Next Article in Journal
How to Use Redundancy for Memory Reliability: Replace or Code?
Next Article in Special Issue
Toward the Implementation of Text-Based Web Page Classification and Filtering Solution for Low-Resource Home Routers Using a Machine Learning Approach
Previous Article in Journal
Neural Network Implementation for Fire Detection in Critical Infrastructures: A Comparative Analysis on Embedded Edge Devices
Previous Article in Special Issue
The Effectiveness of Generative Adversarial Network-Based Oversampling Methods for Imbalanced Multi-Class Credit Score Classification
 
 
Font Type:
Arial Georgia Verdana
Font Size:
Aa Aa Aa
Line Spacing:
Column Width:
Background:
Article

Critical Considerations for Observing Cross Quantum Capacitance in Electric-Double-Layer-Gated Transistors Based on Two-Dimensional Crystals

by
Jacob D. Eisensmith
1,
Pratik P. Dholabhai
1,2 and
Ke Xu
1,2,3,*
1
School of Physics and Astronomy, Rochester Institute of Technology, Rochester, NY 14623, USA
2
School of Chemistry and Materials Science, Rochester Institute of Technology, Rochester, NY 14623, USA
3
Microsystems Engineering, Rochester Institute of Technology, Rochester, NY 14623, USA
*
Author to whom correspondence should be addressed.
Electronics 2025, 14(9), 1811; https://doi.org/10.3390/electronics14091811
Submission received: 3 April 2025 / Revised: 20 April 2025 / Accepted: 26 April 2025 / Published: 29 April 2025

Abstract

Cross quantum capacitance (CQC) has been proposed as an extension to traditional quantum capacitance (TQC) in systems where strong interfacial screening between spatially separated charge layers modifies the total capacitance—particularly in electric-double-layer-gated transistors (EDLTs) based on two-dimensional (2D) crystals. In this work, we revisit a theoretical model of CQC to evaluate its relevance under experimentally realistic conditions. By systematically analyzing the model’s behavior across key parameter spaces, we identify the specific conditions under which CQC leads to the non-monotonic dependence of capacitance on inter-plate distance—a proposed experimental signature of CQC. However, we find that these conditions—requiring similar effective masses, high charge densities, and strong charge asymmetry—are highly restrictive and difficult to realize in typical EDLTs. Instead, we highlight a more experimentally accessible regime in which CQC enhances total capacitance beyond TQC predictions, even in the absence of non-monotonicity. These results clarify the limitations of the existing model and suggest concrete strategies for probing CQC in nanoscale devices, emphasizing the need for new theoretical frameworks that explicitly incorporate both ionic and electronic conductors.

Graphical Abstract

1. Introduction

Electric-double-layer-gated transistors (EDLTs) have gained attention for their ability to induce high capacitance densities (~µF cm−2) and large sheet carrier densities (~1014 cm−2) [1,2,3] while also exhibiting dynamic synaptic properties that mimic biological learning processes [4,5,6,7], making them a promising candidate for next-generation energy-efficient computing applications including neuromorphic computing [8,9,10]. In an EDLT, ions migrate under an applied electric field through an ionically conductive but electrically insulating electrolyte, accumulating at the interface of a channel material, typically a semiconductor. This forms an electric double layer (EDL) comprising a closely packed ionic layer in the electrolyte and an induced charge layer in the semiconductor, effectively creating a sub-nanometer-gap capacitor. Such an arrangement allows charge accumulation of ~1013–1014 cm−2 in graphene [11,12] and transition metal dichalcogenides (TMDs) [13,14,15], as measured by the Hall effect. These charge densities correspond to capacitance values ranging from a few µF cm−2 [12,15] to tens of µF cm−2 [12,15], surpassing conventional oxide dielectrics and enabling access to transport regimes otherwise difficult to achieve, including gate-induced superconductivity [14,16], metal-insulator transitions [17], and unconventional charge transport phenomena [18].
Two-dimensional (2D) crystals are ideal channel materials for EDLTs due to their atomically thin nature, which ensures that all charge carriers reside near the interface, maximizing their sensitivity to ionic accumulation at the surface. Small variations in ion density can induce orders-of-magnitude changes in the electrical resistance of 2D materials [19,20,21]. Additionally, 2D crystals exhibit high mobility, tunable band structures, and strong electrostatic responsiveness, making the combination of 2D crystals and ions promising for neuromorphic computing, low-power electronics, and reconfigurable optoelectronic devices [9,18,22]. Therefore, understanding ion–electron interactions and optimizing capacitance at the electrolyte/2D crystal interface are essential for advancing EDLT-based applications.
The total capacitance in 2D-crystal-based EDLTs is typically modeled as a system of capacitors in series, comprising geometric capacitance (CG) and quantum capacitance (CQ), the latter arising from the finite density of states (DOS) in 2D crystals. However, experimental studies have revealed deviations from this conventional sum, suggesting an additional contribution termed cross-quantum capacitance (CQC) [15,23]. CQC originates from charge screening interactions between the accumulated charge in the semiconductor and counterions in the electrolyte. Given that these charge layers are separated by ~1 nm or less, mutual screening effects can significantly influence the total capacitance. Because the performance of EDLTs relies critically on interfacial capacitance, accurately capturing these mutual screening effects through CQC is essential for understanding fundamental ion–electron interactions and optimizing device design and performance. For example, Zhang et al. observed a non-monotonic dependence of total capacitance on charge separation distance [15]. This suggests that introducing a dielectric spacer within the EDL and thereby increasing the distance between ions and electrons could, counterintuitively, increase rather than decrease the total capacitance [15,24,25].
This study examines the theoretical framework of CQC and its impact on EDLT performance. We first review CQC fundamental principles and theoretical models, then compare experimental observations with analytical frameworks incorporating cross-layer charge screening to determine conditions under which CQC modifies capacitance behavior. Furthermore, we explore scenarios where CQC may lead to unexpected capacitance increases, offering insight into the fundamental electrostatic properties of EDLTs. By elucidating the mechanisms governing CQC, this work aims to advance the understanding of charge screening in ion-gated transistors and provide guidelines for optimizing their capacitive performance in emerging electronic applications.

2. Background and Theory

The theoretical framework for CQC was originally developed by Berthod et al. [23]. In this section, we summarize the key elements of their model to provide conceptual clarity and highlight specific features that are essential for the analyses and discussions that follow.
Traditional quantum capacitance (TQC) arises from the finite density of states (DOS) in a material. To illustrate this, we consider a two-dimensional electron gas (2DEG), where the wave function is free in x or y but confined in z . Through the geometric superposition of one-dimensional wave functions, we can determine the overall wave function in Equation (1), with energy eigenvalues given in Equation (2):
ψ x , y , z = 2 L x L y L z e i k x x e i k y y sin n z π z L z
E = 2 k x 2 + k y 2 2 m + 2 π 2 2 m L z 2 n 2
In the equations above, L i (where i = x, y, z) represents the length of the system in the corresponding spatial direction, and n z is the principal quantum number associated with confinement in the z direction. Through the wave function, the development of a two-dimensional reciprocal space is apparent. Assuming periodic boundary conditions in an infinite well, we know the quantized value of k and its change between k values, as given in Equations (3) and (4):
k i = n i 2 π L i
Δ k i = 2 π L i
The size of the overall k -state in reciprocal space is then Δ k 2 . Because the energy of the system is ambivalent to the sign of either k component, the area of k -space considered when determining the DOS is therefore the area of an infinitesimal ring, given by 2 π k d k . It is necessary to note that the energy in Equation (2) can be put into two terms: a k -dependent term and the n -dependent term E n . By subtracting E n , we can create a relationship between k and the other energy terms, given in Equation (5):
k = 2 m ( E E n ) 2
The invocation of E n implies that the density of states will be split into n subbands. Dividing the area by the size of k -state and putting k in terms of energy E via Equation (2) yields the DOS for a 2D electron gas:
g E d E = m π 2 n θ ( E E n ) d E
In this case, θ is the Heaviside step function, and summing over n yields the value of g ( E ) for multiple subbands. Using this result, with units of e V 1 m 2 , one can surmise the amount of energy added to a system through the addition of N charge carriers to a given subband in a given area. This energy, the change in the chemical potential Δ μ , is found in Equation (7).
Δ μ = N g E = N π 2 m
This relation can be used in conjunction with the definition of total capacitance C per unit area, as given in Equation (8), which is derived from the curvature of the energy–charge relationship, to determine the TQC [23]. This contribution to the total capacitance, alongside the equation for geometric capacitance in Equation (10), is depicted in Figure 1a. It is important to note that the geometric capacitance depends solely on electrostatic potential Δ φ and charge density Δ n .
C = e 2 2 E N 2 1
C Q = e 2 m π 2 = e 2 g ( E )
C G = e Δ n Δ φ
However, the conventional treatment of quantum capacitance represents only one part of the complex interplay of effects occurring at the nanoscale. In addition to TQC, electron correlation and exchange energies contribute to the overall energy E described in Equation (8), complicating the determination of total capacitance. These complexities create conditions under which CQC can emerge, particularly at small inter-plate distances d , where geometric capacitance becomes exceptionally large (Figure 1b). Such conditions are predicted to occur in EDLTs, where the ions and their induced image changes in the EDL are typically separated by less than 1 nm [1,2]. Experimental reports of CQC have been observed under conditions where the geometric capacitance is large, thereby reducing its relative influence in the total series capacitance. In such cases, the contributions from TQC and CQC become more prominent in determining the overall capacitance behavior [15,24,25].
To analyze the regime in which CQC emerges, it is useful to treat the system’s capacitance as a linear response to a small perturbative energy U , rather than attempting to explicitly account for all microscopic energy contributions. This motivates the application of linear response theory. For symmetry, the energy perturbation is applied as ± U / 2 to opposite sides of the capacitor, which throughout this work we refer to as Plate 1 and Plate 2. We retain the two-dimensional wave vector from the traditional analysis and assume the charge sheets are separated along the real-space z dimension. The Kubo formula, given in Equations (11a) and (11b), is then used to evaluate changes in the number density operator n ^ (as opposed to charge density) [26].
δ A ( t ) A t A 0 = t 0 d t C A H R ( t , t )
C A H R t , t = i θ t t A t , H t 0
Here, C A H R t , t denotes the retarded correlation function, defined in terms of the Heaviside step function θ and the time-dependent commutator between an arbitrary operator A and the perturbed Hamiltonian H . The brackets 0 indicate an equilibrium average with respect to the unperturbed Hamiltonian H 0 at equilibrium. That is, via this relation, A t , a non-equilibrium quantity after t 0 , has been expressed in terms of the retarded correlation function of the system in equilibrium.
These equations describe how the expectation value of an operator A evolves following the application of a perturbation at time t 0 , exhibiting linear behavior to first order. Equation (12) defines the perturbation Hamiltonian H for our system [5].
H = e U 2 d 2 r 1 n ^ 1 r 1 + d 2 r 2 n ^ 2 r 2
Evaluating the retarded correlation function in Equation (11b) reveals that the resulting commutator term is proportional to the commutator of number density operators. This retarded correlation function defines the system’s susceptibility, directly analogous to the susceptibility χ in classical electromagnetism, which quantifies linear polarization in response to an applied electric field. This analogy is intuitive: the excess charge determined by linear response theory corresponds to the system’s induced charge [26]. With this in mind, we can write the change in a number density operator through Equation (11a) in terms of χ [23]:
δ n ^ 1 = e U 2 ( χ n ^ 1 n ^ 1 ( q ) + χ n ^ 1 n ^ 2 ( q ) )
Converting the excess induced charge into a capacitance is straightforward using the relation e n = C U [23]. Because the induced charge must be the same regardless of whether it is computed from Plate 1 or Plate 2, we can relate the susceptibilities as follows:
C = e 2 2 χ 11 + χ 12 = e 2 2 ( χ 22 + χ 21 )
To proceed, we treat χ as a single-particle Green’s function [26] and apply the Dyson equation, where the perturbation is the Coulomb potential V , and the bare Green’s function is the irreducible polarizability Π :
χ = Π Π V χ
Unlike susceptibility, the irreducible polarizability Π does not have a classical analog, as it remains finite even in the absence of an external perturbation [15]. Solving Equation (15) is nontrivial, as χ , Π , and V are all matrices. Diagonal elements of Π describe intra-plate screening, while off-diagonal terms capture inter-plate—or cross-capacitive—effects. These off-diagonal terms are key to the emergence of CQC.
To arrive at an expression for the total capacitance that includes these effects, it is necessary to introduce a screened interaction potential. This potential can be interpreted as a Green’s function where the perturbation is the polarizability Π and the bare interaction is the unscreened Coulomb potential [23]. The full expression for the capacitance, incorporating both geometric and quantum contributions, is then:
1 C = 1 C G + 1 e 2 Π 11 + Π 22 Π 12 Π 21 Π 11 Π 22 Π 12 Π 21
This expression makes explicit the role of cross-plate interactions. When the off-diagonal terms are small (or neglected in the case of the random phase approximation), the remaining terms reduce to the standard density-of-states-derived expression for TQC [23]. Determining the polarizabilities for a given system is challenging, but Berthod et al. developed a set of approximations that are potentially applicable to systems with dissimilar charge carriers, such as EDLTs (e.g., ions and electrons in EDLs). These approximations are discussed and analyzed in detail in the remainder of this work. It should be noted, however, that while these approximations have been adopted as theoretical support in several experimental works [15,24,25], Berthod et al. noted in their original work that their model was not explicitly developed for EDLTs [23].
Equations (17a–d) define the polarizabilities used in the model [23] and in this study. It is important to point out that Equations (17c) and (17d) are coupled and should be solved self-consistently. The Equations are functions of nine parameters, defined in Table 1. All parameters are unitless except for d , which has units of length. Also of note, the Bohr radius a presented in Table 1 is the two-dimensional Bohr radius, which is widely used in modeling the excitonic and electrostatic properties of 2D materials [23,27,28,29]. It arises from the analytic solution of a hydrogen-like system confined to two dimensions, resulting in a modified Coulomb potential and a distinct prefactor compared to the three-dimensional case.
Π 11 ν 1 = y y 1
Π 22 ν 1 = u y y u / v
Π 12 ν 1 = Π 21 ν 1 = W 12 ν 1 2 u 2 1 + u u + 1 u 1 ln 1 u + ln 8 u + 1 u + v 2 u 1 v 2 2 x y 2
W 12 ν 1 = 1 + 2 x Π 12 ν 1 u y ( y 1 + y / u 1 / v + 2 x y ) ( y 1 ) ( y u / v ) 2 x Π 12 ν 1 2 x Π 12 ν 1 2

3. Results and Discussion

A key experimental implication of CQC proposed in prior studies is the substantial reduction in total capacitance at the EDL interface due to interlayer charge screening effects [15]. Follow-up experimental efforts have explored the insertion of a spacer layer between the EDLs as a means to mitigate this reduction and enhance the total capacitance [24,25]. Theoretically, such enhancement is possible if the total capacitance exhibits a non-monotonic dependence on the inter-plate distance, a behavior predicted in the model proposed by Berthod et al. [23]. To better understand the conditions under which this non-monotonic behavior can arise, we evaluated the influence of the model parameters, u ,   v ,   y , and x .
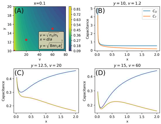
We first fix u to be 1 ( u = 1.001 ) and set x to 0.1 to represent a near-zero inter-plate distance. Capacitance values were then computed across various combinations of v and y , with results shown in Figure 2. In these evaluations, regions exhibiting low capacitance at small x were considered most likely to support non-monotonic behavior with respect to increasing distance—a hypothesis that is later validated. For this initial analysis, we focused on the v y parameter space while holding u = 1.001 constant.
Figure 2B–D show the x -dependence of capacitance for the three v y combinations indicated by the red dots in Figure 2A. These projections confirm the trend observed in the contour map: higher values of v and y increase the likelihood of observing non-monotonic behavior. Experimentally, this suggests that such effects are more likely to appear in systems with (1) high charge dissimilarity between the plates and (2) high carrier concentration on Plate 1. While EDLTs are capable of supporting high carrier densities, achieving a large inter-plate charge ratio (i.e., high v ) may be difficult because the induced charge in the channel generally mirrors the ionic charge in the electrolyte. This poses the first challenge for experimentally realizing the non-monotonic regime predicted by the model.
In Figure 2D, a clear capacitance peak appears at x 0.63 . The corresponding physical separation depends on the Bohr radius a , as defined in Table 1. For example, if m 1 = m e , this distance is approximately 17 pm, whereas for m 1 = 10 4 m e , it extends to 170 nm. This highlights the wide range of spatial scales that can result from different effective masses in experimentally chosen material systems. Importantly, separations on the order of tens of picometers may be difficult to achieve or reliably control in experiments. This underscores the importance of careful material selection and the precise tuning of system parameters when attempting to probe CQC in the narrow window where non-monotonic behavior is predicted to occur. While the non-monotonic C T behavior shown in Figure 2D is consistent with the prediction in previous experimental EDLT studies [15], our results suggest that realizing such effects may be experimentally challenging and limited to highly constrained regimes.
Additionally, as noted in Section 2, Equations (17c) and (17d) are coupled and should be solved self-consistently. When the system is treated self-consistently by iterating Equations (17c) and (17d), the non-monotonic signature largely disappears. The resulting x -profile, shown in Figure 3, exhibits a more monotonic behavior. Equations (17c) and (17d) were iterated 1000 times for each parameter set. We observed that the capacitance values stabilized well before this point, and additional iterations produced negligible change, indicating effective convergence.
This trend holds across other parameter spaces as well. For instance, the u v parameter space, shown in Figure 4A,B for different fixed values of y , indicates that increasing y expands the range of v over which capacitance is suppressed—consistent with the behavior observed in the v y parameter space.
The overall trends in Figure 4A and Figure 4B are qualitatively similar, with the region of lowest capacitance consistently centered around u = 1 . This implies that non-monotonic behavior is most likely when the effective masses of carriers on both plates are identical. This observation is further supported by the x projections in Figure 5, which show that the non-monotonicity gradually diminishes as u increases from 1 to 3. The limited parameter space for observing non-monotonic capacitance behavior results directly from the restrictive assumptions and parameter definitions embedded within the original theoretical model. In practice, however, achieving similar effective masses between ions and their induced image charges may be difficult, particularly in typical EDLTs where the ions and induced charge carriers (i.e., electrons or holes) have fundamentally different physical properties.
In presenting the model, Berthod et al. state clearly that the model is only valid for metallic systems with ideal 2D electron gases [23]. However, they mentioned that the qualitative insights it offers may still be relevant to understanding CQC in EDLT systems, and several follow-up experimental studies have adopted their model for theoretical interpretation [24,25]. To examine this applicability, we evaluated the model under conditions representative of experimental EDL interfaces. As a pedagogical case, we considered lithium ions (Li+) inducing a charge on a graphene channel. We chose this material system for three reasons. First, graphene is a well-established 2D material for EDL gating with Li+, as demonstrated in multiple experimental studies [30,31,32,33,34]. Second, our analysis shows that a high carrier concentration on the channel side enhances the impact of CQC, and prior experimental studies have demonstrated that EDL gating on graphene can induce carrier densities on the order of 1 × 10 14 cm−2 [11]. Third, the characteristic separation for observing CQC depends on the effective mass of the channel material. For m 1 m e , this distance is on the order of tens of picometers—experimentally difficult to access. Graphene’s much smaller effective mass shifts this scale to hundreds of nanometers (e.g., 170 nm if assuming m 1 = 10 4 m e ), making it a more favorable platform for probing CQC. Because the EDL interface typically involves each ion inducing an equal and opposite image charge in the channel (e.g., one cation induces one electron in the channel), we assume a near-unity charge ratio between the two plates.
Estimating the effective mass in EDL systems is challenging. While effective mass is routinely used to describe the band dynamics of electrons and holes in crystalline solids, it is rarely applied to ions like Li+, whose transport is dominated by thermally activated hopping or diffusion rather than coherent, band-like motion. Nevertheless, a rough estimate can be made by considering the rest mass of a lithium ion ( 1.163 × 10−26 kg, [35]) and expressing it in units of the electron rest mass, m L i + 1.2652 × 10 4   m e . Although this estimation does not reflect the underlying transport physics of Li+, it provides a pragmatic way to approximate the large mass asymmetry typical of EDL systems and evaluate its effect on CQC.
The effective mass of charge carriers in graphene is also difficult to define due to its linear energy–momentum dispersion and massless Dirac fermion behavior. Reported values vary from approximately 0.01 to 0.07 m e , depending on the number of layers (i.e., single layer vs bilayer graphene) and influenced by factors such as electron–electron interactions, carrier density, and disorder not captured by the ideal Dirac model [36,37,38]. In the first pedagogical case, we assumed an effective mass of 10 4 m e , which corresponds to a phenomenological value often used to represent high carrier mobility and a low density of states near the Dirac point in gated graphene.
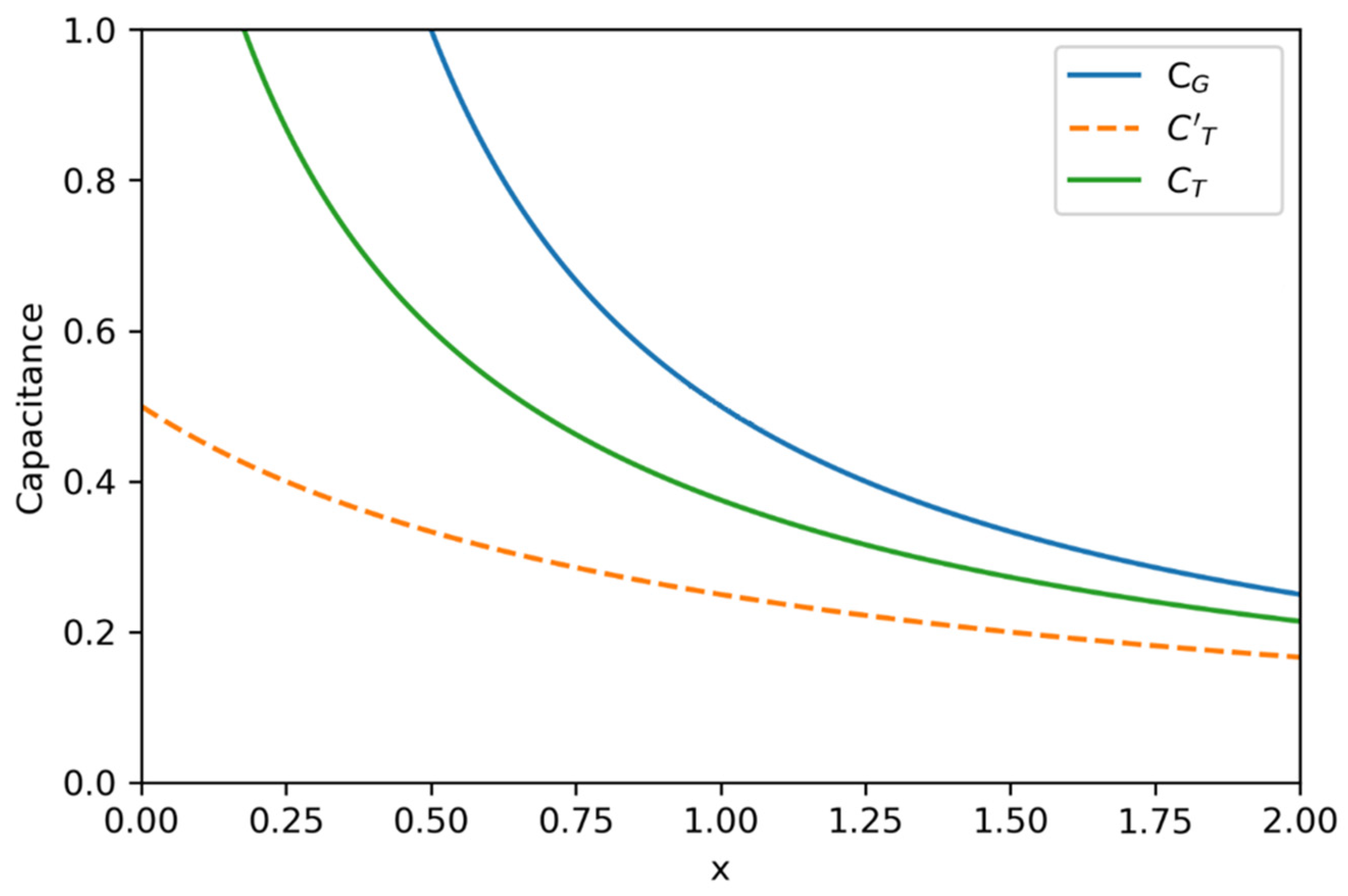
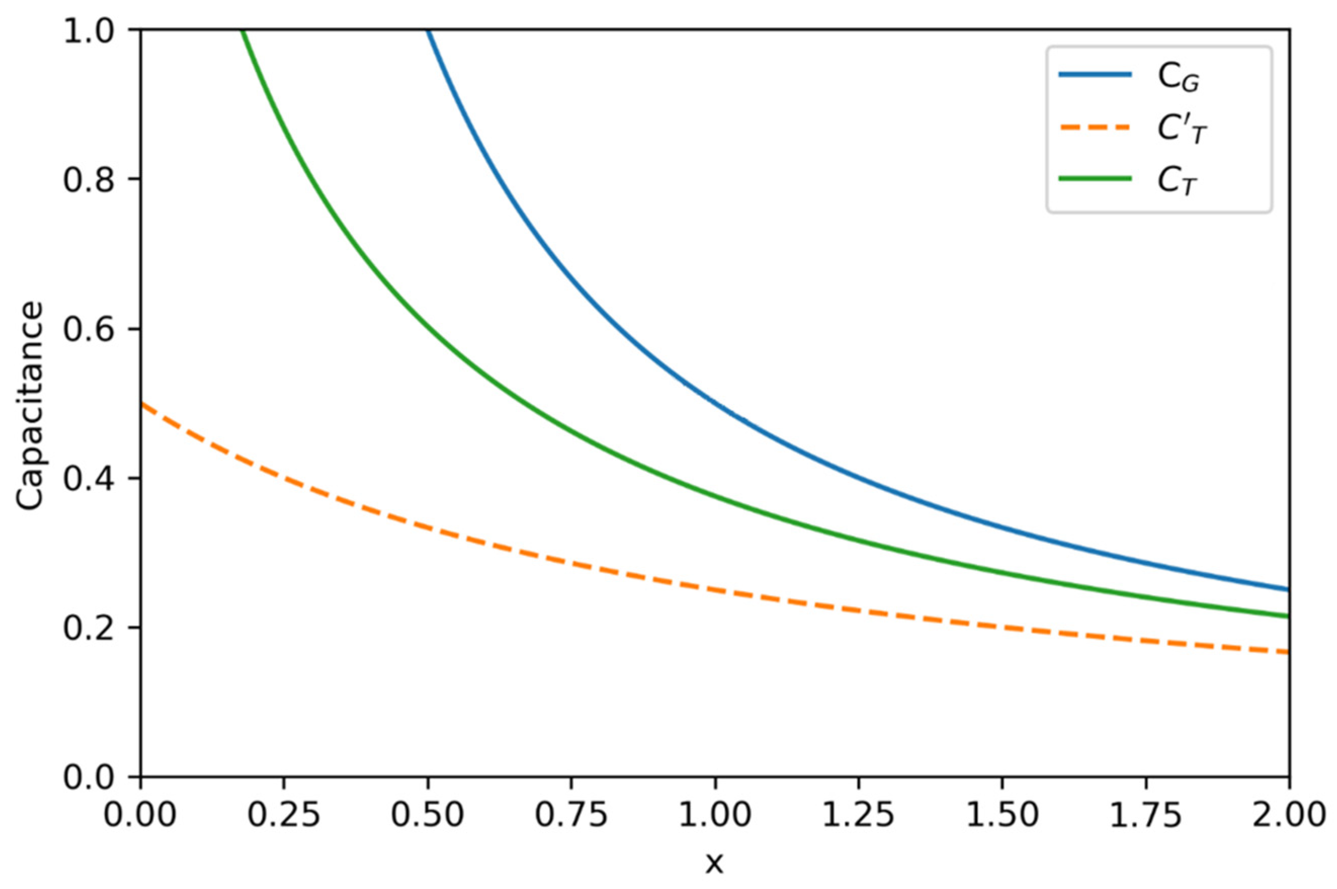
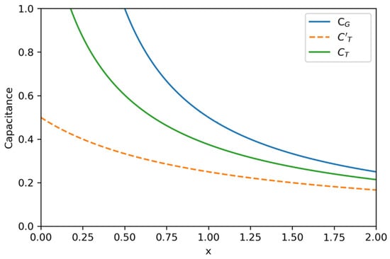
Notably, the parameter values chosen to reflect experimental EDL systems do not satisfy the criteria previously identified in this study for producing non-monotonic capacitance behavior (i.e., the effective masses of carriers on both plates must be identical). As shown in Figure 6, no non-monotonicity is observed—consistent with expectations. However, contrary to the predictions of Zhang et al. [15], in this case, the total capacitance obtained when accounting for both TQC and CQC ( C T ) is not lower than that predicted by TQC alone ( C T ) . In fact, with the effective masses assumed for graphene and Li+, C T exceeds C T . In the limiting case of m 1 0 , the two results converge, as expected.
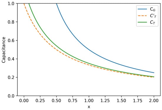
It is worth noting that the parameter values chosen in Figure 6 fall outside the screening condition outlined by Berthod et al., which demands that y > max ( 1 , u / v ) [23]. Nonetheless, similar trends can be observed in other pedagogical cases. From Equations (16) and (17), we can argue that in physically realistic systems where v 1 (i.e., each ion inducing an equal and opposite image charge in the channel), the inter-plate polarizabilities Π 12 and Π 21 can be minimized while simultaneously maximizing the intra-plate terms   Π 11   a n d   Π 12 . As y 1 , accounting for CQC leads to a substantial increase in the total quantum capacitance (both CQC and TQC), allowing the total capacitance C T to approach the geometric limit C G . Figure 7 illustrates one such case, with y = 1.5 and u = v 1 , where C T is significantly enhanced over the TQC-only result C T .
The required physical separation for observing this enhancement is also experimentally accessible. For instance, if assuming m 1 = 0.01   m e , consistent with prior experimental estimates for single-layer graphene [36], the x = 1 normalized distance corresponds to a real-space separation of 2.65 nm. This scale is within the range of current fabrication techniques, such as dielectric deposition or 2D heterostructure assembly [39,40]. This result demonstrates that CQC can still enhance total capacitance under conditions that are more experimentally attainable than those required to produce non-monotonic behavior. It highlights a promising pathway for probing and leveraging CQC without the need for exotic material parameters or extreme device geometries.
It should also be emphasized that non-monotonic effects are largely suppressed in self-consistent solutions. This suggests that any observable non-monotonicity is likely to be subtle and easily masked by experimental noise or interface imperfections. As a result, the proposed increase in capacitance via the introduction of spacer layers—suggested in prior studies [24,25]—may be difficult to observe experimentally. Moreover, systems such as EDLTs, which involve dissimilar charge carriers (e.g., ions and electrons), operate under strong coupling and non-equilibrium conditions and thus lie outside the original assumptions of the CQC model. The model was developed for ideal, metallic 2D electron gases in equilibrium, and as illustrated in this study, the predicted non-monotonic behavior occurs primarily when the effective masses of carriers on both plates are identical—conditions that do not fully reflect the distinct transport properties and ion–electron interactions typical of EDL interfaces. Nonetheless, when applied as a qualitative test case, our results reveal that the total capacitance—including CQC—under conditions resembling experimental EDLTs either matches or exceeds predictions based solely on TQC. These findings highlight the need for new theoretical frameworks that explicitly and rigorously integrate ionic and electronic conduction, enabling a more complete description of quantum effects and electrostatic phenomena at the nanoscale.

4. Conclusions

CQC presents a compelling extension to standard capacitance theory in nanoscale systems, accounting for interlayer charge screening effects that are absent in traditional quantum capacitance models. By leveraging linear response theory, CQC offers a framework that circumvents the need to explicitly account for all microscopic energy contributions while capturing essential physics at interfaces. Our analysis underscores the importance of cross-plate screening, which leads to measurable corrections in total capacitance beyond what is predicted by conventional models. Prior experimental and theoretical studies proposed that the non-monotonic dependence of capacitance on inter-plate distance would serve as direct experimental evidence of CQC in EDLTs. While our findings support this claim, the parameter space in which such behavior emerges is highly constrained—requiring oppositely charged plates with nearly identical effective masses, high charge density on one plate, and substantial charge asymmetry between them. These conditions are difficult to achieve experimentally, highlighting the need for a new theoretical framework that more fully incorporates the distinct transport properties of ionic and electronic conductors in EDLT systems.
Additionally, we identify a more experimentally accessible regime, characterized by u = v 1 and y 1 , in which CQC leads to a marked enhancement in total capacitance relative to TQC predictions. This regime aligns more closely with the conditions encountered in EDLTs, including the test case explored in this study (Li+ and graphene). Importantly, it suggests that the relaxation of the charge imbalance requirement may offer a more feasible route for experimentally probing CQC. One promising approach could involve constructing capacitors from two monolayer 2D semiconducting materials separated by dielectrics of varying thickness—an architecture well suited to systematically investigate cross-screening effects and validate the role of CQC in real devices. Together, these findings refine our understanding of interfacial capacitance in ionically gated, low-dimensional material systems and offer practical guidance for experimentally probing quantum effects at the nanoscale in such devices.

Author Contributions

Conceptualization, K.X. and J.D.E.; theory and methodology, J.D.E., P.P.D. and K.X.; writing, J.D.E. and K.X.; supervision, K.X. All authors have read and agreed to the published version of the manuscript.

Funding

The authors acknowledge the National Science Foundation (NSF-ECCS Grant #2132006).

Data Availability Statement

Dataset available on request from the authors.

Conflicts of Interest

The authors declare no conflicts of interest.

References

  1. Zhang, Y.J.; Yoshida, M.; Suzuki, R.; Iwasa, Y. 2D Crystals of Transition Metal Dichalcogenide and Their Iontronic Functionalities. 2D Mater. 2015, 2, 044004. [Google Scholar] [CrossRef]
  2. Bisri, S.Z.; Shimizu, S.; Nakano, M.; Iwasa, Y. Endeavor of Iontronics: From Fundamentals to Applications of Ion-Controlled Electronics. Adv. Mater. 2017, 29, 1607054. [Google Scholar] [CrossRef] [PubMed]
  3. Xu, K.; Fullerton-Shirey, S.K. Electric-Double-Layer-Gated Transistors Based on Two-Dimensional Crystals: Recent Approaches and Advances. J. Phys. Mater. 2020, 3, 032001. [Google Scholar] [CrossRef]
  4. Kireev, D.; Liu, S.; Jin, H.; Patrick Xiao, T.; Bennett, C.H.; Akinwande, D.; Incorvia, J.A.C. Metaplastic and Energy-Efficient Biocompatible Graphene Artificial Synaptic Transistors for Enhanced Accuracy Neuromorphic Computing. Nat. Commun. 2022, 13, 4386. [Google Scholar] [CrossRef]
  5. Jiang, J.; Hu, W.; Xie, D.; Yang, J.; He, J.; Gao, Y.; Wan, Q. 2D Electric-Double-Layer Phototransistor for Photoelectronic and Spatiotemporal Hybrid Neuromorphic Integration. Nanoscale 2019, 11, 1360–1369. [Google Scholar] [CrossRef]
  6. Sharbati, M.T.; Du, Y.; Torres, J.; Ardolino, N.D.; Yun, M.; Xiong, F. Low-Power, Electrochemically Tunable Graphene Synapses for Neuromorphic Computing. Adv. Mater. 2018, 30, 1802353. [Google Scholar] [CrossRef]
  7. Bao, L.; Zhu, J.; Yu, Z.; Jia, R.; Cai, Q.; Wang, Z.; Xu, L.; Wu, Y.; Yang, Y.; Cai, Y.; et al. Dual-Gated MoS2 Neuristor for Neuromorphic Computing. ACS Appl. Mater. Interfaces 2019, 11, 41482–41489. [Google Scholar] [CrossRef]
  8. He, Y.; Yang, Y.; Nie, S.; Liu, R.; Wan, Q. Electric-Double-Layer Transistors for Synaptic Devices and Neuromorphic Systems. J. Mater. Chem. C 2018, 6, 5336–5352. [Google Scholar] [CrossRef]
  9. Xu, K.; Fullerton-Shirey, S.K. Ionically Gated Transistors Based on Two-Dimensional Materials for Neuromorphic Computing. 2D Mater. 2025, 12, 023003. [Google Scholar] [CrossRef]
  10. Manimaran, N.H.; Sutton, C.L.M.; Streamer, J.W.; Merkel, C.; Xu, K. Realizing Linear Synaptic Plasticity in Electric Double Layer-Gated Transistors for Improved Predictive Accuracy and Efficiency in Neuromorphic Computing. J. Phys. Mater. 2024, 8, 015008. [Google Scholar] [CrossRef]
  11. Efetov, D.K.; Kim, P. Controlling Electron-Phonon Interactions in Graphene at Ultrahigh Carrier Densities. Phys. Rev. Lett. 2010, 105, 256805. [Google Scholar] [CrossRef] [PubMed]
  12. Ye, J.; Craciun, M.F.; Koshino, M.; Russo, S.; Inoue, S.; Yuan, H.; Shimotani, H.; Morpurgo, A.F.; Iwasa, Y. Accessing the Transport Properties of Graphene and Its Multilayers at High Carrier Density. Proc. Natl. Acad. Sci. USA 2011, 108, 13002–13006. [Google Scholar] [CrossRef] [PubMed]
  13. Zheliuk, O.; Lu, J.M.; Chen, Q.H.; Yumin, A.A.E.; Golightly, S.; Ye, J.T. Josephson Coupled Ising Pairing Induced in Suspended MoS2 Bilayers by Double-Side Ionic Gating. Nat. Nanotechnol. 2019, 14, 1123–1128. [Google Scholar] [CrossRef] [PubMed]
  14. Shi, W.; Ye, J.; Zhang, Y.; Suzuki, R.; Yoshida, M.; Miyazaki, J.; Inoue, N.; Saito, Y.; Iwasa, Y. Superconductivity Series in Transition Metal Dichalcogenides by Ionic Gating. Sci. Rep. 2015, 5, 12534. [Google Scholar] [CrossRef]
  15. Zhang, H.; Berthod, C.; Berger, H.; Giamarchi, T.; Morpurgo, A.F. Band Filling and Cross Quantum Capacitance in Ion-Gated Semiconducting Transition Metal Dichalcogenide Monolayers. Nano. Lett. 2019, 19, 8836–8845. [Google Scholar] [CrossRef]
  16. Costanzo, D.; Jo, S.; Berger, H.; Morpurgo, A.F. Gate-Induced Superconductivity in Atomically Thin MoS2 Crystals. Nat. Nanotechnol. 2016, 11, 339–344. [Google Scholar] [CrossRef]
  17. Ren, X.; Wang, Y.; Xie, Z.; Xue, F.; Leighton, C.; Frisbie, C.D. Gate-Tuned Insulator-Metal Transition in Electrolyte-Gated Transistors Based on Tellurene. Nano. Lett. 2019, 19, 4738–4744. [Google Scholar] [CrossRef]
  18. Wang, D.; Zhao, S.; Yin, R.; Li, L.; Lou, Z.; Shen, G. Recent Advanced Applications of Ion-Gel in Ionic-Gated Transistor. npj Flex. Electron. 2021, 5, 13. [Google Scholar] [CrossRef]
  19. Zhang, F.; Zhang, H.; Krylyuk, S.; Milligan, C.A.; Zhu, Y.; Zemlyanov, D.Y.; Bendersky, L.A.; Burton, B.P.; Davydov, A.V.; Appenzeller, J. Electric-Field Induced Structural Transition in Vertical MoTe2- and Mo1–xWxTe2-Based Resistive Memories. Nat. Mater. 2019, 18, 55–61. [Google Scholar] [CrossRef]
  20. Wang, Y.; Xiao, J.; Zhu, H.; Li, Y.; Alsaid, Y.; Fong, K.Y.; Zhou, Y.; Wang, S.; Shi, W.; Wang, Y.; et al. Structural Phase Transition in Monolayer MoTe2 Driven by Electrostatic Doping. Nature 2017, 550, 487–491. [Google Scholar] [CrossRef]
  21. Weintrub, B.I.; Hsieh, Y.-L.; Kovalchuk, S.; Kirchhof, J.N.; Greben, K.; Bolotin, K.I. Generating Intense Electric Fields in 2D Materials by Dual Ionic Gating. Nat. Commun. 2022, 13, 6601. [Google Scholar] [CrossRef] [PubMed]
  22. Zhang, F.; Li, C.; Li, Z.; Dong, L.; Zhao, J. Recent Progress in Three-Terminal Artificial Synapses Based on 2D Materials: From Mechanisms to Applications. Microsyst. Nanoeng. 2023, 9, 16. [Google Scholar] [CrossRef] [PubMed]
  23. Berthod, C.; Zhang, H.; Morpurgo, A.F.; Giamarchi, T. Theory of Cross Quantum Capacitance. Phys. Rev. Research 2021, 3, 043036. [Google Scholar] [CrossRef]
  24. Piatti, E.; Pasquarelli, A.; Gonnelli, R.S. Orientation-Dependent Electric Transport and Band Filling in Hole Co-Doped Epitaxial Diamond Films. Appl. Surf. Sci. 2020, 528, 146795. [Google Scholar] [CrossRef]
  25. Romanin, D.; Ummarino, G.A.; Piatti, E. Migdal-Eliashberg Theory of Multi-Band High-Temperature Superconductivity in Field-Effect-Doped Hydrogenated (111) Diamond. Appl. Surf. Sci. 2021, 536, 147723. [Google Scholar] [CrossRef]
  26. Bruus, H.; Flensberg, K. Many-Body Quantum Theory in Condensed Matter Physics: An Introduction; Oxford University Press, Incorporated: Oxford, UK, 2004; ISBN 978-0-19-105747-2. [Google Scholar]
  27. García Flórez, F.; Siebbeles, L.D.A.; Stoof, H.T.C. Effects of Material Thickness and Surrounding Dielectric Medium on Coulomb Interactions and Two-Dimensional Excitons. Phys. Rev. B 2020, 102, 125303. [Google Scholar] [CrossRef]
  28. Olsen, T.; Latini, S.; Rasmussen, F.; Thygesen, K.S. Simple Screened Hydrogen Model of Excitons in Two-Dimensional Materials. Phys. Rev. Lett. 2016, 116, 056401. [Google Scholar] [CrossRef]
  29. Yang, X.L.; Guo, S.H.; Chan, F.T.; Wong, K.W.; Ching, W.Y. Analytic Solution of a Two-Dimensional Hydrogen Atom. I. Nonrelativistic Theory. Phys. Rev. A 1991, 43, 1186–1196. [Google Scholar] [CrossRef]
  30. Son, M.; Kim, H.; Jang, J.; Kim, S.-Y.; Ki, H.C.; Lee, B.H.; Kim, I.S.; Ham, M.-H. Low-Power Complementary Logic Circuit Using Polymer-Electrolyte-Gated Graphene Switching Devices. ACS Appl. Mater. Interfaces 2019, 11, 47247–47252. [Google Scholar] [CrossRef]
  31. Liu, J.; Qian, Q.; Zou, Y.; Li, G.; Jin, Y.; Jiang, K.; Fan, S.; Li, Q. Enhanced Performance of Graphene Transistor with Ion-Gel Top Gate. Carbon 2014, 68, 480–486. [Google Scholar] [CrossRef]
  32. Moulick, S.; Alam, R.; Pal, A.N. Sensing Remote Bulk Defects through Resistance Noise in a Large-Area Graphene Field-Effect Transistor. ACS Appl. Mater. Interfaces 2022, 14, 51105–51112. [Google Scholar] [CrossRef] [PubMed]
  33. Xu, K.; Islam, M.M.; Guzman, D.; Seabaugh, A.C.; Strachan, A.; Fullerton-Shirey, S.K. Pulse Dynamics of Electric Double Layer Formation on All-Solid-State Graphene Field-Effect Transistors. ACS Appl. Mater. Interfaces 2018, 10, 43166–43176. [Google Scholar] [CrossRef] [PubMed]
  34. Awate, S.S.; Mostek, B.; Kumari, S.; Dong, C.; Robinson, J.A.; Xu, K.; Fullerton-Shirey, S.K. Impact of Large Gate Voltages and Ultrathin Polymer Electrolytes on Carrier Density in Electric-Double-Layer-Gated Two-Dimensional Crystal Transistors. ACS Appl. Mater. Interfaces 2023, 15, 15785–15796. [Google Scholar] [CrossRef]
  35. Audi, G.; Wapstra, A.H. The 1995 Update to the Atomic Mass Evaluation. Nucl. Phys. A 1995, 595, 409–480. [Google Scholar] [CrossRef]
  36. Xin, N.; Lourembam, J.; Kumaravadivel, P.; Kazantsev, A.E.; Wu, Z.; Mullan, C.; Barrier, J.; Geim, A.A.; Grigorieva, I.V.; Mishchenko, A.; et al. Giant Magnetoresistance of Dirac Plasma in High-Mobility Graphene. Nature 2023, 616, 270–274. [Google Scholar] [CrossRef]
  37. Zou, K.; Hong, X.; Zhu, J. Effective Mass of Electrons and Holes in Bilayer Graphene: Electron-Hole Asymmetry and Electron-Electron Interaction. Phys. Rev. B 2011, 84, 085408. [Google Scholar] [CrossRef]
  38. Li, J.; Tan, L.Z.; Zou, K.; Stabile, A.A.; Seiwell, D.J.; Watanabe, K.; Taniguchi, T.; Louie, S.G.; Zhu, J. Effective Mass in Bilayer Graphene at Low Carrier Densities: The Role of Potential Disorder and Electron-Electron Interaction. Phys. Rev. B 2016, 94, 161406. [Google Scholar] [CrossRef]
  39. Parker, M. Oxide Dielectrics That Grow on 2D Materials. Nat. Electron. 2024, 7, 513. [Google Scholar] [CrossRef]
  40. Kinoshita, K.; Moriya, R.; Onodera, M.; Wakafuji, Y.; Masubuchi, S.; Watanabe, K.; Taniguchi, T.; Machida, T. Dry Release Transfer of Graphene and Few-Layer h-BN by Utilizing Thermoplasticity of Polypropylene Carbonate. npj 2D Mater. Appl. 2019, 3, 22. [Google Scholar] [CrossRef]
Figure 1. Comparison of TQC and CQC contributions to total capacitance. (a) Schematic representation of the energy landscape and capacitance contributions in a metal-semiconductor capacitor incorporating both geometric capacitance and TQC. The measured voltage across the device, V i n t , includes contributions from the electrostatic potential Δ φ , which determines the capacitance in a traditional geometric capacitor, and the chemical potential Δ μ arising from the finite density of states in the semiconductor (TQC). (b) At small inter-plate distances d , charges experience a screening effect V s that counteracts V i n t , representing the influence of CQC.
Figure 1. Comparison of TQC and CQC contributions to total capacitance. (a) Schematic representation of the energy landscape and capacitance contributions in a metal-semiconductor capacitor incorporating both geometric capacitance and TQC. The measured voltage across the device, V i n t , includes contributions from the electrostatic potential Δ φ , which determines the capacitance in a traditional geometric capacitor, and the chemical potential Δ μ arising from the finite density of states in the semiconductor (TQC). (b) At small inter-plate distances d , charges experience a screening effect V s that counteracts V i n t , representing the influence of CQC.
Electronics 14 01811 g001
Figure 2. (A) Contour plot of total capacitance in the v y parameter space for fixed x = 0.1 . (BD) Capacitance as a function of x for selected v y combinations indicated by the red dots in (A): (B) y = 10 ,   v = 1.2 ; (C) y = 12.5 ,   v = 20 ; and (D) y = 15 ,   v = 60 . The x and y parameters are expressed in terms of a 1 , the Bohr radius of charges on Plate 1.
Figure 2. (A) Contour plot of total capacitance in the v y parameter space for fixed x = 0.1 . (BD) Capacitance as a function of x for selected v y combinations indicated by the red dots in (A): (B) y = 10 ,   v = 1.2 ; (C) y = 12.5 ,   v = 20 ; and (D) y = 15 ,   v = 60 . The x and y parameters are expressed in terms of a 1 , the Bohr radius of charges on Plate 1.
Electronics 14 01811 g002
Figure 3. Profile of capacitance as a function of x using a self-consistent solution for the cross-polarizability Π 12 .
Figure 3. Profile of capacitance as a function of x using a self-consistent solution for the cross-polarizability Π 12 .
Electronics 14 01811 g003
Figure 4. The u v parameter space for (A) y = 20 and (B) y = 35 . Note the emergence of a deeper decrease in capacitance for higher values of y. The x and y parameters here are in terms of a 1 or the Bohr radius of charges on Plate 1.
Figure 4. The u v parameter space for (A) y = 20 and (B) y = 35 . Note the emergence of a deeper decrease in capacitance for higher values of y. The x and y parameters here are in terms of a 1 or the Bohr radius of charges on Plate 1.
Electronics 14 01811 g004
Figure 5. Selected profiles of capacitance as a function of distance for different values of u , with y = 15 held constant. (AC) correspond to u = 3 , u = 2 ,   a n d   u = 1 , respectively.
Figure 5. Selected profiles of capacitance as a function of distance for different values of u , with y = 15 held constant. (AC) correspond to u = 3 , u = 2 ,   a n d   u = 1 , respectively.
Electronics 14 01811 g005
Figure 6. Capacitance as a function of x, featuring the geometric capacitance C G , the total capacitance considering both TQC and CQC effects C T , and the total capacitance considering only TQC C T .
Figure 6. Capacitance as a function of x, featuring the geometric capacitance C G , the total capacitance considering both TQC and CQC effects C T , and the total capacitance considering only TQC C T .
Electronics 14 01811 g006
Figure 7. Capacitance as a function of distance in the u = v 1 regime. The total capacitance accounting for both CQC and TQC ( C T ) is plotted for y = 1.5 and compared to the total capacitance with only TQC ( C T ) .
Figure 7. Capacitance as a function of distance in the u = v 1 regime. The total capacitance accounting for both CQC and TQC ( C T ) is plotted for y = 1.5 and compared to the total capacitance with only TQC ( C T ) .
Electronics 14 01811 g007
Table 1. List and definitions of parameters used in the polarizability model, as described in Equation (17). Indexed parameters refer to values specific to the indexed plate in the capacitor model (e.g., m1 is the charge effective mass for charges on Plate 1).
Table 1. List and definitions of parameters used in the polarizability model, as described in Equation (17). Indexed parameters refer to values specific to the indexed plate in the capacitor model (e.g., m1 is the charge effective mass for charges on Plate 1).
ParameterFormulaDefinition
ν Density of states
n Charge number density
m Charge effective mass
d Inter-plate distance
a 2 π ϵ 2 / ( m e 2 ) two-dimensional Bohr radius
x d / a 1 Normalized inter-plate distance
v n 2 / n 1 Inter-plate charge ratio
u m 2 / m 1 Relative effective masses
y 8 π n 1 a 1 2 Parameterized charge density
Disclaimer/Publisher’s Note: The statements, opinions and data contained in all publications are solely those of the individual author(s) and contributor(s) and not of MDPI and/or the editor(s). MDPI and/or the editor(s) disclaim responsibility for any injury to people or property resulting from any ideas, methods, instructions or products referred to in the content.

Share and Cite

MDPI and ACS Style

Eisensmith, J.D.; Dholabhai, P.P.; Xu, K. Critical Considerations for Observing Cross Quantum Capacitance in Electric-Double-Layer-Gated Transistors Based on Two-Dimensional Crystals. Electronics 2025, 14, 1811. https://doi.org/10.3390/electronics14091811

AMA Style

Eisensmith JD, Dholabhai PP, Xu K. Critical Considerations for Observing Cross Quantum Capacitance in Electric-Double-Layer-Gated Transistors Based on Two-Dimensional Crystals. Electronics. 2025; 14(9):1811. https://doi.org/10.3390/electronics14091811

Chicago/Turabian Style

Eisensmith, Jacob D., Pratik P. Dholabhai, and Ke Xu. 2025. "Critical Considerations for Observing Cross Quantum Capacitance in Electric-Double-Layer-Gated Transistors Based on Two-Dimensional Crystals" Electronics 14, no. 9: 1811. https://doi.org/10.3390/electronics14091811

APA Style

Eisensmith, J. D., Dholabhai, P. P., & Xu, K. (2025). Critical Considerations for Observing Cross Quantum Capacitance in Electric-Double-Layer-Gated Transistors Based on Two-Dimensional Crystals. Electronics, 14(9), 1811. https://doi.org/10.3390/electronics14091811

Note that from the first issue of 2016, this journal uses article numbers instead of page numbers. See further details here.

Article Metrics

Back to TopTop