Numerical Simulation and Optimization of Dark Current Performance Through a Quaternary Barrier in InAs/GaSb Superlattice Photodetectors
Abstract
1. Introduction
2. Materials and Methods
3. Results
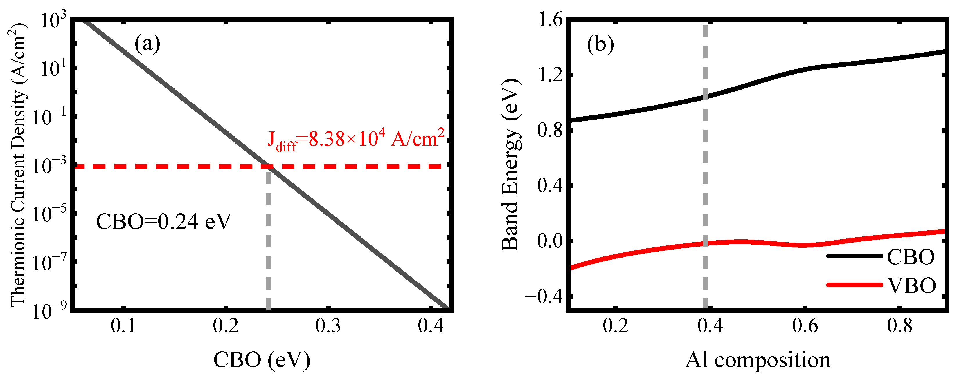
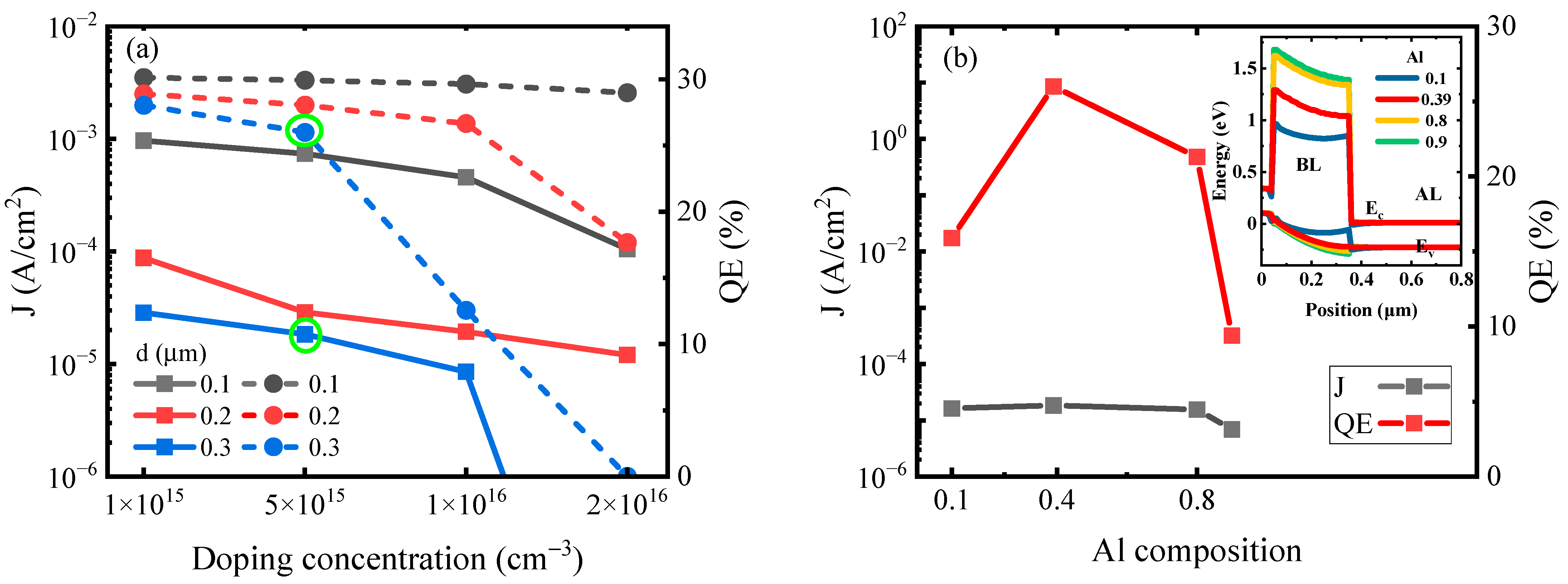
3.1. Thickness, Doping Concentration of the Barrier Layer
3.2. Doping of the Contact Layer
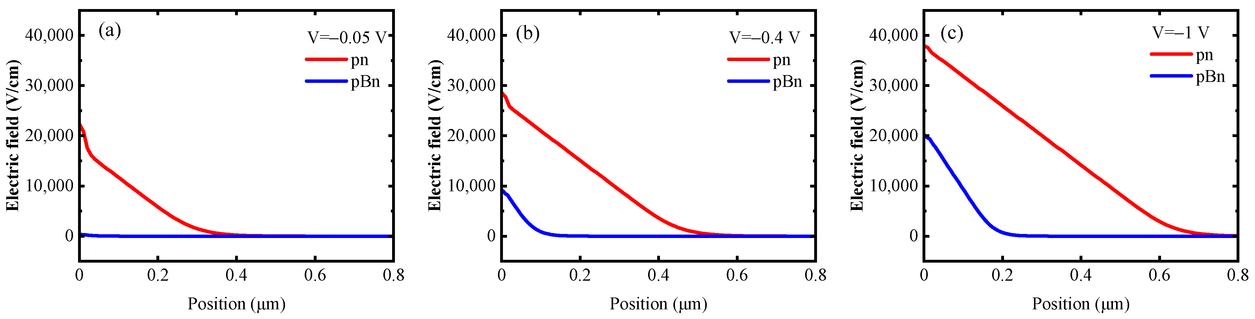
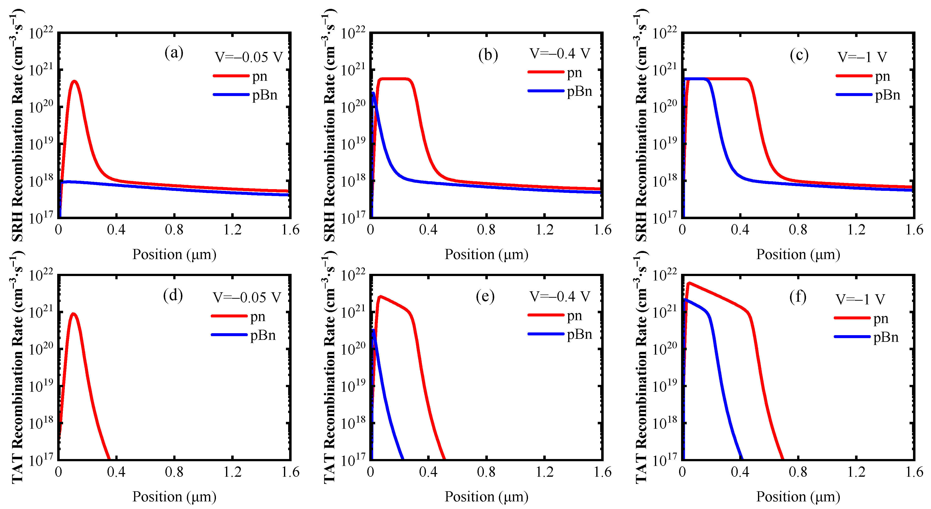
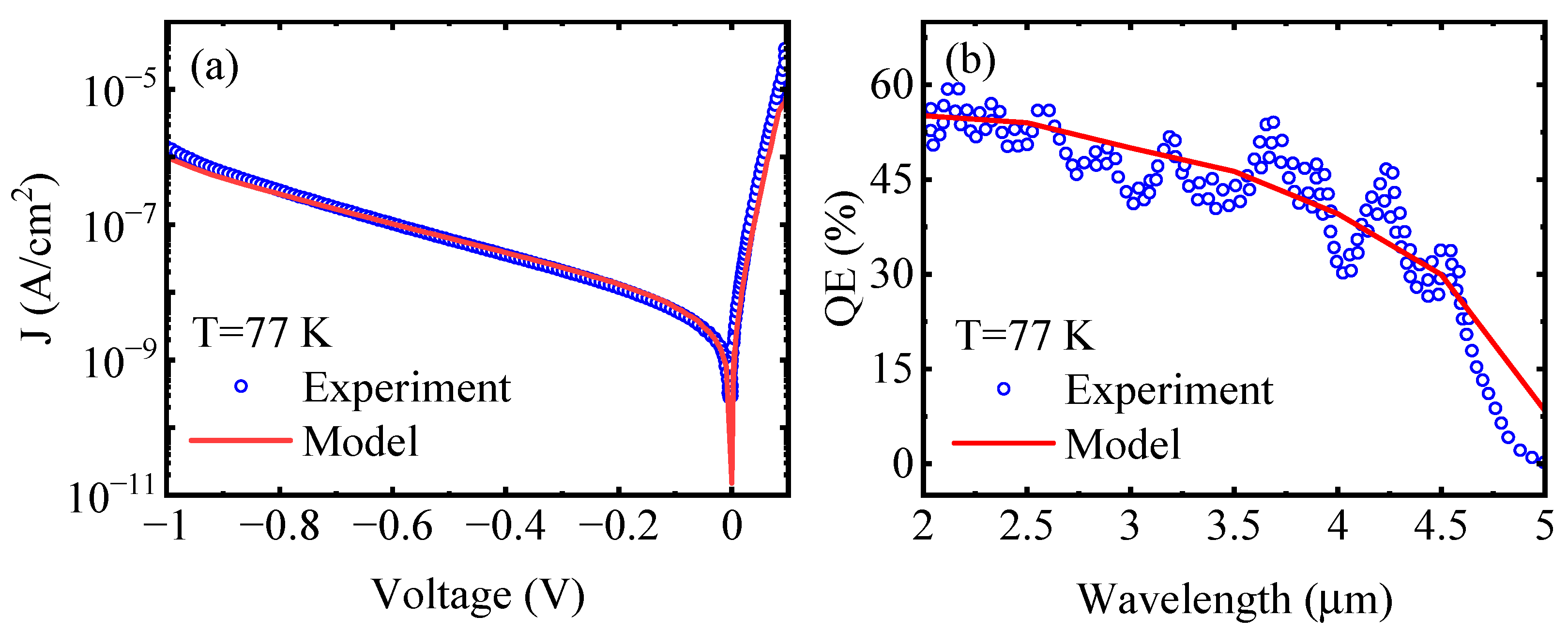
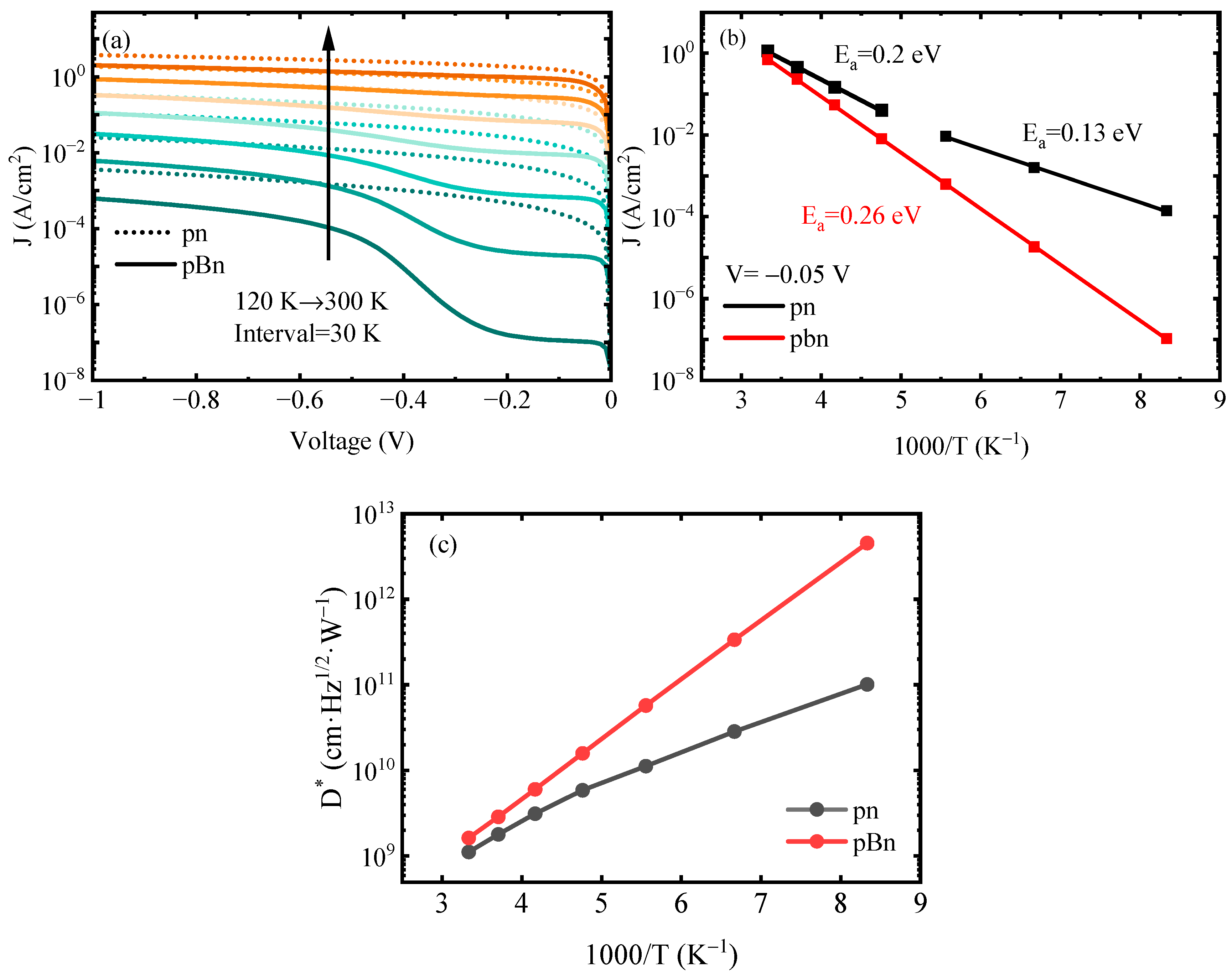
3.3. Comparison Between pBn and pn Structures
4. Conclusions
Author Contributions
Funding
Data Availability Statement
Conflicts of Interest
References
- Plis, E.A. InAs/GaSb Type-II Superlattice Detectors. Adv. Electron. 2014, 2014, 246769. [Google Scholar] [CrossRef]
- Rogalski, A.; Martyniuk, P. Mid-Wavelength Infrared nBn for HOT Detectors. J. Electron. Mater. 2014, 43, 2963–2969. [Google Scholar] [CrossRef]
- Mailhiot, C.; Smith, D.L. Long-Wavelength Infrared Detectors Based on Strained InAs–Ga1−xInxSb Type-II Superlattices. J. Vac. Sci. Technol. A Vac. Surf. Film. 1989, 7, 445–449. [Google Scholar] [CrossRef]
- Rogalski, A. New Material Systems for Third Generation Infrared Photodetectors. Opto-Electron. Rev. 2008, 16, 458–482. [Google Scholar] [CrossRef]
- Smith, D.L.; Mailhiot, C. Proposal for Strained Type II Superlattice Infrared Detectors. J. Appl. Phys. 1987, 62, 2545–2548. [Google Scholar] [CrossRef]
- Razeghi, M.; Nguyen, B.-M. Band Gap Tunability of Type II Antimonide-Based Superlattices. Phys. Procedia 2010, 3, 1207–1212. [Google Scholar] [CrossRef]
- Rogalski, A.; Martyniuk, P.; Kopytko, M. InAs/GaSb Type-II Superlattice Infrared Detectors: Future Prospect. Appl. Phys. Rev. 2017, 4, 031304. [Google Scholar] [CrossRef]
- Steenbergen, E.H.; Connelly, B.C.; Metcalfe, G.D.; Shen, H.; Wraback, M.; Lubyshev, D.; Qiu, Y.; Fastenau, J.M.; Liu, A.W.K.; Elhamri, S.; et al. Significantly Improved Minority Carrier Lifetime Observed in a Long-Wavelength Infrared III-V Type-II Superlattice Comprised of InAs/InAsSb. Appl. Phys. Lett. 2011, 99, 251110. [Google Scholar] [CrossRef]
- Pellegrino, J.; DeWames, R. Minority Carrier Lifetime Characteristics in Type II InAs/GaSb LWIR Superlattice n+ Πp+ Photodiodes. In Proceedings of the Infrared Technology and Applications XXXV, Orlando, FL, USA, 13–17 April 2009; p. 72981U. [Google Scholar]
- Jiao, Z.; Guo, T.; Zhou, G.; Gu, Y.; Liu, B.; Yu, C.; Li, T.; Li, X. Study on the Quaternary Unipolar Barrier in Metamorphic InGaAs Photodetectors. Opt. Laser Technol. 2025, 192, 113613. [Google Scholar] [CrossRef]
- Jiao, Z.J.; Guo, T.Y.; Gu, Y.; Liu, B.W.; Chu, F.H.; Ma, Y.J.; Shao, X.M.; Li, X. Recombination Lifetimes and Mechanisms of In0.75Ga0.25As and In0.53Ga0.47As as a Function of Doping Density. Infrared Phys. Technol. 2024, 141, 105462. [Google Scholar] [CrossRef]
- Martyniuk, P.; Wróbel, J.; Plis, E.; Madejczyk, P.; Kowalewski, A.; Gawron, W.; Krishna, S.; Rogalski, A. Performance Modeling of MWIR InAs/GaSb/B–Al0.2 Ga0.8 Sb Type-II Superlattice nBn Detector. Semicond. Sci. Technol. 2012, 27, 055002. [Google Scholar] [CrossRef]
- Li, Y.; Xiao, W.; Wu, L.; Xie, X.; Lu, P.; Wang, S. Dark Current Characteristic of P-i-n and nBn MWIR InAs/GaSb Superlattice Infrared Detectors. In Proceedings of the 2019 IEEE 4th Optoelectronics Global Conference (OGC), Shenzhen, China, 3–6 September 2019; pp. 70–75. [Google Scholar]
- Jang, A.; Lee, H.J.; Kim, Y.H.; Jung, H.; Bidenko, P.; Kim, S. Effect of Barrier Layer on InAs/GaSb Type-II Superlattice nBn Detector. In Proceedings of the 2021 International Conference on Electronics, Information, and Communication (ICEIC), Jeju-si, Republic of Korea, 31 January–3 February 2021; pp. 1–3. [Google Scholar]
- Nguyen, B.-M.; Hoffman, D.; Delaunay, P.-Y.; Razeghi, M. Dark Current Suppression in Type II InAs∕GaSb Superlattice Long Wavelength Infrared Photodiodes with M-Structure Barrier. Appl. Phys. Lett. 2007, 91, 163511. [Google Scholar] [CrossRef]
- Razeghi, M.; Haddadi, A.; Hoang, A.M.; Chen, G.; Bogdanov, S.; Darvish, S.R.; Callewaert, F.; Bijjam, P.R.; McClintock, R. Antimonide-Based Type II Superlattices: A Superior Candidate for the Third Generation of Infrared Imaging Systems. J. Electron. Mater. 2014, 43, 2802–2807. [Google Scholar] [CrossRef]
- Delmas, M.; Rossignol, R.; Rodriguez, J.B.; Christol, P. Design of InAs/GaSb Superlattice Infrared Barrier Detectors. Superlattices Microstruct. 2017, 104, 402–414. [Google Scholar] [CrossRef]
- Gomółka, E.; Markowska, O.; Kopytko, M.; Kowalewski, A.; Martyniuk, P.; Rogalski, A.; Rutkowski, J.; Motyka, M.; Krishna, S. Mid-Wave InAs/GaSb Superlattice Barrier Infrared Detectors with nBnN and pBnN Design. Bull. Pol. Acad. Sciences. Tech. Sci. 2018, 66., 317–323. [Google Scholar]
- Kim, H.S.; Plis, E.; Rodriguez, J.B.; Bishop, G.D.; Sharma, Y.D.; Dawson, L.R.; Krishna, S.; Bundas, J.; Cook, R.; Burrows, D.; et al. Mid-IR Focal Plane Array Based on Type-II InAs∕GaSb Strain Layer Superlattice Detector with nBn Design. Appl. Phys. Lett. 2008, 92, 183502. [Google Scholar] [CrossRef]
- Zhang, Y.; Shan, Y.; Chang, F.; Liang, Y.; Zhang, X.; Yang, C.; Li, D.; Xie, R.; Yao, L.; Wang, G.; et al. High Operating Temperature Mid-Wavelength Infrared Detectors Based on InAs/InAsSb Superlattices with Electron Block Interfacial Graded Doping. Opt. Express 2025, 33, 36672. [Google Scholar] [CrossRef]
- Kawde, P.; Singh, A.; Muralidharan, B. Dark Current Performance Enhancement in Type-II Superlattice Photodetectors via pBn Barrier Engineering. IEEE Trans. Electron Devices 2024, 71, 7628–7636. [Google Scholar] [CrossRef]
- Banerjee, K.; Huang, J.; Ghosh, S. Modeling and Simulation of Long-Wave Infrared InAs/GaSb Strained Layer Superlattice Photodiodes with Different Passivants. Infrared Phys. Technol. 2011, 54, 460–464. [Google Scholar] [CrossRef]
- Abautret, J.; Perez, J.P.; Evirgen, A.; Martinez, F.; Christol, P.; Fleury, J.; Sik, H.; Cluzel, R.; Ferron, A.; Rothman, J. Electrical Modeling of InSb PiN Photodiode for Avalanche Operation. J. Appl. Phys. 2013, 113, 183716. [Google Scholar] [CrossRef]
- Taalat, R.; Rodriguez, J.-B.; Delmas, M.; Christol, P. Influence of the Period Thickness and Composition on the Electro-Optical Properties of Type-II InAs/GaSb Midwave Infrared Superlattice Photodetectors. J. Phys. D Appl. Phys. 2014, 47, 015101. [Google Scholar] [CrossRef]
- Giard, E.; Ribet-Mohamed, I.; Jaeck, J.; Viale, T.; Haïdar, R.; Taalat, R.; Delmas, M.; Rodriguez, J.-B.; Steveler, E.; Bardou, N.; et al. Quantum Efficiency Investigations of Type-II InAs/GaSb Midwave Infrared Superlattice Photodetectors. J. Appl. Phys. 2014, 116, 043101. [Google Scholar] [CrossRef]
- Delmas, M.; Rodriguez, J.-B.; Christol, P. Electrical Modeling of InAs/GaSb Superlattice Mid-Wavelength Infrared Pin Photodiode to Analyze Experimental Dark Current Characteristics. J. Appl. Phys. 2014, 116, 113101. [Google Scholar] [CrossRef]
- Anwar, A.F.M.; Webster, R.T. Energy bandgap of AlxGa1−xAs1−ySby and conduction band discontinuity of AlxGa1−xAs1−ySby/InAs and AlxGa1−xAs1−ySby/InGaAs heterostructures. Solid-State Electron. 1998, 42, 2101–2104. [Google Scholar]
- Zhang, Y.L.; Li, C.; Guo, D.Q.; Cheng, K.M.; Shen, K.; Wu, J. High-performance In0.83Ga0.17As extended shortwave infrared photodetector with AlGaAsSb barrier structure. IEEE Sens. J. 2024, 24, 34259–34264. [Google Scholar]
- Singh, A.; Pal, R. Performance Simulation of Unipolar InAs/InAs1−xSbx Type-II Superlattice Photodetector. J. Electron. Mater. 2018, 47, 4653–4662. [Google Scholar] [CrossRef]
- Krijn, M.P.C.M. Heterojunction Band Offsets and Effective Masses in III-V Quaternary Alloys. Semicond. Sci. Technol. 1991, 6, 27–31. [Google Scholar] [CrossRef]
- Ting, D.Z.; Soibel, A.; Khoshakhlagh, A.; Gunapala, S.D. Theoretical Analysis of nBn Infrared Photodetectors. Opt. Eng. 2017, 56, 091606. [Google Scholar] [CrossRef]
- Steveler, E.; Verdun, M.; Portier, B.; Chevalier, P.; Dupuis, C.; Bardou, N.; Rodriguez, J.-B.; Haïdar, R.; Pardo, F.; Pelouard, J.-L. Optical Index Measurement of InAs/GaSb Type-II Superlattice for Mid-Infrared Photodetection at Cryogenic Temperatures. Appl. Phys. Lett. 2014, 105, 141103. [Google Scholar] [CrossRef]
- Hall, R.N. Electron-Hole Recombination in Germanium. Phys. Rev. 1952, 87, 387. [Google Scholar] [CrossRef]
- Shockley, W.; Read, W.T. Statistics of the Recombinations of Holes and Electrons. Phys. Rev. 1952, 87, 835–842. [Google Scholar] [CrossRef]
- Hurkx, G.A.M.; De Graaff, H.C.; Kloosterman, W.J.; Knuvers, M.P.G. A New Analytical Diode Model Including Tunneling and Avalanche Breakdown. IEEE Trans. Electron Devices 1992, 39, 2090–2098. [Google Scholar] [CrossRef]
- Le Thi, Y.; Kamakura, Y.; Mori, N. Simulation of Dark Current Characteristics of Type-II InAs/GaSb Superlattice Mid-Wavelength Infrared p–i–n Photodetector. Jpn. J. Appl. Phys. 2019, 58, 044002. [Google Scholar] [CrossRef]
- Maimon, S.; Wicks, G.W. N B n Detector, an Infrared Detector with Reduced Dark Current and Higher Operating Temperature. Appl. Phys. Lett. 2006, 89, 151109. [Google Scholar] [CrossRef]
- Martyniuk, P.; Wróbel, J.; Plis, E.; Madejczyk, P.; Gawron, W.; Kowalewski, A.; Krishna, S.; Rogalski, A. Modeling of Midwavelength Infrared InAs/GaSb Type II Superlattice Detectors. Opt. Eng. 2013, 52, 061307. [Google Scholar] [CrossRef]
- Zhu, H.; Liu, J.; Zhu, H.; Huai, Y.; Li, M.; Liu, Z.; Huang, Y. High Operating Temperature InAs/GaSb Superlattice Based Mid Wavelength Infrared Photodetectors Grown by MOCVD. Photonics 2021, 8, 564. [Google Scholar] [CrossRef]
- Czuba, K.; Ciura, Ł.; Sankowska, I.; Papis-Polakowska, E.; Jasik, A. The Role of Noise in Specific Detectivity of InAs/GaSb Superlattice MWIR Bariodes. Sensors 2021, 21, 7005. [Google Scholar] [CrossRef]
- Pour, S.A.; Huang, E.K.; Chen, G.; Haddadi, A.; Nguyen, B.-M.; Razeghi, M. High Operating Temperature Midwave Infrared Photodiodes and Focal Plane Arrays Based on Type-II InAs/GaSb Superlattices. Appl. Phys. Lett. 2011, 98, 143501. [Google Scholar] [CrossRef]











| Parameter | Unit | 7/4 ML InAs/GaSb SL | Al0.39Ga0.61As0.08Sb0.92 |
|---|---|---|---|
| Bandgap | eV | 0.238 | 1.26 |
| Electron density of states | cm−3 | 4.1 × 1016 | 7.1 × 1016 |
| Hole density of states | cm−3 | 4.1 × 1017 | 3.8 × 1018 |
| Electron mobility | cm2/(VS) | 1000 | 200 |
| Hole mobility | cm2/(VS) | 100 | 27 |
| G-R Lifetime electron | sec | 4 × 10−9 | 5 × 10−10 |
| G-R Lifetime hole | sec | 4 × 10−9 | 5 × 10−10 |
| Electron effective mass | 0.0254 m0 | 0.081 m0 | |
| Hole effective mass | 0.245 m0 | 0.61 m0 | |
| Tunneling mass | 0.025 m0 | ||
| Etrap | meV | 0 (mid-gap) |
| Barrier | Dark Current Density Without the Barrier (A/cm2) | Dark Current Density with the Barrier (A/cm2) | Factor of Reduction | Specific Detectivity (cm·Hz1/2·W−1) |
|---|---|---|---|---|
| This work | 1.59 × 10−3 | 1.83 × 10−5 | 86.9 | 3.37 × 1011 |
| Al0.2Ga0.8Sb [38] | 9 × 10−3 | 1 × 10−4 | 90 | 1 × 1011 |
| InAs/GaSb SL [39] | 5.53 × 10−3 | 1 × 10−4 | 55.3 | 1.28 × 1011 |
| AlSb [40] | 0.8 × 10−2 | 1.5 × 10−4 | 53.3 | N/A |
| M Barrier [41] | 0.91 × 10−4 | 1.14 × 10−5 | 7.98 | 5.7 × 1011 |
Disclaimer/Publisher’s Note: The statements, opinions and data contained in all publications are solely those of the individual author(s) and contributor(s) and not of MDPI and/or the editor(s). MDPI and/or the editor(s) disclaim responsibility for any injury to people or property resulting from any ideas, methods, instructions or products referred to in the content. |
© 2026 by the authors. Licensee MDPI, Basel, Switzerland. This article is an open access article distributed under the terms and conditions of the Creative Commons Attribution (CC BY) license.
Share and Cite
Jiao, Z.; Zhou, G.; Jin, X.; Gu, Y.; Liu, B.; Li, T.; Li, X. Numerical Simulation and Optimization of Dark Current Performance Through a Quaternary Barrier in InAs/GaSb Superlattice Photodetectors. Electronics 2026, 15, 1355. https://doi.org/10.3390/electronics15071355
Jiao Z, Zhou G, Jin X, Gu Y, Liu B, Li T, Li X. Numerical Simulation and Optimization of Dark Current Performance Through a Quaternary Barrier in InAs/GaSb Superlattice Photodetectors. Electronics. 2026; 15(7):1355. https://doi.org/10.3390/electronics15071355
Chicago/Turabian StyleJiao, Zhejing, Gaoyu Zhou, Xin Jin, Yi Gu, Bowen Liu, Tao Li, and Xue Li. 2026. "Numerical Simulation and Optimization of Dark Current Performance Through a Quaternary Barrier in InAs/GaSb Superlattice Photodetectors" Electronics 15, no. 7: 1355. https://doi.org/10.3390/electronics15071355
APA StyleJiao, Z., Zhou, G., Jin, X., Gu, Y., Liu, B., Li, T., & Li, X. (2026). Numerical Simulation and Optimization of Dark Current Performance Through a Quaternary Barrier in InAs/GaSb Superlattice Photodetectors. Electronics, 15(7), 1355. https://doi.org/10.3390/electronics15071355

