Abstract
Vehicular ad-hoc networks (VANET) enable vehicles to exchange information on traffic conditions, dynamic status and localization, to enhance road safety and transportation efficiency. A typical VANET application is platooning, which can take advantage of exchanging information on speed, heading and position to allow shorter inter-vehicle distances without compromising safety. However, the platooning performance depends drastically on the quality of the communication channel, which in turn is highly influenced by the medium access control protocol (MAC). Currently, VANETs use the IEEE 802.11p MAC, which follows a carrier sense multiple access with collision avoidance (CSMA/CA) policy that is prone to collisions and degrades significantly with network load. This has led to recent proposals for a time-division multiple access (TDMA)-based MAC that synchronize vehicles’ beacons to prevent or reduce collisions. In this paper, we take CSMA/CA and two TDMA-based overlay protocols, i.e., deployed over CSMA/CA, namely PLEXE-slotted and RA-TDMAp, and carry out extensive simulations with varying platoon sizes, number of occupied lanes and transmit power to deduce empirical models that provide estimates of average number of collisions per second and average busy time ratio. In particular, we show that these estimates can be obtained from observing the number of radio-frequency (RF) neighbours, i.e., number of distinct sources of the packets received by each vehicle per time unit. These estimates can enhance the online adaptation of distributed applications, particularly platooning control, to varying conditions of the communication channel.
1. Introduction
With the advance of autonomous driving and platooning technologies, it is expected that cooperative platooning will make for a considerable share of highway traffic, as it leads to considerable gains in safety and fuel efficiency. We can envision that, in the near future, a subset of highway lanes (or even entire highways) can be fully dedicated to platoons. Vehicular ad-hoc networks (VANETs) will play an important role in leveraging communications within the platoon and with other platooning and non-platooning traffic, enabling applications of safety (e.g., platoon member coordination, collision avoidance), intelligent transportation management (e.g., intersection management), and infotainment (e.g., video streaming) [1,2].
However, the performance of these applications, particularly those safety-critical applications such as platooning, depends significantly on the quality of the communication channel. Two metrics assume special relevance, the rate of collisions, which imply message losses (the lower, the better), and the busy time ratio, which depends on the communication range and affects spatial reuse (the lower, the better, too). Application designers must rely on models of network performance to predict the reliability, volume and timeliness of data exchanges that can occur and define the adaptation the application should perform in response to the network service quality. Often such models will be defined as a function of contextual parameters, e.g., number of nodes in the system [3,4].
A key component in defining the quality-of-service (QoS) that the network can offer is the medium access control (MAC) protocol that is in place. A MAC protocol must observe a number of (often contradictory) requirements such as: promote efficient use of the medium, provide fair and balanced access to all nodes, adjust to varying densities of vehicles and support changes in VANET topology. The most established standard for vehicle-to-vehicle (V2V) communication, IEEE 802.11p/dedicated short range communication (DSRC) [5], uses the carrier sense multiple access with collision avoidance (CSMA/CA) mechanism for medium access which, due to the stochastic nature of the exponential backoff rule, can cause highly variable delays and high message losses in the presence of high network loads.
For the particular scenario of platooning, it has been advocated (see Section 2) that the time-division multiple access (TDMA) protocols are a better fit to satisfy the referred design requirements since they coordinate intra-platoon communications, thus reducing contention at the MAC level. However, TDMA protocols still vary significantly in supporting the same design requirements regarding extra-platoon traffic.
In this paper, we propose empirical models relating a contextual metric, namely the number of radio-frequency (RF) neighbours (defined further on), and relevant network performance metrics for MAC protocols of different classes: the native CSMA/CA MAC of IEEE 802.11p and two overlay TDMA protocols (PLEXE-slotted [6] and RA-TDMAp [7]) that can be readily implemented on IEEE 802.11p. The latter two protocols were designed for platoon-beaconing applications that explicitly synchronize beacons within each platoon. However, while PLEXE-slotted is agnostic to extra-platoon traffic, RA-TDMAp does an implicit synchronization among neighbouring platoons. We leverage simulations to produce observations of network metrics as we change selected parameters such as platoon size, number of occupied lanes and transmit power of the followers. The observations are fitted with an appropriate curve through regression: we show that an exponential rule can be observed for the rate of collisions and busy time ratio.
The contributions of this work are summarized as follows:
- Motivation and verification that network performance follows consistent behaviours as meaningful wireless conditions (e.g., the number of RF neighbours) change, for a variety of MAC protocols;
- Empirical models of the relationship between network metrics and wireless conditions fitted to simulation observations of platooning scenarios;
- Verification that the models hold through a range of values of relevant parameters, namely average platoon sizes, number of occupied lanes and transmit power.
The remainder of this document is organized as follows. A review of the existing TDMA-based MAC literature is presented in Section 2. Prior work motivating the design of the models as well as a detailed description of the protocols considered in the comparison is described in Section 3. We extract the models parameters in Section 4. In Section 5, we draw concluding remarks.
2. Surveying TDMA-Based V2V Communications
MAC protocols can be broadly categorized into two categories, contention-based and contention-free (also known as uncoordinated and coordinated, respectively). The contention-based medium access mechanisms require no synchronization among the vehicles, thus being generic and simple to use, at the cost of inferior efficiency in the channel utilization under high network load. One of such mechanisms, CSMA/CA, is used by the most established standard for V2V communication, IEEE 802.11p/DSRC, that in turn is the technical foundation of two regional protocol stacks, namely the wireless access in vehicular environment (WAVE) [8] stack in the USA, and the ETSI ITS-G5 [9] in Europe. In CSMA/CA, a random backoff time drawn from an exponential distribution is enforced to mitigate collisions; however, due to the stochastic nature of the process, CSMA/CA fails to provide communication with bounded delays and may suffer from profound service degradation in dense traffic scenarios.
Time-division multiple access (TDMA) protocols address the shortcomings of CSMA/CA by assigning concrete slots of time to each node, thus implementing a contention-free mechanism. TDMA protocols are well suited for time-bounded communication in platoon scenarios, given that platoons are groups of multiple agents working towards a common goal, thus making it easier to synchronize their communications. TDMA protocols can be broadly categorized into distributed and centralized, with the former further dividing into direct implementations and overlay protocols, and the latter into cluster-based and road-side unit (RSU)-managed (that we will not address as it departs from our V2V scenario). Cluster-based TDMA MAC protocols map naturally onto the platooning application, where the leader can serve as the local network coordinator for each group likewise a leader vehicle in a platoon. Overlay protocols offer exclusive communication time slots on top of an existing MAC protocol. In vehicular scenarios, the base protocol is typically IEEE 802.11p, making the overlay protocols easy to implement and deploy as well as tolerant to contending traffic (handled by the CSMA/CA layer underneath).
Figure 1 shows a comprehensive taxonomy overview of the various families of MAC protocols in VANETs. In the remainder of this section, we review these families presenting representative examples of MAC protocols available in the literature. Finally, we also review existing models of network performance under specific MAC protocols. Most models are analytical and focus on the performance of CSMA/CA, as it is the MAC protocol implemented by IEEE 802.11p.
Figure 1.
Classification of time-division multiple access (TDMA)-based medium access control (MAC) protocols in vehicular ad-hoc networks (VANETs).
2.1. TDMA-Based MAC Protocols
Direct TDMA Protocols: This class of protocols implements TDMA directly over the physical layer with the TDMA layer controlling the exact transmission instants. Examples of this class include the following protocols. VeMAC [10] is a contention-free multi-channel protocol for vehicular networks that assigns disjoint sets of time slots to vehicles moving in opposite directions (Left and Right) and to a road-side unit (RSU). Each vehicle is assumed to have two transceivers: One tuned to the control channel (CCH), and another tuned to any service channel (SCH). If a moving vehicle detects that it cannot access a time slot of its set, it will attempt to access any available time slot reserved for vehicles moving in the opposite direction. Dedicated multi-channel MAC protocol (DMMAC) [11] supports an adaptive broadcasting mechanism to provide collision-free and delay-bounded transmissions. The DMMAC operation is similar to IEEE 802.11p, with the difference that the CCH interval is divided into two time periods: Slots for adaptive broadcast frames (ABF) and a contention-based reservation period (CRP). ABFs are sent at reserved time slots for collision-free delivery of safety messages, while during the CRP, vehicles reserve resources on service channels for non-safety applications. DMMAC implements a dynamic TDMA mechanism for basic channel (BCH) reservation based on the distributed access technique R-ALOHA. Vehicles Self-Organizing MAC protocol (VeSOMAC) [12] uses an in-band signaling scheme that carries information about allocated slots and allows fast slot reconfiguration following topology changes (e.g., platoon merging). It aims at fast TDMA slot reconfiguration without relying on roadside infrastructure or leader vehicles. VeSOMAC operates in both synchronous and asynchronous manner. In the former, all the vehicles are assumed to be time-synchronized by using GPS where they share the same frame and slot boundaries. In the latter, each vehicle maintains its own frame boundaries. STDMA [13], for self-organizing TDMA, is a decentralized TDMA scheme that uses periodic frames (super frames) further divided into time slots. When a vehicle joins the network, it first listens to the channel to get information from other vehicles positions and identifies the super frame. The joining vehicle then introduces itself to the network by determining the first transmission slot available; if all slots are occupied the vehicle will reuse the slot of the farthest away vehicle. After that, the vehicle transmits periodically in the slot it selected earlier.
Cluster-Based TDMA Protocols: In this family of protocols, vehicles are clusters by physical proximity and relative position. A cluster head sets up the TDMA frame for that cluster and generally synchronizes the other vehicles in the group. In CBMAC [14], the medium is divided into multiple CCH and one data channel (DCH). Access to the CCH channels is based on CSMA/CA while the DCH channel uses TDMA to guarantee low transmission delay and collision-free transmissions within each cluster. To form clusters, all the vehicles tune to the CCH and elect one cluster head (CH). Each cluster member sends its position and speed to its CH periodically in its own TDMA time slot. To avoid inter-cluster interference, each CH selects a different orthogonal code from that of its neighbouring CHs. CBMMAC [15] combines contention-free and contention-based MAC protocols. CBMMAC deploys three main protocols: cluster configuration, intra-cluster and inter-cluster coordination communication, to avoid merging collisions and inter-cluster interference problems. To this end, it redefines the functions of the seven DSRC channels: CH178 to the inter-cluster control (ICC) channel, CH174 the inter-cluster data (ICD) channel, CH172 is the cluster range control (CRC) channel, and the remaining channels (Ch176, 180, 182 and 184) are the cluster range data (CRD) channels. The CBT protocol [16] aims to develop contention-free intra-cluster and inter-cluster communications while minimizing collisions when two or more clusters are approaching each other. The protocol uses a simple transmit-and-listen scheme to quickly elect a vehicular-network coordinator (VC). The access time is divided into frames and each frame consists of n time slots, under the assumption that all vehicles are equipped with a GPS positioning system to support synchronization.
Overlay TDMA Protocols: This group of protocols implements TDMA on top of the CSMA/CA layer of IEEE 802.11p. Thus, they can be readily implemented on commercial off-the-shelf (COTS) IEEE 802.11p interfaces and are tolerant to uncoordinated (non-complying) traffic. However, note that the transmission instants defined by the TDMA layer can be modified by the layer below. The fully distributed and infrastructure-free TDMA-based MAC protocol [17] (DTMAC) is based on VeMAC protocol and aims to alleviate its scalability limitation by allowing spatial reuse, i.e., simultaneous transmission in different geographical areas. The channel time is partitioned into frames, and each frame is further partitioned into the Left and Right sets. The road is dissected into small fixed areas in which the time slots can be reused between them simultaneously and without interference. The vehicles use their location to access the channel simultaneously and without collisions. PLEXE-slotted [6] divides a TDMA round into equal intervals among the number of vehicles in the platoon. Transmissions in the platoon take place in a cycle starting by the leader, which transmits with high power to synchronize all platoon members, followed by all the followers from first to last and transmitting with reduced power. The followers just reach the neighbouring followers and propagate information down the platoon in a multi-hop fashion. A shortcoming of this protocol is the lack of support to handle extra-platoon periodic communications: If nearby platoons or vehicles transmit with similar period and in phase, this can lead to frequent collisions until clock drifts separate their transmissions in time. RA-TDMAp [7] is similar to PLEXE-slotted, as it also divides the TDMA round period in equal intervals among the number of vehicles in the platoon. However, it addresses the limitation of the PLEXE-slotted method (of co-existence with extra-platoon periodic transmissions) by shifting the phase of the TDMA frame cycle (or round) of the current platoon with respect to the phase of other platoons or vehicles. In RA-TDMAp, the followers transmissions start from the last (farthest from leader) to the first, and each follower piggybacks the delays observed during the current round to this communication flow. This allows the leader to delay the start of the next round by a value that accommodates external traffic and thus escapes, with high probability, the interference from other platoons or vehicles. When used over a set of neighbouring platoons, RA-TDMAp provides an implicit synchronization mechanism, by which platoons automatically adjust their cycle phase to avoid or reduce mutual interference.
2.2. Analytical Models of Medium Usage
The authors of [3] model analytically the probability of successful packet delivery [ratio] (PDR) in IEEE 802.11p scenarios, as a function of the number of nodes and size of contention window. PDR is dependent on two phenomena: channel collisions and dropped packets (i.e., packets not transmitted during the CCH slot). As the number of nodes increases so do collisions, leading to a degradation of PDR; and while increasing the contention window should alleviate this problem of nodes, it is observed that it also leads to a drop in PDR, as the nodes are not able to seize the CCH channel during its slot due to expiry time. In [4], the authors propose analytical models of the CSMA/CA performance for periodic broadcasting in IEEE 802.11p scenarios. The authors also report PDR as a function of the number of nodes, for a scenario in which all nodes are in range of each other. The PDR decreases linearly until a tipping point, when it degrades sharply. Collisions are the main responsible for packet losses up to the tipping point; for more nodes, the increasing probability of a packet being dropped (as nodes are unable to access the medium) is the main reason for the sharp decline in PDR. The authors of [18] produce models of packet collision probability and average contention delay for a distributed coordination mechanism (CIDC) that uses deterministic backoff values, computed as a function of the contention intensity. Considerable reduction of collisions and delay are shown through the analytical framework and simulations.
While most works on VANETs performance develop analytical formulations of network performance, we take the approach of exploring simulations to produce and fit models over empirical data. Most analytical formulations produce nominal performance bounds that are often not observed in practice, while empirical models can produce fitting models that are closer to reality. This is further stressed by our option to present the performance metrics as a function of the number of RF neighbours, a metric that we do not control directly, that is hard to model analytically, and that is practical, as it is a medium-state metric easily available to any IEEE 802.11p node.
3. Motivation and Methodology for Empirical Models of MAC Protocol Performance
In previous work [19], we reported network performance in a highway platooning scenario (such as that of Figure 2) when only coordinated beaconing traffic exists, i.e., no other data or control flows existed apart from periodic beacons transmitted by platoon members. Periodic beaconing is a network functionality that is often explored to enable safety and infotainment applications, and it is provided by design by the two regional protocol stacks, with beacons being called cooperative awareness messages (CAM) in ETSI ITS-G5 [9] and basic safety messages (BSM) in WAVE [8]. Beacons are sent at fixed intervals in the range of 0.1 to 1 s for cooperative applications. A number of works propose mechanisms to adapt the beaconing rate to the channel load, of which we highlight [20]; the authors of [21] and [22] apply the idea specifically to the platooning context, in which beacon transmissions of the platoon members can be coordinated.
Figure 2.
A platoon of four cars (red) and three external cars (blue), running separate applications, possibly another platoon.
In our analysis in [19], we observed that relationships between network performance metrics and the number of vehicles in a platoon could be captured and described by empirical models. Such results motivated our interest in searching for a wider range of empirical relationships between network topology and performance metrics, to provide information to application designers. Our preliminary conclusions held for three MAC protocols: CSMA/CA (contention-based), and PLEXE-slotted and RA-TDMAp (overlay TDMA-based). Note that, among all protocols reviewed in the previous section, these are the only ones that are readily available or implementable on commercial off-the-shelf (COTS) IEEE 802.11p network interfaces, without need for any hardware or device– modifications. We review briefly the operation of these protocols in the following section, and then review the conclusions reported in [19] that sustain our approach of producing empirical models.
3.1. The Three Tested MAC Protocols
The first MAC protocol we consider in this study is CSMA/CA (the MAC of IEEE 802.11p), which uses carrier sensing and random backoff intervals to mitigate potential collisions. In this case, all vehicles transmit a periodic beacon with period but without any control of their relative phases, i.e., all transmissions are independent periodic processes. Thus, it is possible to fall into pernicious scenarios (named critical intervals in [23]) in which several vehicles transmit with close phases (or, in other words, with high coherence and a small phase difference), creating frequent collisions until their clocks drift away. The second MAC protocol we consider is PLEXE-slotted [6], an overlay TDMA protocol for platoon communication that works directly on IEEE 802.11p and synchronizes the beacons of the vehicles in a platoon avoiding or further reducing potential collisions among them. The leader transmits its beacons with period . This period is then divided in N equal slots of width . The leader transmits at the beginning of the first slot and all follower vehicles synchronize upon the reception of the leader beacon and transmit their own beacons at the beginning of their respective slots. Consequently, all transmissions in the platoon will be triggered with separation. The sequence of transmissions starts with the leader and continues with the first follower and then throughout the platoon until the last follower. We refer to this sequence of platoon beacon transmissions as downstream.
Nevertheless, this protocol is agnostic to the traffic external to the platoon. Thus, it is still possible to fall in critical intervals in which different platoons, or independent vehicles, transmit with a phase similar to that of the vehicles in the platoon, again leading to frequent collisions and degrading the quality of the communications until the clocks drift away. In the presence of sufficient number of platoons (we will see that 16 is already enough), the effect of the intra-platoon synchronization that PLEXE-slotted does is very slim and this protocol ends up behaving very similarly to CSMA/CA on which it operates.
The third MAC protocol we consider is another overlay protocol working over IEEE 802.11p, namely RA-TDMAp that we proposed in [7]. This is very similar to PLEXE-slotted in what concerns the transmissions inside each platoon but it includes a simple mechanism that enforces implicit global synchronization across all neighbouring platoons and independent vehicles. The fact that the mechanism is implicit makes it scalable to the capacity of the channel without needing explicit inter-platoon coordination.
Such global synchronization in RA-TDMAp is implemented with an adaptive round duration mechanism capable of adjusting the relative phase of the platoon beacon transmissions to accommodate the transmissions of all nearby platoons and independent vehicles and thus reduce, or even eliminate in some cases, mutual collisions.
In RA-TDMAp the beacon interval is divided equally by the N vehicles currently engaged in the platoon, assigning a time slot to each node of duration . All followers receive the leader beacon at the beginning of every round and use it for synchronizing the transmission of their own beacon. The transmission order starts with the beacon of the platoon leader and continues with the farthest vehicle from the leader (last follower) and then throughout the platoon in ascending order until the first follower. We refer to this sequence of platoon communications as upstream (Figure 3).
Figure 3.
Platoon TDMA cycle with slot assignment structure.
The distinctive feature of RA-TDMAp is the adaptive synchronization mechanism. This is based on measuring the delays suffered by the transmissions of the platoon beacons. These delays are typically caused by the CSMA/CA mechanism when mitigating collisions with external traffic both circumstantial and periodic ( in Figure 4). Note that all nodes in the platoon know when a beacon is expected and thus can measure its delay upon reception. When a node measures a beacon delay it saves it in a delayList and shares this list piggybacked in its own beacon. At every hop, the delayList is consolidated and propagated upstream, reaching the leader at the end of the round. The leader then delays the start of the next round by an amount computed from the delayList reported by the followers, typically the maximum within predefined bounds ( in Figure 4). This corresponds to shifting the phase of the platoon round, causing all beacon transmissions in this platoon to be triggered later, potentially avoiding the collisions with external traffic that caused the delays in the previous round. A follower that does not receive the leader message in a round transmits one round after its previous transmission, thus tolerating leader losses but without adaptation. The adaptation mechanism is independent per platoon, just considering its members, implying low overhead and full scalability. The pseudo-code of the adaptive synchronization of RA-TDMAp is described in Algorithm 1.
Figure 4.
Adaptive synchronization in RA-TDMAp.
Altogether, note that all three protocols use the basic CSMA/CA mechanism, which allows mitigating asynchronous traffic. The amount of asynchronous traffic is maximum with plain CSMA/CA (all transmissions are independent), intermediate with PLEXE-slotted (just extra-platoon traffic is independent) and minimum with RA-TDMAp (all platoon traffic is eventually coordinated).
Finally, PLEXE-slotted and RA-TDMAp manage transmit power asymmetrically, reducing interference among platoons and increasing channel spatial reuse. The platoon leader transmits with higher power to reach all platoon members and enforce platoon synchronization. However, the follower vehicles transmit with lower power, thus with limited range, propagating information in multi-hop through the platoon. For the sake of the comparisons, we implemented the same power management in plain CSMA/CA. Moreover, we consider all platoons to be steady, the leader being the platoon head vehicle. Dynamic platoon reconfiguration is out of the scope of this work.
| Algorithm 1 RA-TDMAp protocol |
|
3.2. Network Metrics as a Function of Scenario
In [19], we presented vehicular simulations to explore the behaviour of relevant network performance metrics, namely the rate of collisions and the ratio of medium accesses during which the medium was busy (after [24]), with the three aforementioned protocols, i.e., CSMA/CA, PLEXE-slotted and RA-TDMAp. The studied scenario encompassed 16 platoons travelling side-by-side in four parallel lanes at the same speed. This situation generates persistent interference among all vehicles, leading to a stationary process. The only parameter we varied was the platoon size, N, from 2 to 16 vehicles.
The respective results are shown in Figure 5, with 2nd order fitting curves superimposed over the measurement points. An initial observation is the effectiveness of RA-TDMAp to allow platoons to escape from the interference of each other adjusting the phase of their cycles. A second and more meaningful conclusion is that, despite the considerable differences in the operation of the three protocols, we observe a consistent relationship between the network performance metrics and a wireless network topological feature, namely the number of vehicles in the platoon.
Figure 5.
Network metrics vs. platoon size.
This leads us to hypothesize that relevant performance metrics (e.g., collisions rate and channel busy time ratio) may be related to a network topology parameter that represent a variety of physical and scenario parameters, such as the platoons sizes and physical layout, and the RF transmit power. In this paper, we study the number of RF neighbours in the vicinity of a particular vehicle as such network topology parameter. In fact, this number seems to depend directly on platoons size by means of the leader/follower ratio, but also on platoons physical arrangement either serialized in a single lane or side-by-side in multiple lanes, and also on the effective RF power received from each source, since higher power implies larger range. Moreover, the number of RF neighbours is easily measurable by each vehicle without need for specialized support from either network hardware or device–driver as it would be the case for measuring collisions rate or channel busy time ratio directly. The approach we propose opens the way to an online quantitative assessment of the channel quality for the platooning application using COTS IEEE 802.11p network interfaces.
To evaluate this hypothesis, we propose to model the performance metrics as a function of the number of RF neighbours in an empirical fashion (i.e., by carrying out extensive parameter-space exploration and extract fitting model parameters), and investigating if the relationship is kept as other parameters are varied.
3.3. Relevant Metrics and Parameters and Simulation Setup
We now identify the metrics and parameters relevant to explore, in the process of building a more comprehensive set of empirical models relating selected network and topological metrics.
We collect three metrics, classified into two categories: network topology and network performance. The number of RF neighbours is the only network topology metric and the one against which network performance metrics are characterized. The value is not under our direct control, thus being measured during the simulation. Our objective is to develop practical models that can be used by vehicles in real-world conditions:
- Number of RF neighbours: The number of different sources of the beacons correctly received by a vehicle per second.
The remaining metrics are related to network performance, and are useful to characterize the network service to the application. They are directly provided by the used simulation framework (Veins [25]):
- Collisions rate: The packets lost due to a collision between interfering transmissions per unit of time;
- Busy time ratio: The ratio of time that the physical layer at each node observes the channel busy.
Both metrics ( standing for either collisions or busy time ratio) are observed for each second j and by each vehicle i. Then, they are averaged over the entire simulated time and among all vehicles according to the following equation, resulting in one value per simulation scenario. Note that GlobalMetric stands for collisions rate or channel busy time ratio depending on the semantics of .
We vary several scenario and communication parameters over a range of values, in order to simulate realistic scenario modifications that can lead to a change in the number of RF neighbours.
- Platoon Size: this parameter change has several effects: (i) It increases the frequency of messages transmitted during a round (round duration remains constant, while follower slots decrease); (ii) it decreases the ratio of leaders to followers; and (iii) while the communication range is not filled with neighbours, it leads to an increase in the number of observable neighbours.
- Platoon Size Homogeneity: The size homogeneity concerns whether platoons have the same size (homogeneous platoon sizes), or variations between them around a known average (heterogeneous platoon sizes). In the first case, all platoons have the same integer number of nodes N. In the latter, we draw platoon sizes from a uniform distribution , in which the mid-point is N; this strategy is expected to cause the average platoon size to be N, allowing for a fair comparison with the homogeneous-size counterpart scenario.
- Number of Lanes with Traffic: Increasing the number of lanes with traffic leads to an increase in the number of neighbours over a particular spatial layout. If a single lane is considered, increasing the platoon size may not lead to an increase in the number of neighbours (if neighbours exist up to the communication range); allowing traffic in adjacent lanes, however, immediately introduces a large number of neighbours to individual nodes.
- Transmit Power of Followers: Changing the transmit power of followers causes the communication range of individual nodes to increase. Note that leaders transmit with high power, already reaching all nodes in the simulated area.
The observations reported in the following section were obtained from simulations in the discrete event simulator OMNeT++, paired with the road traffic simulator SUMO, the vehicular IEEE 802.11p simulation framework Veins [25] and the Veins extension for platooning, PLEXE [24]. As in [19], we have simulated a stretch of a 10 km of a highway with five lanes where (only) 16 platoons travel. The speed of all the platoons is set to 100 km/h and the length of each car is 4 m long. The 16 platoons are re-arranged spatially according to the number of lanes under analysis (e.g., single line if a single lane is used; three or four platoons/lane if all five lanes are considered). All protocols operate a beacon interval of 100 ms, an adequate value for a platooning application [26]. The MAC service data unit (MSDU) is always 200 bytes. We used the physical layer (PHY) and MAC models of IEEE 802.11p proposed in [27], using a bitrate of 6 Mbit/s that is suited for demanding safety related applications [28]. Furthermore, we disabled the switching between control channel (CCH) and service channel (SCH), using only the CCH, and all beacons use the same access category . We use a free-space path loss model with an value of 2.0. We do not consider more complex path loss models, obstructions, or fading effects to avoid introducing artefacts caused by complex propagation phenomena in the network-level metrics (we expect to address this in future work).
Leaders transmit with power set to 100 mW (20 dBm). With the referred propagation model and equal omni-directional antennas, this power grants a communication range of approximately 1300 m. Each simulation experiment reproduces 30 s of real-world activity. Platoons start their periodic beaconing rounds with an independent and random delay between 10 ms and 1 s, drawn from a uniform distribution.
We vary the number of lanes between 1 and 5, using four lanes as default. The size of the platoons is varied from 2 to 10 cars in either heterogeneous or homogeneous way, with the default value of ten cars with heterogeneous platoon sizes. The followers transmit with power ranging from 0.1 mW (−10 dBm) to 5 mW (7 dBm) granting approximately 30 m and 254 m of communication range, respectively, under the referred propagation model and equal omni-directional antennas. The default transmit power value is 1 mW (0 dBm). Table 1 lists scenario parameters and Table 2 summarizes all communication-related parameters. In both tables, default values are underlined.
Table 1.
Scenario configurations.
Table 2.
Physical layer (PHY) and MAC parameters.
4. Empirical Models
This section presents and discusses the observations made from the simulation study and the respective fitted models.
4.1. Platoon Size and Homogeneity, and Coherence between Rounds of Platoons
We start by observing the relationship between the platoon size and homogeneity of platoon sizes on the number of RF neighbours (Figure 6). If platoon sizes are set to be heterogeneous (Figure 6a), we see a monotonically increasing relationship between the number of neighbours and platoon size. For the homogeneous platoon size (Figure 6b), this relationship shows two different behaviours for the CSMA/CA and PLEXE-slotted: We register an increase in the number of neighbours as the platoon size increases until seven vehicles/platoon, while for larger platoons, the reported number of neighbours decreases.
Figure 6.
Number of radio-frequency (RF) neighbours vs. platoon size (default Tx power and used lanes).
We attribute this effect to the differences in the slot duration between nearby platoons. In a scenario where all platoons have the same size, slot duration (in other words, frequency of transmission by platoon elements) is equal, and despite the random operation delays assigned to each platoon at the start of the simulations, some overlap of transmissions of different platoons may occur. As CSMA/CA and PLEXE-slotted are not able to adjust round duration, this overlap persists and is not resolved except partially by the CSMA/CA backoff mechanism. Thus we fall into a critical instant, or a period during which there is a susceptibility for many platoon pairs to experience small or null phase differences among their rounds simultaneously. We refer to this state of generalized and small-phase (or even null) coherence as high coherence conditions. Critical instants (and high coherence) are typically transient and eventually wear out; however, in this particular case, they become persistent. Accordingly, we identify the existence of two system conditions in Figure 6b with respect to the platoon size: one of high coherence (platoon sizes larger than 7) and a second of non-high coherence (platoon sizes up to 7). If the neighbouring platoons have different sizes, as in the case of heterogeneous platoon sizes (Figure 6a), slot duration is also different and the likelihood of overlapping periodic transmissions decreases. RA-TDMAp, in turn, is capable of handling both scenarios equally well, not exhibiting the effects of high round coherence, given its capacity to slide the relative phases of the platoons transmissions to avoid/reduce mutual interference. In this case, the homogeneous scenario is even more favourable (i.e., reaches more neighbours for the same number of vehicles/platoon), since the phase adjustment is more effective when all slot have similar width.
These results show that the number of RF neighbours, in the absence of high coherence conditions, also reveals the impact of both platoon size and its homogeneity.
4.2. Network Metrics In and Out of High Coherence
In a scenario of heterogeneous platoon sizes, the network metrics follow the behaviour discussed earlier: despite more nodes being present in the system, platoon communications are not experiencing high coherence and the number of collisions and busy time ratio increase monotonically, as a result of more RF neighbours. The rate of collisions is shown in Figure 7a and busy time ratio in Figure 7b. To model the rate of collisions, we propose an exponential model with formula , where we force the y-intersect value to be 0. For busy time ratio, we found that a log-linear model provides an appropriate fit. The corresponding parameter values are shown in Table 3, for all models. The mean square error (MSE) is used as the fitting quality evaluation metric. In most cases, alternative fitting curves were tested; we selected the ones providing inferior MSE.
Figure 7.
Network metrics for RF neighbours varying heterogeneous platoon size.
Table 3.
Description of fitted models.
The homogeneous platoon size case is more complex since both CSMA/CA and PLEXE-slotted exhibit high coherence in their rounds, as discussed previously. For larger platoons, the reported number of neighbours decreases but the number of collisions increases substantially. This is shown in Figure 8a; e.g., refer to the CSMA/CA points in the range and (highlighted in the square in the plot), that correspond to platoon sizes 8 to 10. In the busy time ratio (Figure 8b), similar results are observable although at a relatively inferior scale. The pre-existing effects of increasing platoon size (higher frequency of hidden nodes, higher frequency of simultaneous transmissions) are aggravated by the high coherence between platoon rounds and degrade the channel performance, causing collisions to increase drastically while the number of neighbours decreases.
Figure 8.
Network metrics for RF neighbours varying homogeneous platoon size.
This conclusion has an important consequence. In real-world conditions, the number of RF neighbours is easier to learn than the size of the platoons in our vicinity. However, as we observe that the number of neighbours above 60 is not monotonically increasing with respect to the platoon size, we cannot learn in that case whether the medium is in high coherence among rounds or not. RA-TDMAp is able to avoid the high coherence region by actually promoting decoherence (through its adaptive adjustment of round duration) for short periods until a steady state of coherent co-existence is achieved.
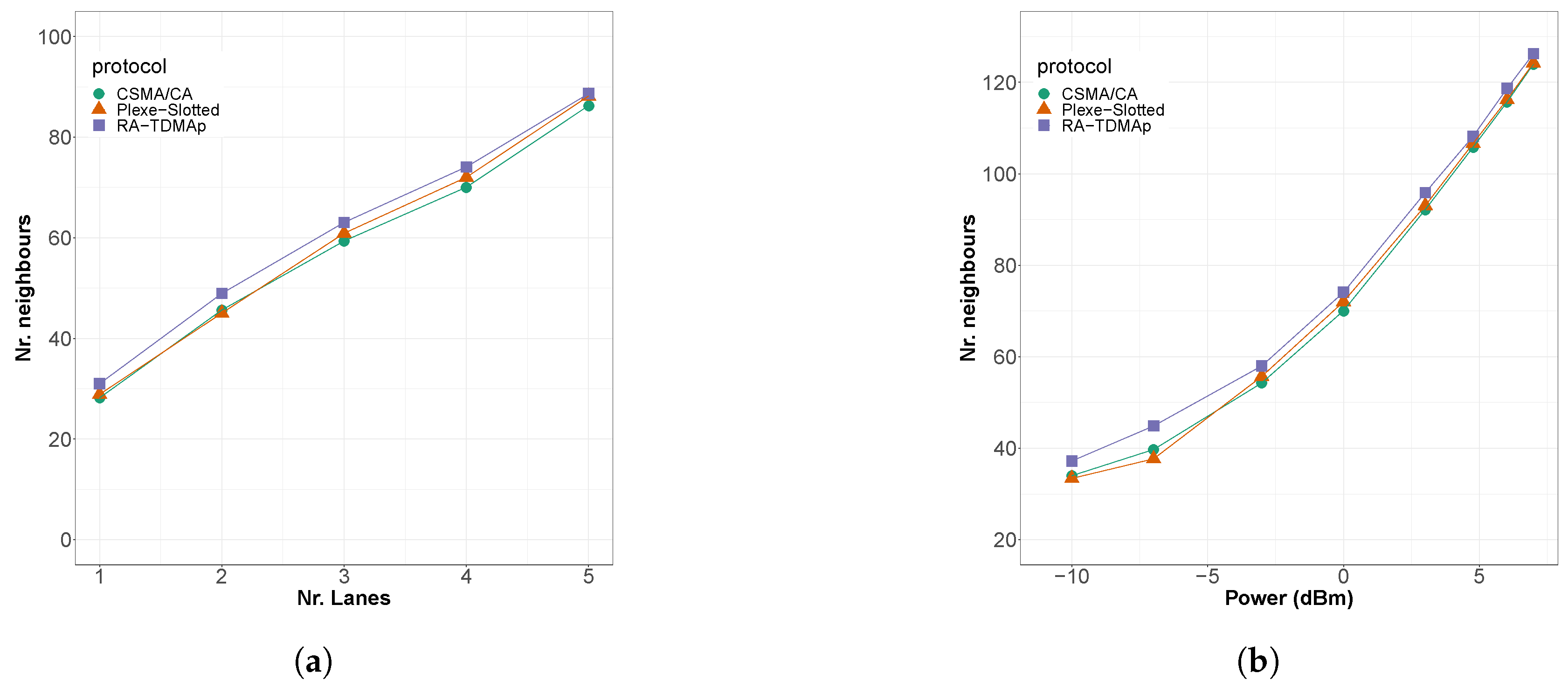
4.3. Number of Lanes and Transmit Power of Followers
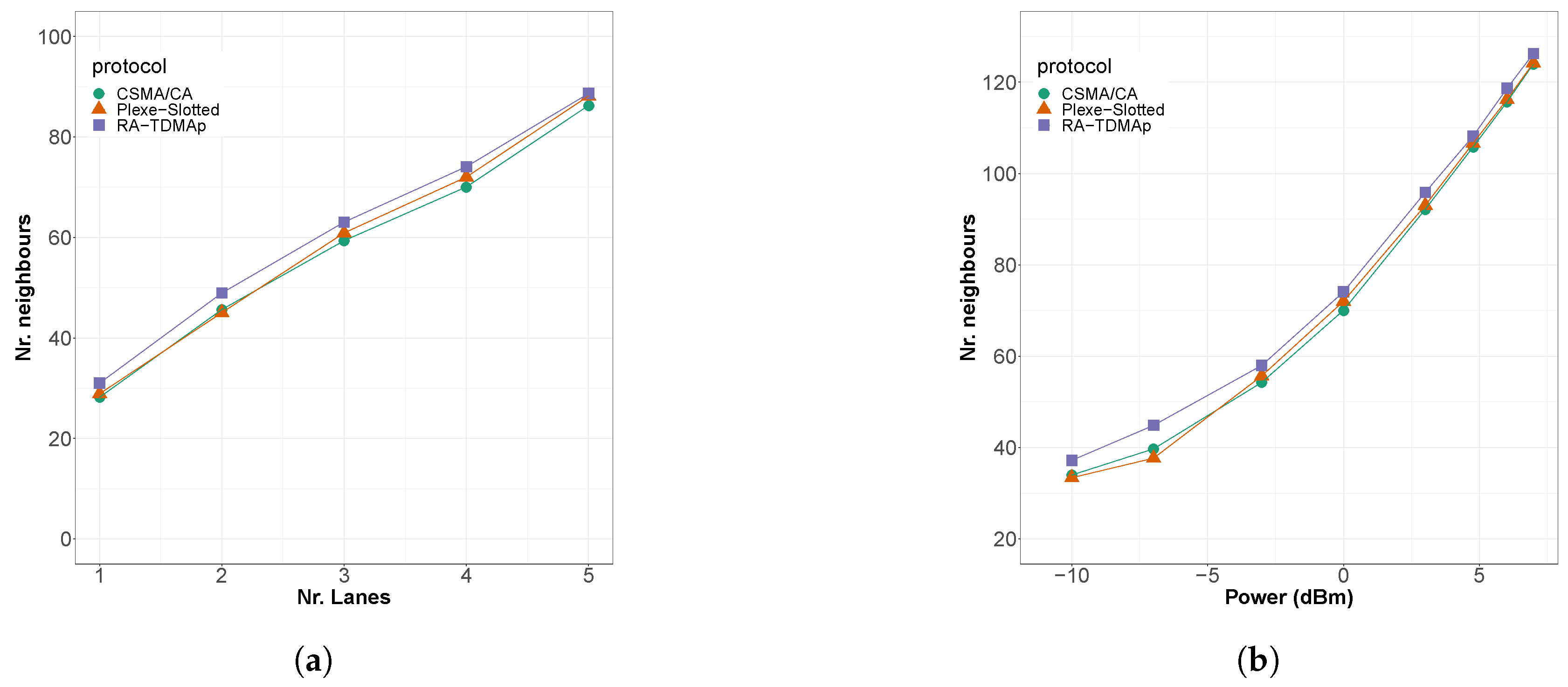
We observe that increasing the number of lanes used by the platoons side-by-side and the transmit power of followers increases monotonically the number of neighbours, as shown in Figure 9a,b, respectively. In the case of the increasing number of lanes, the different spatial arrangement of the platoons as more lanes are introduced leads to more nodes effectively entering the range of each individual node. A similar effect, even more pronounced, happens when increasing the transmit power of the followers. Higher transmit power means larger communication range and thus more neighbours are observed. Consequently, there are less hidden nodes and the CSMA/CA becomes more effective in avoiding collisions. This occurs among all kinds of nodes, both followers and leaders.
Figure 9.
Number of RF neighbours vs. number of used lanes and Tx power. (a) Number of RF neighbours vs. number of lanes (default Tx power and platoon size); (b) number of RF neighbours vs. Tx power (default number of lanes and platoon size).
Therefore, the number of neighbours is also representative of the platoons layout in lanes as well as the power the followers use to transmit.
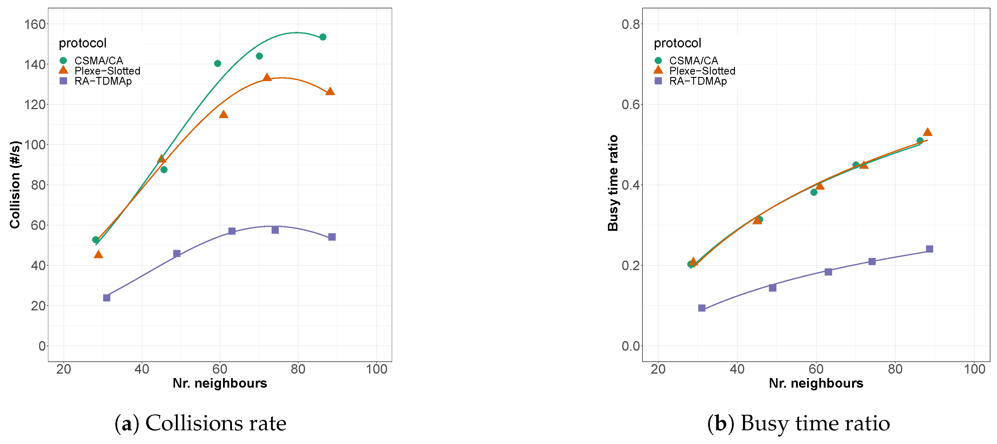
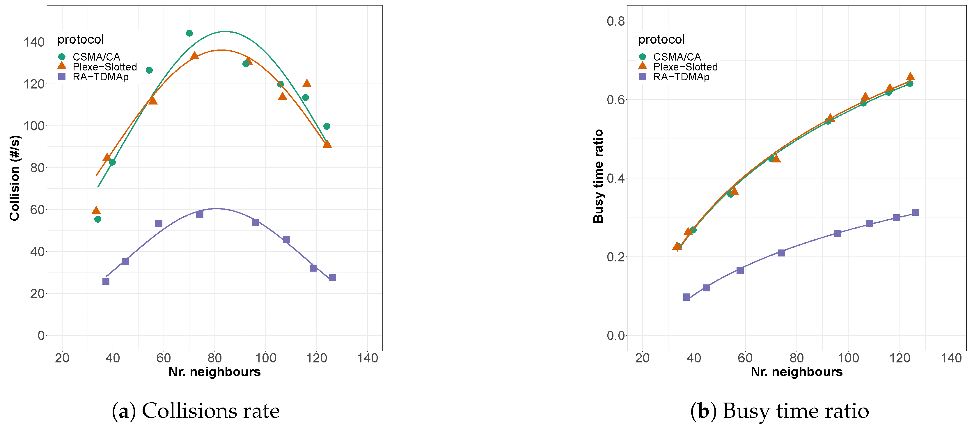
The results for the number of collisions as a function of the number of neighbours, when varying the number of lanes, are shown in Figure 10a. Figure 11a shows the same relationship but when varying the followers transmit power. We consider the observed points to follow a bell shaped curve, that we describe analytically using the Gaussian function:
with a maximum when the transmit power is 1 mW (or 0 dBm). Below that value, the communication range is small, so as the number of observed neighbours and thus collisions. Above that value, nodes start progressively listening to more nodes, making the underlying carrier sense MAC mechanism more effective, particularly reducing the occurrence of hidden nodes. Thus, collisions also decrease as, in this case, they result mainly from the occurrence of two (or more nodes) trying to access the medium simultaneously (i.e., their backoff counter hits zero). The busy time still presents a log-linear relationship for both cases, as depicted in Figure 10b and Figure 11b.
Figure 10.
Network metrics for RF neighbours varying number of lanes.
Figure 11.
Network metrics for RF neighbours varying the power followers transmit.
4.4. Discussion
The results shown in the previous sections show that, as the selected parameters are changed, different but consistent behaviours of the target metrics may occur. The main takeaways are:
- Homogeneous platoon sizes can lead to degradation: Situations of similar slot duration and small phase differences between rounds of disparate platoons can lead to a high collision rate and decrease of the known neighbourhood, specifically for protocols without round adaptation.
- Sets of large platoons experience more collisions: Increasing the platoon size in a convoy of platoons increases the number of messages in each round, and thus leads to more collisions and a busy time ratio. No new nodes are discovered if neighbours can be found up to the communication range.
- High power can contribute to collision reduction: Increasing the transmit power of followers increases spatial coverage, thus causing more neighbours to become known and more collisions up to a tipping point, after which we observed a reduction in the rate of collisions due to the inferior occurrences of uncoordinated medium accesses. This effect was also verified with the leader messages when varying the followers transmit power.
- More lanes introduce new neighbours only up to a point: Rearranging the platoons over more parallel lanes brings an immediate increase in the number of neighbours by spatially deploying new platoons side-by-side to existing ones. Our results reveal that this effect wears out as the number of lanes increases.
- Protocol performance: In all the experimented scenarios, RA-TDMAp consistently showed a smoother behaviour and no susceptibility to conditions of high coherence, leading to better fitting, with significantly lower MSE than the other protocols. Between CSMA/CA and PLEXE-slotted, the latter had, generally, lower MSE thus better fittings. The exception is the variation of the transmit power, in which case, the fitting for CSMA/CA was better (Table 3).
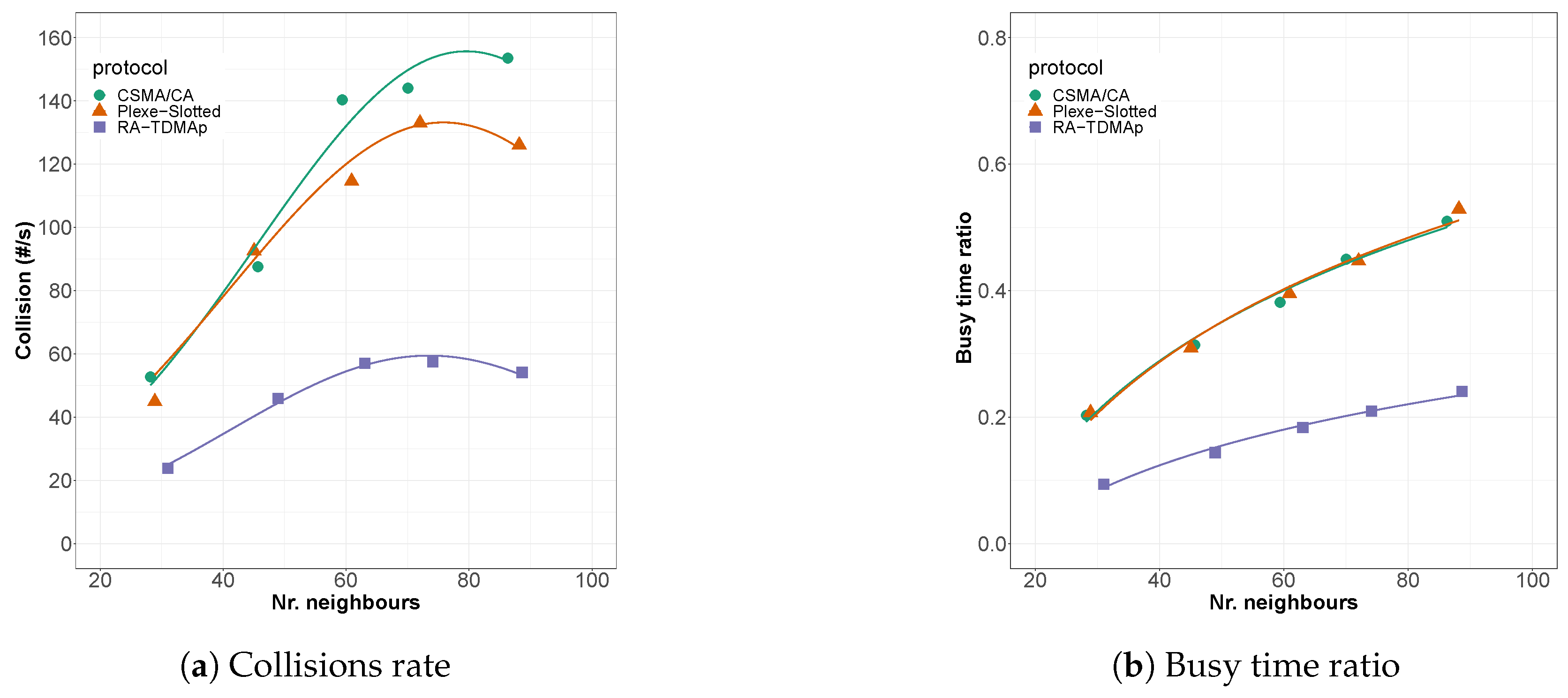
In order to explore the existence of a universal model of the rate of collisions and busy time ratio with respect to the number of RF neighbours, we consolidated the data from all scenarios in Figure 12a,b, respectively. In the first case, we observe that the data points relating to varying number of lanes and varying transmit power do present an alignment along a bell-shaped curve. This alignment indicates that both factors influence the number of RF neighbours and the rate of collisions in the same way, and may indicate a universal relationship between the average rate of collisions and the number of RF neighbours. For this reason, we aggregated the data sets relating to a varying number of lanes and transmit power, and fitted a single curve to produce a common and generic model (bell-shaped curves in Figure 12a).
Figure 12.
Consolidating the metrics of all scenarios.
The platoon size presents a different effect than that of the number of lanes and transmit power: The rate at which the number of RF neighbours increases is inferior, and yet collisions also grow as there are considerably more packets in the air (due to the smaller slot duration). Being different phenomena, the collision curve due to increasing platoon sizes does not fit the trend that occurs when increasing number of lanes and transmit power. We hypothesize that the bell-shaped curve of the rate of collisions drawn for the number of lanes and transmit power can be parameterized to the platoon size as an offset (e.g., ).
The busy time ratio shows a very clear logarithmic and almost linear relationship with the number of RF neighbours. Again, the points concerning the platoon size scenario deviate from those of the number of lanes and transmit power scenarios, as different phenomena are involved. However, the deviation is, in this case, small, supporting a universal model to estimate the busy time ratio as a function of the number of RF neighbours, only.
5. Conclusions
In this work, we present empirical models that relate the number of RF neighbours that a platoon member, in a highway platoon-only scenario, observes with relevant network performance metrics. We show that, as we change scenario and communication parameters, there are underlying and recurrent relationships between the number of RF neighbours and the average rate of collisions (following an exponential curve if we increase platoon size, and a bell-shaped curve if we change the number of occupied lanes and transmit power of followers) and the busy time ratio (a logarithmic-linear relationship is observed in all cases), across a variety of MAC protocols. The universal model for the busy time ratio and the set of models characterizing collisions, described with respect to a practical and accessible metric, the number of RF neighbours, can support the design and operation of applications in highway platoon-only scenarios. As a noteworthy additional finding, we also report that CSMA/CA and PLEXE-slotted can enter in conditions of generalized and small-phase difference coherence between rounds of disparate platoons that profoundly degrade the performance of both metrics; and that this effect is particularly aggravated if platoon sizes are uniform.
RA-TDMAp does not experience this effect due to its ability of inter-leaving the internal periodic communications of neighbouring platoons.
Future work will involve continuing to seek models that abstract from circumstantial conditions. While a single, universal model has been achieved for the busy time ratio, this was not entirely achieved for the collisions metric due to the various described phenomena having different types of impact on this metric. The challenge also remains of determining whether protocols are operating in conditions of high coherence of rounds. A possible solution may pass by inferring concrete physical and/or scenario parameters, e.g., the platoon size, that offers a bijective relationship with the number of collisions. This can be difficult to learn if only the number of RF neighbours is available, as in some situations the relationship between the number of neighbours and the platoon size is not bijective (see Figure 6b). Additional information is required to identify this parameter and condition online, e.g., a machine learning mechanism that considers the time-series of the metric.
We also plan to assess the impact of non-platooning traffic, other more complex propagation models, such as the two-ray model with obstructions, as well as the impact of different sizes of the beacon packets and different beacon frequency.
Finally, we seek to carry out a validation of the models we proposed using actual IEEE 802.11p-enabled hardware.
Author Contributions
Conceptualization, F.S. and L.A.; Funding acquisition, L.A.; Investigation, P.M.S. and F.S.; Methodology, A.A., P.M.S., F.S. and L.A.; Project administration, L.A.; Software, A.A.; Supervision, F.S. and L.A.; Visualization, A.A.; Writing—original draft, A.A. and P.M.S.; Writing—review & editing, P.M.S. and L.A.
Funding
This research was partially funded by FCT/MEC through national funds and when applicable co-funded by FEDER-PT2020 partnership agreement under the project UID/EEA/50008/2019 (IT) and UID/CEC/04234/2019 (CISTER) in Portugal.
Conflicts of Interest
The authors declare no conflict of interest.
References
- Schoch, E.; Kargl, F.; Weber, M.; Leinmuller, T. Communication patterns in VANETs. IEEE Commun. Mag. 2008, 46, 119–125. [Google Scholar] [CrossRef]
- Vukadinovic, V.; Bakowski, K.; Marsch, P.; Garcia, I.D.; Xu, H.; Sybis, M.; Sroka, P.; Wesolowski, K.; Lister, D.; Thibault, I. 3GPP C-V2X and IEEE 802.11 p for Vehicle-to-Vehicle communications in highway platooning scenarios. Ad Hoc Netw. 2018, 74, 17–29. [Google Scholar] [CrossRef]
- Campolo, C.; Vinel, A.; Molinaro, A.; Koucheryavy, Y. Modeling Broadcasting in IEEE 802.11p/WAVE Vehicular Networks. IEEE Commun. Lett. 2011, 15, 199–201. [Google Scholar] [CrossRef]
- Huang, X.; Liu, A.; Liang, X. An Analytical Model of CSMA/CA Performance For Periodic Broadcast Scheme. In Proceedings of the 2018 IEEE/CIC International Conference on Communications in China (ICCC), Beijing, China, 16–18 August 2018; pp. 475–479. [Google Scholar] [CrossRef]
- IEEE. IEEE 802.11p-2010—IEEE Standard for Information Technology—Local and Metropolitan Area Networks—Specific Requirements—Part 11: Wireless LAN Medium Access Control (MAC) and Physical Layer (PHY) Specifications Amendment 6: Wireless Access in Vehicular Environments; IEEE: Piscataway, NJ, USA, 2010. [Google Scholar]
- Segata, M.; Bloessl, B.; Joerer, S.; Sommer, C.; Gerla, M.; Cigno, R.L.; Dressler, F. Towards inter-vehicle communication strategies for platooning support. In Proceedings of the 2014 7th International Workshop on Communication Technologies for Vehicles (Nets4Cars-Fall), St.-Petersburg, Russia, 6–8 October 2014; pp. 1–6. [Google Scholar]
- Aslam, A.; Almeida, L.; Santos, F. A Flexible TDMA Overlay Protocol for Vehicles Platooning. In Proceedings of the 13th International Workshop Communication Technologies for Vehicles—(Net4Cars 2018), Madrid, Spain, 17–18 May 2018; pp. 169–180. [Google Scholar]
- IEEE. IEEE P802.11p/D3.0, Draft Amendment for Wireless Access in Vehicular Environments (WAVE); IEEE: Piscataway, NJ, USA, 2007. [Google Scholar]
- ETSI. 302 663 (V1. 2.1)(11-2012): Intelligent Transport Systems (ITS) AccesS Layer Specification for Intelligent Transport Systems Operating in the 5GHz Band; ETSI: Sophia Antipolis, France, 2012; Volume 5. [Google Scholar]
- Omar, H.; Zhuang, W.; Li, L. VeMAC: A TDMA-based MAC protocol for reliable broadcast in VANETs. IEEE Trans. Mob. Comput. 2013, 12, 1724–1736. [Google Scholar] [CrossRef]
- Lu, N.; Ji, Y.; Liu, F.; Wang, X. A dedicated multi-channel MAC protocol design for VANET with adaptive broadcasting. In Proceedings of the 2010 IEEE Wireless Communication and Networking Conference, Sydney, Australia, 18–21 April 2010; pp. 1–6. [Google Scholar]
- Yu, F.; Biswas, S. A self-organizing MAC protocol for DSRC based vehicular ad hoc networks. In Proceedings of the 27th International Conference on Distributed Computing Systems Workshops, Toronto, ON, Canada, 22–29 June 2007; p. 88. [Google Scholar]
- Alonso, A.; Sjöberg, K.; Uhlemann, E.; Ström, E.; Mecklenbräuker, C. Challenging Vehicular Scenarios for Self-Organizing Time Division Multiple Access; European Cooperation in the Field of Scientific and Technical Research: Brussels, Belgium, 2011. [Google Scholar]
- Ding, R.; Zeng, Q.A. A clustering-based multi-channel vehicle-to-vehicle (V2V) communication system. In Proceedings of the First International Conference on Ubiquitous and Future Networks, Hong Kong, China, 7–9 June 2009; pp. 83–88. [Google Scholar]
- Zhang, X.; Su, H.; Chen, H.H. Cluster-based multi-channel communications protocols in vehicle ad hoc networks. IEEE Wirel. Commun. 2006, 13, 44–51. [Google Scholar] [CrossRef]
- Sheu, T.L.; Lin, Y.H. A Cluster-based TDMA System for Inter-Vehicle Communications. J. Inf. Sci. Eng. 2014, 30, 213–231. [Google Scholar]
- Hadded, M.; Laouiti, A.; Zagrouba, R.; Muhlethaler, P.; Saidane, L.A. A Fully Distributed TDMA based MAC Protocol for Vehicular Ad Hoc Networks. In Proceedings of the International Conference on Performance Evalutaion and Modeling in Wired and Wireless Networks PEMWN’2015, Hammamet, Tunisia, 4–6 November 2015. [Google Scholar]
- Gao, J.; Li, M.; Zhao, L.; Shen, X. Contention Intensity Based Distributed Coordination for V2V Safety Message Broadcast. IEEE Trans. Veh. Technol. 2018, 67, 12288–12301. [Google Scholar] [CrossRef]
- Aslam, A.; Almeida, L.; Santos, F. Impact of Platoon Size on the Performance of TDMA-Based MAC Protocols. In Proceedings of the 2018 IEEE Globecom Workshops (GC Wkshps), Abu Dhabi, UAE, 9–13 December 2018; pp. 1–2. [Google Scholar]
- Sommer, C.; Joerer, S.; Segata, M.; Tonguz, O.K.; Cigno, R.L.; Dressler, F. How shadowing hurts vehicular communications and how dynamic beaconing can help. IEEE Trans. Mob. Comput. 2015, 14, 1411–1421. [Google Scholar] [CrossRef]
- Fernandes, P.; Nunes, U. Platooning with IVC-enabled autonomous vehicles: Strategies to mitigate communication delays, improve safety and traffic flow. IEEE Trans. Intell. Transp. Syst. 2012, 13, 91–106. [Google Scholar] [CrossRef]
- Segata, M.; Dressler, F.; Cigno, R.L. Jerk beaconing: A dynamic approach to platooning. In Proceedings of the 2015 IEEE Vehicular Networking Conference (VNC), Kyoto, Japan, 16–18 December 2015; pp. 135–142. [Google Scholar]
- Almeida, L.; Santos, F.; Oliveira, L. Management of Cyber Physical Objects in the Future Internet of Things: Methods, Architectures and Applications; Series on Internet of Things; Chapter Structuring Communications for Mobile CyberPhysical Systems; Springer: Berlin/Heidelberg, Germany, 2016; Volume 1. [Google Scholar]
- Segata, M.; Joerer, S.; Bloessl, B.; Sommer, C.; Dressler, F.; Lo Cigno, R. PLEXE: A Platooning Extension for Veins. In Proceedings of the 6th IEEE Vehicular Networking Conference (VNC 2014), Paderborn, Germany, 3–5 December 2014; pp. 53–60. [Google Scholar] [CrossRef]
- Sommer, C.; German, R.; Dressler, F. Bidirectionally Coupled Network and Road Traffic Simulation for Improved IVC Analysis. IEEE Trans. Mob. Comput. 2011, 10, 3–15. [Google Scholar] [CrossRef]
- Ploeg, J.; Scheepers, B.T.; Van Nunen, E.; Van de Wouw, N.; Nijmeijer, H. Design and experimental evaluation of cooperative adaptive cruise control. In Proceedings of the 2011 14th International IEEE Conference on Intelligent Transportation Systems (ITSC), Washington, DC, USA, 5–7 October 2011; pp. 260–265. [Google Scholar]
- Eckhoff, D.; Sommer, C. A Multi-Channel IEEE 1609.4 and 802.11p EDCA Model for the Veins Framework. In Proceedings of the 5th ACM/ICST International Conference on Simulation Tools and Techniques for Communications, Networks and Systems (SIMUTools 2012): 5th ACM/ICST International Workshop on OMNeT++ (OMNeT++ 2012), Desenzano, Italy, 19–23 March 2012; Poster Session. ACM: Desenzano, Italy, 2012. [Google Scholar]
- Jiang, D.; Chen, Q.; Delgrossi, L. Optimal data rate selection for vehicle safety communications. In Proceedings of the Fifth ACM International Workshop on VehiculAr Inter-NETworking, San Francisco, CA, USA, 15 September 2008; pp. 30–38. [Google Scholar]
© 2019 by the authors. Licensee MDPI, Basel, Switzerland. This article is an open access article distributed under the terms and conditions of the Creative Commons Attribution (CC BY) license (http://creativecommons.org/licenses/by/4.0/).











