Research on a Broadband Digital Receiver Based on Envelope Differentiation
Abstract
1. Introduction
2. Methodology
2.1. Digital Channelization Based on Multiphase Filter Banks
2.2. The Method for Detecting TOA Based on Envelope Differentiation
2.3. Improved Digital Receiver Design Based on Envelope Differentiation
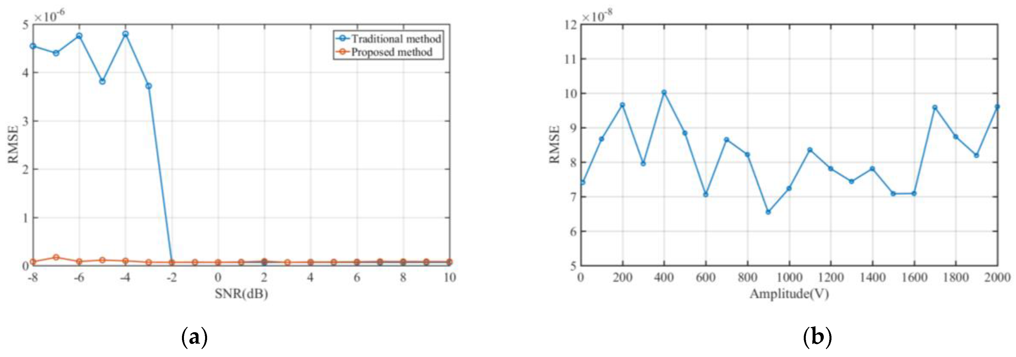
3. Experimental Verification
3.1. Experimental Setup
3.2. Experimental Procedure
3.3. Experimental Results
4. Discussion
5. Conclusions
Author Contributions
Funding
Data Availability Statement
Conflicts of Interest
References
- Liu, M.; Liao, G.; Yang, Z.; Song, H.; Gong, F. Electromagnetic Signal Classification Based on Deep Sparse Capsule Networks. IEEE Access 2019, 7, 83974–83983. [Google Scholar] [CrossRef]
- Oliveira, A.; Backx, D. Detection in the Fractional Fourier Domain for Digital Wideband ESM Receivers in Electronic Warfare. In Proceedings of the 2024 21st European Radar Conference (EuRAD), Paris, France, 25–27 September 2025. [Google Scholar] [CrossRef]
- Benson, S.R.; Chen, C.-I.H. Adaptive Thresholding for High Dual-Tone Signal Instantaneous Dynamic Range in Digital Microwave Receiver. IEEE Trans. Instrum. Meas. 2011, 60, 1869–1875. [Google Scholar] [CrossRef]
- George, K.; Chen, C.; Tsui, J. Extension of Two-Signal Spurious-Free Dynamic Range of Wideband Digital Receivers Using Kaiser Window and Compensation Method. IEEE Trans. Microw. Theory Tech. 2007, 55, 788–794. [Google Scholar] [CrossRef]
- Lin, E.; Chen, C.; Liou, L.L.; Lin, D.M. Performance analysis of digital wideband receiver based on reconstruction of compressed sensing data. In Proceedings of the 2017 IEEE Radar Conference (RadarConf), Seattle, WA, USA, 8–12 May 2017. [Google Scholar] [CrossRef]
- Zhang, H.; Liu, M.; Chen, Y.; Zhao, N. Blockchain and timely auction mechanism-based spectrum management. Future Gener. Comput. Syst. 2025, 166, 107703. [Google Scholar] [CrossRef]
- Li, M.; He, G.; Wang, J. Wideband Digital Channelized Receiver Design Based on Double Sub-Nyquist Sampling. Electron. Inf. Warf. Technol. 2013, 28, 63–68. [Google Scholar]
- Zuo, Y.; Gao, X. The Comparison of Two Ways for Digital Channelization. Electron. Inf. Warf. Technol. 2016, 31, 5. [Google Scholar]
- Lu, Y.; Zheng, G.; Wang, L. A Technique to Design Wideband IF Digitized Receiver Based on Polyhase Filtering. J. UEST China 2003, 32, 133–136. [Google Scholar]
- Liu, M.; Yi, F.; Liu, P.; Li, B. Cramer-Rao Lower Bounds of TDOA and FDOA Estimation Based on Satellite Signals. In Proceedings of the 2018 14th IEEE International Conference on Signal Processing (ICSP), Beijing, China, 12–16 August 2018. [Google Scholar] [CrossRef]
- Guvenc, I.; Sahinoglu, Z. Threshold-based TOA estimation for impulse radio UWB systems. In Proceedings of the 2005 IEEE International Conference on Ultra-Wideband, Zurich, Switzerland, 5–8 September 2005. [Google Scholar] [CrossRef]
- Yu, L.; Laaraiedh, M.; Avrillon, S.; Uguen, B.; Keignart, J.; Stephan, J. Performance evaluation of threshold-based TOA estimation techniques using IR-UWB indoor measurements. In Proceedings of the European Wireless Conference, VDE, Poznan, Poland, 18–20 April 2012. [Google Scholar]
- Zehavi, E. Estimation of Time of Arrival for Rectangular Pulses. IEEE Trans. Aerosp. Electron. Syst. 1984, AES-20, 742–747. [Google Scholar] [CrossRef]
- Chan, Y.; Lee, B.; Inkol, R.; Chan, F. Estimation of Pulse Parameters by Convolution. In Proceedings of the 2006 Canadian Conference on Electrical and Computer Engineering, Ottawa, ON, Canada, 7–10 May 2007. [Google Scholar] [CrossRef]
- Xu, J.; Ren, L.; Jiang, Z.; Mao, E. TOA estimation for unknown signal under low SNR condition based on accumulation. In Proceedings of the International Radar Conference, IET, Hangzhou, China, 14–16 October 2016. [Google Scholar] [CrossRef]
- Sun, C.; Wang, S.; Zhu, J. Research of TOA Estimation Based on Auto–correlation Algorithm. Microprocessors 2014, 35, 39–43. [Google Scholar] [CrossRef]
- Tan, X.; Li, H.; Fan, C. Estimation Algorithm of Radar Signal Arrival Time Based on Correlated Accumulation. J. Proj. Rocket. Missiles Guid. 2018, 38, 161–164+169. [Google Scholar] [CrossRef]
- Qiu, Z.; Wang, P.; Zhu, J.; Tang, B. NYFR output pulse radar signal TOA analysis using extended Fourier transform and its TOA estimation. J. Syst. Eng. Electron. 2017, 28, 212–223. [Google Scholar]
- Qi, X.; Liu, H.; Ma, T. Arrival time estimation of LFM radar signals based on Morlet wavelets transform. Electron. Des. Eng. 2017, 25, 59–64. [Google Scholar] [CrossRef]
- Yi, Z. Research on LPI Radar Signal Detection and TOA Estimation Method Based on Deep Learning. Master’s Thesis, Harbin Engineering University, Harbin, China, 2022. [Google Scholar]
- Ji, H.; Wang, L.; Zhang, S.; Peng, C.; Zhou, W. Multi-Feature Fusion TOA Algorithm Based on Deep Learning and Compressed Sensing. In Proceedings of the 2024 7th International Conference on Information Communication and Signal Processing (ICICSP), Zhoushan, China, 21–23 September 2025. [Google Scholar] [CrossRef]
- Luo, Z.; Tao, T.; Liu, J. TOA Estimation Scheme Based on CNN for B-IFDM-Based Preambles. In Proceedings of the 2019 IEEE 89th Vehicular Technology Conference (VTC2019-Spring), Kuala Lumpur, Malaysia, 28 April–1 May 2019. [Google Scholar] [CrossRef]
- Sangpisit, W.; Wardkein, P.; Kiranon, W.; Loescharataramdee, C. A novel derivative envelope detector. IEEE Trans. Consum. Electron. 2002, 44, 1396–1405. [Google Scholar] [CrossRef]
- Reyes, L.; Silveira, F. Gain, Signal-to-Noise Ratio and Power Optimization of Envelope Detector for Ultra-Low-Power Wake-Up Receiver. IEEE Trans. Circuits Syst. II Express Briefs 2019, 66, 1703–1707. [Google Scholar] [CrossRef]
- Liu, M.; Liu, C.; Chen, Y.; Yan, Z.; Zhao, N. Radio Frequency Fingerprint Collaborative Intelligent Blind Identification for Green Radios. IEEE Trans. Green Commun. Netw. 2023, 7, 940–949. [Google Scholar] [CrossRef]









Disclaimer/Publisher’s Note: The statements, opinions and data contained in all publications are solely those of the individual author(s) and contributor(s) and not of MDPI and/or the editor(s). MDPI and/or the editor(s) disclaim responsibility for any injury to people or property resulting from any ideas, methods, instructions or products referred to in the content. |
© 2025 by the authors. Licensee MDPI, Basel, Switzerland. This article is an open access article distributed under the terms and conditions of the Creative Commons Attribution (CC BY) license (https://creativecommons.org/licenses/by/4.0/).
Share and Cite
Chen, B.; Li, M.; Liu, Q. Research on a Broadband Digital Receiver Based on Envelope Differentiation. Electronics 2025, 14, 1493. https://doi.org/10.3390/electronics14081493
Chen B, Li M, Liu Q. Research on a Broadband Digital Receiver Based on Envelope Differentiation. Electronics. 2025; 14(8):1493. https://doi.org/10.3390/electronics14081493
Chicago/Turabian StyleChen, Bao, Ming Li, and Qinghua Liu. 2025. "Research on a Broadband Digital Receiver Based on Envelope Differentiation" Electronics 14, no. 8: 1493. https://doi.org/10.3390/electronics14081493
APA StyleChen, B., Li, M., & Liu, Q. (2025). Research on a Broadband Digital Receiver Based on Envelope Differentiation. Electronics, 14(8), 1493. https://doi.org/10.3390/electronics14081493
