A High-Temperature Stabilized Anti-Interference Beidou Array Antenna
Abstract
1. Introduction
2. Proposed Array Antenna Structure and Dimensions
3. Antenna Simulation Results
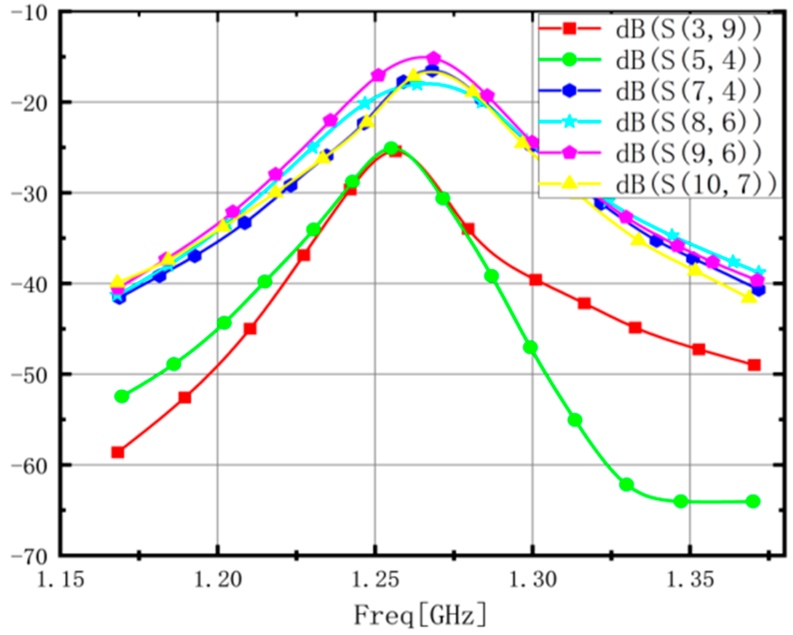
3.1. HFSS Simulation Result
3.2. Anti-Interference Performance
4. Antenna Protype and Environment Test
4.1. Protype Fabrication
- 1.
- Aluminum-Based Antenna
- ●
- Material Cost: $20–50/unit
- ○
- Composite aluminum cores (ACCC cables with high tensile strength)
- ○
- Surface treatments (shot blasting, spray coating)
- ●
- Manufacturing Cost: $30–100/unit
- ○
- CNC machining for structural components (large aluminum panels)
- ○
- Labor-intensive assembly (riveting, autoclave curing)
- ●
- Integration Cost: $10–20/unit
- ○
- Testing for thermal stability (−40 °C to +400 °C tolerance)
- 2.
- PCB-Based Antenna
- ●
- Material Cost: $5–10/unit
- ○
- Standard FR4 substrates and copper traces
- ○
- IPEX connectors and 50 Ω impedance matching
- ●
- Manufacturing Cost: $3–15/unit
- ○
- Batch production via automated PCB etching and lamination
- ○
- Minimal post-processing (solder masking)
- ●
- Integration Cost: $2–5/unit
- ○
- Pre-tuned for frequencies like 2.4 GHz with 2 dB gain
- 3.
- RIS Antenna
- ●
- Material Cost: $80–200/unit
- ○
- Tunable dielectric/metamaterial substrates (liquid crystals, varactor diodes)
- ○
- High-precision microelectronics for phase control
- ●
- Manufacturing Cost: $100–300/unit
- ○
- Additive manufacturing for lattice structures
- ○
- Complex alignment of reconfigurable elements
- ●
- Integration Cost: $20–50/unit
- ○
- Software-defined control systems and calibration algorithms
4.2. Thermal Cycleing Test
4.3. Vibration Test Result
4.4. NWA 8753ES Test Result
4.5. Comparison RF Performance with Some Data in the Reference Articles
5. Conclusions and Future Work
Author Contributions
Funding
Data Availability Statement
Acknowledgments
Conflicts of Interest
References
- Shuangshan, Y.; Xuelong, H.; Jichao, Q. Design and implementation of Beidou anti-jamming antenna. In Proceedings of the 2017 13th IEEE International Conference on Electronic Measurement & Instruments (ICEMI), Yangzhou, China, 20–22 October 2017; IEEE: Piscataway, NJ, USA, 2017. [Google Scholar]
- Li, S.; Zhao, Y.; He, H.; Li, X.; Wang, W. The Design and Implementation of Data Link Terminal Based on Two Modes Satellite Communication. In Proceedings of the 2022 International Symposium on Networks, Computers and Communications (ISNCC), Shenzhen, China, 19–22 July 2022; IEEE: Piscataway, NJ, USA, 2022. [Google Scholar]
- Liang, Y.L.; Zhang, C.; Xing, L. A Compact Dual-Band Circularly Polarized Stacked Patch Antenna for GNSS Application. In Proceedings of the 2024 IEEE International Conference on Computational Electromagnetics (ICCEM), Nanjing, China, 15–17 April 2024; IEEE: Piscataway, NJ, USA, 2024. [Google Scholar]
- Yan, P.-P.; Hong, W.; Liu, J.; Kuai, Z.-Q.; Chen, J.-X. Investigations on RF front end for BeiDou satellite navigation system. In Proceedings of the 2005 Asia-Pacific Microwave Conference Proceedings, Suzhou, China, 4–7 December 2005; IEEE: Piscataway, NJ, USA, 2005. [Google Scholar]
- Zheng, W.C.; Zhang, L.; Li, Q.X.; Leng, Y. Dual-Band Dual-Polarized Compact Bowtie Antenna Array for Anti-Interference MIMO WLAN. IEEE Antennas Wirel. Propag. Lett. 2014, 62, 237–246. [Google Scholar] [CrossRef]
- Gaofeng, G. The Method and Test System for the Dielectric Properties of Radome Materials Under High Temperature Environment; University of Electronic Science and Technology of China: Chengdu, China, 2008. [Google Scholar]
- Li, X.; Ma, R.; Cai, H.; Pan, Y.-M.; Zhang, X.Y. High-Gain Dual-Band Aperture-Shared CP Patch Antenna with Wide AR Beamwidth for Satellite Navigation System. IEEE Antennas Wirel. Propag. Lett. 2023, 22, 1888–1891. [Google Scholar] [CrossRef]
- Tian, Y.; Zhao, H.; Ouyang, J. A coupled-feed microstrip Yagi antenna with high temperature resistance. In Proceedings of the 2023 16th UK-Europe-China Workshop on Millimetre Waves and Terahertz Technologies (UCMMT), Guangzhou, China, 31 August–3 September 2023; pp. 1–3. [Google Scholar] [CrossRef]
- Zeng, X.; Hu, Z.; Chen, Q.; Wei, X.; Huang, K. A Broadband Circularly Polarized High-Temperature Superconductor Microstrip Antenna for Space Applications. IEEE Antennas Wirel. Propag. Lett. 2018, 17, 2179–2182. [Google Scholar] [CrossRef]
- Dasari, S.A.; Williamson, T.G.; Ghalichechian, N. Silicon Carbide Slot Dielectric Resonator Antenna for High Temperature and Power Applications. In Proceedings of the 2023 IEEE International Symposium on Antennas and Propagation and USNC-URSI Radio Science Meeting (USNC-URSI), Portland, OR, USA, 23–28 July 2023. [Google Scholar]
- Fu, Y.; Shang, F.; Fu, Z. Anti-interference satellite navigation array antenna. In Proceedings of the 2023 IEEE 11th Asia-Pacific Conference on Antennas and Propagation (APCAP), Guangzhou, China, 22–24 November 2023. [Google Scholar]
- Qi, N.; Zhang, Z.; Dong, N.; Guo, M.; Kong, M. A Design of Conformal Anti-Jamming Antenna System. In Proceedings of the 2022 International Symposium on Networks, Computers and Communications (ISNCC), Shenzhen, China, 19–22 July 2022. [Google Scholar]
- Tan, M.C.; Li, M.; Abbasi, Q.H.; Imran, M.A. A Wideband Beamforming Antenna Array for 802.11ac and 4.9 GHz in Modern Transportation Market. IEEE Trans. Veh. Technol. 2020, 69, 2659–2670. [Google Scholar] [CrossRef]
- Zhang, Y.-M.; Li, J.-L.; Wang, B.-Z. A Dual-Band Dual-Polarized Antenna Array with Improved Isolation. In Proceedings of the 2018 International Conference on Microwave and Millimeter Wave Technology (ICMMT), Chengdu, China, 7–11 May 2018. [Google Scholar]
- Sang, L.; Wang, J.; Liu, Z.; Wang, W.; Huang, W.; Tu, H. A UWB Metal Waveguide Slot Array Antenna Based on Hybrid Resonant Structural Components. IEEE Antennas Wirel. Propag. Lett. 2023, 22, 923–927. [Google Scholar] [CrossRef]
- Li, L.; Feng, B.; Wang, M.; Zeng, Q. A low-profile dual-polarized magneto-electric dipole antenna with metamaterial loading and anti-interference capability. In Proceedings of the 2017 IEEE 5th International Symposium on Electromagnetic Compatibility (EMC-Beijing), Beijing, China, 28–31 October 2017. [Google Scholar]
- Liu, G.; He, L.; Wang, S.; Zhang, R.; Wang, X. Design of a K-band Wideband Circularly Polarized Micro-strip Array Antenna. In Proceedings of the 2020 International Symposium on Antennas and Propagation (ISAP), Osaka, Japan, 25–28 January 2021. [Google Scholar]
- Becker, D.; Hinüber, E.v. Multi-pass phase-differential GNSS ambiguity fixing for post-processing applications. In Proceedings of the 2023 DGON Inertial Sensors and Systems (ISS), Braunschweig, Germany, 24–25 October 2023. [Google Scholar]
- Siebert, C.; Bochkati, M.; Pany, T.; Meurer, M. Comparison of Different Vector Tracking Architectures in Challenging Urban Environments Using the TEX-CUP Data Set. In Proceedings of the 2024 11th Workshop on Satellite Navigation Technology (NAVITEC), Noordwijk, The Netherlands, 11–13 December 2024. [Google Scholar]
- Völk, F.; Schlichter, T.; Kumar, S.; Schwarz, R.T.; Knopp, A.; Hammouda, M.; Heyn, T.; Querol, J.; Chatzinotas, S.; Kapovits, A. 5G Non-Terrestrial Networks with OpenAirInterface: An Experimental Study Over GEO Satellites. IEEE Access 2024, 12, 155098–155109. [Google Scholar] [CrossRef]
- Wang, W.; Wen, Y.; Liu, Y. Design and Testing of a Specialized Antenna Array for GNSS Receiver Anti-Interference Enhancement. In Proceedings of the 2024 International Conference on Electromagnetics in Advanced Applications (ICEAA), Lisbon, Portugal, 2–6 September 2024; IEEE: Piscataway, NJ, USA, 2024. [Google Scholar]






















| Substrate thickness, hs, | 4 mm |
| Width of the B1 Substrate, W-subB1 | 37 mm |
| Width of the B3 Substrate, W-subB3 | 50 mm |
| Width of the B1-patch, W-B1 | 30.6 mm |
| Width of the B3-patch, W-B3 | 38.1 mm |
| Diameter of GND r | 95 mm |
| Height of GND S-H | 4 mm |
| Length of GND S-L | 180 m |
| Metric | Aluminum-Based Antenna | PCB-Based Antenna | RIS Antenna |
|---|---|---|---|
| Cost | High (50–150/unit) | Low (10–30/unit) | Very High (200–500+/unit) |
| Manufacturability | Moderate: Requires CNC machining, structural assembly, and surface treatment | High: Mass-producible via standard PCB etching and lamination processes | Low: Complex fabrication of tunable metasurfaces and control electronics |
| Complexity | Moderate: Structural design challenges (e.g., thermal expansion, weight) | Low: Simple planar design with predefined impedance and frequency tuning | Very High: Requires dynamic phase control and integration with AI/ML systems |
| Data from Ref. [9] | Index | 5.8 GHz Gain (dBi) Single antenna | 5.8 GHz-S11 (dB) |
| Simulation Values | 5.95 | NA | |
| Measured Values | NA | NA | |
| Data in this article | Index | B3-RHCP Gain(dBi) Single antenna | B1-S11 (dB) (1561.098 MHz) |
| Simulation values | 6.18 | −9.3 | |
| Measured values | NA | −17 | |
| Data from Ref. [10]. | Index | 31 GHz Gain (dBi) Single antenna | 31 GHz-S11 (dB) |
| Simulation values | 5.5 | −10 | |
| Measured values | NA | NA | |
| Data from Ref. [11]. | Index | BDS-B3-RHCP Gain (dBiC) Single antenna | GPS-L1-S11 (dB) (1575.42 MHz) |
| Simulation values | −5 | −10 | |
| Measured values | NA | NA | |
| Data from Ref. [12]. | Index | 4.9 GHz Gain (dBi) Total 4 array antenna | 4.9 GHz -S11 (dB) |
| Simulation values | 15 | −10 | |
| Measured values | NA | NA |
Disclaimer/Publisher’s Note: The statements, opinions and data contained in all publications are solely those of the individual author(s) and contributor(s) and not of MDPI and/or the editor(s). MDPI and/or the editor(s) disclaim responsibility for any injury to people or property resulting from any ideas, methods, instructions or products referred to in the content. |
© 2025 by the authors. Licensee MDPI, Basel, Switzerland. This article is an open access article distributed under the terms and conditions of the Creative Commons Attribution (CC BY) license (https://creativecommons.org/licenses/by/4.0/).
Share and Cite
Xu, F.; Zhang, X. A High-Temperature Stabilized Anti-Interference Beidou Array Antenna. Electronics 2025, 14, 1555. https://doi.org/10.3390/electronics14081555
Xu F, Zhang X. A High-Temperature Stabilized Anti-Interference Beidou Array Antenna. Electronics. 2025; 14(8):1555. https://doi.org/10.3390/electronics14081555
Chicago/Turabian StyleXu, Feng, and Xiaofei Zhang. 2025. "A High-Temperature Stabilized Anti-Interference Beidou Array Antenna" Electronics 14, no. 8: 1555. https://doi.org/10.3390/electronics14081555
APA StyleXu, F., & Zhang, X. (2025). A High-Temperature Stabilized Anti-Interference Beidou Array Antenna. Electronics, 14(8), 1555. https://doi.org/10.3390/electronics14081555
