Equivalent Resonant Circuit Modeling of a Graphene-Based Bowtie Antenna
Abstract
1. Introduction
2. Graphene Property and Bowtie Antenna Design
3. RLC Circuit Model
4. Results and Discussions
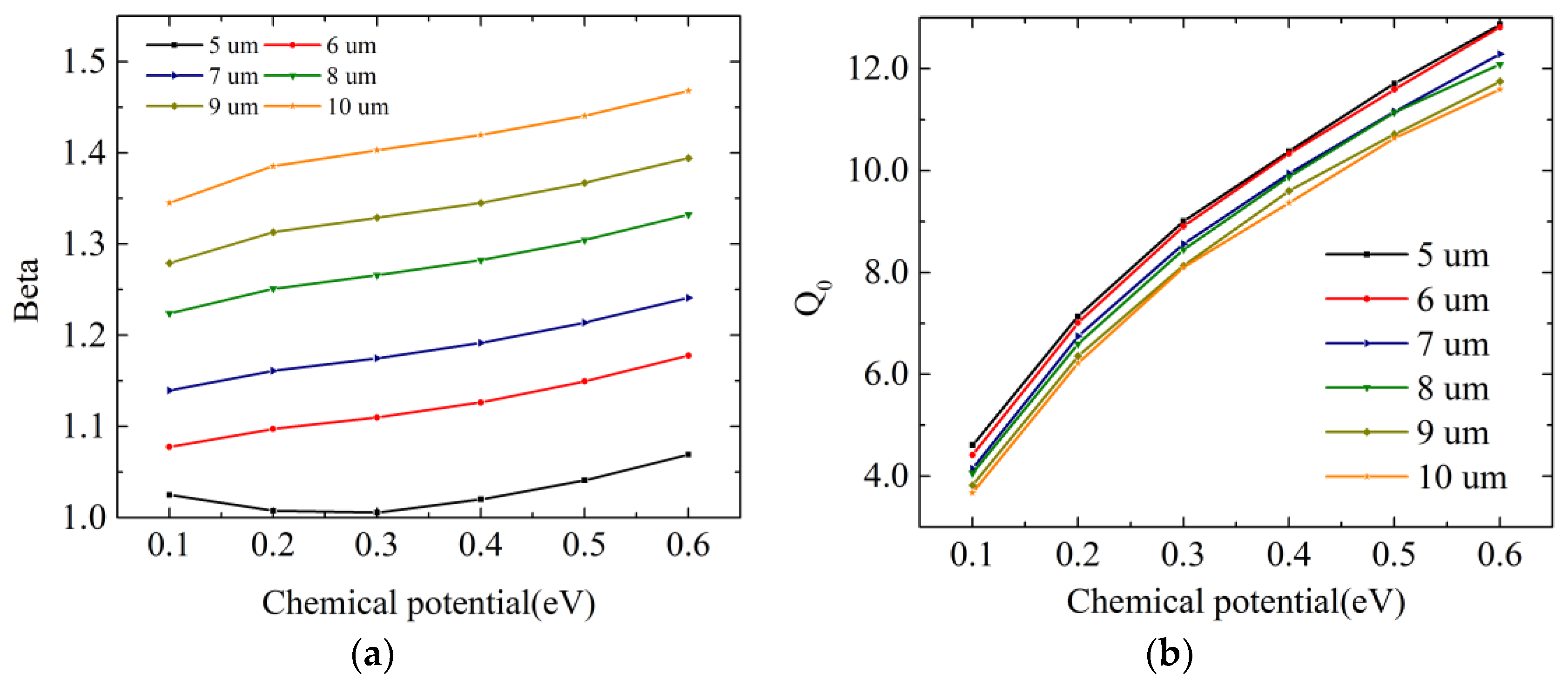
4.1. Chemical Potential
4.2. Antenna Arm Length
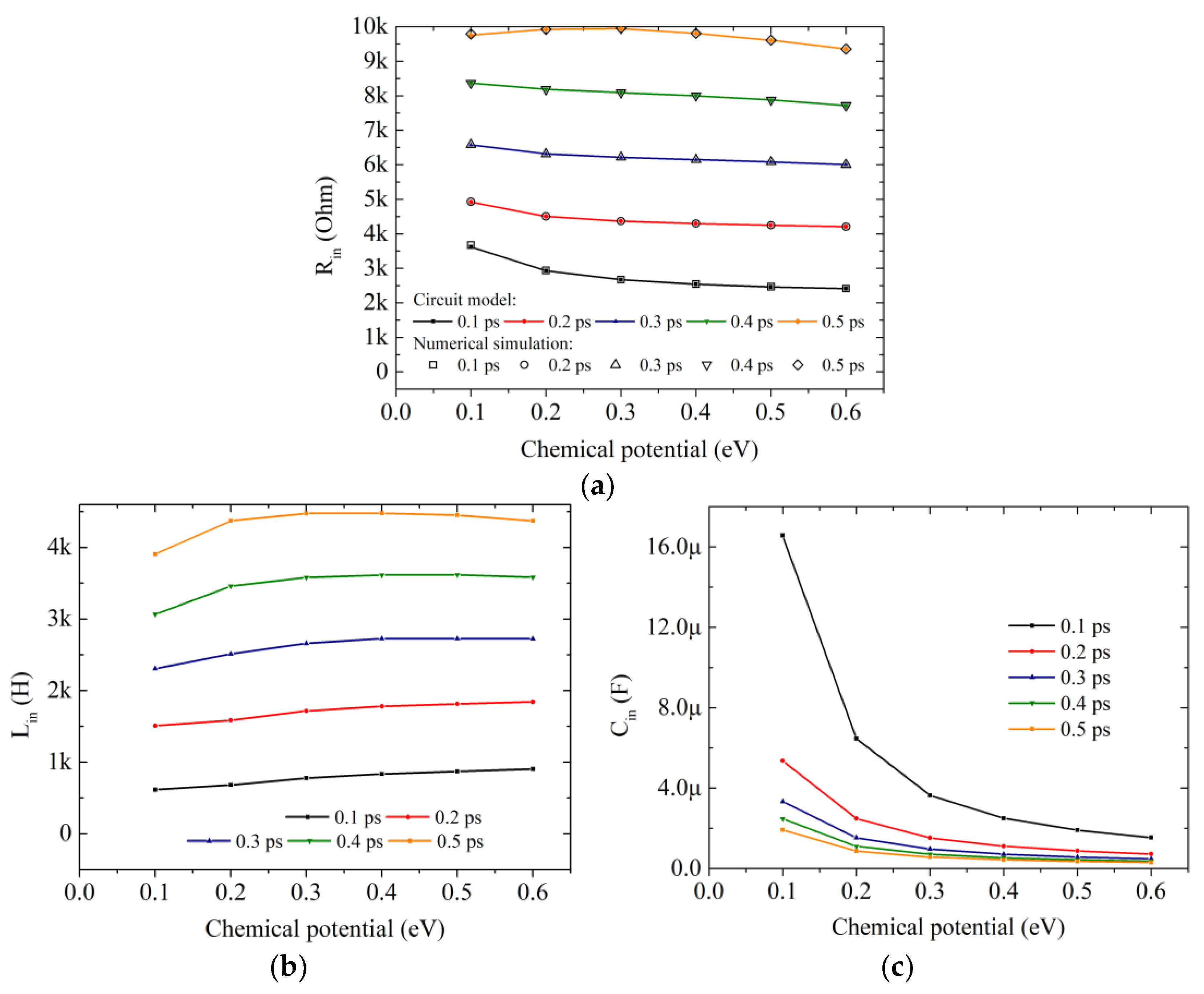
4.3. Relaxation Time
4.4. Substrate Thickness
5. Conclusions
Author Contributions
Funding
Conflicts of Interest
References
- Akyildiz, I.F.; Jornet, J.M.; Han, C. Terahertz band: Next frontier for wireless communications. Phys. Commun. 2014, 12, 16–32. [Google Scholar] [CrossRef]
- Akyildiz, I.F.; Miquel, J. Realizing Ultra-Massive MIMO (1024 × 1024) Communication in the (0.06–10) Terahertz band. Nano Commun. Netw. 2016, 8, 46–54. [Google Scholar] [CrossRef]
- Geim, A.K.; Novoselov, K.S. The rise of graphene. Nat. Mater. 2007, 6, 183–191. [Google Scholar] [CrossRef] [PubMed]
- Hanson, G.W. Dyadic green’s functions for an anisotropic, non-local model of biased graphene. IEEE Trans. Antennas Propag. 2008, 56, 747–757. [Google Scholar] [CrossRef]
- Bablich, A.; Kataria, S.; Lemme, M. Graphene and Two-Dimensional Materials for Optoelectronic Applications. Electronics 2016, 5, 13. [Google Scholar] [CrossRef]
- Dragoman, M.; Muller, A.A.; Dragoman, D.; Coccetti, F.; Plana, R. Terahertz antenna based on graphene. J. Appl. Phys. 2010, 107, 104313. [Google Scholar] [CrossRef]
- Vakil, A.; Engheta, N. Transformation Optics Using Graphene. Science. 2011, 332, 1291–1294. [Google Scholar] [CrossRef] [PubMed]
- Jablan, M.; Buljan, H.; Soljačić, M. Plasmonics in graphene at infrared frequencies. Phys. Rev. B 2009, 80, 245435. [Google Scholar] [CrossRef]
- Llatser, I.; Kremers, C.; Cabellos-Aparicio, A.; Jornet, J.M.; Alarcón, E.; Chigrin, D.N. Graphene-based nano-patch antenna for terahertz radiation. Photonics Nanostruct. Fundam. Appl. 2012, 10, 353–358. [Google Scholar] [CrossRef]
- Tamagnone, M.; Gómez-Díaz, J.S.; Mosig, J.R.; Perruisseau-Carrier, J. Reconfigurable terahertz plasmonic antenna concept using a graphene stack. Appl. Phys. Lett. 2012, 101, 214102. [Google Scholar] [CrossRef]
- Wang, X.; Zhao, W.; Hu, J.; Yin, W. Reconfigurable Terahertz Leaky-Wave Antenna Using Graphene-based High-impedance Surface. IEEE Trans. Nanotechnol. 2015, 14, 62–69. [Google Scholar] [CrossRef]
- Llatser, I.; Kremers, C.; Chigrin, D.N.; Jornet, J.M.; Lemme, M.C.; Cabellos-Aparicio, A.; Alarcon, E. Characterization of graphene-based nano-antennas in the terahertz band. Radioengineering 2012, 21, 946–953. [Google Scholar]
- Amanatiadis, S.A.; Karamanos, T.D.; Kantartzis, N.V. Radiation Efficiency Enhancement of Graphene THz Antennas Utilizing Metamaterial Substrates. IEEE Antennas Wirel. Propag. Lett. 2017, 16, 2054–2057. [Google Scholar] [CrossRef]
- Hosseininejad, S.E.; Neshat, M.; Faraji-Dana, R.; Lemme, M.C.; Haring Bolívar, P.; Cabellos-Aparicio, A.; Alarcón, E.; Abadal, S. Reconfigurable THz Plasmonic Antenna Based on Few-layer Graphene With High Radiation Efficiency. Nanomaterials 2018, 8, 577. [Google Scholar] [CrossRef] [PubMed]
- Correas-Serrano, D.; Gomez-Diaz, J.S. Graphene-based Antennas for Terahertz Systems: A Review. arXiv, 2017; arXiv:1704.00371. [Google Scholar]
- Li, L.; Liang, C.-H. Analysis of Resonance and Quality Factor of Antenna and Scattering Systems Using Complex Frequency Method Combined With Model-Based Parameter Estimation. Prog. Electromagn. Res. 2004, 46, 165–188. [Google Scholar] [CrossRef]
- Majeed, F.; Shahpari, M.; Thiel, D.V. Pole-zero analysis and wavelength scaling of carbon nanotube antennas. Int. J. RF Microw. Comput.-Aided Eng. 2017, 27, e21103. [Google Scholar] [CrossRef]
- Tamagnone, M.; Perruisseau-Carrier, J. Predicting Input Impedance and Efficiency of Graphene Reconfigurable Dipoles Using a Simple Circuit Model. IEEE Antennas Wirel. Propag. Lett. 2014, 13, 313–316. [Google Scholar] [CrossRef]
- Cao, Y.S.; Jiang, L.J.; Ruehli, A.E. An Equivalent Circuit Model for Graphene-Based Terahertz Antenna Using the PEEC Method. IEEE Trans. Antennas Propag. 2016, 64, 1385–1393. [Google Scholar] [CrossRef]
- Lovat, G. Equivalent circuit for electromagnetic interaction and transmission through graphene sheets. IEEE Trans. Electromagn. Compat. 2012, 54, 101–109. [Google Scholar] [CrossRef]
- Wu, Z.; Davis, L.E. Automation-orientated techniques for quality-factor measurement: Of high-Tc superconducting resonators. IEE Proc. Sci. Meas. Technol. 1994, 141, 527–530. [Google Scholar] [CrossRef]
- Hanson, G.W. Dyadic Green’s functions and guided surface waves for a surface conductivity model of graphene. J. Appl. Phys. 2008, 103, 064302. [Google Scholar] [CrossRef]
- Locatelli, A.; Town, G.E.; De Angelis, C. Graphene-Based Terahertz Waveguide Modulators. IEEE Trans. Terahertz Sci. Technol. 2015, 5, 351–357. [Google Scholar] [CrossRef]
- Zakrajsek, L.; Einarsson, E.; Thawdar, N.; Medley, M.; Jornet, J.M. Lithographically Defined Plasmonic Graphene Antennas for Terahertz-Band Communication. IEEE Antennas Wirel. Propag. Lett. 2016, 15, 1553–1556. [Google Scholar] [CrossRef]
- Blake, P.; Hill, E.W.; Castro Neto, A.H.; Novoselov, K.S.; Jiang, D.; Yang, R.; Booth, T.J.; Geim, A.K. Making graphene visible. Appl. Phys. Lett. 2007, 91, 063124. [Google Scholar] [CrossRef]
- Tamagnone, M.; Gómez-Díaz, J.S.; Mosig, J.R.; Perruisseau-Carrier, J. Analysis and design of terahertz antennas based on plasmonic resonant graphene sheets. J. Appl. Phys. 2012, 112, 114915. [Google Scholar] [CrossRef]
- Gregory, I.S.; Baker, C.; Tribe, W.R.; Bradley, I.V.; Evans, M.J.; Linfield, E.H.; Davies, A.G.; Missous, M. Optimization of photomixers and antennas for continuous-wave terahertz emission. IEEE J. Quantum Electron. 2005, 41, 717–728. [Google Scholar] [CrossRef]
- Duffy, S.M.; Verghese, S.; McIntosh, K.A.; Jackson, A.; Gossard, A.C.; Matsuura, S. Accurate modeling of dual dipole and slot elements used with photomixers for coherent terahertz output power. IEEE Trans. Microw. Theory Tech. 2001, 49, 1032–1038. [Google Scholar] [CrossRef]
- Cabellos, A.; Llátser, I.; Alarcón, E. Use of THz Photoconductive Sources to Characterize Graphene RF Plasmonic Antennas. IEEE Trans. Nanotechnol. 2015, 14, 390–396. [Google Scholar] [CrossRef]
- Yaghjian, A.D.; Best, S.R. Impedance, bandwidth, and Q of antennas. IEEE Trans. Antennas Propag. 2005, 53, 1298–1324. [Google Scholar] [CrossRef]
- Shahpari, M.; Thiel, D.V.; Lewis, A. An investigation into the gustafsson limit for small planar antennas using optimization. IEEE Trans. Antennas Propag. 2014, 62, 950–955. [Google Scholar] [CrossRef]
- Gilbert, R.A.; Volakis, J. Antenna Engineering Handbook, 4th ed.; John Wiley & Sons, Inc.: Hoboken, NJ, USA, 2007; ISBN 9780071475747. [Google Scholar]
- Kim, J.Y.; Lee, C.; Bae, S.; Kim, K.S.; Hong, B.H.; Choi, E.J. Far-infrared study of substrate-effect on large scale graphene. Appl. Phys. Lett. 2011, 98, 2009–2012. [Google Scholar] [CrossRef]
- Zouaghi, W.; Voß, D.; Gorath, M.; Nicoloso, N.; Roskos, H.G. How good would the conductivity of graphene have to be to make single-layer-graphene metamaterials for terahertz frequencies feasible? Carbon. 2015, 94, 301–308. [Google Scholar] [CrossRef]












| μc/eV | f0/THz | S11(f0)/dB | Rin/Ω | Lin/H | Cin/F | Xin/Ω | β | Qa | Q0 | Rin,CST/Ω |
|---|---|---|---|---|---|---|---|---|---|---|
| 0.1 | 1.8335 | −38.125 | 9754.9 | 3907.3 | 1.93 × 10−6 | 0.00 | 1.0251 | 2.2734 | 4.6143 | 9781 |
| 0.15 | 2.2385 | −43.636 | 9869.3 | 4208.9 | 1.20 × 10−6 | 0 | 1.0132 | 2.9725 | 5.9983 | 9871 |
| 0.2 | 2.5794 | −48.305 | 9923.4 | 4370.5 | 8.71 × 10−7 | 0.00 | 1.0077 | 3.5468 | 7.1378 | 9925 |
| 0.25 | 2.8807 | −44.76 | 9885 | 4406.6 | 6.93 × 10−7 | −1.46 × 10−11 | 1.0116 | 4.0017 | 8.0688 | 9981 |
| 0.3 | 3.1475 | −51.075 | 9944.3 | 4477 | 5.71 × 10−7 | 0 | 1.0056 | 4.4288 | 8.9035 | 9958 |
| 0.35 | 3.3896 | −42.893 | 9857.7 | 4501.7 | 4.90 × 10−7 | 0.00 | 1.0144 | 4.8169 | 9.7259 | 9956.23 |
| 0.4 | 3.6168 | −40.06 | 9803.3 | 4478.4 | 4.32 × 10−7 | −1.46 × 10−11 | 1.0201 | 5.1274 | 10.381 | 9805.3 |
| 0.45 | 3.8243 | −36.28 | 9697.7 | 4490.5 | 3.86 × 10−7 | −1.46 × 10−11 | 1.0312 | 5.4662 | 11.126 | 9711.14 |
| 0.5 | 4.0219 | −33.968 | 9607.3 | 4451.6 | 3.52 × 10−7 | 0.00 | 1.0409 | 5.7259 | 11.709 | 9607.7 |
| 0.55 | 4.2096 | −31.359 | 9473.4 | 4380.1 | 3.26 × 10−7 | −1.46 × 10−11 | 1.0556 | 5.9395 | 12.229 | 9480.8 |
| 0.6 | 4.3825 | −29.526 | 9353.7 | 4371.1 | 3.02 × 10−7 | −1.46 × 10−11 | 1.0691 | 6.2112 | 12.868 | 9355 |
© 2018 by the authors. Licensee MDPI, Basel, Switzerland. This article is an open access article distributed under the terms and conditions of the Creative Commons Attribution (CC BY) license (http://creativecommons.org/licenses/by/4.0/).
Share and Cite
Zhang, B.; Zhang, J.; Liu, C.; Wu, Z.P.; He, D. Equivalent Resonant Circuit Modeling of a Graphene-Based Bowtie Antenna. Electronics 2018, 7, 285. https://doi.org/10.3390/electronics7110285
Zhang B, Zhang J, Liu C, Wu ZP, He D. Equivalent Resonant Circuit Modeling of a Graphene-Based Bowtie Antenna. Electronics. 2018; 7(11):285. https://doi.org/10.3390/electronics7110285
Chicago/Turabian StyleZhang, Bin, Jingwei Zhang, Chengguo Liu, Zhi P. Wu, and Daping He. 2018. "Equivalent Resonant Circuit Modeling of a Graphene-Based Bowtie Antenna" Electronics 7, no. 11: 285. https://doi.org/10.3390/electronics7110285
APA StyleZhang, B., Zhang, J., Liu, C., Wu, Z. P., & He, D. (2018). Equivalent Resonant Circuit Modeling of a Graphene-Based Bowtie Antenna. Electronics, 7(11), 285. https://doi.org/10.3390/electronics7110285

