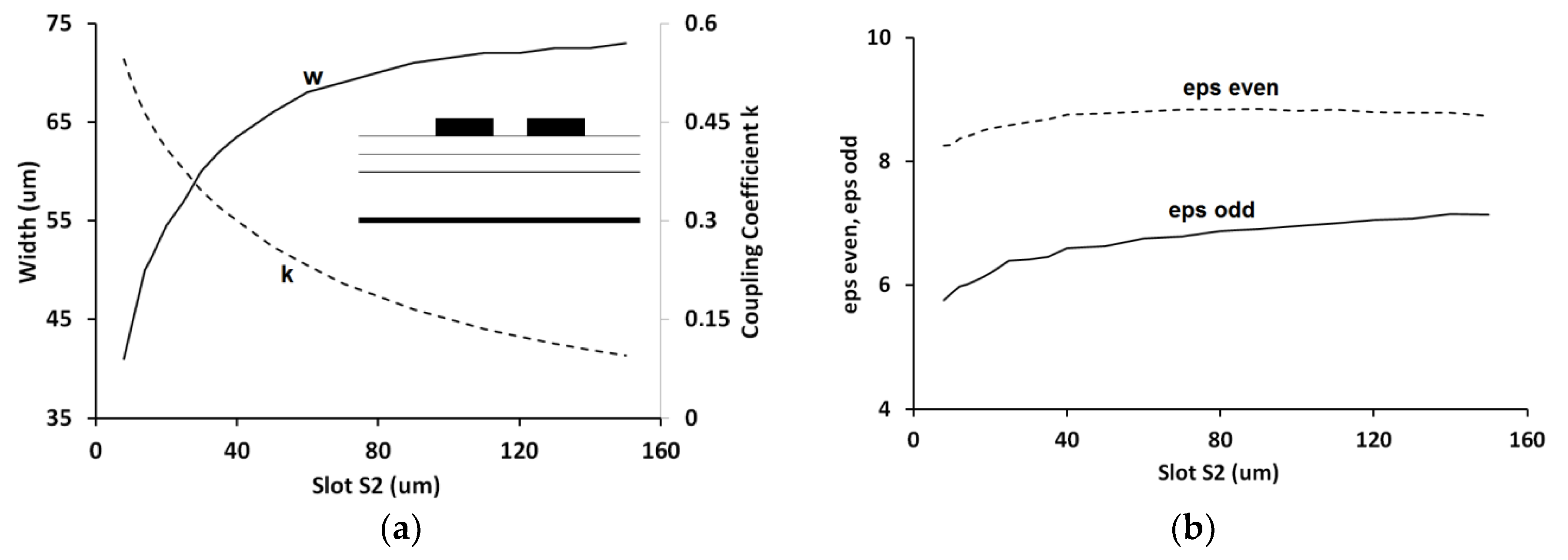
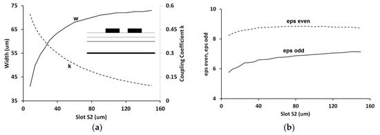
2.3. Three-Strip Asymmetric Coupled Lines
2.4. Interconnected Four Coupled Lines
3. Design of Coupled-Line 3-dB Directional Couplers in UMS PH25 Technology
3.1. Three-Strip Asymmetric Coupled-Line Directional Coupler
3.2. Compensated Three-Strip Asymmetric Coupled-Line Directional Coupler
3.3. Lange-Type Compensated Directional Coupler
4. Design of 3-dB Directional Coupler with Left-Handed Transmission-Line Sections
5. Conclusions
Author Contributions
Funding
Acknowledgments
Conflicts of Interest
References
- Ellinger, F.; Vogt, R.; Bachtold, W. Ultracompact reflective-type phase shifter MMIC at C-band with 360° phase-control range for smart antenna combining. IEEE J. Solid-State Circuits 2002, 37, 481–486. [Google Scholar] [CrossRef]
- Kosuge, A.; Mizuhara, W.; Shidei, T.; Takeya, T.; Miura, N.; Taguchi, M.; Ishikuro, H.; Kuroda, T. A 0.15 mm-thick noncontact connector for MIPI using a vertical directional coupler. IEEE J. Solid-State Circuits 2014, 49, 223–231. [Google Scholar] [CrossRef]
- Pepe, D.; Zito, D. Two mm-wave modulator active phase shifters with novel IQ generator in 28 nm FDSOI CMOS. IEEE J. Solid-State Circuits 2002, 52, 344–356. [Google Scholar] [CrossRef]
- Afroz, S.; Kim, H.; Koh, K.J. Power efficient W-band (92-98 GHz) phased-array transmit and receive elements with quadrature-hybrid-based passive phase interpolator. IEEE J. Solid-State Circuits 2018, 53, 1678–1693. [Google Scholar] [CrossRef]
- Wincza, K.; Gruszczynski, S. Asymmetric coupled-line directional couplers as impedance transformers in balanced and n-way power amplifiers. IEEE Trans. Microw. Theory Tech. 2011, 59, 1803–1810. [Google Scholar] [CrossRef]
- Chen, H.C.; Wang, T.; Lu, S.S. A 5-6 GHz 1-V CMOS direct-conversion receiver with an integrated quadrature coupler. IEEE J. Solid-State Circuits 2007, 42, 1963–1975. [Google Scholar] [CrossRef]
- Jin, J.D.; Hsu, S.S.H. A 0.18-μm CMOS balanced amplifier for 24-GHz applications. IEEE J. Solid-State Circuits 2008, 43, 440–445. [Google Scholar] [CrossRef]
- Yamamoto, K.; Kurusu, H.; Suzuki, S.; Miyashita, M. High-directivity enhancement with passive and active bypass circuit techniques for GaAs MMIC microstrip directional couplers. IEEE Trans. Microw. Theory Tech. 2011, 59, 3095–3107. [Google Scholar] [CrossRef]
- Jeon, H.; Park, Y.; Huang, Y.Y.; Kim, J.; Lee, K.S.; Lee, C.H.; Kenney, J.S. A triple-mode balanced linear CMOS power amplifier using a switched-quadrature coupler. IEEE J. Solid-State Circuits 2012, 47, 2019–2032. [Google Scholar] [CrossRef]
- Hbuyen, D.P.; Pham, B.L.; Pham, A.V. A compact Ka-band integrated Doherty amplifier with reconfigurable input network. IEEE Trans. Microw. Theory Tech. 2019, 67, 205–215. [Google Scholar]
- Amado-Rey, A.B.; Campos-Roca, Y.; Friesicke, C.; Wagner, S.; Ambacher, O. GCPW GaAs broadside couplers at H-band and application to balanced power amplifiers. IEEE Trans. Microw. Theory Tech. 2019, 67, 78–85. [Google Scholar] [CrossRef]
- Frye, R.C.; Kapur, S.; Melville, R.C. A 2-GHz quadrature hybrid implemented in CMOS technology. IEEE J. Solid-State Circuits 2003, 38, 550–555. [Google Scholar] [CrossRef]
- Ali, F.; Podell, A. A wide-band GaAs monolithic spiral quadrature hybrid and its circuit applications. IEEE J. Solid-State Circuits 1991, 26, 1394–1398. [Google Scholar] [CrossRef]
- Sun, Y.; Freundorfer, A.P. A new overaly coupler for direct digital modulator in GaAs HBT. IEEE Trans. Microw. Theory Tech. 2004, 52, 1830–1835. [Google Scholar] [CrossRef]
- Kumar, M.; Subbarao, S.N.; Menna, R.J.; Huang, H.C. Monolithic GaAs interdigitated couplers. IEEE Trans. Microw. Theory Tech. 1983, 31, 29–32. [Google Scholar] [CrossRef]
- Willems, D.; Bahl, I. An MMIC-compatible tightly coupled line structure using embedded microstrip. IEEE Trans. Microw. Theory Tech. 1993, 41, 2303–2310. [Google Scholar] [CrossRef]
- Sachse, K. The scattering parameters and directional coupler analysis of characteristically terminated asymmetric coupled transmission lines in an inhomogeneous medium. IEEE Trans. Microw. Theory Tech. 1990, 38, 417–425. [Google Scholar] [CrossRef]
- Gruszczynski, S.; Wincza, K. Generalized methods for the design of quasi-ideal symmetric and asymmetric coupled–line sections and directional couplers. IEEE Trans. Microw. Theory Tech. 2011, 59, 1709–1718. [Google Scholar] [CrossRef]
- Sachse, K.; Sawicki, A. Quasi-ideal multilayer two- and three-strip directional couplers for monolithic and hybrid MICs. IEEE Trans. Microw. Theory Tech. 1999, 47, 1873–1882. [Google Scholar] [CrossRef]
- Sawicki, A.; Sachse, K. Novel coupled-line conductor-backed coplanar and microstrip directional couplers for PCB and LTCC applications. IEEE Trans. Microw. Theory Tech. 2003, 51, 1743–1751. [Google Scholar] [CrossRef]
- Dydyk, M. Microstrip directional couplers with ideal performance via single-element compensation. IEEE Trans. Microw. Theory Tech. 1999, 47, 956–964. [Google Scholar] [CrossRef]
- Djordjevic, A.R.; Bazdar, M.B.; Sarkar, T.K.; Harrington, R.F. Matrix Parameters for Multiconductor Transmission Lines, Software and User’s Manual; Artech House: Norwood, MA, USA, 1990. [Google Scholar]
- Sorocki, J.; Staszek, K.; Piekarz, I.; Wincza, K.; Gruszczynski, S. Directional couplers with reduced coupling requirements as connection of coupled-line sections and left-handed transmission lines. Iet Microw. Ant. Prop. 2014, 8, 580–588. [Google Scholar] [CrossRef]
- Sorocki, J.; Piekarz, I.; Slomian, I.; Gruszczynski, S. Single-layer coupled-line magic-Ts utilizing left-handed transmission line sections. In Proceedings of the 2014 20th International Conference on Microwaves, Radar, and Wireless Communication (MIKON), Gdansk, Poland, 16–18 June 2014; pp. 1–3. [Google Scholar]

























| Dimension | Layout Constrain (um) |
|---|---|
| w1 | >4 |
| s1 | >4 |
| w2 | >5 |
| s2 | >8 |
| s3 | >4 |
| ov | >2 |
| Reference | Bandwidth | RL (dB) | Isolation (dB) | Technology |
|---|---|---|---|---|
| [10] | narrow | 14 | 20 | GaAs |
| [11] | narrow | - | 25 | GaAs |
| [12] | narrow | 27 | 27 | CMOS |
| [14] | wide | 16 | 30 | GaInP/GaAs |
| [15] | wide | 15 | 18 | Si/GaAs |
| [16] | wide | 15 | 12 | GaAs |
| This paper | wide | 24 | 20 | GaAs |
| Section III B | ||||
| This paper | wide | 20 | 28 | GaAs |
| Section III C | ||||
| This paper | wide | 20 | 25 | GaAs |
| Section IV |
© 2019 by the authors. Licensee MDPI, Basel, Switzerland. This article is an open access article distributed under the terms and conditions of the Creative Commons Attribution (CC BY) license (http://creativecommons.org/licenses/by/4.0/).
Share and Cite
Gruszczynski, S.; Smolarz, R.; Wincza, K. Realization of High-Performance Broadband Quadrature Directional Couplers in UMS PH25 Technology. Electronics 2019, 8, 1520. https://doi.org/10.3390/electronics8121520
Gruszczynski S, Smolarz R, Wincza K. Realization of High-Performance Broadband Quadrature Directional Couplers in UMS PH25 Technology. Electronics. 2019; 8(12):1520. https://doi.org/10.3390/electronics8121520
Chicago/Turabian StyleGruszczynski, Slawomir, Robert Smolarz, and Krzysztof Wincza. 2019. "Realization of High-Performance Broadband Quadrature Directional Couplers in UMS PH25 Technology" Electronics 8, no. 12: 1520. https://doi.org/10.3390/electronics8121520
APA StyleGruszczynski, S., Smolarz, R., & Wincza, K. (2019). Realization of High-Performance Broadband Quadrature Directional Couplers in UMS PH25 Technology. Electronics, 8(12), 1520. https://doi.org/10.3390/electronics8121520

