Tilted-Beam Switched Array Antenna for UAV Mounted Radar Applications with 360° Coverage
Abstract
:1. Introduction
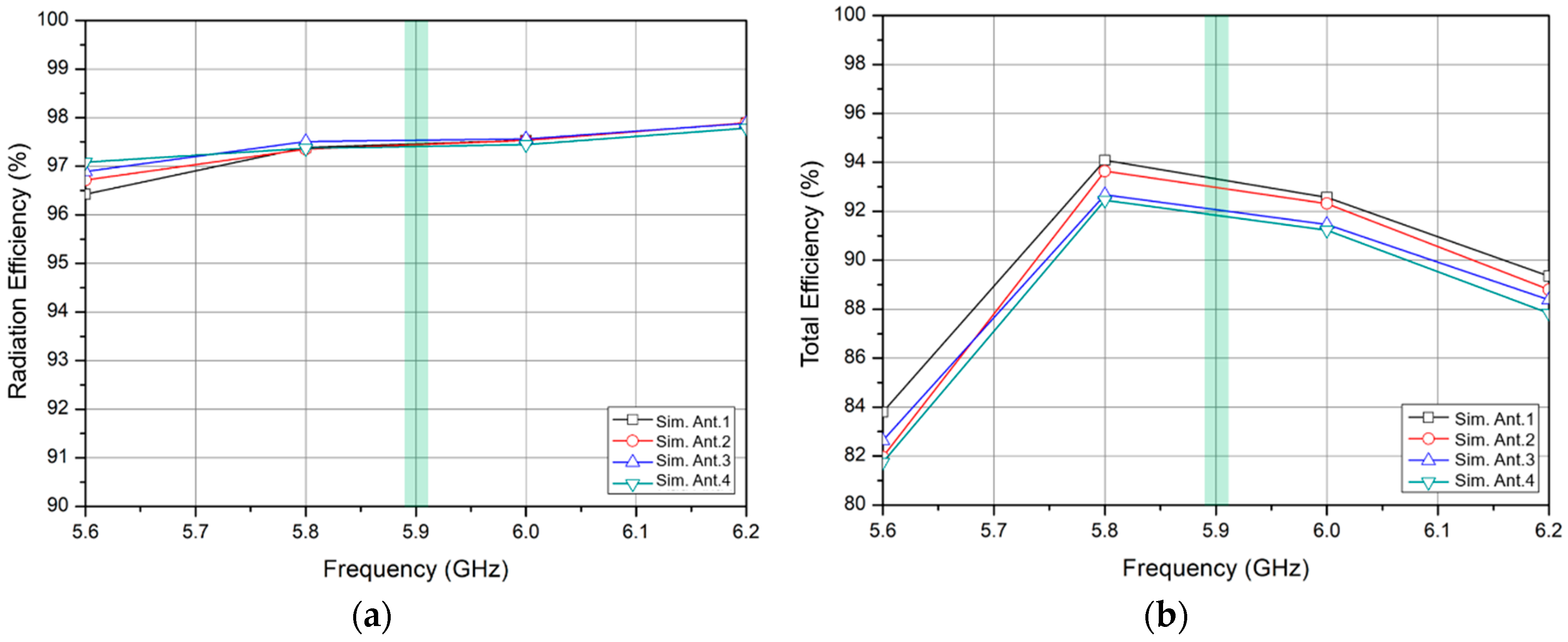
2. Analysis of the Proposed Antenna
3. Measured Results
4. Conclusions
Author Contributions
Funding
Acknowledgments
Conflicts of Interest
References
- Grimaccia, F.; Bonfante, F.; Battipede, M.; Maggiore, P.; Filippone, E. Risk Analysis of the Future Implementation of a Safety Management System for Multiple RPAS Based on First Demonstration Flights. Electronics 2017, 6, 50. [Google Scholar] [CrossRef]
- Wan, P.; Hao, B.; Li, Z.; Ma, X.; Zhao, Y. Accurate Estimation the Scanning Cycle of the Reconnaissance Radar Based on a Single Unmanned Aerial Vehicle. IEEE Access 2017, 5, 22871–22879. [Google Scholar] [CrossRef]
- Baek, H.; Lim, J. Design of Future UAV-Relay Tactical Data Link for Reliable UAV Control and Situational Awareness. IEEE Commun. Mag. 2018, 56, 144–150. [Google Scholar] [CrossRef]
- Kim, S.J.; Lim, G.J.; Cho, J.; Côté, M.J. Drone-Aided Healthcare Services for Patients with Chronic Diseases in Rural Areas. J. Intell. Robot. Syst. 2017, 88, 163–180. [Google Scholar] [CrossRef]
- Mitcheson, P.D.; Boyle, D.; Kkelis, G.; Yates, D.; Saenz, J.A.; Aldhaher, S.; Yeatman, E. Energy-autonomous sensing systems using drones. In Proceedings of the 2017 IEEE SENSORS, Glasgow, UK, 29 October–1 November 2017. [Google Scholar]
- Ullah, H.; Nair, N.G.; Moore, A.; Nugent, C.; Muschamp, P.; Cuevas, M. 5G Communication: An Overview of Vehicle-to-Everything, Drones, and Healthcare Use-Cases. IEEE Access 2019, 7, 37251–37268. [Google Scholar] [CrossRef]
- Kovalchukov, R.; Moltchanov, D.; Samuylov, A.; Ometov, A.; Andreev, S.; Koucheryavy, Y.; Samouylov, K. Analyzing Effects of Directionality and Random Heights in Drone-Based mmWave Communication. IEEE Trans. Veh. Technol. 2018, 67, 10064–10069. [Google Scholar] [CrossRef]
- Naqvi, S.A.R.; Hassan, S.A.; Pervaiz, H.; Ni, Q. Drone-Aided Communication as a Key Enabler for 5G and Resilient Public Safety Networks. IEEE Commun. Mag. 2018, 56, 36–42. [Google Scholar] [CrossRef]
- Fotouhi, A.; Ding, M.; Hassan, M. Flying Drone Base Stations for Macro Hotspots. IEEE Access 2018, 6, 19530–19539. [Google Scholar] [CrossRef]
- Rahman, M.; Naghshvarianjahromi, M.; Mirjavadi, S.S.; Hamouda, A.M. Bandwidth Enhancement and Frequency Scanning Array Antenna Using Novel UWB Filter Integration Technique for OFDM UWB Radar Applications in Wireless Vital Signs Monitoring. Sensors 2018, 18, 3155. [Google Scholar] [CrossRef]
- Rahman, M.; Naghshvarianjahromi, M.; Mirjavadi, S.S.; Hamouda, A.M. Resonator Based Switching Technique Between Ultra Wide Band (UWB) and Single/Dual Continuously Tunable-Notch Behaviors in UWB Radar for Wireless Vital Signs Monitoring. Sensors 2018, 18, 3330. [Google Scholar] [CrossRef]
- Park, K.; Joung, J.; Lim, S.; Lee, H.L. A Compact Crossed Inverted-V Antenna with a Common Reflector for Polarization Diversity in the IoT. Electronics 2019, 8, 637. [Google Scholar] [CrossRef]
- Row, J.S.; Tsai, C.W. Pattern Reconfigurable Antenna Array with Circular Polarization. IEEE Trans. Antennas Propag. 2016, 64, 1025–1030. [Google Scholar] [CrossRef]
- Zhong, L.; Hong, J.S.; Zhou, H.C. A Novel Pattern-Reconfigurable Cylindrical Dielectric Resonator Antenna with Enhanced Gain. IEEE Trans. Antennas Propag. 2016, 15, 1253–1256. [Google Scholar] [CrossRef]
- Yang, G.; Li, J.; Wei, D.; Zhou, S.G.; Xu, R. Pattern Reconfigurable Microstrip Antenna with Multidirectional Beam for Wireless Communication. IEEE Trans. Antennas Propag. 2019, 67, 1910–1915. [Google Scholar] [CrossRef]
- Tang, M.C.; Duan, Y.; Wu, Z.; Chen, X.; Li, M.; Ziolkowski, R.W. Pattern Reconfigurable, Vertically Polarized, Low-Profile, Compact, Near-Field Resonant Parasitic Antenna. IEEE Trans. Antennas Propag. 2019, 67, 1467–1475. [Google Scholar] [CrossRef]
- Row, J.S.; Huang, Y.J. Reconfigurable Antenna with Switchable Broadside and Conical Beams and Switchable Linear Polarized Patterns. IEEE Trans. Antennas Propag. 2018, 66, 3752–3756. [Google Scholar] [CrossRef]
- Lin, W.; Wong, H.; Ziolkowski, R.W. Wideband Pattern-Reconfigurable Antenna with Switchable broadside and conical beams. IEEE Antennas Wirel. Propag. Lett. 2017, 16, 2638–2641. [Google Scholar] [CrossRef]
- Chen, S.L.; Qin, P.Y.; Lin, W.; Guo, Y.J. Pattern-Reconfigurable Antenna with Five Switchable Beams in Elevation Plane. IEEE Antennas Wirel. Propag. Lett. 2018, 17, 454–457. [Google Scholar] [CrossRef]
- Kittiyanpunya, C.; Krairiksh, M. A Four-Beam Pattern Reconfigurable Yagi-Uda Antenna. IEEE Trans. Antennas Propag. 2013, 61, 6210–6214. [Google Scholar] [CrossRef]
- Juan, Y.; Che, W.; Yang, W.; Chen, Z.N. Compact Pattern-Reconfigurable Monopole Antenna Using Parasitic. IEEE Antennas Wirel. Propag. Lett. 2017, 16, 557–560. [Google Scholar] [CrossRef]
- Li, P.K.; Shao, Z.H.; Wang, Q.; Cheng, Y.J. Frequency—and Pattern—Reconfigurable Antenna for Multi standard Wireless Applications. IEEE Antennas Wirel. Propag. Lett. 2015, 14, 333–336. [Google Scholar] [CrossRef]












| Dimension | (mm) | Dimension | (mm) | Dimension | (mm) | Dimension | (mm) |
|---|---|---|---|---|---|---|---|
| L1 | 11.5 | L5 | 13.5 | W1 | 1 | W5 | 5.5 |
| L2 | 5.5 | L6 | 11.5 | W2 | 2 | W6 | 5.3 |
| L3 | 6.3 | L7 | 5.3 | W3 | 7 | W7 | 9.1 |
| L4 | 37 | - | - | W4 | 22.5 | - | - |
© 2019 by the authors. Licensee MDPI, Basel, Switzerland. This article is an open access article distributed under the terms and conditions of the Creative Commons Attribution (CC BY) license (http://creativecommons.org/licenses/by/4.0/).
Share and Cite
Lee, C.U.; Noh, G.; Ahn, B.; Yu, J.-W.; Lee, H.L. Tilted-Beam Switched Array Antenna for UAV Mounted Radar Applications with 360° Coverage. Electronics 2019, 8, 1240. https://doi.org/10.3390/electronics8111240
Lee CU, Noh G, Ahn B, Yu J-W, Lee HL. Tilted-Beam Switched Array Antenna for UAV Mounted Radar Applications with 360° Coverage. Electronics. 2019; 8(11):1240. https://doi.org/10.3390/electronics8111240
Chicago/Turabian StyleLee, Cheol Ung, Gunhark Noh, ByungKuon Ahn, Jong-Won Yu, and Han Lim Lee. 2019. "Tilted-Beam Switched Array Antenna for UAV Mounted Radar Applications with 360° Coverage" Electronics 8, no. 11: 1240. https://doi.org/10.3390/electronics8111240
APA StyleLee, C. U., Noh, G., Ahn, B., Yu, J.-W., & Lee, H. L. (2019). Tilted-Beam Switched Array Antenna for UAV Mounted Radar Applications with 360° Coverage. Electronics, 8(11), 1240. https://doi.org/10.3390/electronics8111240

