Next Article in Journal
Enhancing Glioma Classification in Magnetic Resonance Imaging Using Vision Transformers and Convolutional Neural Networks
Previous Article in Journal
CharSPBench: An Interaction-Aware Micro-Architecture Characterization Framework for Smartphone Benchmarks
Previous Article in Special Issue
Explaining Grid Strength Through Data: Key Factors from a Southwest China Power Grid Case Study
 
 
Font Type:
Arial Georgia Verdana
Font Size:
Aa Aa Aa
Line Spacing:
Column Width:
Background:
Article

Reliability Assessment of Power System Microgrid Using Fault Tree Analysis: Qualitative and Quantitative Analysis

by
Shravan Kumar Akula
1,* and
Hossein Salehfar
2,*
1
School of Science, Engineering, Arts and Nursing, Eastern Mennonite University, Harrisonburg, VA 22801, USA
2
School of Electrical Engineering and Computer Sciences, University of North Dakota, Grand Forks, ND 58203, USA
*
Authors to whom correspondence should be addressed.
Electronics 2026, 15(2), 433; https://doi.org/10.3390/electronics15020433
Submission received: 23 December 2025 / Revised: 5 January 2026 / Accepted: 13 January 2026 / Published: 19 January 2026

Abstract

Renewable energy sources account for approximately one-quarter of the total electric power generating capacity in the United States. These sources increase system complexity, with potential negative impacts caused by their inherent variability. A microgrid, a decentralized local grid, offers an excellent solution for integrating these sources into the system’s generation mix in a cost-effective and efficient manner. This paper presents a comprehensive fault tree analysis for the reliability assessment of microgrids, ensuring their safe operation. In this work, fault tree analysis of a microgrid in grid-tied mode with solar, wind, and battery energy storage systems is performed, and the results are reported. The analyses and calculations are performed using the Relyence software suite. The fault tree analysis was performed using various calculation methods, including exact (conventional fault tree analysis), simulation (Monte Carlo simulation), cut-set summation, Esary–Proschan, and cross-product. Once these analyses were completed, the results were compared with the ‘exact’ method as the base case. Critical risk measures, such as unavailability, conditional failure intensity, failure frequency, mean unavailability, number of failures, and minimal cut-sets, were documented and compared. Importance measures, such as marginal or Birnbaum, criticality, diagnostic, risk achievement, and risk reduction worth, were also computed and tabulated. Details of all cut-sets and the probability of failure are presented. The calculated importance measures would help microgrid operators focus on events that yield the greatest system improvements and maintain an acceptable range of risk levels to ensure safe operation and improved system reliability.

1. Introduction

Technological breakouts in renewable energy sources (RESs) and the decrease in energy storage prices have exponentially led to increased system installations. Microgrid-decentralized local grids are the logical solution to decentralization and decarbonization in this new era. The US Department of Energy defines a microgrid as ‘a group of interconnected loads and distributed energy resources within clearly defined electrical boundaries that act as a single controllable entity with respect to the grid. A microgrid (MG) can connect and disconnect from the grid to enable it to operate in both grid-connected or island mode’ [1]. Distributed generators (DGs) in the microgrid, typically RES, are intermittent and can be challenging, as these irregular power generators can disrupt the conventional operation of the utility grid (UG). Power fluctuations due to this erratic generation over considerable time periods must be mitigated since they can cause blackouts or other cascading problems.
Battery energy storage systems (BESSs) will reduce intermittency by installing RESs in large numbers or by installing grid-sized batteries as MGs are composed of multiple vulnerable components that must be integrated and optimized for interoperability and security. The failure of a critical component can initiate a cascade of failures, leading to the isolation of a part of the MG, and in extreme cases, blackouts. The conventional grid’s reliability is relatively high; therefore, introducing intermittent renewable sources will reduce grid reliability. System-integrated RES reliability studies are needed to ensure the integrity of MG safety-critical systems by assessing them at the component level due to their high uncertainty and variability. These assessments are vital to ensure dependable MG operation, which will benefit MG and utility grid (UG) owners by increasing revenue, power quality, and energy yield.
The challenges associated with renewable energy sources (RESs) have been recognized for decades [2,3], yet the lack of comprehensive field reliability data has limited quantitative assessment. Photovoltaic (PV) systems have been widely studied in stand-alone, stand-alone with BESS, and grid-connected modes. Early works applied failure mode and effect analysis (FMEA) and fault tree analysis (FTA) [2], while subsequent studies employed quantitative reliability evaluations for large-scale PV systems, considering both grid-connected and islanded operation [4]. Reliability, availability, and maintainability (RAM) analyses provided probabilistic models for PV subassemblies [5], and FTA using exponential probability density functions helped identify critical components to improve reliability and reduce maintenance costs [6]. Fuzzy reasoning Petri nets combined with FTA have also been used to analyze mechanical subsystems, enhancing fault prevention strategies [7]. While these studies advanced PV reliability assessment, they largely focus on PV systems in isolation and do not consider their integration within a larger microgrid environment.
Wind turbines (WTs) similarly require detailed reliability quantification. Approaches such as FTA, failure mode, effects, and criticality analysis (FMECA), event sequence analysis, and structural reliability methods have been applied [8]. Operational and maintenance cost assessments alongside RAM analyses have further informed subsystem reliability [9]. Binary decision diagrams (BDDs) have been used to optimize maintenance scheduling and identify critical components in offshore turbines [10,11], and the power law process has been implemented to evaluate generators, gearboxes, and converters [12]. FTA has also been employed to assess critical subassemblies in offshore WT farms [13]. Despite these advances, studies often rely on limited field data, focus on subsystems in isolation, and rarely account for interactions within a complete microgrid framework.
Battery energy storage systems (BESSs) are increasingly integrated into power grids to enhance flexibility and support ancillary services [14,15]. Reliability models for AC/DC converters and battery modules have been proposed [16], while FTA has been applied to identify failure modes in Li-ion batteries [17,18]. Nonetheless, existing analyses do not fully integrate BESS reliability with PV and wind systems in a grid-tied microgrid, limiting operational insights for combined RES and storage networks.
Microgrid-level studies address the broader integration of RES, power electronic interfaces, and operational contingencies. Reliability assessments considering cyber–physical interdependencies [19], weather conditions, lifecycle management, and load profiles [20,21] have been performed, alongside economic evaluations of radial distribution networks using constrained nonlinear optimization [22]. Analytical frameworks for operational transitions, such as islanded mode, have been proposed [23], and studies on reliability metrics for European markets under varying RES penetration exist [24,25]. However, many of these works consider small-scale microgrids, focus primarily on islanded operation, or omit the critical role of power electronic converters and inverters. Studies using Monte Carlo simulations often address only isolated operation modes without evaluating grid-tied interactions [26].
Although existing research has significantly advanced the reliability assessment of renewable energy systems, several critical gaps remain. First, most prior studies have analyzed individual subsystems in isolation—such as PV [2,3,4,5,6,7], wind [8,9,10,11,12,13], or BESS [14,15,16,17,18]—without adequately addressing the interactions and interdependencies among them when integrated into a grid-tied microgrid. This reductionist approach overlooks failure propagation pathways across different subsystems, leading to incomplete reliability insights. Second, while microgrid-level studies [19,20,21,22,23,24,25,26] have attempted to incorporate multiple components, they often suffer from narrow scopes, focusing only on small-scale microgrids, single operation modes (typically islanded), or limited sets of components. Critical elements such as the utility grid interface, loads, and power electronic converters—which play pivotal roles in real-world operations—are frequently simplified or omitted altogether. Third, methodological limitations persist: the majority of studies rely on a single reliability assessment technique (e.g., FTA, RAM analysis, Monte Carlo simulation), which restricts the robustness of conclusions and provides limited guidance on the relative merits of alternative approaches.
To address these limitations, the present study develops a comprehensive fault tree model that integrates photovoltaics (PV), wind turbines (WTs), battery energy storage systems (BESSs), utility grid (UG), and load components into a single grid-tied microgrid framework. This holistic representation captures the true interdependencies between renewable sources, storage, load, and grid support, enabling a more realistic evaluation of system reliability under practical operating conditions. Unlike prior subsystem-specific or islanded-only analyses, our framework reflects the operational complexity of modern microgrids, including transitions between grid-tied and stand-alone modes.
Moreover, this study applies and compares multiple complementary reliability assessment methods, namely, exact fault tree analysis, Monte Carlo simulation, cut-set summation, cross-product, and the Esary–Proschan approximation (EP). While exact FTA provides benchmark accuracy, it is computationally intensive for complex systems with large numbers of components and cut-sets. Approximate and simulation-based methods, such as Monte Carlo and Esary–Proschan, offer alternative means of estimating system reliability with different trade-offs between accuracy and computational effort. By applying all these methods to the same microgrid model, this study (i) validates the consistency of results across approaches, (ii) highlights the strengths and weaknesses of each method, and (iii) offers practical guidance on method selection for reliability assessment of microgrids of varying size and complexity.
In achieving this, the present work not only overcomes the limitations of subsystem-focused or method-specific studies but also provides a comprehensive, validated, and practically useful framework for microgrid reliability analysis.
In this work, the authors have developed a comprehensive fault tree model of a microgrid incorporating photovoltaic (PV) systems, wind turbines, battery energy storage systems (BESSs), the utility grid (UG), and load components, thereby capturing the full operational and structural complexity often omitted in prior studies. To ensure a robust evaluation, the fault tree is analyzed using multiple solution methods, ranging from basic method to approximate and simulation-based techniques, enabling a balanced assessment of accuracy and computational efficiency. Furthermore, a range of availability metrics is calculated to complement reliability analysis, providing a more practical measure of the microgrid’s sustained performance under real-world operating conditions. The study also derives important measures that emphasize the physical aspects of the microgrid, quantifying the contribution of each subsystem to overall risk and system resilience. Finally, minimal cut-set analysis is employed to identify the most critical failure pathways, offering direct insights for targeted reliability improvements. Collectively, this integrated methodology advances beyond existing work by delivering a holistic and comparative framework for microgrid reliability and availability assessment.
The paper proceeds as follows. In Section 2, FT basics and the FTs for each assembly are developed. The analysis of results is presented in Section 3. Conclusions and future work are addressed in the final section.
The remainder of the paper is organized as follows. Section 2 presents the FT model development and the associated qualitative interpretation of the system logic; quantitative approaches used to evaluate and solve the FT are described in Section 3; Section 4 documents the reliability and availability indices reported in this work; and diagnostic analysis based on minimal cut-sets and importance measures to identify structurally critical components and dominant contributors to the top event are presented in Section 5. Section 6 discusses the numerical results, including interpretation of differences among solution methods, while conclusions and future work are addressed in the final section.

2. Fault Tree Models

FTA analysis is a top-down failure analysis based on Boolean logic and is a directed acyclic graph with events and gates as nodes. The authors of [27,28] reviewed FTA basics, applications, modeling, methods, and analysis. Vesely et al. [29] wrote a reactor safety study report discussing the basics and importance of FTA. The characteristics of the FTA discussed in [30] identify it as the best choice to determine the reliability of complex systems such as an MG. Figure 1 shows the general structure of a typical fault tree diagram with gates and event descriptions used in this work.
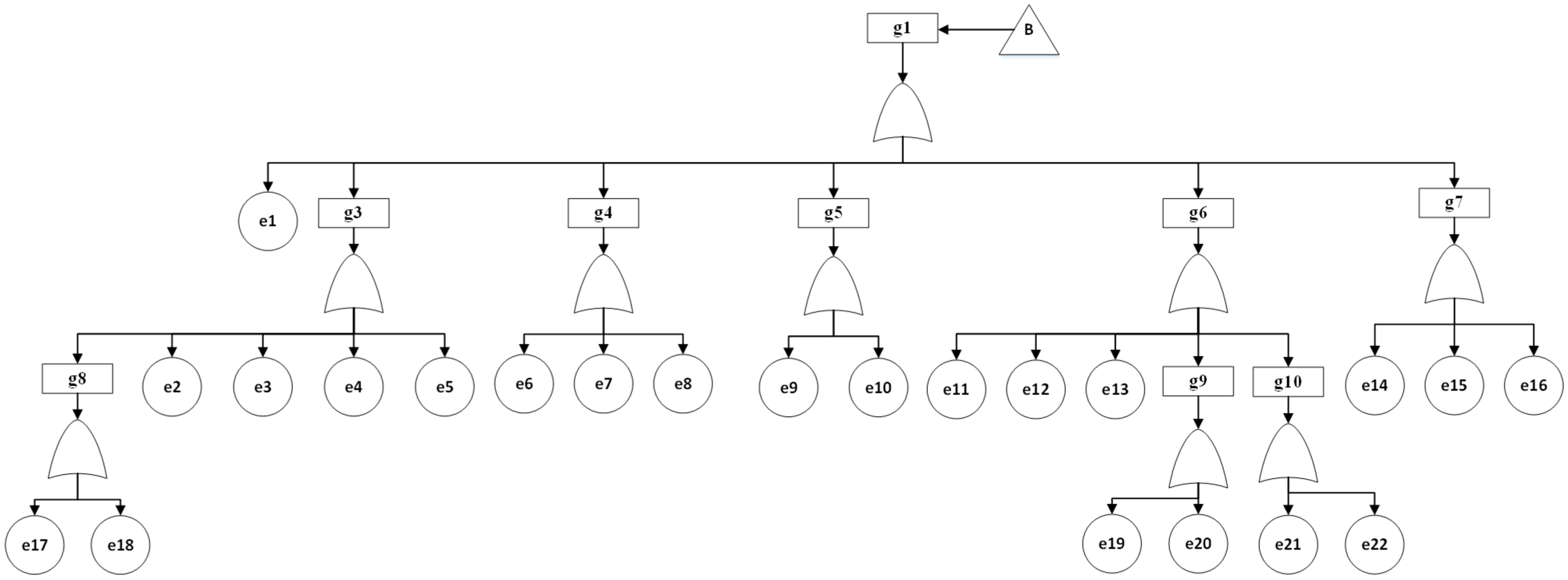
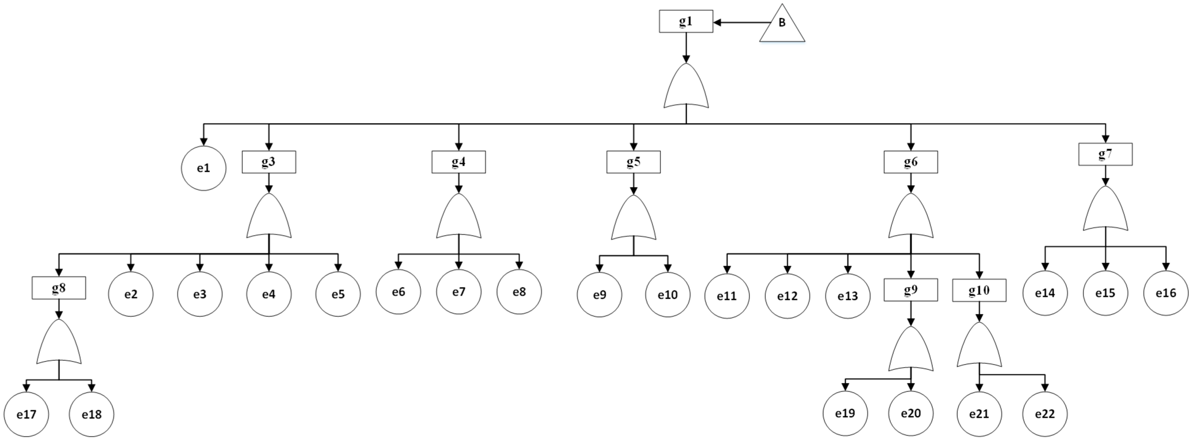
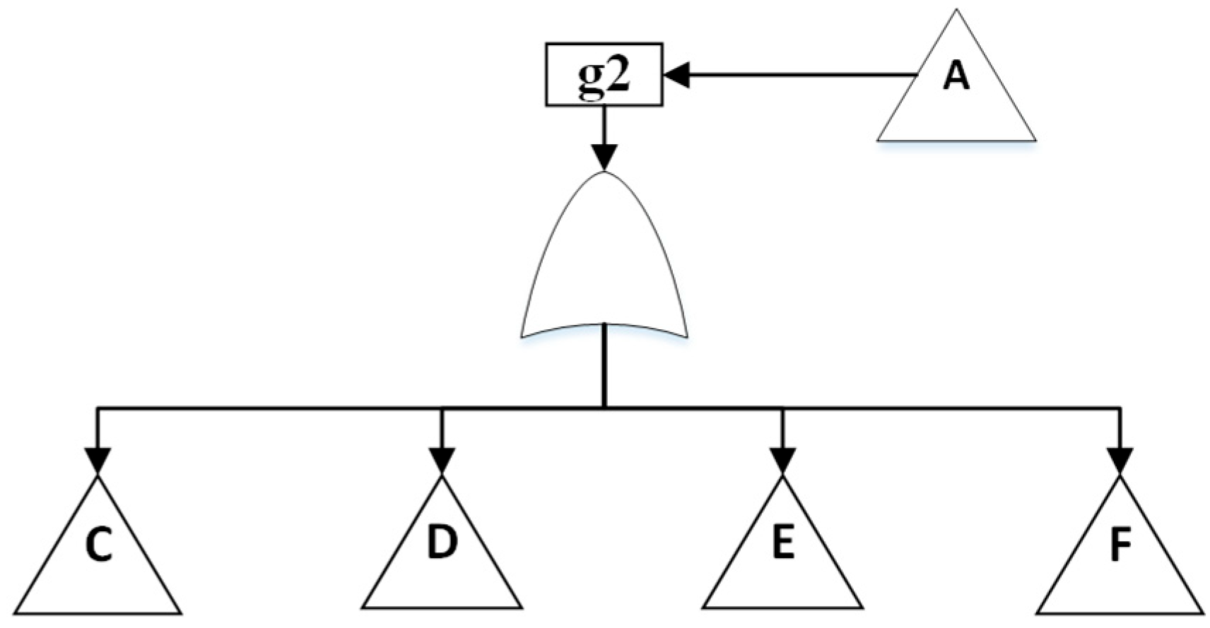
The top view of the FT model of the entire system considered in this work is shown in Figure 2. The top event of this FT is the failure of the total system. The FT for the grid is divided into two major subsystems, namely, utility grid (g1) and microgrid (g2).
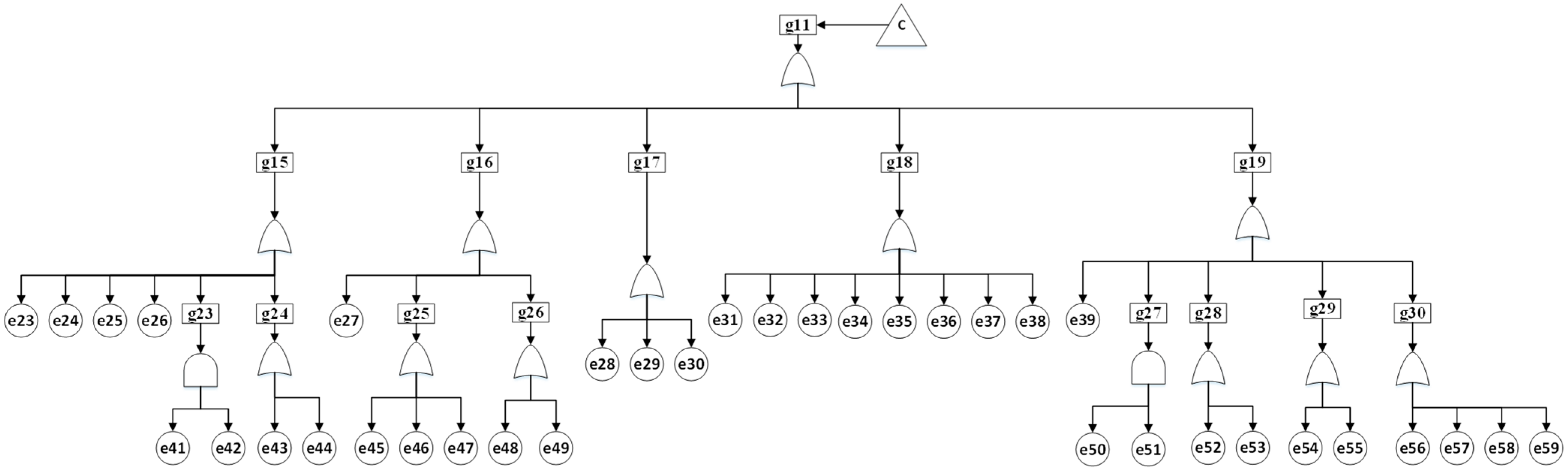
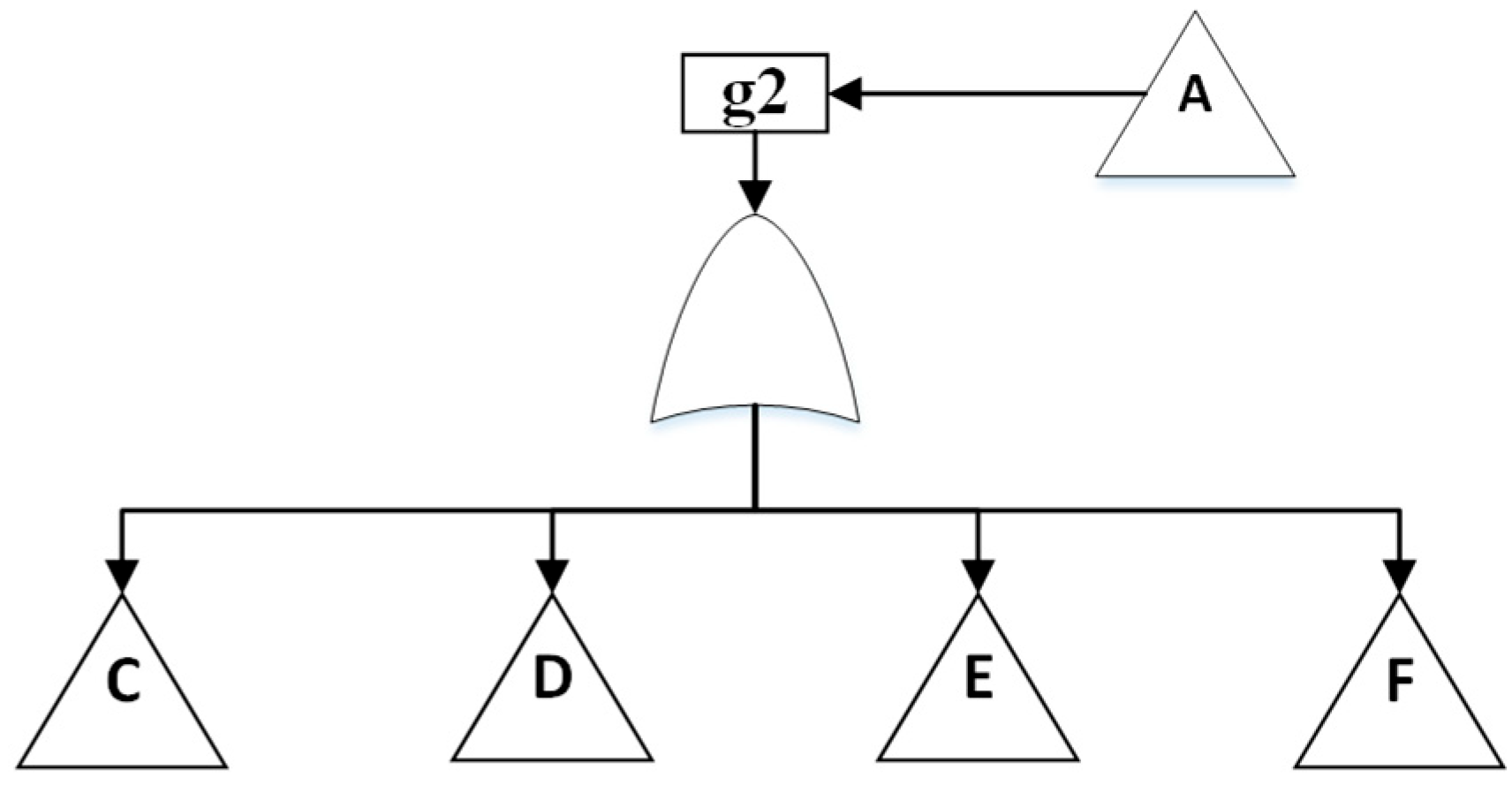
The proposed MG model (g2) has four subassemblies: PV farm (C), wind farm (D), BESS (E), and load (F), where C-F represent transfer trees derived from the fault tree. The top view of the MG FT model and its subassemblies is shown in Figure 3.
The PV system shown in transfer tree ‘C’ itself has five subassemblies (g15–g19), as depicted in Figure 4. A detailed RAM (Reliability, Availability, and Maintainability) analysis was performed for PV systems in [5]. However, based on the PV reliability block diagram in [5] and drawing failure and repair rate data from [2,5,20], a more comprehensive FT model of the PV farm is developed in the present work as shown in Figure 4. The associated logic gate and basic event codes and their failure probability are shown in Table 1 and Table 2. Details of the PV module subsystems are as follows.
PV system operating life depends on the materials used and the manufacturing process. Therefore, it is important to model that dependency in reliability analysis. In the PV module subsystems, the basic event PV cell (g15) is based on the corrosion of the materials, which is one of the major factors influencing PV output. To model the degradation of the PV module due to temperature and insolation effects, the intermediate event external conditions (g23) is included. Other minor factors that can affect the PV output are Discoloration, By-Pass diode failure, Encapsulant failure, PV module open and short circuits, Hot-spot failure, and delamination. However, due to the lack of field data, these events or factors are not included in the PV FT model. However, as more data becomes available, this model can readily be updated and utilized.
FT model for the PV converter includes basic events like ‘PV converter (e27)’, which represents failure from improper manufacturing due to external factors like the improper arrangement and switching regulator.
Based on the architectural design, PV farms can have three inverter systems, namely central, micro, and string. To simplify the FT model in this study, the authors examined a central inverter system and discovered that the most critical component in the proposed MG model is the inverter cooling fan with a failure probability of 0.2597%. If unmonitored, a malfunction in this component can lead to failure of the PV inverter, which will eventually lead to the MG’s failure; therefore, a maintenance schedule must be rigorous.
The balance of system (BOS) generally includes all non-modular components of a PV system, including structural elements such as mounting and tracking systems, electrical infrastructure such as DC/AC cabling, and switchgear, as well as ancillary components like foundations, enclosures, monitoring equipment, and, in some cases, cooling or ventilation systems of the PV system and contributes to 10–50% of purchasing and installation costs. Failure of BOS non-modular components is responsible for the failure of 54% of the PV systems [5]. So, it is extremely important that BOS be included as a part of the reliability analysis. The FT model of the BOS considered in this study is shown in subtree (g19). The proposed PV model is illustrated below in Figure 4, and its associated logic gate and basic event codes, and their corresponding failure probability are shown in Table 1 and Table 2.
The wind turbine is the most installed RES in the world; the size and complexity of the WTs continue to grow. For failproof and cost-effective WTs operation, reliability assessment is an imperative technology. The FTA model for WT is developed with seven assemblies: generator (g31), support structure (g33), gearbox (g34), blades (g36, g44), control system (g46), hydraulic system (g35), and electrical components (g32). Failures in the WT can occur from electrical or mechanical causes; the model is developed using both physical and electronic components. The proposed WT model has seven subassemblies and three basic events. The proposed WT model is illustrated below in Figure 5, and its associated logic gate, basic event codes, and their corresponding unavailability are shown in Table 3 and Table 4.
As stated, faults in WT generators can occur because of electrical or mechanical causes. Some of the most frequent events are open or short circuits in the stator or rotor winding, overheating, bearing failures from cracks or asymmetry, synchronization failures, accumulation of ice and dirt on blades, and manufacturing defects [11]. As such, it is important to include these cases in the FT analysis. The WT generator FT model used in this study is shown as subtree g31, and the WT electronic component model is shown to be represented by g32.
From extreme weather conditions, manufacturing defects, fatigue, or corrosion, WT support structures and blades can fail, so they must be included in the reliability analysis. By considering weather conditions, an extensive FTA model is proposed in [31] for the assessment of WT failure modes and their effects on public safety. For modeling purposes of this work, the WT support structures subsystem’s basic events are taken from [31,32]. To model the FT for WT blade failures, basic events and reliability data are drawn from [10,11,31], and a simple model of that is presented in subtree g36.
The gearbox is another most vulnerable component in a WT. Gearbox failure has been extensively studied and documented because it can lead to considerable turbine downtimes and unplanned maintenance issues, increasing electricity costs. The most probable causes for WT gearbox failures are wear and tear, fatigue, corrosion, abrasion, design defect, excessive pressure, and degradation. A simple FT model for WT gearbox failure is shown in subtree g34. Simple FT models for the WT hydraulic system failure are shown in g35, and the WT control system is shown in g37. Basic events and failure data for these models are drawn from [8,10,13,32,33].
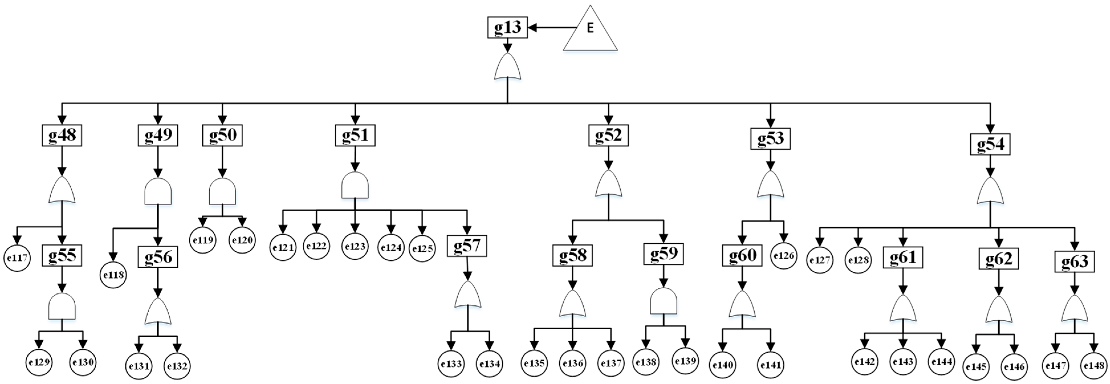
To reduce intermittency from the RES and provide ancillary services to MG and UG, BESS is included. Little to no work went into the reliability analysis of the energy storage, which typically involves Li-ion batteries in MGs. To build the FT model for the BESS basic events, failure, and repair rate data are taken from [17,18,34,35]. There are seven subtree events in the BESS FT model. The proposed FTA model for the BESS is illustrated in Figure 6, and its associated logic gate, basic event codes, and their corresponding failure probabilities are shown in Table 5 and Table 6.
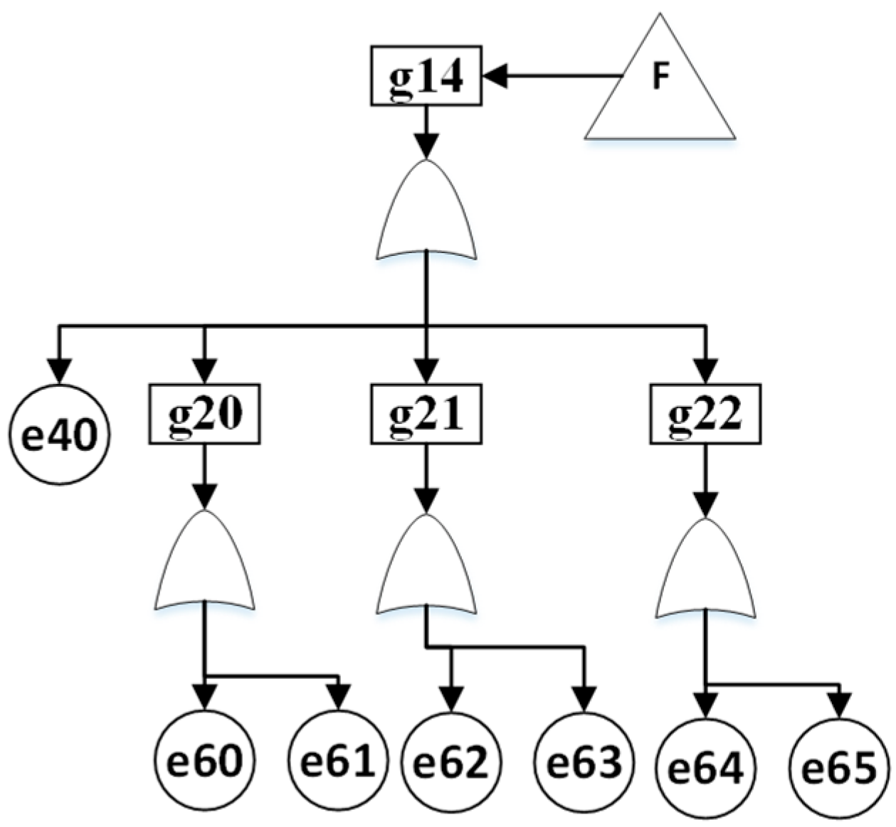
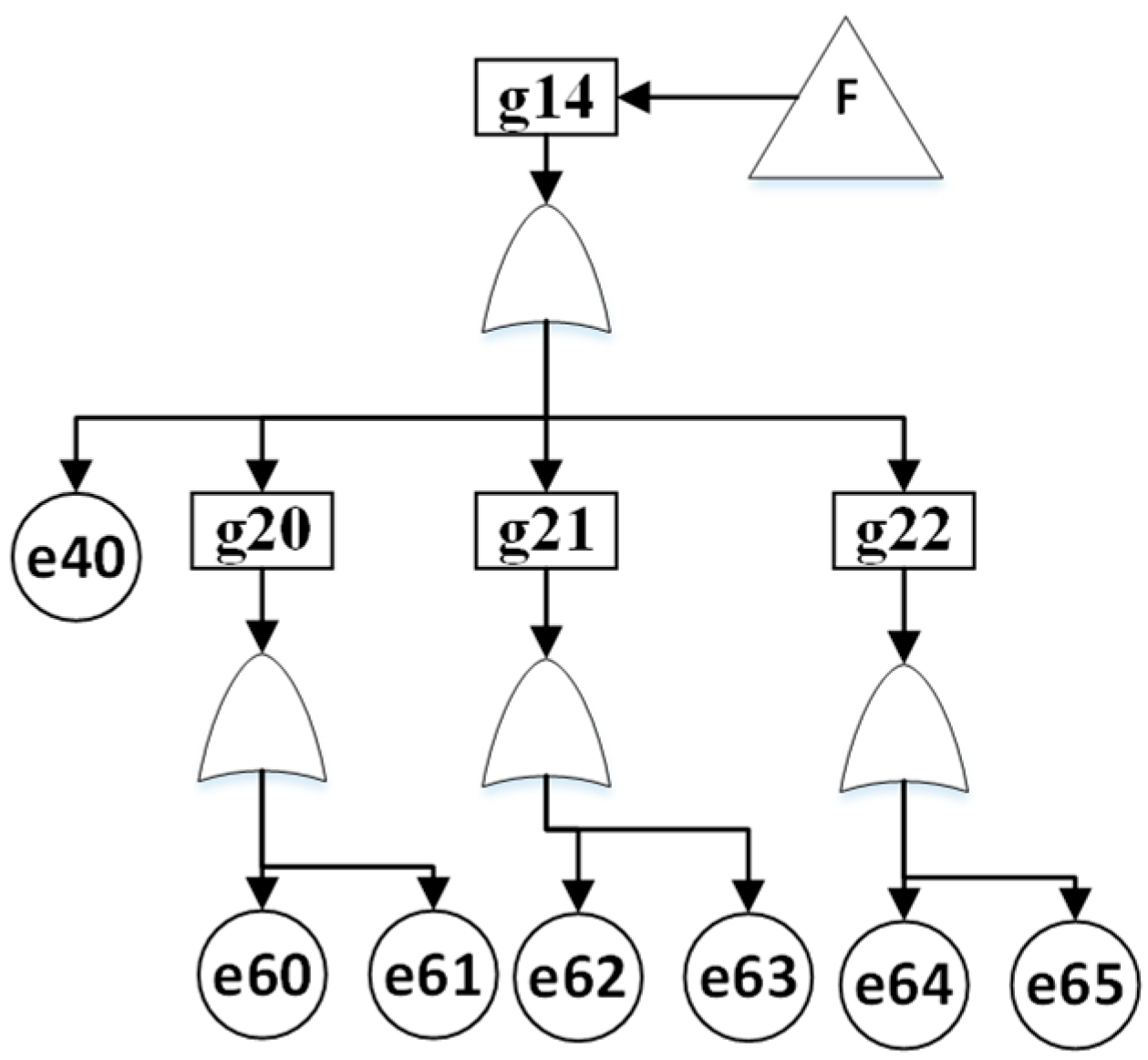
A simple load FTA model is presented in Figure 7. The associated basic event and logic gate codes and failure probability are shown in Table 7 and Table 8.
Previous peer-reviewed literature has determined that the conventional power grid has been extensively studied using FTA. Failure occurrence is rare in distribution systems; in this study, a simple FT model for the utility grid’s distribution end is developed. Authors of the present work used a methodology similar to previous models. The proposed utility grid FT model has five intermediate events and one basic event as shown in Figure 8. Specifically, the FT models for UG transformers (g3), natural (e7) and manmade events (e6), transmission lines (g5), switchgear equipment (g6), and other key components like capacitor banks (e15) and voltage regulators (e16) are included in the model as shown in Figure 8. Basic events and parameter data for this reliability evaluation of the utility grid are drawn from [20,21,36,37,38,39,40]. The associated basic events and logic gate codes with their failure probability are shown in Table 9 and Table 10.

3. Reliability Evaluation Methods

Qualitative analysis of the analytical procedures was used to compute the failure probability of the top events. In this work, the comprehensive reliability analysis of the MGs is implemented using five different methods of FT as discussed in the next section.

3.1. Exact Method

The exact or basic method uses graphic binary logic to analyze the system’s risk and safety issues. The basic fault tree and logic symbols that link the events together, often called gates, are usually represented by Boolean logic operators, as shown in Figure 1. In the ‘exact’ method, after the system is defined and the FT diagram is constructed, the analysis starts at the top level by identifying the main undesired event, referred to as the top event. The basic events are connected to the top-level event through a single logic gate or a combination of gates, which describe the relationship between the input event and the outcomes. An analysis is performed using Boolean logic to identify the basic-level events that will lead to the failure of the top event. This process is repeated until all lowest-level events are identified and documented. This technique is widely accepted and applied for cross-disciplinary systems and is the only identified technique for generating the likelihood of complex systems failure. Human error, hardware, and software failures can be included in the analysis, depending on the necessity of both quantitative and qualitative analysis. Constructing and analyzing the FT with this type of top event (total system) can be cumbersome for a large-scale complex system. Sophisticated computer software is needed to perform the FTA in this case, as a manual FTA assumes that all basic events are independent. This assumption creates an unrealistic analysis; however, the necessary software is expensive and uses a large quantity of computational power. In this work, the authors address this issue by identifying and implementing different techniques for the FTA that use less computational power while maintaining the accuracy at an acceptable level. Results demonstrate the effectiveness of the proposed methods and establish the versatility and availability of cost-effective options for reliability analysis.
Using the exact FT method, the MG unreliability (Q) in this study was computed as 0.222144, yielding a reliability of 77.7856% after 1000 simulated hours, as shown in Figure 9. The exact method has also been applied for MG risk analysis in previous studies [19,20,21,22,23,24,25,26,41,42,43].

3.2. Monte Carlo Simulation Method

Monte Carlo simulation is one of the popular methods for solving engineering problems. This method has been used in reliability analysis using probability distributions of component failure and repair data to simulate the system’s random behavior over time. If an FT is complex, i.e., when it has several basic events and interconnections, the Monte Carlo simulation is preferred and the obtained results are adequately accurate; however, such simulation runs use excessive amounts of computational power. The fundamentals and the mathematical background of the Monte Carlo simulation and its application to reliability analysis are extensively documented in [44,45,46]. Significant research has been performed on the reliability evaluation of MG’s using Monte Carlo simulations, the most popular of which are found in [47,48,49,50,51,52].
Using the Monte Carlo simulation engine in the ‘relyence’ FTA suite [53], and with the number of simulation iterations set to 20,000, authors have performed a reliability analysis of the MG in the grid-tied mode for 1000 simulated hours of operation. The results of the Monte Carlo simulation for 20,000 iterations are shown in Figure 10 with an unreliability of 0.218909, which reports a reliability of 78.1091%.

3.3. Cut-Set Approximation Methods

A cut-set is an important concept in FT analysis. A cut-set is a combination of basic events whose simultaneous occurrence will cause the top event failure. A minimal cut-set is the smallest combination that can cause the top event. The probability of a cut-set is calculated by taking the intersection of all sets in the set (unless the events belong to a disjoint event group or a common cause failure group). The probability of the top gate failing is the probability of the union of all cut-sets and is calculated by the following equation:
P T o p   G a t e = P i = 1 n E i = i = 1 n P E i i < j P E i   E j +   i < j < k P E i   E j     E k + 1 n + 1 P i = 1 n E i        
where E 1 ,   E 2 ,   E 3 , ,   E n are the cut-sets. As seen from the formula, the number of terms increases exponentially with the number of cut-sets. So, calculating the probability of failure of the top gate is impractical for the FT with a large number of cut-sets. Cut-set approximation methods like cut-set summation, cross-product, and Esary–Proschan address this issue particularly when the event probabilities are low.

3.3.1. Cut-Set Summation

Cut-set summation (CSS) is a popular method for analyzing systems with components that have small failure probabilities; it saves time and computational power while providing acceptable results. This method is an optimal choice for risk analysis of the MGs and the utility grid. CSS assumes that the simultaneous occurrence of multiple minimal cut-sets is rare. In the CSS method, the probability of a top event occurring is the sum of the probabilities of its minimal cut-sets. The steps involved in the CSS method are as follows:
(1)
Documenting all failure modes for the top event in terms of component sets.
(2)
Checking if the component set belongs to the minimal cut-sets. If a component from the identified set is deleted, it will no longer trigger the top event.
(3)
Computing the failure probability of the system by the union, or adding, of all set probabilities. As calculating the full union using the inclusion–exclusion principle is computationally expensive, the formula is truncated (by only using the first sum from Equation (1)) to improve efficiency. The probability of failure at the top gate is calculated by the following equation:
P T o p   G a t e = P i = 1 n E i i = 1 n P E i
Evaluating an equation with increasingly higher degrees, such as when the first-order minimal cut-sets contain one basic event and so on, takes more time and computational power to calculate. Several algorithms are proposed to obtain cut-sets from the FTs in minimal computation time, making the CSS method feasible. While many algorithms are available to obtain the minimal cut-sets, the method of cut-sets (MOCUS) [54] is the most popular option; while it performs well for smaller FTs, it has limitations as FT size increases. This method is popular in the fields of aviation and space studies and has also been used to evaluate the reliability of DC power distribution networks [55], biochemical reaction networks [56], non-directional networks [57], and the composite power system reliability of the IEEE 6 bus, 14 bus, and single area IEEE RTS 96 systems [58], which demonstrates its feasibility. Authors in this work have adopted the CSS method for reliability and risk analysis of the MG, and the results demonstrate the method’s effectiveness. When using the cut-set summation method after 1000 simulated hours of operation, the unreliability is computed to be 0.249862, and the reliability is 75.0138% (Figure 11).

3.3.2. Cross-Product Method

The cross-product method (CP) uses minimal cut-sets to approximate the gate probabilities, and is similar to the CSS method. In this method, cut-sets are obtained by MOCUS, and multiple occurrences of minimal cut-sets are rare above a specified order. A cross-product order ‘m’ is used to account for the order of product terms to overcome the CSS method’s drawbacks. A higher order of the cross-product can be specified to improve the accuracy of the results, but it increases the calculations’ complexity, increasing the computational cost. The probability of failure of the top gate using the cross-product for order three is given by the following equation:
P T o p   G a t e = P i = 1 n E i i = 1 n P E i i < j P E i   E j +   i < j < k P E i   E j     E k
Depending on the value of ‘n’, the value of the probability of failure varies as follows:
When n = 1, the cross-product method reduces to the CSS method. For higher orders of ‘n’ the truncation alternates between overestimating and underestimating the exact probability. If ‘n’ is odd, the approximation yields an upper bound, whereas if ‘n’ is even, it yields a lower bound of the exact system failure probability.
The cross-product method is popular in aerospace, defense, medical, and nuclear power plants, all of which have safety-critical systems. This method is programmed into commercial reliability software suites like Relyence [53], Isograph [59], Reliasoft [60], and Weibull++ [61], indicating its popularity.
Authors of the present work utilized bibliographical search tools to obtain peer-reviewed journal articles that examine the cross-product method for MG reliability analysis; however, little to no relevant research data were found.
When n = 1, the results from the cross-product method (Figure 12) are similar to the cut-set summation method: the unreliability is 0.249862, and the reliability is 75.01385%.
When n = 2, the unreliability is computed to be 0.22171, and the reliability is 77.829% (Figure 13), which is less than that from the cut-set summation method.
When n = 3, the unreliability is 0.223740, and the reliability is 77.626% (Figure 14), which is greater than when n = 2.
For the proposed FT, an n value of 2 yielded the closest result when compared with the basic method, with minimal computational time.

3.3.3. Esary–Proschan Method

Esary and Proschan (1963) proposed a reliability analysis technique for coherent systems using minimal cut-sets (respective path) and lower bounds of reliability (respective upper bounds) [62]. Upper and lower bounds for the system calculation are shown in [63]. Esary and Proschan (1970) extended the research to include the components of maintenance and interdependency by including the lower cut minimal bound and comparing it with system reliability [64]. The method proposed in [62] became widely popular for reliability analysis due to its simplicity in calculations, and is only applicable for non-identical components. The method proposed in [64] solved the non-identical component problem, by which risk analysis can be performed for maintaining interdependent components. When performing the reliability analysis using the Esary–Proschan (EP) method, the assumption is made that it produces conservative results and that all cut-sets are independent, such as when coherent fault trees do not contain the NOT logic. The probability of failure for the top event is calculated by the following equation:
P T o p   G a t e = P i = 1 n E i = P i = 1 n E i = 1 P i = 1 n E i 1 i = 1 n P E i = 1 i = 1 n ( 1 P ( E i ) )
If all the cut-sets have some common events, the Esary–Proschan method top gate failure probability is calculated by the following equation:
P T o p   G a t e 1 i = 1 n 1 P ( E i * j = 1 k P e j
where e 1 ,   e 2 ,   e 3 , ,   e k are the common events in every set and ‘ ( E i * ) ’ is the cut-set of ‘ E i ’ without any common events.
The efficiency of the reliability calculations for coherent systems like MG will be improved by using a minimal path upper bound and a minimal cut lower bound. These bounds are derived for the independent components in [63] by coupling the newly derived bounds with the upper and lower bounds proposed in [62]. Using both exact and approximation (EP) methods, the system reliability analysis was reported in [65], comparing the logical concepts from exact methods and probability calculations from the approximation. Compared to the exact, or basic method, EP is computationally manageable for assessing the reliability of small-scale systems. The EP method employs algebraic manipulations and approximations, which reduce the computational cost; however, when this method is applied to a large-scale system, the computational cost increases as the number of minimal cut-sets increases. Even with these shortcomings, EP performs better than the basic method, and error bounds from the approximation increase, which decreases the efficiency of the method. The use of the EP method is popular in aerospace, automotive, commercial, and defense applications. Industrial-scale reliability software suites like Relyence [53], Isograph [59], Reliasoft Blocksim [60] provide the FTA module with EP preinstalled, demonstrating the effectiveness of the method and its applicability towards safety-critical systems. As stated earlier, the EP method works well with maintained interdependent systems, which makes it suitable for MGs. The authors have implemented the EP method for the MG’s reliability analysis to substantiate the FTA’s versatility and reduce the computational cost. An extensive peer-reviewed literature search suggests this may be the first attempt at implementing the EP method for the risk analysis of an MG.
As there are no basic common events in the cut-sets, the common basic event factor is zero in this case; therefore, the unreliability (Figure 15) is equal to the value in the cut-set summation method.

4. Availability Metrics

Several availability metrics listed in Table 11 were calculated for 1000 h of simulated system operation. A wide range of availability metrics exists in the reliability analysis, and those presented in this paper are the most common and popular for risk analysis of safety-critical systems.
The calculated availability metrics for the basic method are comparable to those of the linear aging model, as shown in Figure 16 [66]. The linear aging model evaluates the implications of the aging phenomenon on the reliability of a component, in which the component’s performance deteriorates with age. The performance deterioration can range from negligible to noticeable, depending on the component. With an optimized maintenance schedule, the stress on the component can be reduced, improving the system’s reliability.

5. Reliability Diagnostics: Cut-Sets and Importance Measures

5.1. Cut-Sets

After determining the minimal cut-sets for the FT, the failure probability is calculated for the components in each identified MCS and documented in decreasing order to provide insight into the vulnerable components for the operators. Using the basic method for 1000 h of operation, the minimal cut-sets of the top twenty critical components and their probability of failure are listed as shown in Figure 17. These calculated cut-sets will provide MG and UG operators with valuable insight into the most vulnerable components of the system, allowing them to target those areas for improvement.

5.2. Importance Measures

There are two classes of importance measures in reliability analysis: structural importance measures (SI) and reliability importance measures (RI). The importance of a component is assessed in the SI [67] based on the FT; structure’s position; however, it does not consider the reliability of the component or the system. RI measures take both position and reliability of the component into account, making them more efficient. In the quantitative analysis of the FTA proposed by the authors, RI measures are mathematically calculated and documented. This analysis will allow the MG and the UG operators to identify critical parts, thus allowing them to emphasize the importance of those parts and optimize their maintenance schedules. Furthermore, based on discrete basic events and top event probabilities, importance measures will help the MG operators in ranking the events in terms of reduced likelihood of occurrence to improve the system’s performance. Manual calculations of the importance measures are manageable with a simple FT; however, as the tree size increases, calculations will become cumbersome. Advanced reliability software suites will easily perform these calculations without constraints on the size of the FT. Calculating different importance measures will provide a comprehensive view of the MG system’s vulnerable areas for the operators, thereby improving overall reliability and ensuring safe operation. Importance measures considered in this work and their significance are listed in Table 12.
Xing [69] compares seven RI measures: RAW, RRW, DIF, CIF, MIF, conditional probability (CP), and improvement potential (IP). Reported results demonstrate that RAW and MIF may be erroneous in developing a maintenance schedule; however, these measures help identify the susceptible components and assist MG owners in improving overall system reliability. Results from [69] show that DIF is the most promising measure for safety-critical systems, such as the utility grid and MG, which require aggressive maintenance strategies. For risk assessment of nuclear power plants, a dynamic assessment is used for model-based simulations in [70], and RI measures are used for the qualitative analysis. FTA is applied for the reliability analysis of the IEEE test system in [38]. NRAW (network risk achievement worth) and NRRW (network risk reduction worth), which are the modified versions of the conventional RAW and RRW, are used as importance measures in the system. RI measures in the electric transmission systems are used in [71] to evaluate transmission components with promising results, demonstrating their effectiveness. The versatile nature of RI is demonstrated by its use in applications across multiple disciplines involving safety-critical systems, including spacecraft performance analysis [72], making it ideal for MG assessment. For the present work, various reliability importance measures of the MG are calculated for 1000 h of simulated operation. In total, there are 149 basic and intermediate events in the proposed FTA model.
Since not all of the importance measures rank the basic events in the same way, MG operators can choose an importance measure depending on the requirements. Taking an average of the proposed importance measures is also an effective way in the solution process.
Figure 18 shows a heatmap of the normalized importance measured for the top 20 events and gates. Each column corresponds to a specific measure, and the color intensity indicates respective magnitudes.

6. Analysis and Discussion

The probability of total system failure was calculated using different methods. As shown in Figure 19, results are largely consistent across all methods and align with theoretical expectations discussed previously. The exact method serves as the baseline for comparison (Q = 0.22214) of all other methods. The Monte Carlo simulation results closely match those of the exact method, with a value of Q = 0.21891, deviating by only −1.456%, confirming that the stochastic simulation can be effectively used to calculate system reliability metrics for the system considered in this work. As previously discussed, exact and Monte Carlo simulation methods are extensively used in FT analysis. These methods are robust, but can be computationally intensive, especially for a complex system like MG, which has several independent events from different renewable sources.
Cut-set approximation methods provide faster alternatives while offering results within valid ranges. The CSS method in this case yields a failure probability of 0.24986, representing a +12.477% deviation from the base case. This is expected, as the CSS method uses the first sum from Equation (1). The CSS method is the fastest of the approximation methods, but it is also the most inaccurate and provides an upper bound for the failure probability of the top gate.
The cross-product approximation method for n = 1 results is the same as the CSS method, which matches the theoretical descriptions discussed above. For instance, n = 2 produced Q = 0.22171 (deviation of −0.195% from exact method), and n = 3 produced Q = 0.22374 (deviation of +0.718%). These values are in proximity to the exact method, thus proving to be efficient alternatives for large fault trees.
Both the CSS and Esary–Proschan methods yielded identical results because MG’s FT cut-sets are mutually exclusive (they share no common components), and the rare-event approximation ensures that the higher-order intersection terms in the inclusion–exclusion expansion contribute insignificantly. So, Esary–Proschan’s expression simplifies the CSS method.
Flexibility to choose between multiple methods is essential for MG operators, as the size and complexity of FT’s vary widely and the morel complexity can vary substantially across systems and operating conditions. The exact method remains the benchmark for verifying approximation methods, but it may become computationally intractable for larger systems due to cut-set interactions, so it is most suitable for small-to-moderate FTs where the number of events or cut-sets is manageable. The EP method provides a computationally efficient solution for identifying dominant vulnerabilities in the system, such as points of failure at point of common coupling or primary distribution transformers. This method is effective when the top event of the FT (loss of power to critical loads) can be represented through a coherent and monotone structure dominated by OR gates and the objective is to obtain conservative bounds with moderate computational effort. The CSS method is recommended when minimal cut-sets can be identified and the overlap remains manageable. CSS provides higher accuracy when compared to first-order approximations and is effective for grid-tied MGs where minimal structural vulnerabilities drive the top event. The CP method is recommended when minimal cut-sets are available, cut-set overlaps are non-negligible, and full inclusion–exclusion principle to all orders is computationally expensive. High renewable energy systems introduce stochastic intermittency and time-dependent constraints, such as the State-of-Charge for BESS, and non-exponential failure distributions and environmental correlations (e.g., solar irradiance). The Monte Carlo simulation method is an indispensable tool to represent these effects because it can track chronological operations and accommodate arbitrary failure distributions or correlated environmental scenarios. While the computational overhead of the Monte Carlo simulation method is higher than that of analytical counterparts, it offers a level of operational realism that is otherwise unattainable. For MG owners, the choice to use the Monte Carlo simulation method represents a pragmatic trade-off: accepting a higher computational cost in exchange for the modeling fidelity required to manage the dynamic nature of modern renewable configurations.
Availability metrics plotted in Figure 16a exhibit a steady increasing trend over time, which is consistent with the reliability theory. These trends validate the expected degradation of system reliability with operating time. The CIF (Figure 16b) remains almost constant around 422.77–422.81 with a slight upward variation, which is the typical expected trend for FT’s modeled under rare-event exponential failure distributions. The failure frequency (Figure 16c) shows a decreasing trend (422.77 to 328.89) over the simulated duration. The observed trend is consistent with the theoretical assumptions, as time progresses, fewer working components remain to contribute to new failures, reducing the failure frequency.
Reliability indices, such as SAIFI (System Average Interruption Frequency Index), SAIDI (System Average Interruption Duration Index), and CAIDI (Customer Average Interruption Duration Index), are well-documented in MG reliability studies. These indices are system-level and customer-focused, so they provide no insight into the contribution of individual components to overall unreliability. By contrast, the importance measures proposed in this work quantify the sensitivity of the system’s probability of failure to changes in the reliability of specific components. This is particularly important for MG operators, as the proposed measures in this work will enable them to identify internal vulnerabilities and optimize their maintenance schedules, thereby enhancing MG reliability.
Figure 18 presents the normalized heatmap of the calculated importance measured for the top 20 events in the MG FT. Consistent results between the cut-set probabilities presented in Figure 17 and the calculated importance measures provide strong validation of the results. The same events, such as e34, e38, e81, e102, and e33, emerge as most significant when evaluated for cut-set probabilities and importance measures. This confirms that the importance measures used in this work effectively capture the component-level vulnerabilities in the system. A large subset of dominant events exhibits the same value for RAW (4.501591), because the failure of each component is assumed to lead to the same single, critical top event (total system failure). This trend is expected given the tree structure is dominated by OR-gate logic, where the failure of a basic event directly propagates through the OR structure forcing the occurrence of top event with certainty, i.e., P T E i = 1 1 , which yields R A W   E i 1 P T = 1 0.222144 4.501591 , yielding identical RAW values for the dominant events. In contrast, events located within subsystems connected through AND-gate logic do not force the top event with certainty, so RAW value deviates from the dominant event value. For instance, PV DC switch (e50) yields a RAW value of 2.359441, while weaker contributors approach a value of 1.0. To visualize the impact of the measures, a heatmap is presented in Figure 18, with normalized values (where the normalization scales for each measure range from 0 to 1) making the results comparable despite differences in magnitude. It helps the operators to identify the most vulnerable components without distortion from scale differences.
Combined, the results from the proposed system offer a comprehensive and reliable approach for MG reliability assessment. By integrating multiple methods so that operators can choose an appropriate method based on FT size, availability metrics, and importance measures, providing component-level insights, this work proposes a robust methodology that balances computational efficiency with accuracy, providing MG operators with a flexible and practical reliability toolkit for safe and reliable operation.

7. Summary and Conclusions

In this work, an FT-based reliability assessment of a composite (MG and UG) system is presented. Qualitative and quantitative analyses are performed based on a set of generic failure information.
Five different methods were implemented to minimize the computational cost and demonstrate the versatile nature of the FTA approach. Popular availability metrics are presented to help grid operators gain an overall view of both system reliability and unavailability. An important feature of the proposed method is that deficiencies in the system can be readily identified with calculated importance measures, which helps in assisting the MG operators in optimizing maintenance schedules and developing preventive strategies. Cut-set components with the probability of failure for the MG components were documented for further analysis. As more data becomes available, the proposed FT approach will be updated to help further researchers and grid operators improve the system’s performance and increase its reliability.
Future work includes a failure mode and effects analysis (FMEA) and an economic risk assessment to predict failure modes of the critical components and their impact on system performance to enhance the reliability of the system further. Modern MGs are networked, and thus are vulnerable to cyberattacks. Cyberattacks cannot be modeled with the conventional FT. Authors in [73] have proposed an FMEA worksheet for the risk assessment of MG cyber components. Nevertheless, the traditional FMEA has drawbacks in prioritizing the critical components, so authors are currently working on a fuzzy-based FMEA method that can address the drawbacks of the traditional method.

Author Contributions

S.K.A.: Conceptualization, methodology, software, writing—original draft. H.S.: Writing—review and editing, supervision. All authors have read and agreed to the published version of the manuscript.

Funding

This research received no external funding.

Data Availability Statement

This study presents the main data needed to reproduce the presented simulations. Non-essential data used in this study is available on request from the corresponding author. It is not publicly available, as it is well known by experts in the field, and general variations in non-essential data do not change the results.

Conflicts of Interest

The authors declare that they have no known competing financial interests or personal relationships that could have appeared to influence the work reported in this paper.

References

  1. Ton, D.T.; Smith, M.A. The US Department of Energy’s Microgrid Initiative. Electr. J. 2012, 25, 84–94. [Google Scholar] [CrossRef]
  2. Stember, L.H. Reliability considerations in the design of solar photovoltaic power systems. Sol. Cells 1981, 3, 269–285. [Google Scholar] [CrossRef]
  3. Stember, L.H.; Huss, W.R.; Bridgman, M.S. A Methodology for Photovoltaic System Reliability & Economic Analysis. IEEE Trans. Reliab. 1982, R-31, 296–303. [Google Scholar] [CrossRef]
  4. Zhang, P.; Wang, Y.; Xiao, W.; Li, W. Reliability evaluation of grid-connected photovoltaic power systems. IEEE Trans. Sustain. Energy 2012, 3, 379–389. [Google Scholar] [CrossRef]
  5. Sayed, A.; El-Shimy, M.; El-Metwally, M.; Elshahed, M. Reliability, availability and maintainability analysis for grid-connected solar photovoltaic systems. Energies 2019, 12, 1213. [Google Scholar] [CrossRef]
  6. Ahadi, A.; Ghadimi, N.; Mirabbasi, D. Reliability assessment for components of large scale photovoltaic systems. J. Power Sources 2014, 264, 211–219. [Google Scholar] [CrossRef]
  7. Wu, J.; Yan, S.; Xie, L. Reliability analysis method of a solar array by using fault tree analysis and fuzzy reasoning Petri net. Acta Astronaut. 2011, 69, 960–968. [Google Scholar] [CrossRef]
  8. Seebregts, A.J.; Rademakers, L.W.M.M.; Van Den Horn, B.A. Reliability analysis in wind turbine engineering. Microelectron. Reliab. 1995, 35, 1285–1307. [Google Scholar] [CrossRef]
  9. Hill, R.R.; Stinebaugh, J.A.; Briand, D.; Benjamin, A.S.; Lindsay, J. Wind Turbine Reliability: A Database and Analysis Approach; SAND2008-0983; Sandia National Laboratories Technical Report; Sandia National Laboratories: Albuquerque, NM, USA, 2008; p. 60.
  10. Marugán, A.P.; Márquez, F.P.G.; Pérez, J.M.P. Optimal maintenance management of offshore wind farms. Energies 2016, 9, 46. [Google Scholar] [CrossRef]
  11. Márquez, F.P.G.; Pérez, J.M.P.; Marugán, A.P.; Papaelias, M. Identification of critical components of wind turbines using FTA over the time. Renew. Energy 2016, 87, 869–883. [Google Scholar] [CrossRef]
  12. Spinato, F.; Tavner, P.J.; Van Bussel, G.J.W.; Koutoulakos, E. Reliability of wind turbine subassemblies. IET Renew. Power Gener. 2009, 3, 387–401. [Google Scholar] [CrossRef]
  13. Kang, J.; Sun, L.; Soares, C.G. Fault Tree Analysis of floating offshore wind turbines. Renew. Energy 2019, 133, 1455–1467. [Google Scholar] [CrossRef]
  14. Bowen, T.; Chernyakhovskiy, I.; Denholm, P. Grid-Scale Battery Storage: Frequently Asked Questions; NREL/TP-6A20-74426; National Renewable Energy Laboratory: Golden, CO, USA, 2018; pp. 1–8.
  15. U.S. Energy Information Administration. Battery Storage in the United States: An Update on Market Trends; U.S. Department of Energy: Washington, DC, USA, 2020.
  16. Liu, M.; Li, W.; Wang, C.; Polis, M.P.; Wang, L.Y.; Li, J. Reliability Evaluation of Large Scale Battery Energy Storage Systems. IEEE Trans. Smart Grid 2017, 8, 2733–2743. [Google Scholar] [CrossRef]
  17. Levy, S.C.; Bro, P. Reliability analysis of lithium cells. J. Power Sources 1989, 26, 223–230. [Google Scholar] [CrossRef]
  18. Uy, O.M.; Maurer, R.H. Fault tree safety analysis of a large Li/SOCl/2 spacecraft battery. J. Power Sources 1987, 21, 93–119. [Google Scholar] [CrossRef]
  19. Falahati, B.; Fu, Y.; Wu, L. Reliability assessment of smart grid considering direct cyber-power interdependencies. IEEE Trans. Smart Grid 2012, 3, 1515–1524. [Google Scholar] [CrossRef]
  20. Khare, V.; Nema, S.; Baredar, P. Reliability analysis of hybrid renewable energy system by fault tree analysis. Energy Environ. 2019, 30, 542–555. [Google Scholar] [CrossRef]
  21. Ramabhotla, S.; Bayne, S.; Giesselmann, M. Reliability optimization using fault tree analysis in the grid connected mode of microgrid. In Proceedings of the 2016 IEEE Green Technologies Conference (GreenTech 2016), Kansas City, MO, USA, 6–8 April 2016; pp. 136–141. [Google Scholar] [CrossRef]
  22. Adefarati, T.; Bansal, R.C. Reliability and economic assessment of a microgrid power system with the integration of renewable energy resources. Appl. Energy 2017, 206, 911–933. [Google Scholar] [CrossRef]
  23. Conti, S.; Rizzo, S.A.; El-Saadany, E.F.; Essam, M.; Atwa, Y.M. Reliability assessment of distribution systems considering telecontrolled switches and microgrids. IEEE Trans. Power Syst. 2014, 29, 598–607. [Google Scholar] [CrossRef]
  24. Prete, C.L.; Hobbs, B.F.; Norman, C.S.; Cano-Andrade, S.; Fuentes, A.; von Spakovsky, M.R.; Mili, L. Sustainability and reliability assessment of microgrids in a regional electricity market. Energy 2012, 41, 192–202. [Google Scholar] [CrossRef]
  25. Bae, I.S.; Kim, J.O. Reliability evaluation of customers in a microgrid. IEEE Trans. Power Syst. 2008, 23, 1416–1422. [Google Scholar] [CrossRef]
  26. Karki, R.; Billinton, R. Reliability/Cost Implications of PV and Wind Energy Utilization in Small Isolated Power Systems. IEEE Power Eng. Rev. 2001, 21, 67. [Google Scholar] [CrossRef]
  27. Ruijters, E.; Stoelinga, M. Fault tree analysis: A survey of the state-of-the-art in modeling, analysis and tools. Comput. Sci. Rev. 2015, 15, 29–62. [Google Scholar] [CrossRef]
  28. Lee, W.S.; Grosh, D.L.; Tillman, F.A.; Lie, C.H.; Analysis, F.T. Methods, and Applications—A Review. IEEE Trans. Reliab. 1985, R-34, 194–203. [Google Scholar] [CrossRef]
  29. Vesely, W.E.; Goldberg, F.F.; Roberts, N.H.; Haasl, D.F. Fault Tree Handbook; NUREG-0492; U.S. Nuclear Regulatory Commission: Washington, DC, USA, 1981.
  30. Wang, J. Safety Analysis Methods for Train Control Systems; Academic Press: Cambridge, MA, USA, 2018. [Google Scholar] [CrossRef]
  31. Brouwer, S.R.; Al-Jibouri, S.H.S.; Cárdenas, I.C.; Halman, J.I.M. Towards analysing risks to public safety from wind turbines. Reliab. Eng. Syst. Saf. 2018, 180, 77–87. [Google Scholar] [CrossRef]
  32. Zhu, C.; Li, Y. Reliability analysis of wind turbines. In Stability Control and Reliable Performance of Wind Turbines; Okedu, K.E., Ed.; IntechOpen: London, UK, 2018. [Google Scholar] [CrossRef]
  33. Pfaffel, S.; Faulstich, S.; Rohrig, K. Performance and reliability of wind turbines: A review. Energies 2017, 10, 1904. [Google Scholar] [CrossRef]
  34. Brik, K.; Ammar, F.B. Causal tree analysis of depth degradation of the lead acid battery. J. Power Sources 2013, 228, 39–46. [Google Scholar] [CrossRef]
  35. Kim, D.-H.; Kim, S.-C.; Kim, E.-S.; Park, Y.-H. Risk Assessment of Energy Storage System using Event Tree Analysis. J. Korean Soc. Saf. 2016, 31, 34–41. [Google Scholar] [CrossRef]
  36. Hong, Y.Y.; Lee, L.H. Reliability assessment of generation and transmission systems using fault-tree analysis. Energy Convers. Manag. 2009, 50, 2810–2817. [Google Scholar] [CrossRef]
  37. Rahman, F.A.; Varuttamaseni, A.; Kintner-Meyer, M.; Lee, J.C. Application of fault tree analysis for customer reliability assessment of a distribution power system. Reliab. Eng. Syst. Saf. 2013, 111, 76–85. [Google Scholar] [CrossRef]
  38. Volkanovski, A.; Čepin, M.; Mavko, B. Application of the fault tree analysis for assessment of power system reliability. Reliab. Eng. Syst. Saf. 2009, 94, 1116–1127. [Google Scholar] [CrossRef]
  39. Song, G.; Chen, H.; Guo, B. A layered fault tree model for reliability evaluation of smart grids. Energies 2014, 7, 4835–4857. [Google Scholar] [CrossRef]
  40. Shi, X.; Bazzi, A.M. Reliability modeling and analysis of a micro-grid with significant clean energy penetration. In Proceedings of the 9th International Conference on Power Electronics—ECCE Asia: “Green World with Power Electronics” (ICPE 2015-ECCE Asia), Seoul, Republic of Korea, 10–13 May 2015; pp. 202–207. [Google Scholar] [CrossRef]
  41. Basu, A.K.; Chowdhury, S.; Chowdhury, S.P. Impact of strategic deployment of CHP-based DERs on microgrid reliability. IEEE Trans. Power Deliv. 2010, 25, 1697–1705. [Google Scholar] [CrossRef]
  42. Patra, S.B.; Mitra, J.; Ranade, S.J. Microgrid architecture: A reliability constrained approach. In Proceedings of the 2005 IEEE Power Engineering Society General Meeting, San Francisco, CA, USA, 12–16 June 2005; Volume 3, pp. 2372–2377. [Google Scholar] [CrossRef]
  43. Farzin, H.; Fotuhi-Firuzabad, M.; Moeini-Aghtaie, M. Role of Outage Management Strategy in Reliability Performance of Multi-Microgrid Distribution Systems. IEEE Trans. Power Syst. 2018, 33, 2359–2369. [Google Scholar] [CrossRef]
  44. Alexander, D. Application of Monte Carlo simulation to system reliability analysis. In Proceedings of the 20th International Pump Users Symposium, Houston, TX, USA, 17–20 March 2003; pp. 91–94. [Google Scholar]
  45. Rao, K.D.; Gopika, V.; Sanyasi Rao, V.V.S.; Kushwaha, H.S.; Verma, A.K.; Srividya, A. Dynamic fault tree analysis using Monte Carlo simulation in probabilistic safety assessment. Reliab. Eng. Syst. Saf. 2009, 94, 872–883. [Google Scholar] [CrossRef]
  46. Innal, F. Monte Carlo (MC) Simulation for System Reliability; Norwegian University of Science and Technology: Trondheim, Norway, 2015; pp. 10–12. [Google Scholar]
  47. Moon, H.H.; Lee, J.J.; Choi, S.Y.; Cha, J.S.; Kang, J.M.; Kim, J.T.; Shin, M.C. A study using a Monte Carlo method of the optimal configuration of a distribution network in terms of power loss sensing. Sensors 2011, 11, 7823–7834. [Google Scholar] [CrossRef] [PubMed]
  48. Mitra, J.; Vallem, M.R. Determination of storage required to meet reliability guarantees on island-capable microgrids with intermittent sources. IEEE Trans. Power Syst. 2012, 27, 2360–2367. [Google Scholar] [CrossRef]
  49. Nikmehr, N.; Ravadanegh, S.N. Reliability evaluation of multi-microgrids considering optimal operation of small scale energy zones under load-generation uncertainties. Int. J. Electr. Power Energy Syst. 2016, 78, 80–87. [Google Scholar] [CrossRef]
  50. Li, D.; Li, X.; Liu, Y.; Ran, L.; Wan, J. Research on reliability evaluation algorithm based on distribution network containing Microgrid. In Proceedings of the 2018 IEEE 4th Information Technology and Mechatronics Engineering Conference, ITOEC 2018, Chongqing, China, 14–16 December 2018; pp. 1915–1919. [Google Scholar] [CrossRef]
  51. Ghahderijani, M.M.; Barakati, S.M.; Tavakoli, S. Reliability evaluation of stand-alone hybrid microgrid using Sequential Monte Carlo Simulation. In Proceedings of the 2012 2nd Iranian Conference on Renewable Energy and Distributed Generation, ICREDG 2012, Tehran, Iran, 6–8 March 2012; pp. 33–38. [Google Scholar] [CrossRef]
  52. Bie, Z.; Zhang, P.; Li, G.; Hua, B.; Meehan, M.; Wang, X. Reliability evaluation of active distribution systems including microgrids. IEEE Trans. Power Syst. 2012, 27, 2342–2350. [Google Scholar] [CrossRef]
  53. Getting Started with Relyence Fault Tree. Available online: https://relyence.com/help/user-guide/getting-started-fault-tree.html (accessed on 15 August 2025).
  54. Fussell, J.B.; Vesely, W.E. New methodology for obtaining cut sets for fault trees. Am. Nucl. Soc. Trans. 1972, 15, 262–263. [Google Scholar]
  55. Zhang, L.; Yang, S.-S.; Cai, L.; Wang, L. Reliability analysis of DC power distribution network based on minimal cut sets. In Proceedings of the 2011 14th European Conference on Power Electronics and Applications, EPE 2011, Birmingham, UK, 30 August–1 September 2011. [Google Scholar]
  56. Klamt, S.; Gilles, E.D. Minimal cut sets in biochemical reaction networks. Bioinformatics 2004, 20, 226–234. [Google Scholar] [CrossRef]
  57. Behzadirafi, S.; Salehfar, H.; Manoharan, A.K.; Nadipalli, S.R.; Aravinthan, V. Electric circuit theory based minimal cut-set realization for reliability evaluation of non-directional networks. In Proceedings of the 2018 North American Power Symposium, NAPS 2018, Fargo, ND, USA, 9–11 September 2018. [Google Scholar] [CrossRef]
  58. Kumar, T.B.; Sekhar, O.C.; Ramamoorty, M. Composite power system reliability evaluation using modified minimal cut set approach. Alex. Eng. J. 2018, 57, 2521–2528. [Google Scholar] [CrossRef]
  59. Isograph. Isograph FaultTree+ Fault Tree Analysis Software. 2025. Available online: http://isograph.com/software/reliability-workbench/fault-tree-analysis-software/ (accessed on 22 December 2025).
  60. HBK World. System Reliability, Availability, and Maintainability Analysis. 2024. Available online: https://www.hbkworld.com/en/knowledge/resource-center/articles/fault-tree-analysis-reliability-block-diagrams-and-blocksim (accessed on 22 December 2025).
  61. CRGRAPH. Fault-Tree-Analysis—CRGRAPH. 2025. Available online: https://crgraph.de/en/fault-tree-analysis/ (accessed on 22 December 2025).
  62. Esary, J.D.; Proschan, F. Coherent Structures of Non-Identical Components. Technometrics 1963, 5, 191–209. [Google Scholar] [CrossRef]
  63. Fu, J.C.; Koutras, M.V. Reliability bounds for coherent structures with independent components. Stat. Probab. Lett. 1995, 22, 137–148. [Google Scholar] [CrossRef]
  64. Esary, J.D.; Proschan, F. A reliability bound for systems of maintained, interdependent components. J. Am. Stat. Assoc. 1970, 65, 329–338. [Google Scholar] [CrossRef]
  65. Locks, M.O. System reliability analysis: A tutorial. Microelectron. Reliab. 1978, 18, 335–345. [Google Scholar] [CrossRef]
  66. Vesely, W.E.; Wolford, A.J. Risk evaluations of aging phenomena: The linear aging reliability model and its extensions. Nucl. Eng. Des. 1988, 108, 179–185. [Google Scholar] [CrossRef]
  67. Amrutkar, K.P.; Kamalja, K.K. An overview of various importance measures of reliability system. Int. J. Math. Eng. Manag. Sci. 2017, 2, 150–171. [Google Scholar] [CrossRef]
  68. Birnbaum, Z.W. On the Importance of Different Components in a Multicomponent System; Department of Defense Technical Information Center: Washington, DC, USA, 1968. [CrossRef]
  69. Xing, L. Maintenance-oriented fault tree analysis of component importance. In Proceedings of the Annual Reliability and Maintainability Symposium, Los Angeles, CA, USA, 26–29 January 2004; pp. 534–539. [Google Scholar] [CrossRef]
  70. Diaconeasa, M.A. Integration of Qualitative and Quantitative Hybrid Causal Logic into a Simulation-based Platform for Probabilistic Risk Assessment of Nuclear Power Plants. Ph.D. Thesis, University of California, Los Angeles, CA, USA, 2017. [Google Scholar]
  71. Daemi, T.; Ebrahimi, A. Evaluation of components reliability importance measures of electric transmission systems using the bayesian network. Electr. Power Compon. Syst. 2012, 40, 1377–1389. [Google Scholar] [CrossRef]
  72. Ibrahim, S.K.M. Spacecraft Performance Analysis and Fault Diagnosis Using Telemetry-Mining. Ph.D. Thesis, Zagazig University, Zagazig, Egypt, 2018. [Google Scholar]
  73. Akula, S.K.; Salehfar, H. Risk-based Classical Failure Mode and Effect Analysis (FMEA) of Microgrid Cyber-physical Energy Systems. arXiv 2021, arXiv:2108.10349. [Google Scholar]
Figure 1. Structure of a basic fault tree.
Figure 1. Structure of a basic fault tree.
Electronics 15 00433 g001
Figure 2. Fault Tree Structure for Utility Grid (A) and Microgrid (B).
Figure 2. Fault Tree Structure for Utility Grid (A) and Microgrid (B).
Electronics 15 00433 g002
Figure 3. MG Fault tree.
Figure 3. MG Fault tree.
Electronics 15 00433 g003
Figure 4. PV system fault tree.
Figure 4. PV system fault tree.
Electronics 15 00433 g004
Figure 5. Fault tree of wind turbine.
Figure 5. Fault tree of wind turbine.
Electronics 15 00433 g005
Figure 6. Fault tree of BESS.
Figure 6. Fault tree of BESS.
Electronics 15 00433 g006
Figure 7. Fault tree of MG load.
Figure 7. Fault tree of MG load.
Electronics 15 00433 g007
Figure 8. Fault tree of UG.
Figure 8. Fault tree of UG.
Electronics 15 00433 g008
Figure 9. Exact method FTA results.
Figure 9. Exact method FTA results.
Electronics 15 00433 g009
Figure 10. Monte Carlo simulation FTA results.
Figure 10. Monte Carlo simulation FTA results.
Electronics 15 00433 g010
Figure 11. FTA results for cut-set summation.
Figure 11. FTA results for cut-set summation.
Electronics 15 00433 g011
Figure 12. FTA results for the cross-product method (n = 1).
Figure 12. FTA results for the cross-product method (n = 1).
Electronics 15 00433 g012
Figure 13. FTA results for the cross-product method (n = 2).
Figure 13. FTA results for the cross-product method (n = 2).
Electronics 15 00433 g013
Figure 14. FTA results for the cross-product (n = 3).
Figure 14. FTA results for the cross-product (n = 3).
Electronics 15 00433 g014
Figure 15. FTA results from the Esary–Proschan method.
Figure 15. FTA results from the Esary–Proschan method.
Electronics 15 00433 g015
Figure 16. System reliability metrics vs. time: (a) unavailability, mean unavailability, (b) conditional failure intensity, and (c) failure frequency.
Figure 16. System reliability metrics vs. time: (a) unavailability, mean unavailability, (b) conditional failure intensity, and (c) failure frequency.
Electronics 15 00433 g016
Figure 17. Minimal cut-sets.
Figure 17. Minimal cut-sets.
Electronics 15 00433 g017
Figure 18. Normalized importance measures for the top 20 events.
Figure 18. Normalized importance measures for the top 20 events.
Electronics 15 00433 g018
Figure 19. Probability of failure for different methods.
Figure 19. Probability of failure for different methods.
Electronics 15 00433 g019
Table 1. Logic gates of PV system failure.
Table 1. Logic gates of PV system failure.
CodesLogic GatesQCodesLogic GatesQ
g2MG0.20528g23External Conditions2.32 × 10−12
g11PV Farm MG0.08792g24V and I Fluctuation5.00 × 10−5
g15PV Module2.15 × 10−4g25PV Converter Components9.26 × 10−7
g16Converter9.20 × 10−5g26External conditions9.00 × 10−5
g17PV Storage1.70 × 10−7g27Switch1.62 × 10−9
g18Inverter0.083g28Circuit Breaker2.37 × 10−7
g19BOS0.00506g29Grid Connection1.19 × 10−7
g30DC Combiner0.00506
Table 2. Basic events of PV cell failure.
Table 2. Basic events of PV cell failure.
CodesBasic EventsQCodesBasic EventsQCodesBasic EventsQ
e23PV Cell2.13 × 10−7e35PV Inverter Filter0.0026e48PV Improper Arrangement4.50 × 10−5
e24PV Cell Junction Box5.50 × 10−5e36PV Inverter DC Breaker0.00606e49PV Switching Regulator4.50 × 10−5
e25PV Cell Improper Distribution5.50 × 10−5e37PV Inverter AC Breaker0.00606e50PV DC Switch4.16 × 10−9
e26PV Improper Wiring5.50 × 10−5e38PV Inverter Communication0.02459e51PV AC Switch0.38824
e27PV Converter1.05 × 10−6e39PV BOS Diode9.00 × 10−7e52PV AC Ckt Breaker1.19 × 10−7
e28PV Battery failure6.27 × 10−8e41PV Temperature1.55 × 10−6e53PV Diff Ckt Breaker1.19 × 10−7
e29PV Charge Controller1.03 × 10−7e42PV Insolation1.50 × 10−6e54PV Grid Protector1.19 × 10−7
e30PV Control Unit3.84 × 10−9e43PV Voltage Fluctuations2.50 × 10−5e55PV DC Coupler3.55 × 10−13
e31PV Inverter Module1.90 × 10−8e44PV Current Fluctuations2.5 × 10−5e56PV Disconnector Switch1.00 × 10−4
e32PV Inverter Capacitor0.00886e45PV Converter Diode9.00 × 10−7e57PV DC Combiner Fuse2.00 × 10−5
e33PV Inverter IGBT0.01134e46PV Converter Capacitor1.03 × 10−8e58PV String Monitoring Box0.00489
e34PV Inverter Cooling Fan0.02635e47PV Converter IGBT1.52 × 10−8e59PV DC Combiner Main Cable4.83 × 10−5
Table 3. Logic gates of WT failure.
Table 3. Logic gates of WT failure.
CodesLogic GatesQCodesLogic GatesQ
g12Wind Farm MG0.10489g39WT Tower0.011928
g31Generator0.01054g40WT Weather0.017348
g32WT Electrical Components1.00 × 10−3g41WT Faulty Bearings0.022347
g33WT Support Structure0.03273g42WT External Factors0.002537
g34WT Gearbox0.02623g43WT Rotor System0.007958
g35WT Hydraulic System1.00 × 10−3g44WT Blade Loss0.015331
g36WT Blades Failure0.0354g45WT Rotor System0.00463
g37WT Control System0.001g46WT Bearing failure0.005833
g38WT Rotor and Stator0.01044g47Heating5.08 × 10−6
Table 4. Basic events of WT failure.
Table 4. Basic events of WT failure.
CodesBasic EventsQCodesBasic EventsQCodesBasic EventsQ
e66WT Yaw System0.00124e83WT Failure from Meteorological6.00 × 10−5e100WT Strong Wind0.004988
e67WT Nacelle4.30 × 10−5e84WT Control System Switches5.30 × 10−6e101WT Storm0.005485
e68WT Cooling System2.80 × 10−5e85WT UPS1.70 × 10−6e102WT Bearing Corrosion0.011928
e69WT Wire Fault1.00 × 10−4e86WT Control System Sensors Failure7.00 × 10−7e103WT Bearing Wear and Tear0.00995
e70WT Feeder Cables8.35 × 10−4e87WT Control Cables5.00 × 10−7e104WT Gear tooth pitting3.00 × 10−4
e71WT Lightning Protection Systems1.58 × 10−4e88WT Rotor Blade3.57 × 10−4e105WT Bearing Degradation3.00 × 10−4
e72WT Electrical Protection System3.90 × 10−6e89WT Rotor Hub1.36 × 10−4e106WT Failure by Pressure1.00 × 10−3
e73WT Capacitor Bank1.30 × 10−6e90WT Rotor Brake System1.95 × 10−4e107WT Failure from High Temperature2.40 × 10−4
e74WT Power Electronic Converter1.10 × 10−6e91WT Rotor Pitch System3.38 × 10−4e108WT Metal Fatigue3.00 × 10−4
e75WT Maintenance0.00377e92WT Rotor Synchronization0.0036e109WT Design Defects1.00 × 10−3
e76WT Dirt in the gearbox0.00144e93WT Rotor Bearing0e110WT Rotor Hub0.002736
e77WT Hydraulic Piping8.46 × 10−4e94WT Generator Bearing0e111WT Rotor Bearings0.005236
e78WT Hydraulic Motor and Pump1.33 × 10−4e95WT Bearing Cracks0e112WT Blade Loss0.004679
e79WT Hydraulic Oil2.08 × 10−5e96WT Bearing Asymmetry0.00583e113WT Loss of a Blade Fragment0.007124
e80WT Rotation Union1.00 × 10−7e97WT Foundation Strength0.00499e114WT Partial Blade Loss0.003603
e81WT Blade Structural Loss0.01252e98WT Tower Welding0.00698e115WT Rotor Sensor0.007055
e82WT Controller9.32 × 10−4e99WT Lightning0.00698e116WT Rotor High Temperature7.20 × 10−4
e149WT Transformer1.00 × 10−7
Table 5. Logic gates of BESS failure.
Table 5. Logic gates of BESS failure.
CodesLogic GatesQCodesLogic GatesQ
g13BESS MG0.012885g55BESS Module Structural Failure9.52 × 10−7
g48BESS Explosion0.00135g56BESS Charging Module Diodes0.00459
g49BESS Battery Charging8.90 × 10−7g57BESS DC-AC Converter0.022151
g50BESS Rupture by Pressure3.41 × 10−6g58BESS internal Short Circuit3.43 × 10−5
g51BESS Electronic Components1.07 × 10−18g59BESS High Temperature1.09 × 10−5
g52BESS High Temperature4.53 × 10−5g60BESS high rate of discharge0.010029
g53BESS High Discharge rate0.011493g61BESS Controller components failure BESS9.26 × 10−7
g54BESS charge controller (CC)8.13 × 10−6g62BESS CC circuit1.10 × 10−6
g63BESS CC regulator6.00 × 10−6
Table 6. Basic events of BESS failure.
Table 6. Basic events of BESS failure.
CodesBasic EventsQCodesBasic EventsQ
e117BESS Single Module Explosion0.001349e133BESS DC-AC Converter (IGBT-based)0.013902
e118BESS Low Capacity1.94 × 10−4e134BESS DC-AC Converter (MOSFET-based)0.008365
e119BESS Overpressure3.43 × 10−4e135BESS Manufacturing Defect5.04 × 10−6
e120BESS Stuck cell vent0.00995e136BESS Wire short7.20 × 10−6
e121BESS MOSFET0.002467e137BESS Seal2.21 × 10−5
e122BESS IGBT0.001059e138BESS Fuse0.006519
e123BESS Capacitor0.004141e139BESS Switch0.001679
e124BESS Filter5.00 × 10−7e140BESS String Short0.002876
e125BESS Converter0.00896e141BESS Ground0.007174
e126BESS Forced Discharge0.001479e142BESS CC diode9.00 × 10−7
e127BESS Charge controller1.03 × 10−7e143BESS CC capacitor1.03 × 10−8
e128BESS Control Unit3.84 × 10−9e144BESS CC IGBT1.52 × 10−8
e129BESS Module Vent Clogging7.06 × 10−4e145BESS CC switch1.00 × 10−7
e130BESS Explosion0.001349e146BESS CC fuse1.00 × 10−6
e131BESS Improper Installation0.00457e147BESS CC transistor1.00 × 10−6
e132BESS Diode failure at the same time2.10 × 10−5e148BESS CC switching internal transistor circuit5.00 × 10−6
Table 7. Logic gates of MG load failure.
Table 7. Logic gates of MG load failure.
CodesLogic GatesQ
g14Load MG0.013867
g20Device MG-15.10 × 10−6
g22Load Failure MG-13.67 × 10−6
g21Load circuit breaker MG-10.003504
Table 8. Basic events of MG load failure.
Table 8. Basic events of MG load failure.
CodesBasic EventsQ
e40Load power loss0.010391
e60Device switch1.00 × 10−7
e61Device Fuse5.00 × 10−6
e62Load Circuit breaker overload0.001559
e63load circuit breaker tripping0.001948
e64Load failure from natural events2.62 × 10−6
e65Load failure from manmade1.05 × 10−6
Table 9. Logic gates of UG failure.
Table 9. Logic gates of UG failure.
CodesLogic GatesQCodesLogic GatesQ
g1UG0.02122g6UG Switch Gear0.01447
g3UG Transformers4.56 × 10−4g7UG Other Components2.53 × 10−5
g4UG Events0.00628g8UG Transformer Type3.62 × 10−5
g5UG Transmission Line5.61 × 10−5g9UG Disconnect Switch1.70 × 10−5
g10UG Circuit Breaker0.0142
Table 10. Basic events of UG failure.
Table 10. Basic events of UG failure.
CodesBasic EventsQCodesBasic EventsQCodesBasic EventsQ
e1UG Substation3.57 × 10−5e8Failure of the equipment in the utility grid0.002617e15UG Capacitor bank1.28 × 10−5
e2UG Moisture in transformer oil6.00 × 10−5e9UG single-phase transmission line2.93 × 10−5e16UG Voltage Regulator1.10 × 10−6
e3UG Stress on the transformer3.00 × 10−5e10UG Three-phase transmission line2.68 × 10−5e17UG Three-phase transformer2.09 × 10−5
e4UG Transformer Lightning strike1.95 × 10−4e11UG switchgear Fuse3.15 × 10−5e18UG Single-phase transformer1.52 × 10−5
e5UG Transformer Insulation1.35 × 10−4e12UG switchgear recloser1.34 × 10−4e19UG Disconnecting switch failing to close1.48 × 10−5
e6Manmade faults0.001049e13UG sectionalizer9.00 × 10−5e20UG Disconnecting switch failing to remain closed2.23 × 10−6
e7Natural events in the utility grid0.002627e14UG Cable pole components1.13 × 10−5e21UG Circuit breaker failing to close (at the point of common coupling)0.008107
e22UG Circuit breaker failing to remain closed (at the point of common coupling)0.006141
Table 11. Availability metrics definitions.
Table 11. Availability metrics definitions.
Availability MetricsFormulaDefinition
Unavailability U t = M T T R   M T T R + M T B F   (6)The probability that the component is in a failed state at time ‘t.’
( U (t) = Unavailability at time ‘t’, MTTR = mean time to repair,
MTBF = mean time between failures).
If A(t) is the availability at time ‘t’.
A t + U t = 1   (7)
If U (t) is the unavailability at time ‘t,’ for the repairable component or system.
A t U t
For a non-repairable system.
A t = U t   (8)
Conditional Failure Intensity λ t = ω t 1 U t   (9)The probability that the system or component will experience a failure at time ‘t’, given it was operating at time ‘t’.
If U(t) << 1, then
λ t f t   a n d   λ t = ω t
If f(t) is the failure rate for non-repairable components or systems, and constant failure rates.
λ t = f t (10)
General case
λ t f t
Failure Frequency (or) Unconditional failure intensity ω t = λ t 1 U t   (11)The probability that the system or component will experience a failure at time ‘t’, given that the system is operating at time zero.
Mean Unavailability ω ¯ t = i = 1 N i ¯   (12)The proportion of time during which the system or component is unavailable for use.
(N = Number of minimal cut-sets, i = individual component)
Expected Number of Failures n = T o t a l   t i m e   t M T B F   (13)Total number of failed components after time ‘t’.
Table 12. Importance measures definitions and significance.
Table 12. Importance measures definitions and significance.
Importance MeasureDefinitionFormulaSignificance
Marginal or Birnbaum Importance Factor (MIF)The first calculated importance factor is the marginal or Birnbaum importance factor [68]. If the probability (P), top event (T), and basic event (E), then MIF measures the increase in the probability of ‘T’ due to the occurrence of ‘E’. It is the difference between the P(T) (given P(E) = 1) and P(T) (given P(E) = 0). M I F = P T P E = 1 P T P E = 0 (14)This importance measure assists MG operators with identifying the most vulnerable components in the system, demonstrating that higher value metrics equal higher system-critical components.
(One drawback of the MIF is that it does not take the probability of the basic event ‘E’ occurring directly into account, which can lead to a high MIF value for rare events).
Criticality Importance Factor (CIF)By modifying the MIF and taking the occurrence of event ‘E’ into account, CIF is calculated by multiplying the MIF and P(E) divided by P(T). C I F = M I F P E P T (15)This importance factor measures the impact of the specific component reliability on the system’s overall probability of failure. This metric helps MG owners optimize their maintenance schedule by identifying critical parts as a priority for maintenance.
Diagnostic or Fussell-Vesely Importance Factor (DIF)The Diagnostic or Fussell-Vesely Importance Factor is a measure of the probability that the top event, or system, has failed given one minimal cut-sets occurrence or failure of one critical component. D I F = P E P T P E = 1 P T (16)The diagnostic importance factor (DIF) allows for the development and optimization of diagnostic activities, as it identifies the most probable failure events.
Risk Achievement Worth (RAW)Risk achievement worth (RAW), or the top increase sensitivity, is a measure to sense the increase in the probability of the top event ‘T’, given the probability of the basic event ‘E’ occurrence is ‘1’. R A W = P T P E = 1 P T (17)This measure highlights the basic events that will have the greatest impact on the system, or top event, helping grid operators develop a prevention strategy that focuses on critical system failures.
Risk Reduction Worth (RRW)Risk reduction worth (RRW), or top decrease sensitivity, is a measure of the reduction in the probability of top event ‘T’, given the basic event ‘E’ does not occur (P(E) = 0). R R W = P T P T P E = 0 (18)This measure helps MG owners track improvement in the areas of most concern, such as reducing the failure probability of vulnerable components, given an aggressive maintenance strategy in place.
Disclaimer/Publisher’s Note: The statements, opinions and data contained in all publications are solely those of the individual author(s) and contributor(s) and not of MDPI and/or the editor(s). MDPI and/or the editor(s) disclaim responsibility for any injury to people or property resulting from any ideas, methods, instructions or products referred to in the content.

Share and Cite

MDPI and ACS Style

Akula, S.K.; Salehfar, H. Reliability Assessment of Power System Microgrid Using Fault Tree Analysis: Qualitative and Quantitative Analysis. Electronics 2026, 15, 433. https://doi.org/10.3390/electronics15020433

AMA Style

Akula SK, Salehfar H. Reliability Assessment of Power System Microgrid Using Fault Tree Analysis: Qualitative and Quantitative Analysis. Electronics. 2026; 15(2):433. https://doi.org/10.3390/electronics15020433

Chicago/Turabian Style

Akula, Shravan Kumar, and Hossein Salehfar. 2026. "Reliability Assessment of Power System Microgrid Using Fault Tree Analysis: Qualitative and Quantitative Analysis" Electronics 15, no. 2: 433. https://doi.org/10.3390/electronics15020433

APA Style

Akula, S. K., & Salehfar, H. (2026). Reliability Assessment of Power System Microgrid Using Fault Tree Analysis: Qualitative and Quantitative Analysis. Electronics, 15(2), 433. https://doi.org/10.3390/electronics15020433

Note that from the first issue of 2016, this journal uses article numbers instead of page numbers. See further details here.

Article Metrics

Back to TopTop