A Novel Screening Method Based on a Partially Discharging Curve Using a Genetic Algorithm and Back-Propagation Model for the Cascade Utilization of Retired Lithium-Ion Batteries
Abstract
1. Introduction
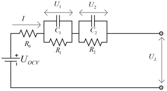
2. Methods
2.1. Fast Screening of Capacity
2.2. Fast Screening of Internal Resistance
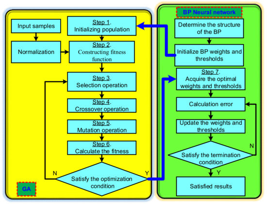
2.3. Capacity Screening Model Based on GA-BP Neural Network
3. Simulation
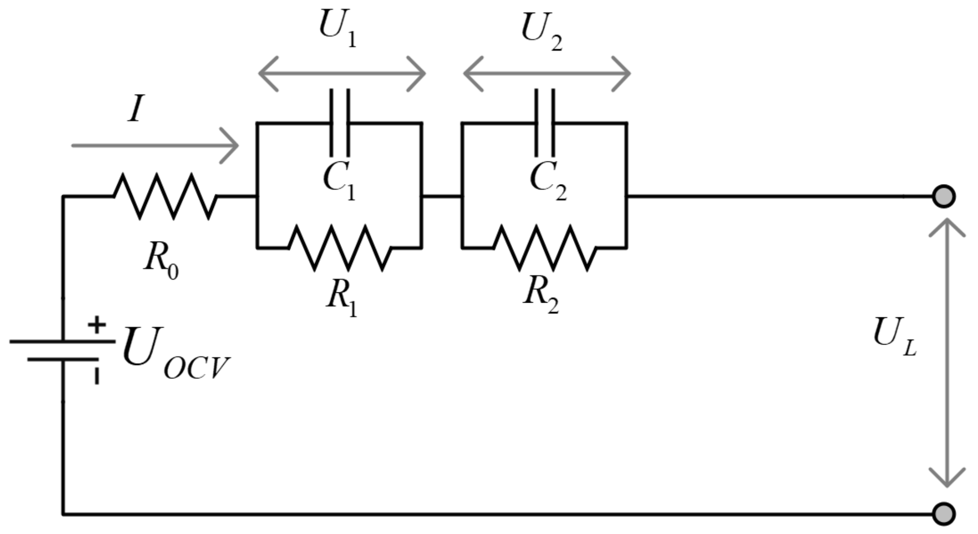
3.1. Simulation Model
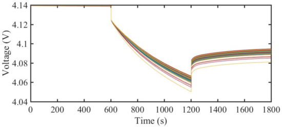
3.2. Simulation Results and Discussion
4. Experiment Verification and Discussion
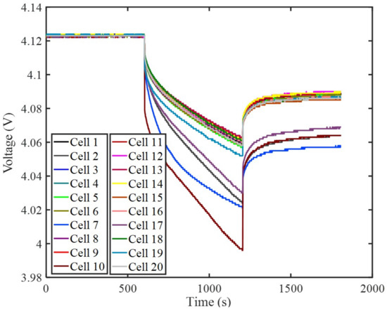
4.1. Experiment Bench and Procedure
- Twenty cells (numbered Cell 1–Cell 20) were charged to SOC 100% and then rested for 10 min.
- Twenty cells were installed in the battery test bench. Since the battery test system could only install six cells at a time, we divided the above 20 cells into four groups, six cells in each group from the first to the third and two cells in the fourth. Series constant current discharge was carried out for each group.
- Each group of cells were discharged in series at a constant current of 11 A (C/3). The discharge time was 10 min, and the voltage data were recorded at a frequency of 1 Hz.
- Step 3 was repeated until the discharging of four groups with 20 cells was completed.
- The internal resistance of each cell was calculated by Equation (2). Standard capacity test of all cells was performed, and was obtained by Equation (1). Then, a screening model was trained by and the of partial cells using GA-BP.
- The capacity of the remaining battery was estimated, and the estimation error was investigated using the proposed capacity screening model.
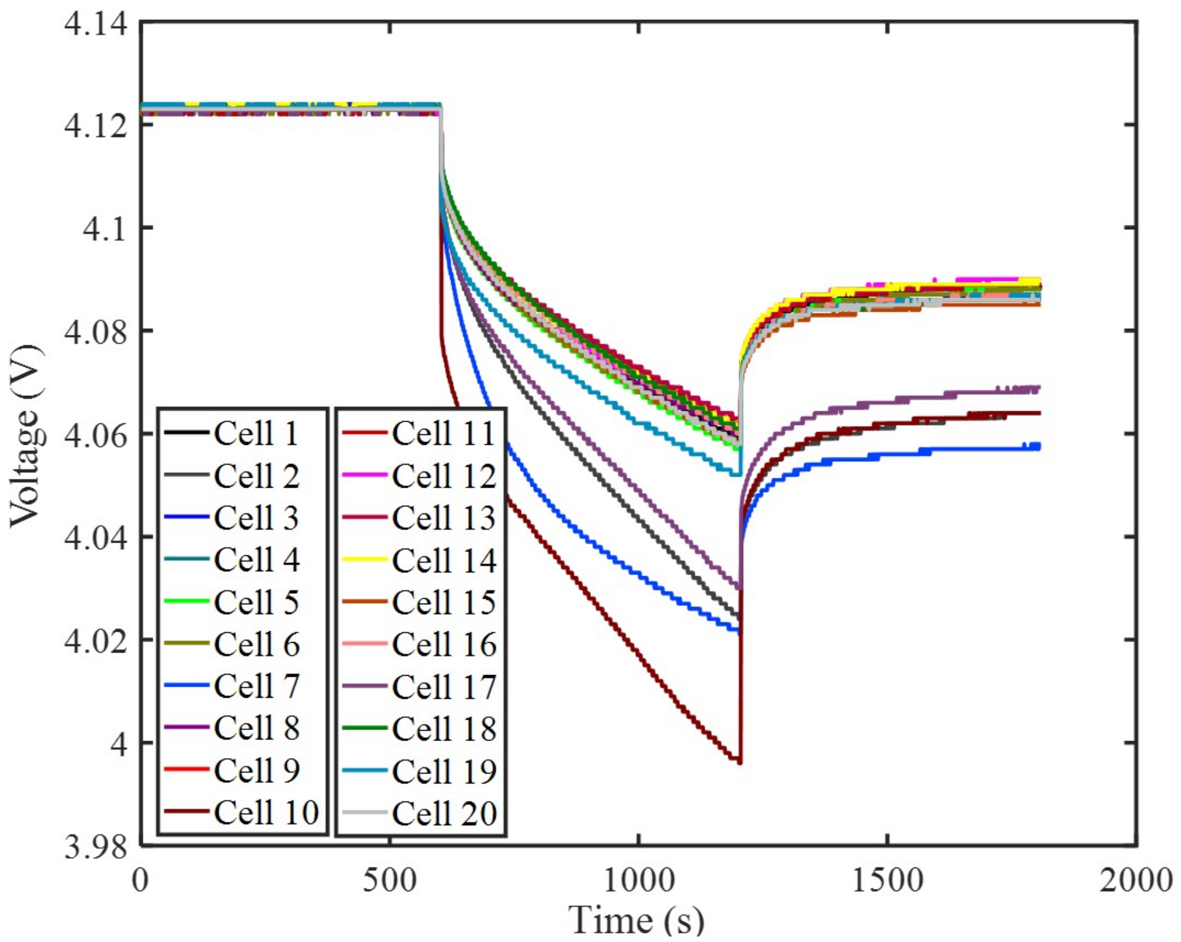
4.2. Experiment Results
4.3. Experiment Verification of Capacity Screening
5. Conclusions
Author Contributions
Funding
Conflicts of Interest
References
- Hannan, M.A.; Lipu, M.S.H.; Hussain, A.; Mohamed, A. A review of lithium-ion battery state of charge estimation and management system in electric vehicle applications: Challenges and recommendations. Renew. Sust. Energ Rev. 2017, 78, 834–854. [Google Scholar] [CrossRef]
- Lai, X.; Jiang, C.; Zheng, Y.; Gao, H.; Huang, P.; Zhou, L. A Novel Composite Equalizer Based on an Additional Cell for Series-Connected Lithium-Ion Cells. Electronics 2018, 7, 366. [Google Scholar] [CrossRef]
- Lai, X.; Yi, W.; Zheng, Y.; Zhou, L. An All-Region State-of-Charge Estimator Based on Global Particle Swarm Optimization and Improved Extended Kalman Filter for Lithium-Ion Batteries. Electronics 2018, 7, 321. [Google Scholar]
- Lai, X.; Qin, C.; Gao, W.K.; Zheng, Y.J.; Yi, W. A state of charge estimator based extended kalman filter using an electrochemistry-based equivalent circuit model for lithium-ion batteries. Appl. Sci. 2018, 8, 1592. [Google Scholar] [CrossRef]
- Lai, X.; Zheng, Y.J.; Sun, T. A comparative study of different equivalent circuit models for estimating state-of-charge of lithium-ion batteries. Electrochim. Acta 2018, 259, 566–577. [Google Scholar] [CrossRef]
- Zheng, Y.J.; Ouyang, M.G.; Han, X.B.; Lu, L.G.; Li, J.Q. Investigating the error sources of the online state of charge estimation methods for lithium-ion batteries in electric vehicles. J. Power Sources 2018, 377, 161–188. [Google Scholar]
- Tie, S.F.; Tan, C.W. A review of energy sources and energy management system in electric vehicles. Renew. Sust. Energ Rev. 2013, 20, 82–102. [Google Scholar] [CrossRef]
- Bubbico, R.; Greco, V.; Menale, C. Hazardous scenarios identification for li-ion secondary batteries. Saf. Sci. 2018, 108, 72–88. [Google Scholar] [CrossRef]
- Neubauer, J.; Pesaran, A. The ability of battery second use strategies to impact plug-in electric vehicle prices and serve utility energy storage applications. J. Power Sources 2011, 196, 10351–10358. [Google Scholar] [CrossRef]
- Jiang, Y.; Jiang, J.C.; Zhang, C.P.; Zhang, W.G.; Gao, Y.; Guo, Q.P. Recognition of battery aging variations for lifepo4 batteries in 2nd use applications combining incremental capacity analysis and statistical approaches. J. Power Sources 2017, 360, 180–188. [Google Scholar] [CrossRef]
- Wood, E.; Alexander, M.; Bradley, T.H. Investigation of battery end-of-life conditions for plug-in hybrid electric vehicles. J. Power Sources 2011, 196, 5147–5154. [Google Scholar] [CrossRef]
- Debnath, U.K.; Ahmad, I.; Habibi, D. Quantifying economic benefits of second life batteries of gridable vehicles in the smart grid. Int. J. Electr. Power 2014, 63, 577–587. [Google Scholar] [CrossRef]
- Tong, S.J.; Same, A.; Kootstra, M.A.; Park, J.W. Off-grid photovoltaic vehicle charge using second life lithium batteries: An experimental and numerical investigation. Appl. Energy 2013, 104, 740–750. [Google Scholar] [CrossRef]
- Lai, X.; Zheng, Y.J.; Zhou, L.; Gao, W.K. Electrical behavior of overdischarge-induced internal short circuit in lithium-ion cells. Electrochim. Acta 2018, 278, 245–254. [Google Scholar] [CrossRef]
- Lu, L.G.; Han, X.B.; Li, J.Q.; Hua, J.F.; Ouyang, M.G. A review on the key issues for lithium-ion battery management in electric vehicles. J. Power Sources 2013, 226, 272–288. [Google Scholar] [CrossRef]
- Gao, W.; Zheng, Y.; Ouyang, M.; Li, J.; Lai, X.; Hu, X. Micro-short circuit diagnosis for series-connected lithium-ion battery packs using mean-difference model. IEEE Trans. Ind. Electron. 2019, 66, 2132–2142. [Google Scholar] [CrossRef]
- Xu, Y.M. Capacity estimation and cascade utilization method of retired lithium ion batteries. J. Nanoelectron. Optoectron. 2017, 12, 803–807. [Google Scholar] [CrossRef]
- Gu, F.; Guo, J.F.; Yao, X.; Summers, P.A.; Widijatmoko, S.D.; Hall, P. An investigation of the current status of recycling spent lithium-ion batteries from consumer electronics in china. J. Clean. Prod. 2017, 161, 765–780. [Google Scholar] [CrossRef]
- Goh, T.; Park, M.; Seo, M.; Kim, J.G.; Kim, S.W. Capacity estimation algorithm with a second-order differential voltage curve for li-ion batteries with nmc cathodes. Energy 2017, 135, 257–268. [Google Scholar] [CrossRef]
- Hu, C.; Youn, B.D.; Chung, J. A multiscale framework with extended kalman filter for lithium-ion battery soc and capacity estimation. Appl. Energy 2012, 92, 694–704. [Google Scholar] [CrossRef]
- Mohan, S.; Kim, Y.; Stefanopoulou, A.G. Estimating the power capability of li-ion batteries using informationally partitioned estimators. IEEE Trans. Control Syst. Technol. 2016, 24, 1643–1654. [Google Scholar] [CrossRef]
- Lajara, R.; Perez-Solano, J.J.; Pelegri-Sebastia, J. Predicting the batteries’ state of health in wireless sensor networks applications. IEEE Trans. Ind. Electron. 2018, 65, 8936–8945. [Google Scholar] [CrossRef]
- Barai, A.; Uddin, K.; Widanage, W.D.; McGordon, A.; Jennings, P. A study of the influence of measurement timescale on internal resistance characterisation methodologies for lithium-ion cells. Sci. Rep. 2018, 8, 21. [Google Scholar] [CrossRef] [PubMed]
- Ouyang, M.G.; Ren, D.S.; Lu, L.G.; Li, J.Q.; Feng, X.N.; Han, X.B.; Liu, G.M. Overcharge-induced capacity fading analysis for large format lithium-ion batteries with liyni1/3co1/3mn1/3o2 + liymn2o4 composite cathode. J. Power Sources 2015, 279, 626–635. [Google Scholar] [CrossRef]
- Lai, X.; Qiao, D.; Zheng, Y.; Zhou, L. A fuzzy state-of-charge estimation algorithm combining ampere-hour and an extended kalman filter for li-ion batteries based on multi-model global identification. Appl. Sci. 2018, 8, 2028. [Google Scholar] [CrossRef]
- Hannan, M.A.; Lipu, M.S.H.; Hussain, A.; Saad, M.H.; Ayob, A. Neural network approach for estimating state of charge of lithium-ion battery using backtracking search algorithm. IEEE Access 2018, 6, 10069–10079. [Google Scholar] [CrossRef]
- Maity, S.; Roy, A.; Maiti, M. An imprecise multi-objective genetic algorithm for uncertain constrained multi-objective solid travelling salesman problem. Expert Syst. Appl. 2016, 46, 196–223. [Google Scholar] [CrossRef]
- Lai, X.; Gao, W.; Zheng, Y.; Ouyang, M.; Li, J.; Han, X.; Zhou, L. A comparative study of global optimization methods for parameter identification of different equivalent circuit models for Li-ion batteries. Electrochim. Acta 2019, 295, 1057–1066. [Google Scholar] [CrossRef]
- Zhou, L.; Zheng, Y.J.; Ouyang, M.G.; Lu, L.G. A study on parameter variation effects on battery packs for electric vehicles. J. Power Sources 2017, 364, 242–252. [Google Scholar] [CrossRef]
- Wang, J.; Liu, P.; Hicks-Garner, J.; Sherman, E.; Soukiazian, S.; Verbrugge, M.; Tataria, H.; Musser, J.; Finamore, P. Cycle-life model for graphite-lifepo(4) cells. J. Power Sources 2011, 196, 3942–3948. [Google Scholar] [CrossRef]
- Han, X.B.; Ouyang, M.G.; Lu, L.G.; Li, J.Q. A comparative study of commercial lithium ion battery cycle life in electric vehicle: Capacity loss estimation. J. Power Sources 2014, 268, 658–669. [Google Scholar] [CrossRef]
- Zheng, Y.J.; Ouyang, M.G.; Lu, L.G.; Li, J.Q. Understanding aging mechanisms in lithium-ion battery packs: From cell capacity loss to pack capacity evolution. J. Power Sources 2015, 278, 287–295. [Google Scholar] [CrossRef]
- Matsushima, T. Deterioration estimation of lithium-ion cells in direct current power supply systems and characteristics of 400-ah lithium-ion cells. J. Power Sources 2009, 189, 847–854. [Google Scholar] [CrossRef]












| Nominal Capacity (Ah) | Nominal Voltage (V) | Lower Cutoff Voltage (V) | Upper Cutoff Voltage (V) | Maximum Charge Current (A) |
|---|---|---|---|---|
| 32.5 | 3.75 | 2.5 | 4.15 | 65 |
| Cell | Resistance | Cell | Resistance | Cell | Resistance | Cell | Resistance |
|---|---|---|---|---|---|---|---|
| Cell 1 | 1.5455 | Cell 6 | 1.5455 | Cell 11 | 1.4545 | Cell 16 | 1.3636 |
| Cell 2 | 2.0000 | Cell 7 | 2.3636 | Cell 12 | 1.5455 | Cell 17 | 2.0000 |
| Cell 3 | 1.3636 | Cell 8 | 1.5455 | Cell 13 | 1.3636 | Cell 18 | 1.3636 |
| Cell 4 | 1.3636 | Cell 9 | 1.4545 | Cell 14 | 1.5455 | Cell 19 | 2.0909 |
| Cell 5 | 1.6364 | Cell 10 | 4.4545 | Cell 15 | 1.4545 | Cell 20 | 1.5455 |
| Cell | Capacity | Cell | Capacity | Cell | Capacity | Cell | Capacity |
|---|---|---|---|---|---|---|---|
| Cell 1 | 31.1393 | Cell 6 | 29.5180 | Cell 11 | 30.2929 | Cell 16 | 30.8068 |
| Cell 2 | 25.6958 | Cell 7 | 24.1487 | Cell 12 | 30.0646 | Cell 17 | 25.9504 |
| Cell 3 | 30.1651 | Cell 8 | 30.1112 | Cell 13 | 29.7758 | Cell 18 | 30.1882 |
| Cell 4 | 30.7096 | Cell 9 | 30.3925 | Cell 14 | 29.7204 | Cell 19 | 28.9469 |
| Cell 5 | 29.4532 | Cell 10 | 25.3295 | Cell 15 | 29.7668 | Cell 20 | 28.8966 |
| Cell | Capacity | Cell | Capacity | Cell | Capacity | Cell | Capacity |
|---|---|---|---|---|---|---|---|
| Cell 1 | 4.0420 | Cell 6 | 4.0410 | Cell 11 | 4.0460 | Cell 16 | 4.0450 |
| Cell 2 | 4.0020 | Cell 7 | 3.9950 | Cell 12 | 4.0440 | Cell 17 | 4.0080 |
| Cell 3 | 4.0450 | Cell 8 | 4.0430 | Cell 13 | 4.0480 | Cell 18 | 4.0460 |
| Cell 4 | 4.0460 | Cell 9 | 4.0450 | Cell 14 | 4.0440 | Cell 19 | 4.0290 |
| Cell 5 | 4.0390 | Cell 10 | 3.9470 | Cell 15 | 4.0420 | Cell 20 | 4.0410 |
| Number of Cells | Screening Time (h) | |
|---|---|---|
| Traditional Method | Our Proposed Method | |
| 100 | 60 | 33.34 |
| 300 | 180 | 43.33 |
| 500 | 300 | 53.33 |
© 2018 by the authors. Licensee MDPI, Basel, Switzerland. This article is an open access article distributed under the terms and conditions of the Creative Commons Attribution (CC BY) license (http://creativecommons.org/licenses/by/4.0/).
Share and Cite
Lai, X.; Qiao, D.; Zheng, Y.; Yi, W. A Novel Screening Method Based on a Partially Discharging Curve Using a Genetic Algorithm and Back-Propagation Model for the Cascade Utilization of Retired Lithium-Ion Batteries. Electronics 2018, 7, 399. https://doi.org/10.3390/electronics7120399
Lai X, Qiao D, Zheng Y, Yi W. A Novel Screening Method Based on a Partially Discharging Curve Using a Genetic Algorithm and Back-Propagation Model for the Cascade Utilization of Retired Lithium-Ion Batteries. Electronics. 2018; 7(12):399. https://doi.org/10.3390/electronics7120399
Chicago/Turabian StyleLai, Xin, Dongdong Qiao, Yuejiu Zheng, and Wei Yi. 2018. "A Novel Screening Method Based on a Partially Discharging Curve Using a Genetic Algorithm and Back-Propagation Model for the Cascade Utilization of Retired Lithium-Ion Batteries" Electronics 7, no. 12: 399. https://doi.org/10.3390/electronics7120399
APA StyleLai, X., Qiao, D., Zheng, Y., & Yi, W. (2018). A Novel Screening Method Based on a Partially Discharging Curve Using a Genetic Algorithm and Back-Propagation Model for the Cascade Utilization of Retired Lithium-Ion Batteries. Electronics, 7(12), 399. https://doi.org/10.3390/electronics7120399

