Next Article in Journal
Advances in Closed-Loop Artificial Intelligence for Healthcare
Previous Article in Journal
A Detection and Recognition Method for Interference Signals Based on Radio Frequency Fingerprint Characteristics
 
 
Font Type:
Arial Georgia Verdana
Font Size:
Aa Aa Aa
Line Spacing:
Column Width:
Background:
Article

Compact Modeling of Thermal Properties of Selected Planar Transformers with Ferrite Cores

by
Krzysztof Górecki
Department of Power Electronics, Faculty of Electrical Engineering, Gdynia Maritime University, 81-225 Gdynia, Poland
Electronics 2026, 15(7), 1394; https://doi.org/10.3390/electronics15071394
Submission received: 26 February 2026 / Revised: 16 March 2026 / Accepted: 25 March 2026 / Published: 27 March 2026
(This article belongs to the Section Industrial Electronics)

Abstract

This paper presents the results of modeling and measuring the thermal properties of selected planar transformer designs. A compact thermal model for the steady state of the planar transformer is presented. A method for measuring its parameters is discussed. The investigation results, illustrating the practical usefulness of the considered thermal model for describing the thermal properties of transformers containing ferrite cores made of different materials, are presented and discussed. The influence of the transformer’s operating frequency and load resistance on the temperatures of each component of the tested transformers is discussed. It is demonstrated that the proposed model enables the correct determination of these steady-state temperatures over a wide range of operating conditions for transformers with cores made of different ferrite materials.

1. Introduction

Planar transformers are becoming increasingly popular in power electronics [1,2]. The advantage of such transformer designs is their small size and the ability to integrate them with a printed circuit board (PCB) upon which the transformer windings are made [3,4]. The small size (volume between 0.25 and 80 cm3) [5] of the transformer means that its windings can contain only a few or a dozen turns in one layer [6]. Therefore, such solutions are dedicated to transformers operating at a low voltage amplitude or high frequency [4,7,8].
As is known from the literature [3,8,9], temperature strongly affects transformer components. Its increase causes an increase in winding resistance, due to the positive sign of the temperature coefficient of copper resistivity [3]. For ferrites, a decrease in the core saturation flux density is observed when its temperature increases, because the increasing thermal vibrations of the atoms disturb the magnetic ordering within the material [9,10]. Additionally, a change in the core’s magnetic permeability and a change in its losses are also observed when the temperature value changes [3,8,11]. Furthermore, an increase in temperature shortens the lifetime of electronic devices [12,13].
When transformers operate, energy losses occur both in the core and in the windings [14,15]. The result of these losses is an increase in the temperature of all transformer components, i.e., the core and each winding, due to the self-heating phenomenon and mutual thermal coupling between the transformer components [16].
Computer simulations are commonly used in the design and analysis of electronic components and systems [17,18]. Thermal analyses are a special type of such simulations [19,20]. They can be conducted using the finite element method (FEM) [20] or compact models [19]. FEM analysis allows for the determination of the temperature distribution in the analyzed element, but it requires greater computational effort. A compact model, on the other hand, allows for the determination of a single temperature value for the entire element [21] or for each of its components [16,19], but requires significantly less computational effort than FEM. Therefore, compact models are typically used in the analysis of electronic systems.
The compact thermal models of planar transformers described in the literature are very simplified. For example, in [22], a model for FEM analysis was proposed, which assumed a uniform power density generated throughout the transformer. In turn, in [4], it was assumed that power is only generated in the transformer windings.
Paper [23] presents an investigation of the magnetic and thermal properties of a planar toroidal transformer consisting of two planar toroidal coils. The electromagnetic properties are described using Maxwell’s equations, and the heat transfer using the Navier–Stokes equations. Calculations were performed using FEM and COMSOL Multiphysics software.
Paper [24] analyses a thermal modeling method for planar transformers, considering different winding configurations and distribution of power loss. The non-uniform temperature distribution in the tested transformer was observed. A simplified analytical model was proposed in the cited paper.
Paper [25] proposes simplified thermal models of a planar transformer, based on the concept of transient thermal impedance. Additionally, a simplified thermal model of this transformer is proposed based on the theory of thermal radiation. This model uses only the total power losses in the transformer to calculate the temperature rise in this component.
Paper [26] presents a literature review on thermal modeling of planar transformers. It was shown that compact models are widely used for early stage designs, due to their simplicity. Such models have a network form that is easy to use in classical software for analysis electronic circuits.
The aim of this paper is to verify the usefulness of a compact thermal model of a planar transformer for selected designs of this component. The considered model makes it possible to calculate the values of temperature for each winding and the core of the considered kind of transformers. A form of thermal model of such a transformer, designed for steady-state analysis, is described. A method for determining the model’s parameters is presented, and the results of model validation are presented for selected transformer designs operating over a wide range of frequency and load resistance variations. The differences between the values of temperature of the transformer components were analyzed and discussed.
Section 2 describes the compact thermal model of a planar transformer. Section 3 presents a method for determining the model’s parameters. Section 4 describes the tested transformers. Section 5 presents the results of the experimental verification of the model. Section 6 discusses the scope of the tested model’s applicability.

2. Compact Thermal Model

The compact thermal model of the transformer considered in this paper allows for the determination of the steady-state core temperature TC, primary winding temperature TW1, and secondary winding temperature TW2. This model accounts for changes in ambient temperature Ta and self-heating in each transformer component, as well as the thermal coupling between each pair of these components.
The method of formulation compact thermal modeling of electronic devices containing thermally coupled components is presented in [19]. Using this method, the formulas describing the temperatures of individual transformer components in a steady state were formulated. They have the following form:
T C = T a + R t h C p C + R t h W 1 C p W 1 + R t h W 2 C p W 2
T W 1 = T a + R t h W 1 p W 1 + R t h W 1 C p C + R t h W 1 W 2 p W 2
T W 2 = T a + R t h W 2 p W 2 + R t h W 2 C p C + R t h W 2 W 1 p W 1
In Formulas (1)–(3), RthC, RthW1, and RthW2 denote the thermal resistances of the core, primary winding, and secondary winding, respectively. In turn, RthW1C, RthW2C, RthCW1, RthCW2, RthW1W2, and RthW2W1 denote the mutual thermal resistances between the primary winding and the core, the secondary winding and the core, the core and the primary winding, the core and the secondary winding, and between the windings, respectively. The average values of the power dissipated in the steady state in the core, primary winding, and secondary winding are designated by the symbols pC, pW1, and pW2.
Because the heat transfer between the transformer components is equally intense in both directions, the individual pairs of mutual thermal resistances are equal. This means that the following equalities hold: RthW1C = RthCW1, RthW2C = RthCW2, and RthW1W2 = RthW2W1.

3. Model Parameters Estimation

As can be seen from the description of the compact thermal model of a planar transformer, its practical implementation requires determining the values of six parameters. These are the thermal resistances of each of the transformer components, RthC, RthW1, and RthW2, as well as the mutual thermal resistances between each pair of the components RthW1C, RthW2C, and RthW1W2.
The values of these parameters can be determined based on their definitions. The adopted concept of transformer thermal modeling assumes that each component has a different temperature, but the temperature distribution within each component is uniform. The thermal resistances of individual transformer components are defined as the steady-state temperature rise in that component above the ambient temperature Ta, divided by the power dissipated in that component. During this measurement, no power is generated in other transformer components. For example, the thermal resistance of the core, RthC, is described by the formula
R t h C = T C T a p C
In the case of measuring RthW1, the temperature TC should be replaced by the temperature of the primary winding TW1, and the power pC by the power pW1. In turn, when determining RthW2, the temperature of the secondary winding TW2 and the power dissipated in this winding pW2 are used.
To determine the mutual thermal resistances, it is necessary to measure the temperature of one transformer component while dissipating power in another component. For example, the mutual thermal resistance between the core and the primary winding RthCW1 is described by the formula
R t h C W 1 = T W 1 T a p C
During this measurement, no power is generated in either winding. To determine the mutual thermal resistance RthCW2, we replace the temperature TW1 with the temperature TW2 in Formula (5). In turn, to determine RthW1W2, it is necessary to measure the temperature TW2 with the power dissipation pW1 in the primary winding.
Formulas (4) and (5) define the self and mutual thermal resistances used in the presented model. They determine the method for measuring the above parameters. The temperature and power values in these formulas refer to the steady state. The power dissipated in individual transformer components, including the core, is determined by the external circuit supplying the transformer.
As can be seen from the presented definitions, determining each parameter of the compact thermal model of a transformer requires dissipating power in one component of the tested transformer until a steady state is achieved. Once a steady state is achieved, the power and temperature of the corresponding transformer component are measured. The temperatures of individual transformer components were measured using a pyrometer. By dissipating power in one transformer component and measuring the steady-state temperature of each component, the values of three parameters of the considered model can be determined in a single measurement process: one thermal resistance and two mutual thermal resistances.
The power dissipated in the windings was determined as being the product of the winding current and the voltage across the winding when the winding was supplied from a DC source. The power dissipated in the core was determined by supplying the primary winding with a sinusoidal signal with amplitude Vm and frequency f. During this measurement, the secondary winding was loaded with a high-resistance resistor, ensuring a low current flowing through both windings. Based on the data provided by the core manufacturer regarding its cross-sectional area SFe (given in m2) and the number of turns z1 on the primary winding, the flux density amplitude in the core (given in T) was determined using the following formula [22]:
B m = V m 2 π z 1 S F e f
Of course, the value of Bm has to be lower than saturation flux density BS, because the core cannot operate in the saturation range. The average value of the power lost in the core is determined based on the Steinmetz formula [3,27], using the following relationship
p C = V e P V 0 f α B m β
In Formula (7), Ve denotes the core volume provided by the manufacturer and given in m3, and PV0, α, and β are the Steinmetz model parameters. The values of these parameters are determined based on the approximation of the PV(f) and PV(Bm) characteristics provided by the manufacturer of the core material. Parameters α and β do not have any units, whereas PV0 is given in W/m3sα/Tβ.

4. Tested Transformers

The tests were carried out for six planar transformers. Their construction was based on cores containing two ELP 22/6/16 profiles made of various manganese–zinc ferrites. Each profile has the shape of the letter E. The numbers occurring in the symbol of this profile denote that it is 21.8 mm long, 15.8 mm wide, and 5.7 mm high. The profile thickness is 2.5 mm. The side columns are 2.5 mm wide, and the central column is 5 mm wide. The cores under consideration have the following geometric parameters: magnetic path length lFe = 32.5 mm, core cross-sectional area SFe = 78.3 mm2, and core volume Ve = 2540 mm3 [28].
For individual transformers, four ferrite materials were used, designated by the manufacturer as N49, N87, N92, and N97. Table 1 summarizes the values of the selected parameters of these materials provided by the manufacturer [29,30,31,32]. They include the initial permeability μi, saturation induction BS, recommended operating frequency range fmin–fmax, losses per unit of volume PV at selected frequency values f, flux density amplitudes Bm, core temperatures TC, the Curie temperature TCurie and resistivity ρ.
As can be seen, the µi values for individual materials differ by up to 50%. BS values at 25 °C fall within the range of 500 ± 10 mT, while at 100 °C, this range is wider: 415 ± 25 mT. The recommended operating frequency range is from 25 to 500 kHz for the N87, N92, and N97 materials, while for the N49 material, the optimal operating frequency range is from 300 kHz to 1 MHz. The N49 material has the lowest loss. The TCurie temperature for each of the materials considered exceeds 210 °C. The resistivity ranges from 8 to 17 Ωm.
The transformer windings were made on a 1.6 mm-thick FR-4 laminate substrate covered with 35 µm copper foil. Two types of oval-shaped windings were used. Windings designated WZ1 contain 6 turns in a 0.5 mm wide track, while windings designated WZ2 contain 13 turns in a 0.15 mm wide track. The distance between adjacent turns in each of the considered windings is 0.2 mm. The ends of each winding are led out to solder pads, to which wires connecting the planar transformer windings to the measuring system are soldered. A view of the manufactured boards with windings is shown in Figure 1.
Using different printed circuit boards for the primary and secondary windings and different core materials, planar transformers were constructed for testing. Six transformers were constructed, designated TR1-TR6. Their design details are provided in Table 2, and a view of the assembled transformer is shown in Figure 2. The transformer windings were connected to the measuring system, using 2.5 mm2 copper wires. These wires were soldered to the winding leads using standard solder.
As you can see, transformers TR1, TR4, TR5, and TR6 have a turns ratio of one. Transformer TR2 steps down the voltage, and transformer TR3 steps up the voltage. Three transformers contain an N49 core (TR1–TR3), while the remaining transformers contain cores made of other materials.
Based on data provided by the manufacturer, the values of the parameters appearing in the Steinmetz model were determined for each of the ferromagnetic materials used, approximating the catalog dependencies PV(Bm) and PV(f), using the Steinmetz formula. The values of these parameters are summarized in Table 3.
Each tested transformer contains four 1.6 mm-thick PCBs. The total thickness of the planar transformer laminate stack is therefore 6.4 mm. The boards outside this stack contain the primary and secondary windings, while the boards inside the stack contain no copper layer. This results in weaker thermal coupling between the primary and secondary windings than between each winding and the core.
Using the model parameter estimation method described in Section 3 and the measured temperatures of the components of the tested transformers given in [7], the values of thermal resistances and mutual thermal resistances occurring in the planar transformer model for the considered components were determined. These values are summarized in Table 4.
During the measurements, the ambient temperature was 21 °C. The power dissipated in the heat source component was selected so that the steady-state temperature of this component was between 100 and 120 °C. For example, for transformers with a WZ1 winding with fewer turns and wider paths, the measured value of power dissipated in this winding was approximately 5 W, while for transformers with a WZ2 winding, it was only 3 W.
It is worth noting that the secondary winding has a higher thermal resistance than the primary winding. The highest thermal resistance values were obtained for the transformer with an N87 core, up to 30% higher than for the other cores. Mutual thermal resistances are always lower (up to 30%) than the thermal resistances of the individual transformer components. The thermal resistance of the core is similar to the thermal resistance of the windings.

5. Measurement and Calculation Results

The thermal properties of the tested transformers were measured and simulated, operating at different supply voltage amplitudes Vm and frequencies f. In each case, a load resistor RL was connected to the secondary winding. Various values of this resistance were considered.
Formulas (1)–(3) were used to calculate the temperature values of individual components. The values of thermal resistances and mutual thermal resistances are given in Table 4. The average values of power dissipated in individual windings were determined based on the measured values of the current amplitude of winding, IW1 or IW2, and their resistance, RW1 or RW2. These resistance values were measured when individual windings were supplied from a DC voltage source. The resistance of the WZ2 windings at a temperature of 25 °C is 3.85 Ω, and for the WZ1 windings it is 0.52 Ω. The temperature coefficient of change in the winding resistance, equal to 4.45 × 10−3 °C−1 (estimated using data given in [33]), was also taken into account. In turn, the average value of power dissipated in the core is described by the formula
p C = V e P V 0 f α β V m 1 2 π z 1 S F e β 1 + d T C T m 2
where Vm1 is the voltage amplitude on the primary winding, d is the squared temperature coefficient of dissipation, and Tm is the temperature at which the core dissipation reaches a minimum. The values of these parameters were determined based on the PV(TC) characteristics provided by the manufacturer.
The form of Equation (8) results from the modified Steinmetz model for ferrite cores given in [3]. This equation includes an empirical factor describing the effect of temperature TC on the ferrite core loss. The flux density amplitude Bm is expressed in terms of the amplitude of the voltage Vm1 appearing on the transformer’s primary winding, the frequency f, and the transformer’s design parameters, in accordance with the relationship from [3].
During the measurements, the transformer’s primary winding was supplied with a sinusoidal voltage from the output of an AE Techron 7228 power amplifier [34] via a 4.7 Ω resistor. This amplifier was driven by a sinusoidal signal generator. The voltage waveforms in the system were measured using a Gwinstek GDS-2104A oscilloscope [35]. Optex PT-3S pyrometers [36] were used to measure the windings and core temperatures.
Figure 3 presents the measured (solid bars) and calculated (empty bars) temperature values of the components of the tested transformers when their primary windings are powered from a DC source. In this figure, the primary winding temperature measurements are marked in blue, the secondary winding temperature in black, and the core temperature in red.
In the operating mode under consideration, the only heat source is the primary winding, which is subject to self-heating. The supply current values for individual transformers were selected to ensure that the primary winding temperature exceeded 100 °C. Under these operating conditions, the primary winding resistance increased by over 35% compared to the ambient temperature of Ta = 20 °C. Figure 3 shows that for each of the tested transformers, the highest temperature was achieved for the primary winding (TW1) and the lowest for the secondary winding (TW2). The differences between them reach up to 50 °C. The transformer cores have an intermediate temperature between the winding temperatures. Deviations between the measurement and calculation results do not exceed 1.5 °C. The increase in the core and secondary winding temperature above the ambient temperature is the result of mutual thermal coupling between the transformer components. The highest temperature values for all the components were obtained for the transformer TR3. This is the result of the fact that the primary winding of this transformer dissipates more power than the other transformers.
The following research results concern the classic operation of transformers. Their primary winding is supplied by a sinusoidal voltage source, with amplitude Vm and frequency f. The secondary winding is loaded with a resistor with resistance RL. In these figures, the points represent the measurement results, and the lines represent the calculation results.
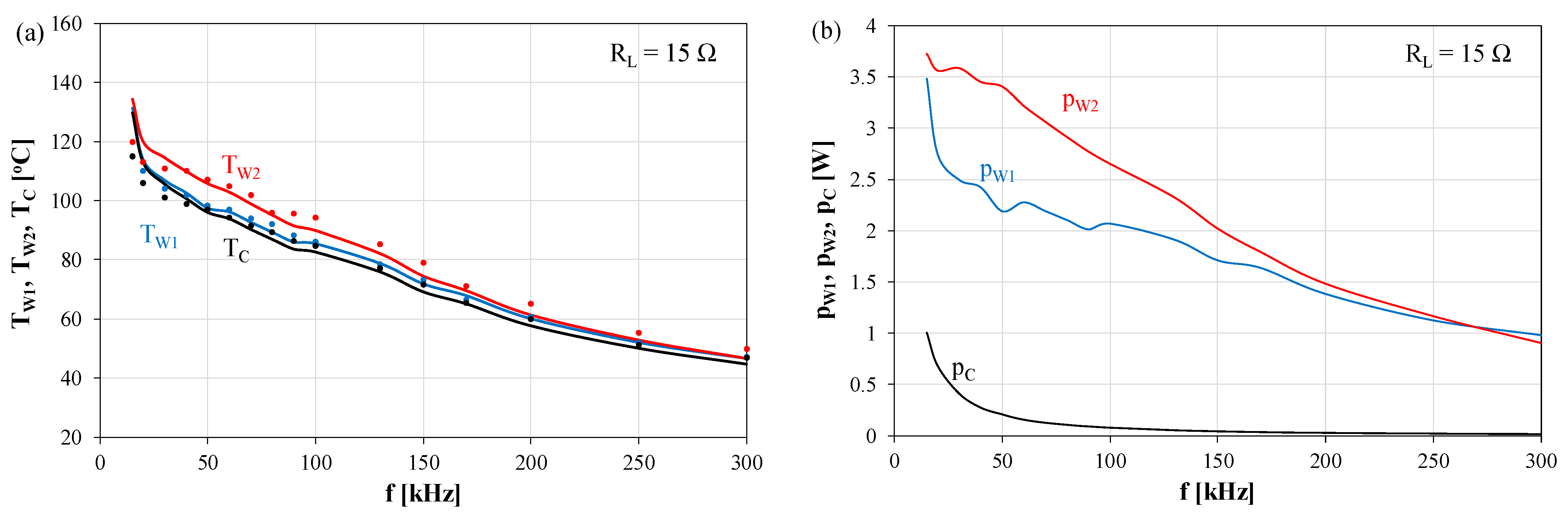
Figure 4 shows the effect of the supply voltage frequency on the temperatures of the TR1 transformer components (Figure 4a) and the power dissipated in the individual transformer components (Figure 4b). The amplitude of this voltage is Vm = 30 V, and the resistance is RL = 15 Ω.
Figure 4a shows that the temperature dependencies of all the transformer components on the frequency are monotonically decreasing functions. The highest values are achieved by temperature TW2, and the lowest by temperature TW1. The differences between them are greatest at the lowest frequency values, reaching 12 °C. Within the considered frequency range, the transformer component temperatures decrease from 130 °C to only 45 °C. This is the result of an increase in the primary winding impedance modulus with increasing frequency, which causes a decrease in the winding current.
Figure 4b shows that the power in the windings decreases with increasing frequency. For the operating conditions considered, the power dissipated in the core pC is much lower than the power in each of the windings. Despite this, the core temperature TC is close to the temperature TW1, due to mutual thermal coupling between the core and the windings.
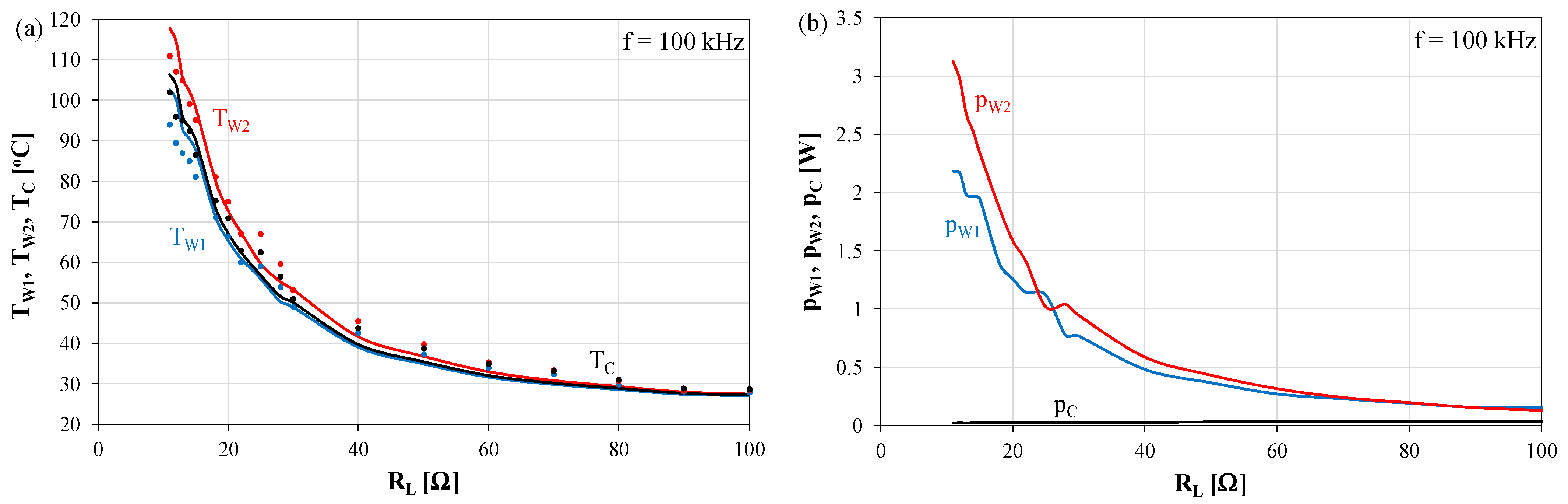
Figure 5a shows the effect of the load resistance of the TR1 transformer on the temperatures of its components, and Figure 5b shows the effect on the power dissipated in these components. The tests were carried out at a frequency f = 100 kHz and a supply voltage amplitude Vm = 30 V.
Figure 5a clearly shows that the temperatures of all transformer components decrease with increasing resistance RL. This is related to the decreasing dependence of the power dissipated in the windings on the resistance RL, which is visible in Figure 5b. Under the considered transformer operating conditions, the temperature TW2 decreases from almost 120 °C to only 27 °C. The temperature values of the transformer components are determined by the power dissipated in the windings. For resistance RL < 30 Ω, the power dissipated in the secondary winding dominates, while for RL > 30 Ω, the power in the primary winding dominates. This means that for RL > 30 Ω, the magnetizing current is a significant component of the primary winding current.
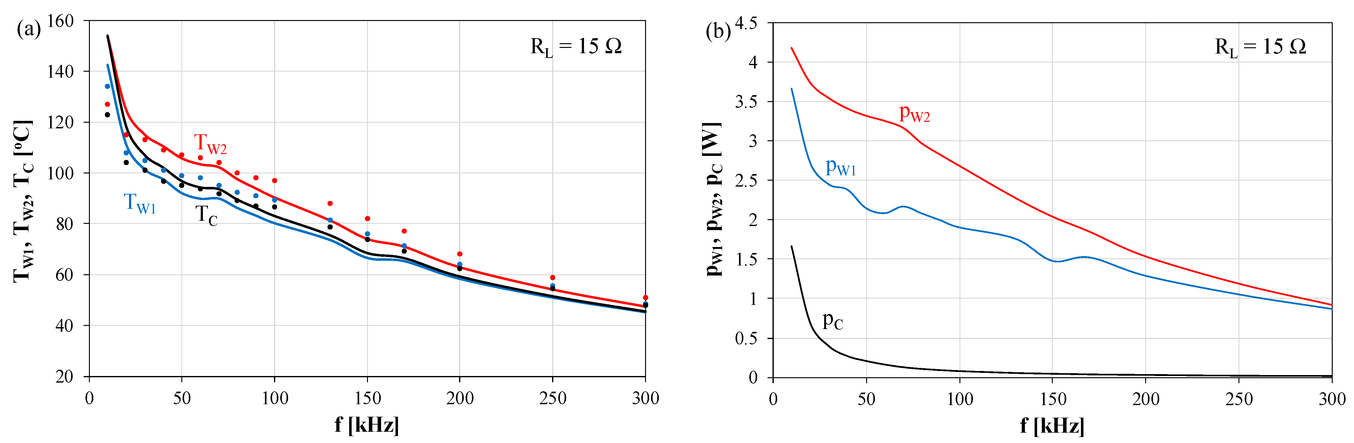
Figure 6 illustrates the effect of the frequency on the temperature of the components of the TR2 transformer (Figure 6a) and on the power dissipated in the components of this transformer (Figure 6b). During the measurements, the resistance RL = 15 Ω and the supply voltage amplitude Vm = 45 V.
The dependencies visible in Figure 6a are strongly decreasing functions for f < 70 kHz and with a further increase in frequency, they have a practically constant course. Figure 6b shows that the power pW2 is practically constant over the entire frequency range. The dominant component of the power dissipated in the transformer is pW1, which is almost constant for f > 70 kHz. The low resistance of the secondary winding causes the power in the primary winding to be higher than in the secondary winding. It is worth noting that for f > 70 kHz, the temperature distribution in the transformer is almost uniform.
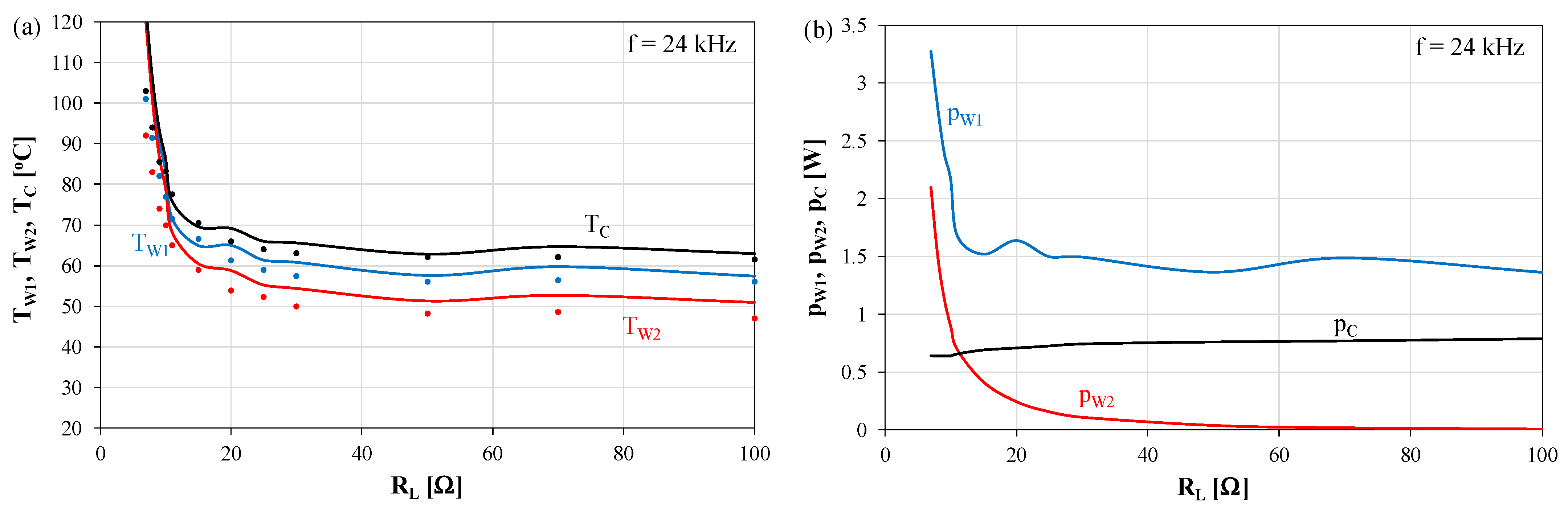
Figure 7 illustrates the effect of resistance RL on the temperatures of the windings and core of the TR2 transformer (Figure 7a) and the power dissipated in its components (Figure 7b). The tests were carried out at f = 24 kHz and Vm = 45 V.
Of course, the planar transformers are typically used in a high-frequency range. On the other hand, it was shown that at a fixed value of the amplitude of the voltage on the primary winding, the power dissipated in the core increases with a decrease in frequency. In order to illustrate the influence of load resistance on the temperature of transformer components when the power of high value is dissipated in the core, the lower frequency value was selected in the example presented in Figure 7.
In Figure 7a, changes in temperature TW1, TW2, and TC, due to changes in RL, are visible for RL < 20 Ω. For RL > 20 Ω, the considered temperatures practically do not depend on the value of this resistance. The highest values are reached by temperature TC, and the lowest by temperature TW2. The differences between them reach up to 10 °C. Figure 7b shows that the power pW2 decreases quickly with increasing RL, while the values of pW1 and pC are almost constant for RL > 20 Ω. Despite the fact that the power pW1 is greater than pC, the temperature TC is higher than TW1 due to the fact that the thermal resistance of the core is greater than the thermal resistance of the primary winding.
Figure 8 presents the dependence of the temperatures of the TR3 transformer components (Figure 8a) and the power dissipated in these components (Figure 8b) on the frequency. The tests were carried out at a resistance of RL = 15 Ω and a supply voltage amplitude of Vm = 27.5 V.
Figure 8a shows that all considered temperatures are decreasing functions of frequency. The highest values were obtained for the primary winding temperature, and the lowest for the secondary winding. The differences between them are greatest at the lowest frequency values, reaching as much as 15 °C. Figure 8b shows that the power dissipated in the secondary winding is up to twice that in the primary winding, but due to the differences in the thermal resistance of both windings and the strong thermal coupling between them, the highest temperature is observed in the component that does not dissipate the highest power. The power dissipated in each transformer component decreases monotonically as a function of frequency.
Figure 9 illustrates the effect of resistance RL on the temperatures of the windings and core of transformer TR3 (Figure 9a) and the power dissipated in its components (Figure 9b). The tests were carried out at f = 100 kHz and Vm = 27.5 V.
The decreasing temperature dependencies of each component on the resistance RL were obtained. Under the operating conditions considered, the highest power value was obtained for the secondary winding. The power dissipated in the core is much lower than in either winding. In Figure 9a, very small temperature differences between the windings and the core can be observed. The differences between these temperatures do not exceed 5 °C.
Figure 10 presents the dependence of the temperatures of the core and windings of the TR4 transformer (Figure 10a) and the power in these windings and core (Figure 10b) on the frequency. The tests were carried out at a resistance of RL = 15 Ω and a supply voltage amplitude of Vm = 25 V.
An almost linearly decreasing dependence of each of the considered temperatures on the frequency was obtained. The highest temperature value was obtained for the primary winding, and the lowest for the core. The maximum difference between them reaches 12 °C. Analyzing the waveforms shown in Figure 10a,b, it can be concluded that the cooling efficiency of the primary winding is significantly worse than that of the secondary winding. It is worth noting that the power dissipated in the windings of transformer TR4 is up to two times lower than for transformer TR3 operating under identical supply and load conditions.
Figure 11 illustrates the effect of resistance RL on the temperatures of the windings and core of the TR4 transformer (Figure 11a) and the power dissipated in its components (Figure 11b). The tests were carried out at f = 100 kHz and Vm = 25 V.
Figure 11a shows that practically identical values were obtained for all components of the TR4 transformer over a wide range of frequency changes. The power dissipated in both windings is also very close to each other. They are significantly greater than the power dissipated in the core over the entire range of the RL resistance changes. The relationships between the power and temperatures of the windings and the core demonstrate that the heat dissipation efficiency of both windings is the same.
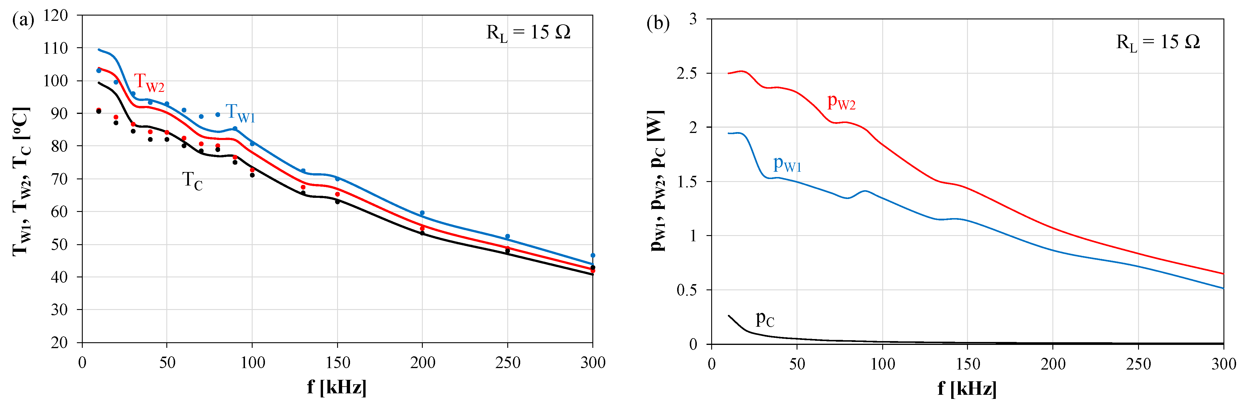
Figure 12 presents the dependence of the temperatures of the core and windings of the TR5 transformer (Figure 12a) and the power in these windings and core (Figure 12b) on the frequency. The tests were carried out at a resistance of RL = 15 Ω and a supply voltage amplitude of Vm = 30 V.
For the transformer under consideration, Figure 12a shows the strongly decreasing dependencies of the temperatures of each component of the transformer as a function of frequency. It is worth noting that in Figure 12b, at a frequency f < 30 kHz, the power dissipated in the core pC reaches almost 40% of the power dissipated in the primary winding. This power component is responsible for the significant temperature increase in all transformer components in the low-frequency range. A significant temperature difference between individual transformer components is visible, reaching up to 15 °C. The highest temperature is observed in the secondary winding, where the highest power is dissipated.
Figure 13 illustrates the effect of the resistance RL on the temperatures of the windings and core of the TR5 transformer (Figure 13a) and the power dissipated in its components (Figure 13b). The tests were carried out at f = 100 kHz and Vm = 30 V.
In Figure 13a, it can be seen that the temperature of the secondary winding is higher than that of the primary winding, and the difference between them reaches 10 °C at resistance RL = 12 Ω. The core temperature is only slightly lower than the TW1 temperature. Figure 13b shows that the highest power is dissipated in the secondary winding. The powers in the windings are decreasing functions of resistance RL, while the power dissipated in the core is an increasing function of this resistance. At RL > 80 Ω, the powers dissipated in the core and in each winding equalize.
Figure 14 presents the dependence of the temperatures of the core and windings of the TR6 transformer (Figure 14a) and the power in these windings and core (Figure 14b) on the frequency. The tests were carried out at a resistance of RL = 15 Ω and a supply voltage amplitude of Vm = 30 V.
The dependencies of the temperatures of individual components of the TR6 transformer on the frequency (Figure 14a) and the dependencies of the power lost in these components on the frequency (Figure 14b) have similar shapes to the dependencies presented in Figure 12 for the TR5 transformer. Figure 14b shows that at the lowest of the considered frequency values, the powers lost in both windings have similar values.
Figure 15 illustrates the effect of resistance RL on the temperatures of the windings and core of the TR6 transformer (Figure 15a) and the power dissipated in its components (Figure 15b). The tests were carried out at f = 100 kHz and Vm = 30 V.
Figure 15a shows a weak differentiation between the temperatures of the transformer components, and Figure 15b shows that the powers dissipated in both windings have similar values. This relationship between the powers indicates that the currents in both windings have similar values.

6. Discussion

The presented calculation and measurement results indicate that the winding parameters and core material have a significant impact on the thermal properties of the transformers under consideration. The highest thermal resistance values were obtained for the transformer with a core made of the N49 or N87 materials and windings containing the same number of turns. Despite the identical mechanical construction of all tested transformers, significant differences are visible in the mutual thermal resistance values between the transformer components. The mutual thermal resistances between the core and each winding are the same, while the mutual thermal resistance between the windings is lower than the thermal resistance between the core and the windings.
The power dissipated in the transformer windings is a decreasing function of frequency and load resistance. In turn, the power dissipated in the core is a decreasing function of frequency and an increasing function of load resistance.
For transformers with an N49 core and a primary winding with a larger number of turns, the power dissipated in the core is significantly less than the power dissipated in each winding. In contrast, for a transformer with the same core and a primary winding with fewer turns, the power dissipated in the core is comparable to the power dissipated in the primary winding. Only when the transformer operates at low frequencies and with high load resistances is the highest temperature observed in the transformer core.
For each transformer, good agreement was achieved between the calculation and measurement results for all operating conditions considered. Table 5 provides the root mean square error values for the temperature modeling of each component of the tested transformers. In most cases, the error considered slightly exceeds 1 °C.
Table 6 illustrates the non-uniformity of the distribution of temperature and power dissipated in the components of the tested transformers. In this table, the maximum values of the considered temperature and power dissipated values obtained using data presented in Figure 4, Figure 5, Figure 6, Figure 7, Figure 8, Figure 9, Figure 10, Figure 11, Figure 12, Figure 13, Figure 14 and Figure 15 are collected.
As can be seen, the temperature differences between components in the tested transformers can reach up to 36 °C, but there are also cases in which this difference is as little as 1 °C. Typically, during testing, the power dissipated in the windings was significantly greater than the power dissipated in the core. Nevertheless, due to mutual thermal coupling, the difference between the temperatures of the transformer components was not as large. Only in a few cases did the power dissipated in the core reach half of the value of the power dissipated in the winding. The presented summary demonstrates the validity of using the described transformer thermal model that takes into account the temperature differences in its components, the differences in their thermal resistances, and the existence of mutual thermal coupling.

7. Conclusions

This paper considers the problem of modeling the thermal properties of planar transformers. A lumped DC model of such a transformer is proposed, which allows for the determination of the temperature of each winding and core during power dissipation in individual transformer components. This model accounts for both the self-heating phenomenon in each component and the mutual thermal coupling between each pair of these components.
The conducted tests demonstrate that the developed model provides good agreement between the calculation and measurement results over a wide range of frequencies and load resistances. The model’s accuracy was verified for six transformers containing cores made of various ferromagnetic materials and windings with varying numbers of turns and track widths.
Calculations and measurements have shown that, at a fixed supply voltage amplitude, the power dissipated in each winding decreases as a function of frequency and load resistance. The core losses, on the other hand, are greatest at low operating frequencies and high load resistances.
In the tested transformers, strong thermal coupling occurred between the transformer components. As a result of this coupling, the temperatures of individual transformer components differ significantly, with the maximum recorded temperature differences reaching 15 °C, which corresponds to approximately a 15% temperature difference above the ambient temperature. These differences are greatest at low frequencies and load resistances.
The presented research results may be useful for designers of planar transformers and power electronics systems incorporating such transformers. Further research will consider the effect of thermal inertia on the thermal properties of such transformers.
Further research will develop a dynamic compact thermal model of a planar transformer. This model will account for heat transfer delays between transformer components. A compact electrothermal model of a planar transformer will also be developed, which describes the interactions of electrical, magnetic, and thermal phenomena, taking into account the time delays between these phenomena.

Funding

This research received no external funding.

Data Availability Statement

The data are available upon request.

Conflicts of Interest

The author declares no conflicts of interest.

Abbreviations

DCdirect current
ELPE-low profile
FEMfinite element method
PCBprinted circuit board

References

  1. Kazimierczuk, M. Pulse-Width Modulated DC-DC Power Converters; Wiley: Hoboken, NJ, USA, 2015. [Google Scholar]
  2. Ericson, R.; Maksimovic, D. Fundamentals of Power Electronics; Springer Nature: Cham, Switzerland, 2020. [Google Scholar]
  3. Van den Bossche, A.; Valchev, V.C. Inductors, and Transformers for Power Electronics; CRC Press, Taylor & Francis Group: Boca Raton, FL, USA, 2005. [Google Scholar]
  4. Górecki, K.; Detka, K.; Górski, K. Compact thermal model of the pulse transformer taking into account nonlinearity of heat transfer. Energies 2020, 13, 2766. [Google Scholar] [CrossRef]
  5. EPCOS Product Brief 2019, Planar Cores for Power Applications, New Power Material PC200 for Switching Frequencies up to 4 MHz. Available online: https://www.tdk-electronics.tdk.com/download/2527778/1e429cb7ad3fd0be062bcfe03f8ed498/ferrites-planar-cores-pb.pdf (accessed on 13 March 2026).
  6. Mclyman, C.W.T. Transformer and Inductor Design Handbook, 3rd ed.; Revised and Expanded; Kg Magnetics, Inc.: Idyllwild, CA, USA, 2004; Available online: https://coefs.charlotte.edu/mnoras/files/2013/03/Transformer-and-Inductor-Design-Handbook_Content.pdf (accessed on 13 March 2026).
  7. Górecki, K.; Kuryłło, P. Investigations on an influence of selected factors on thermal phenomena in planar transformers. In Proceedings of the 30th International Conference Mixed Designs of Integrated Circuits and Systems Mixdes, Kraków, Poland, 29–30 June 2023; pp. 207–211. [Google Scholar]
  8. Groon, F.; Beiranvand, H.; Liserre, M. In-Depth Review of Planar Transformer Modeling and Optimization: Challenges and Perspectives. IEEE Trans. Power Electron. 2026, 41, 5426–5448. [Google Scholar] [CrossRef]
  9. Tumański, S. Handbook of Magnetic Measurements; CRC Press Taylor & Francis Group: Boca Raton, FL, USA, 2011. [Google Scholar]
  10. Jackiewicz, D.; Kachniarzb, M.; Bieńkowski, A. Temperature Influence on the Functional Properties of Inductive Components with Mn–Zn Ferrite Cores. Acta Phys. Pol. A 2018, 133, 1038–1040. [Google Scholar] [CrossRef]
  11. Cullity, B.D.; Graham, C.D. Introduction to Magnetic Materials; Wiley: Hoboken, NJ, USA, 2009. [Google Scholar]
  12. Morel, C.; Morel, J.-Y. Power Semiconductor Junction Temperature and Lifetime Estimations: A Review. Energies 2024, 17, 4589. [Google Scholar] [CrossRef]
  13. Wen, Q.; Zhai, R.; Ji, G.; Zhu, T.; Li, Z.; Hue, Y. Test Method and Application of High-Temperature Operating Life of Automobile Chips. J. Phys. Conf. Ser. 2023, 2447, 012003. [Google Scholar] [CrossRef]
  14. Górecki, K.; Detka, K. Improved Method for Measuring Power Losses in the Inductor Core. IEEE Trans. Instrum. Meas. 2021, 70, 1500710. [Google Scholar] [CrossRef]
  15. Sippola, M.; Sepponen, R.E. Accurate prediction of high-frequency power-transformer losses and temperature rise. IEEE Trans. Power Electron. 2002, 17, 835–847. [Google Scholar] [CrossRef]
  16. Górecki, K.; Górski, K. SPICE-aided compact electrothermal model of impulse transformers. Appl. Sci. 2021, 11, 8894. [Google Scholar] [CrossRef]
  17. Ouyang, Z.; Thomsen, O.C.; Andersen, M.A.E. Optimal Design and Tradeoff Analysis of Planar Transformer in High-Power DC–DC Converters. IEEE Trans. Ind. Electron. 2012, 59, 2800–2810. [Google Scholar] [CrossRef]
  18. Codecasa, L.; d’Alessandro, V.; Magnani, A.; Irace, A. Circuit-based electrothermal simulation of power devices by an ultrafast nonlinear MOR approach. IEEE Trans. Power Electron. 2016, 31, 5906–5916. [Google Scholar] [CrossRef]
  19. Górecki, P.; Górecki, K. Measurements and computations of internal temperatures of the IGBT and the diode situated in the common case. Electronics 2021, 10, 210. [Google Scholar] [CrossRef]
  20. d’Alessandro, V.; Codecasa, L.; Catalano, A.P.; Scognamillo, C. Circuit-based electrothermal simulation of multicellular SiC power MOSFETs using FANTASTIC. Energies 2020, 13, 4563. [Google Scholar] [CrossRef]
  21. Lian, C.; Zhang, D. Electromagnetic Field and Lumped Circuit Analysis of Planar Transformer at Medium Frequency for Converter Application. Adv. Sci. Technol. Eng. Syst. J. 2017, 2, 878–883. [Google Scholar] [CrossRef]
  22. Penabad-Duran, P.; López-Fernández, X.; Turowski, J. 3D non-linear magneto-thermal behavior on transformer covers. Electr. Power Syst. Res. 2015, 121, 333–340. [Google Scholar] [CrossRef]
  23. Benamer, K.; Hamid, A.; Rossi di Schio, E.; Mokhefi, A.; Melati, R.; Valdiserri, P. Magnetic and Thermal Behavior of a Planar Toroidal Transformer. Energies 2024, 17, 2454. [Google Scholar] [CrossRef]
  24. Shen, Z.; Shen, Y.; Wang, H. Thermal Modelling of Planar Transformers Considering Internal Power Loss Distribution. In Proceedings of the 2019 IEEE 4th International Future Energy Electronics Conference (IFEEC), Singapore, 24–28 November 2019; pp. 1–5. [Google Scholar] [CrossRef]
  25. Shen, Z.; Xu, B.; Liu, C.; Hu, C.; Liu, B.; Xu, Z.; Jin, L.; Chen, W. The Modeling and Simplification of a Thermal Model of a Planar Transformer Based on Internal Power Loss. Sustainability 2022, 14, 11915. [Google Scholar] [CrossRef]
  26. Bakri, R.; Corgne, G.; Margueron, X. Thermal Modeling of Planar Magnetics: Fundamentals, Review and Key Points. IEEE Access 2023, 11, 41654–41679. [Google Scholar] [CrossRef]
  27. Van den Bossche, A.; Valchev, V.C.; Georgiev, G.B. Measurements and Loss Model of Ferrites with Non-sinusoidal Waveforms. In Proceedings of the 35th IEEE Power Electronics Specjalists Conference, Aachen, Germany, 20–25 June 2004; pp. 4814–4818. [Google Scholar]
  28. ELP 22/6/16 with I 22/2.5/16 Cores and Accessories (With and Without Clamp Recess). Available online: https://www.tdk-electronics.tdk.com/inf/80/db/fer/elp_22_6_16.pdf (accessed on 18 February 2026).
  29. Siferrit Material N49 Datasheet. Available online: https://www.tdk-electronics.tdk.com/download/528856/cf394eea3fae828c345f46dc297b76ab/pdf-n49.pdf (accessed on 18 February 2026).
  30. Siferrit Material N87 Datasheet. Available online: https://www.tdk-electronics.tdk.com/download/528882/71e02c7b9384de1331b3f625ce4sb2123/pdf-n87.pdf (accessed on 18 February 2026).
  31. Siferrit Material N92 Datasheet. Available online: https://www.tdk-electronics.tdk.com/download/528888/9cb0f2e7a6588054b0028af888c16339/pdf-n92.pdf (accessed on 18 February 2026).
  32. Siferrit Material N97 Datasheet. Available online: https://www.tdk-electronics.tdk.com/download/528886/f7953b4caf14b9c4a15e34b60fb09812/pdf-n97.pdf (accessed on 18 February 2026).
  33. Matula, R.A. Electrical resistivity of copper, gold, palladium, and silver. J. Phys. Chem. Ref. Data 1979, 8, 1147. [Google Scholar] [CrossRef]
  34. User Manual, Power Amplifier AE Techron 7228. Available online: https://aetechron.com/wp-content/uploads/2024/11/7228TechSpecs-1.pdf (accessed on 19 February 2026).
  35. User Manual, Digital Oscilloscope Gwinstek GDS-2104A. Available online: https://www.gwinstek.com/en-global/products/downloadSeriesDownNew/1018/94 (accessed on 19 February 2026).
  36. User Manual, Thermo-Hunter Optex PT-3S. Available online: https://www.optex-fa.com/products/discontinue/pdf/pt_3s_catalog.pdf (accessed on 19 February 2026).
Figure 1. View of windings WZ1 (left) and WZ2 (right).
Figure 1. View of windings WZ1 (left) and WZ2 (right).
Electronics 15 01394 g001
Figure 2. View of the assembled transformer.
Figure 2. View of the assembled transformer.
Electronics 15 01394 g002
Figure 3. Measured (full bars) and calculated (empty bars) temperature values of the components of the tested transformers when the primary winding is supplied with a direct current.
Figure 3. Measured (full bars) and calculated (empty bars) temperature values of the components of the tested transformers when the primary winding is supplied with a direct current.
Electronics 15 01394 g003
Figure 4. Measured (points) and calculated (lines) dependence of temperature (a) and power (b) dissipated in individual components of transformer TR1 on the frequency at RL = 15 Ω.
Figure 4. Measured (points) and calculated (lines) dependence of temperature (a) and power (b) dissipated in individual components of transformer TR1 on the frequency at RL = 15 Ω.
Electronics 15 01394 g004
Figure 5. Measured (points) and calculated (lines) dependencies of temperature (a) and power (b) dissipated in individual components of transformer TR1 on resistance RL at frequency f = 100 kHz.
Figure 5. Measured (points) and calculated (lines) dependencies of temperature (a) and power (b) dissipated in individual components of transformer TR1 on resistance RL at frequency f = 100 kHz.
Electronics 15 01394 g005
Figure 6. Measured (points) and calculated (lines) dependence of temperature (a) and power (b) dissipated in individual components of the TR2 transformer on the frequency at RL = 15 Ω.
Figure 6. Measured (points) and calculated (lines) dependence of temperature (a) and power (b) dissipated in individual components of the TR2 transformer on the frequency at RL = 15 Ω.
Electronics 15 01394 g006
Figure 7. Measured (points) and calculated (lines) dependencies of temperature (a) and power (b) dissipated in individual components of the TR2 transformer on the resistance RL at the frequency f = 24 kHz.
Figure 7. Measured (points) and calculated (lines) dependencies of temperature (a) and power (b) dissipated in individual components of the TR2 transformer on the resistance RL at the frequency f = 24 kHz.
Electronics 15 01394 g007
Figure 8. Measured (points) and calculated (lines) dependence of temperature (a) and power (b) dissipated in individual components of the TR3 transformer on the frequency at RL = 15 Ω.
Figure 8. Measured (points) and calculated (lines) dependence of temperature (a) and power (b) dissipated in individual components of the TR3 transformer on the frequency at RL = 15 Ω.
Electronics 15 01394 g008
Figure 9. Measured (points) and calculated (lines) dependencies of temperature (a) and power (b) dissipated in individual components of the TR3 transformer on the resistance RL at the frequency f = 100 kHz.
Figure 9. Measured (points) and calculated (lines) dependencies of temperature (a) and power (b) dissipated in individual components of the TR3 transformer on the resistance RL at the frequency f = 100 kHz.
Electronics 15 01394 g009
Figure 10. Measured (points) and calculated (lines) dependence of temperature (a) and power (b) dissipated in individual components of the TR4 transformer on the frequency at RL = 15 Ω.
Figure 10. Measured (points) and calculated (lines) dependence of temperature (a) and power (b) dissipated in individual components of the TR4 transformer on the frequency at RL = 15 Ω.
Electronics 15 01394 g010
Figure 11. Measured (points) and calculated (lines) dependencies of temperature (a) and power (b) dissipated in individual components of the TR4 transformer on the resistance RL at the frequency f = 100 kHz.
Figure 11. Measured (points) and calculated (lines) dependencies of temperature (a) and power (b) dissipated in individual components of the TR4 transformer on the resistance RL at the frequency f = 100 kHz.
Electronics 15 01394 g011
Figure 12. Measured (points) and calculated (lines) dependence of temperature (a) and power (b) dissipated in individual components of the TR5 transformer on the frequency at RL = 15 Ω.
Figure 12. Measured (points) and calculated (lines) dependence of temperature (a) and power (b) dissipated in individual components of the TR5 transformer on the frequency at RL = 15 Ω.
Electronics 15 01394 g012
Figure 13. Measured (points) and calculated (lines) dependencies of temperature (a) and power (b) dissipated in individual components of the TR5 transformer on the resistance RL at the frequency f = 100 kHz.
Figure 13. Measured (points) and calculated (lines) dependencies of temperature (a) and power (b) dissipated in individual components of the TR5 transformer on the resistance RL at the frequency f = 100 kHz.
Electronics 15 01394 g013
Figure 14. Measured (points) and calculated (lines) dependence of temperature (a) and power (b) dissipated in individual components of the TR6 transformer on the frequency at RL = 15 Ω.
Figure 14. Measured (points) and calculated (lines) dependence of temperature (a) and power (b) dissipated in individual components of the TR6 transformer on the frequency at RL = 15 Ω.
Electronics 15 01394 g014
Figure 15. Measured (points) and calculated (lines) dependencies of temperature (a) and power (b) dissipated in individual components of the TR6 transformer on the resistance RL at the frequency f = 100 kHz.
Figure 15. Measured (points) and calculated (lines) dependencies of temperature (a) and power (b) dissipated in individual components of the TR6 transformer on the resistance RL at the frequency f = 100 kHz.
Electronics 15 01394 g015
Table 1. Parameter values of ferrite materials N49, N87, N92 and N97 [29,30,31,32].
Table 1. Parameter values of ferrite materials N49, N87, N92 and N97 [29,30,31,32].
MaterialN49N87N92N97
Parameter
µi @ TC = 25 °C1500220015002300
Bs @ TC = 25 °C [mT]490490500510
Bs @ TC = 100 °C [mT]400390440410
fminfmax [kHz]300–100025–50025–50025–500
Pv @ f = 25 kHz, Bm = 200 mT, TC = 100 °C [kW/m3]-577045
Pv @ f = 100 kHz, Bm = 200 mT, TC = 100 °C [kW/m3]-375410300
Pv @ f = 300 kHz, Bm = 100 mT, TC = 100 °C [kW/m3]330390410340
Pv @ f = 500 kHz, Bm = 50 mT, TC = 100 °C [kW/m3]80215230205
Pv @ f = 1 MHz, Bm = 50 mT, TC = 100 °C [kW/m3]475---
TCurie [°C]>240>210>280>230
ρ [Ωm]171088
Table 2. Design data of the tested planar transformers.
Table 2. Design data of the tested planar transformers.
TransformerCore MaterialPrimary WindingSecondary Winding
TR1N49WZ2 WZ2
TR2N49WZ2WZ1
TR3N49WZ1WZ2
TR4N87WZ2WZ2
TR5N92WZ2WZ2
TR6N97WZ2WZ2
Table 3. The values of the Steinmetz model parameters for the considered ferrite materials.
Table 3. The values of the Steinmetz model parameters for the considered ferrite materials.
MaterialPV0 [kW/m3sα/Tβ]αβ
N490.0961.1152.5448
N870.01811.232.33
N921.020.9442.28
N970.03081.1762.276
Table 4. The values of the thermal model parameters for the tested transformers.
Table 4. The values of the thermal model parameters for the tested transformers.
TransformerRthW1 [K/W]RthW2 [K/W]RthC [K/W] RthW1W2 [K/W]RthW1C [K/W]RthW2C [K/W]
TR117.121.0518.114.115.815.9
TR219.221.12414.215.915.9
TR321.118.924.113.915.115.2
TR425.525.623.919.922.122.2
TR518.118.918.211.112.912.9
TR616.517.518.111.512.812.9
Table 5. The values of the root mean square error of the temperature modeling of the components of the tested transformers presented in the figures in Section 5.
Table 5. The values of the root mean square error of the temperature modeling of the components of the tested transformers presented in the figures in Section 5.
TransformerFigureΔTW1 [°C]ΔTW2 [°C]ΔTC [°C]
TR1Figure 4a0.7741.461.002
TR1Figure 5a1.0720.8780.848
TR2Figure 6a1.1451.4951.031
TR2Figure 7a1.4102.0311.126
TR3Figure 8a0.9410.6890.512
TR3Figure 9a1.1961.5702.095
TR4Figure 10a0.8291.6120.977
TR4Figure 11a1.0851.2840.756
TR5Figure 12a1.6911.3591.325
TR5Figure 13a0.9310.9550.968
TR6Figure 14a0.8441.2591.170
TR6Figure 15a1.2831.0611.102
Table 6. The maximum values of temperature and dissipated power in the components of tested transformers presented in the figures in Section 5.
Table 6. The maximum values of temperature and dissipated power in the components of tested transformers presented in the figures in Section 5.
TransformerFigureTW1max [°C]TW2max [°C]TCmax [°C]pW1max [W]pW2max [W]pCmax [W]
TR1Figure 41261251253.932.980.34
TR1Figure 5941111022.183.120.02
TR2Figure 6125891182.910.460.89
TR2Figure 7101921033.272.10.64
TR3Figure 81321151252.314.90.5
TR3Figure 91151271201.73.940.03
TR4Figure 101039190.51.942.50.26
TR4Figure 111191211112.162.410.02
TR5Figure 121341271233.664.181.67
TR5Figure 131081181042.663.260.07
TR6Figure 141201201153.483.721
TR6Figure 151131231113.534.110.07
Disclaimer/Publisher’s Note: The statements, opinions and data contained in all publications are solely those of the individual author(s) and contributor(s) and not of MDPI and/or the editor(s). MDPI and/or the editor(s) disclaim responsibility for any injury to people or property resulting from any ideas, methods, instructions or products referred to in the content.

Share and Cite

MDPI and ACS Style

Górecki, K. Compact Modeling of Thermal Properties of Selected Planar Transformers with Ferrite Cores. Electronics 2026, 15, 1394. https://doi.org/10.3390/electronics15071394

AMA Style

Górecki K. Compact Modeling of Thermal Properties of Selected Planar Transformers with Ferrite Cores. Electronics. 2026; 15(7):1394. https://doi.org/10.3390/electronics15071394

Chicago/Turabian Style

Górecki, Krzysztof. 2026. "Compact Modeling of Thermal Properties of Selected Planar Transformers with Ferrite Cores" Electronics 15, no. 7: 1394. https://doi.org/10.3390/electronics15071394

APA Style

Górecki, K. (2026). Compact Modeling of Thermal Properties of Selected Planar Transformers with Ferrite Cores. Electronics, 15(7), 1394. https://doi.org/10.3390/electronics15071394

Note that from the first issue of 2016, this journal uses article numbers instead of page numbers. See further details here.

Article Metrics

Back to TopTop