Next Article in Journal
Half-Mode Dielectric-Filled Resonator and Its Application in Bandpass Filters
Previous Article in Journal
Enhanced Charge Pump Architecture with Feedback Supply Selector for Optimized Switching Performance
 
 
Font Type:
Arial Georgia Verdana
Font Size:
Aa Aa Aa
Line Spacing:
Column Width:
Background:
Article

An Improved De-Embedding Method for Low-Loss Reciprocal Fixtures

1
Guangdong Provincial Key Laboratory of Quantum Engineering and Quantum Materials, South China Normal University, Guangzhou 510006, China
2
Guangdong Provincial Key Laboratory of Nanophotonic Functional Material and Devices, South China Normal University, Guangzhou 510006, China
*
Author to whom correspondence should be addressed.
Electronics 2025, 14(8), 1487; https://doi.org/10.3390/electronics14081487
Submission received: 11 March 2025 / Revised: 3 April 2025 / Accepted: 6 April 2025 / Published: 8 April 2025
(This article belongs to the Section Microelectronics)

Abstract

This study proposes an improved version of an existing de-embedding method that combines the amplitude symmetry of reciprocal lossless networks with time-domain truncation. In the proposed method, parameter S 11 is still obtained by a time-domain truncation method. And in contrast to the original method, there is no need to compute the phase delay of the fixture to determine the phase of parameter S 21 . Instead, a new microstrip line phase delay formula was derived by introducing the magnitude-symmetry formula of reciprocal lossless networks, which was then used to determine the phase of the fixture’s parameter S 21 . The accuracy of the derived phase delay formula was verified through simulations. The simulation analysis confirmed that this formula is applicable to lossy networks. The simulation results also show that the proposed improved method simplifies operation and reduces measurement steps compared to the traditional de-embedding methods while maintaining high accuracy and feasibility through simulations. The proposed method can also achieve better de-embedding accuracy in the high-frequency range than the original method.

1. Introduction

With the rapid development of electronic technology, radio frequency (RF) components have played a crucial role in modern electronic systems. Accurate measurement of the parasitic parameters of RF components can help achieve an optimal matching between the RF components and the source end, thus reducing the signal transmission loss and improving system performance. However, because the internal structures of many RF components are considered commercial secrets, their detailed designs are inaccessible, which makes it extremely difficult to describe their parasitic parameters through three-dimensional (3D) modeling simulations. Therefore, accurately characterizing and verifying the electronic components in the RF and high-speed digital systems typically relies on the measurement of scattering parameters (i.e., S-parameters), which are then used to establish equivalent circuit models that reflect the system’s performance. To ensure the reliability of measurement results, the calibration of a vector network analyzer (VNA), which has been widely recognized as a key step in the scattering parameter measurement, is performed to move the reference plane from the VNA’s output port (usually the connector) to the end of the VNA’s cable connecting to the device under test (DUT) [1,2]. When the DUT is impedance-matched with the VNA cable through a coaxial connector [3], the calibration process can meet most measurement requirements. However, structurally complex devices, such as wafer-level devices and integrated circuits, commonly cannot be directly connected to coaxial connectors, and specialized test fixtures are required to interface them with the DUT [4]. Still, due to the errors introduced by the fixture, achieving a precise measurement is particularly challenging. Therefore, it is crucial to eliminate the fixture’s embedded effects to obtain accurate S-parameters, and this process has been known as de-embedding [5,6]. Currently, de-embedding technology plays an important role in signal integrity (SI) and power integrity (PI) research [7].
In recent studies, traditional short-open-load-thru (SOLT) methods [8] and thru-reflect-line (TRL) methods [9] have been widely used to achieve high-precision de-embedding results. However, the SOLT methods adopt ideal calibration standards, which can cause errors when non-ideal calibration standards are used [10]. In addition, the SOLT calibration process typically requires ideal coaxial connectors; therefore, for non-coaxial interface devices, extra standard coaxial connectors must be added to meet measurement requirements or custom non-coaxial calibration standards must be adopted and their parasitic parameters must be defined, which undoubtedly increases the cost complexity. The TRL methods are similar to the SOLT methods in terms of accuracy and can handle non-ideal standards [11], but have lower requirements for test standards than the SOLT methods. However, the TRL methods require designing delay lines of different lengths and the corresponding calibration standards for high-frequency measurements, which increases the cost complexity and reduces the measurement efficiency [12].
In addition to the measurement-based de-embedding methods, numerical de-embedding methods, such as the method of moments [13] and finite element method [14], have been employed in recent studies. Also, some studies have used hybrid de-embedding methods that combine simulation and measurement approaches [15]. With the shortening of the product release cycles of electronic devices, de-embedding technology has been required to achieve high precision and provide faster response and more convenient characteristics [16]. To this end, single- and dual-port automatic fixture removal (AFR) methods have been proposed in recent studies. Compared to the SOLT and TRL methods, these advanced methods can significantly simplify the de-embedding process. The dual-port AFR methods extract the fixture’s S-parameters by adopting the path standards [17] and support multi-port networks [18] and asymmetric fixtures [19]. For single-port DUTs, the single-port AFR methods require only one open or short standard to extract the fixture’s S-parameters [20,21], but their accuracy is slightly lower than that of the SOLT and TRL methods.
In 2022, Liu [22] improved the AFR method by introducing a lossless assumption and using the length measurement of a microstrip fixture to obtain the fixture’s phase change and proposed a low-loss reciprocal de-embedding method. The reasonable assumption was that the PCB fixture’s loss was minimal, and a de-embedding method based on the magnitude-symmetric formula was developed. The simulation and measurement results showed that this method could achieve high accuracy and feasibility, thus helping to reduce the measurement cost and decrease the testing time.
Due to the change in the equivalent dielectric constant of a microstrip line at high frequencies, using the microstrip fixture’s length to determine the fixture’s phase change can reduce the de-embedding steps, but it can also introduce additional errors. To address this problem, this study improves the abovementioned low-loss reciprocal de-embedding method proposed by Liu [22]. First, by transforming the magnitude-symmetric formula of a lossless reciprocal network, an enhanced phase delay formula is derived, which can directly calculate the phase without additional measurement of a microstrip fixture’s length. Simulation results verify the accuracy of the derived phase delay formula, and it has been proven that this formula is applicable to lossy networks. The proposed method can be extended to other microwave RF systems and applications, providing new ideas for analyzing the transmission characteristics of RF signals and developing the corresponding methods. Compared to the original method [22], the proposed method is easier to operate and can increase the de-embedding accuracy. The proposed optimized design can effectively meet the dual requirement for fast, convenient operation and high-precision de-embedding in the RF field, offering a more adaptable solution for high-frequency testing scenarios.
The rest of this article is structured as follows. In Section 2, the magnitude-symmetric formula for low-loss PCB fixtures is derived, and the low-loss reciprocal de-embedding method is introduced in detail. In Section 3, the simulation analysis of the original low-loss reciprocal de-embedding method is conducted, and an improved solution is proposed based on the magnitude-symmetric formula to derive a new phase delay formula. In Section 4, the magnitude-symmetric formula and the proposed phase delay formula are verified through simulations, the accuracy of the two methods is compared, and the error analysis is conducted. Finally, Section 5 presents the main conclusions of this study and introduces future research.

2. Low-Loss Reciprocal De-Embedding Method

For single-port devices, it is sufficient to measure the S 11 parameter of a device to obtain its RF characteristics, and only one fixture is required. To this end, this study designed a microstrip line as a device’s fixture. In practical engineering applications, the loss of the microstrip line fixture is small enough. Thus, under normal circumstances, it can be approximated as a reciprocal lossless network. Therefore, the lossless assumption was adopted in this study. The applicability of the lossless assumption will be discussed in the simulation verification section of this study. The S-parameters of a two-port network in a lossless reciprocal network satisfy the following conditions:
S 12 = S 21
S 11 2 + S 21 2 = 1
S 22 2 + S 12 2 = 1
This study assumed that the fixture is a passive reciprocal two-port network. The signal flow diagram of a composite structure connecting the fixture and the DUT is presented in Figure 1.
The reflection coefficient looking from Port 1 toward the DUT is Γ i n , and using Mason’s formula, the relationship between Γ i n and the reflection coefficient Γ D U T looking from Port 2 toward the DUT is defined as follows:
Γ i n = S 11 + S 21 × S 12 × Γ D U T 1 S 22 × Γ D U T
where S 11 and S 22 represent the echo losses at the two ends of the fixture, and S 11 and S 22 denote the transmission losses of the fixture.
For a reciprocal network, it holds that S 21 = S 12 .
When Port 2 is open, Γ L = 1 , and when Port 2 is shorted, Γ L = 1 . By substituting the reflection coefficients of the fixture when Port 2 is either open or shorted into Equation (4), the following expressions can be obtained:
Γ O = S 11 + S 21 2 1 S 22
Γ S = S 11 S 21 2 1 + S 22
where Γ O represents the reflection coefficient at Port 1 when Port 2 is open; Γ S is the reflection coefficient at Port 1 when Port 2 is shorted.
In the original method, using TDR technology and introducing the magnitude-symmetry formula is sufficient to measure either an open or a short circuit once to obtain the four S-parameters of a fixture.

2.1. Time-Domain Reflectometry

Time-domain reflectometry (TDR) is a technique for measuring the signal transmission lines’ characteristics. As shown in Figure 2, the TDR process involves sending a short pulse signal to the transmission line and then observing the time and magnitude of the reflected pulse to obtain information about the transmission line’s length, impedance mismatch, breakpoints and other electrical characteristics. The reflection of energy occurs when the signal encounters impedance discontinuities, and it is used to measure the characteristic impedance of the DUT. The TDR waveform is closely related to the scattering parameters, and the two can even be converted into each other.
For an open-circuit fixture measurement, Equation (5) is first converted into a time-domain TDR waveform using Fourier transformation as follows:
T D R Γ O = T D R S 11 + T D R S 21 2 1 + S 22
where the T D R represents the time-domain T D R waveform calculated using the parameters in parentheses.
The reflection wave path of an ideal open-circuit fixture is displayed in Figure 3. It can be clearly seen that the reflection wave in Equation (7) consists of two parts, of which one is related only to the return loss S 11 , which reflects back to Port 1, and another, the part containing the S 21 2 term, must travel through the fixture and return, thus introducing a time delay of 2 l / v , as shown in Figure 4. In Figure 4, l denotes the fixture’s length, and v is the wave propagation speed in the fixture. Therefore, in the time-domain waveform, the two reflection waves are separated, which allows the time-domain reflection wave of S 11 to be directly sampled. After performing the inverse Fourier transform, the return loss S 11 of the fixture can be obtained.

2.2. Magnitude-Symmetry Formula

A lossless network has unitarity, and its S-parameters can be defined as follows:
S + S = I
where “+” denotes the Hermite operator, which represents the transpose conjugate or conjugate transpose of a matrix.
For a two-port network, Equation (8) can be expressed as follows:
S 11 * S 21 * S 12 * S 22 S 11 S 12 S 21 S 22 = 1 0 0 1
From Equation (9), the following can be obtained:
S 11 2 + S 21 2 = 1 S 11 * S 12 + S 21 * S 22 = 0 S 21 * S 11 + S 22 * S 21 = 0 S 22 2 + S 12 2 = 1
A lossless network also has the property of reciprocity, that is, S 21 = S 12 , so Equation (10) can be rewritten as follows:
S 11 2 + S 21 2 = 1 S 11 2 = S 22 2 S 11 * S 12 S 21 * + S 22 = 0
The above expression can be simplified to the following:
S 11 2 + S 21 2 = 1 S 11 = S 22 S 22 = S 11 * E e j 2 θ 21
Equation (12) indicates that the S 22 parameter of a lossless reciprocal network can be calculated as follows:
S 11 = S 22 θ 22 = θ 11 + 2 θ 21 + π
where θ 11 , θ 22 and θ 21 represent the phases of S 11 , S 22 and S 21 , respectively.
Since the magnitudes of S 11 and S 22 are the same but their phases differ, Equation (13) has been referred to in some studies as magnitude symmetry of a lossless reciprocal network or transmission line. The total phase delay θ 21 from Port 1 to Port 2 can be calculated as follows:
θ 21 = ω l c ε e
where ω is the angular frequency, c is the speed of light, l is the length of a transmission line, and ε e is its equivalent relative dielectric constant.
The abovementioned parameters can be calculated using a transmission line’s dimensions and material properties.
After substituting the calculated value of θ 21 into Equation (13), the phase of S 22 can be obtained. Further, because S 11 has already been obtained by the TDR method, Equation (13) allows calculation of the magnitude of S 22 as S 22 , which yields the complete S 22 . Furthermore, after substituting S 22 and S 11 into Equation (5), the magnitude of S 21 can be calculated. In this way, the three S-parameters of a fixture can be obtained.
However, when there is a loss in a transmission line, Equation (13) becomes invalid, but for low-loss dual-port transmission line fixtures, this formula remains valid. The applicability of the lossless assumption and the magnitude-symmetry formula will be discussed in Section 4.1 of this study. Liu [22] verified the feasibility of his method in his article, and the simulation and experimental results confirmed the superiority of the derived formula and the proposed de-embedding method in terms of accuracy and feasibility. Compared to the SOLT and TRL de-embedding methods, this method can help reduce the measurement cost and save valuable testing time.

3. Improved Low-Loss Reciprocal De-Embedding Method

The characteristics of the equivalent dielectric constant are closely related to the operational frequency. At low frequencies, the electric field distribution is approximately uniform, and the equivalent dielectric constant mainly depends on the material properties of a dielectric substrate and its structural parameters; therefore, it can be approximated as a constant value using static formulas. However, as the frequency increases toward the high-frequency range, the dielectric dispersion effect becomes significantly stronger, causing dynamic changes in the equivalent dielectric constant. Therefore, if static formulas are used to calculate the phase characteristics of a microstrip line at high frequencies (as in Equation (14)), systematic errors will be introduced due to the neglect of frequency dependence.
To verify the above theory, this study constructed a specific microstrip line model for simulation analysis. The parameters were set as follows: the relative dielectric constant of the substrate is 3.66, the conductor line’s width is 2.53 mm, the conductor’s thickness is 0.02 mm, and the dielectric layer’s thickness is 2 mm. The equivalent dielectric constant calculated using the static formula is 2.74072. The delay characteristics of the microstrip line obtained in the simulations are presented in Figure 5.
The comparison results of the directly simulated θ 21 value and the phase delay calculated by the static formula are displayed in Figure 6, where it can be seen that these two values match well in the low-frequency range, but there is a significant phase difference in the high-frequency range. This phenomenon arises from the nonlinear variations in the equivalent dielectric constant value under high-frequency conditions, which indicates the application limitations of traditional static formulas in high-frequency application scenarios.
It should be noted that the dielectric dispersion characteristics of different materials can vary significantly, so the fitting relationship between the equivalent dielectric constant and the frequency requires targeted modeling. Introducing a dynamic correction strategy into Liu’s original method can improve accuracy in the high-frequency domain, in addition to significantly increasing operational complexity; also, the universality of the correction formula might be limited, making it challenging to adapt to multi-material fixture scenarios.
To address the aforementioned challenges, this study proposes an improved optimization method based on the original low-loss reciprocal de-embedding method. In the proposed method, the S 11 parameter of a fixture is still obtained using TDR technology. However, the calculation process of θ 21 abandons the traditional microstrip line length calculation method and instead conducts mathematical transformations based on the lossless assumption.
The specific steps of the proposed method are as follows. First, as in the original method, a fixture is measured in the ideal open-circuit state to obtain Γ O , and S 11 is determined through TDR time-domain sampling.
Next, Equation (5) is transformed into its complex form as follows:
Γ O e j θ O = S 11 e j θ 11 + S 21 2 e j 2 θ 21 1 S 22 e j θ 22
Then, the lossless reciprocal assumption is adopted and Equation (13) is substituted into Equation (15), which yields the following:
e j 2 θ 21 = 1 S 11 2 Γ o e j θ O S 11 e j θ 11 + S 11 e j ( θ 11 + π )
At this point, a new microstrip line phase delay formula is derived, and it can be clearly observed that under the lossless reciprocal assumption, θ 21 is only a function of Γ O and S 11 , so the θ 21 value can be obtained directly from Γ O and S 11 .
It should be noted that a fixture’s loss has a more significant effect on the magnitude than on the phase, which means that the magnitude S 11 2 + S 21 2 = 1 cannot be directly used to calculate the magnitude of parameter S 21 under the lossless assumption because that will introduce significant errors. Fortunately, a fixture’s loss effect on the phase is already included in the calculation formulae of Γ O and S 11 , so the phase angle θ 21 obtained based on the lossless assumption already accounts for the impact of the loss. Thus, the phase errors will not be introduced with the increase in the loss value. Subsequent simulation verification shows that the error in the calculated θ 21 value is extremely small.
Further, the obtained θ 21 value is substituted into Equation (13) to obtain θ 22 , which provides the magnitude and phase of S 22 .
Afterward, the obtained S 11 and S 22 values and the measured open-circuit return loss Γ O value are substituted into Equation (5) to obtain S 21 .
At this point, the four S-parameters of the fixture are obtained. Once the fixture’s scattering parameters are determined, removing the fixture’s influence becomes straightforward. Therefore, Equation (4) can be rewritten as follows:
Γ D U T = Γ i n S 11 S 21 S 12 S 22 S 11 + Γ i n S 22
Finally, the fixture’s S-parameters are substituted into Equation (17) to obtain the reflection coefficient of the DUT, Γ D U T .
Therefore, the proposed method requires only one measurement of a fixture in the open-circuit state, followed by algorithmic computation to obtain the four S-parameters of the fixture. By measuring the reflection coefficient between the fixture and the DUT and using Mason’s formula for separation, the S 11 parameter of the DUT can be obtained. This makes the operational process more convenient and the algorithm more accurate than in the original method.

4. Simulation Verification

To observe the impact of discontinuities in impedance on the de-embedding algo-rithm’s performance, a series of four microstrip lines with inconsistent characteristic impedances were used as a fixture. In the simulation of this study, the fixture was set as a double-layer PCB, with the bottom layer as a ground. The relative dielectric constant was 3.66, and the substrate thickness was 0.5 mm. Four microstrip lines with widths of 2.53, 3.78, 3.12 and 4.02 mm were selected. The fixture is shown in Figure 7.

4.1. Accuracy Verification of Lossless Assumption

This study conducted a simulation verification of the applicability of the lossless assumption. The total length of the microstrip lines was defined as a length variable and set to 30, 50 and 70 mm. The dielectric loss tangent (DF) was regarded as a variable. The simulation circuit diagram is shown in Figure 8.
The percentage error of the lossless assumption was calculated as follows:
e r r o r = 1 N i = 1 N S 11 , i S 22 , i 2 / M a x S 22 , i × 100 %
where subscript i represents the ith frequency point, and N is the total number of frequency points; S 11 and S 22 are the S-parameters of the PCB fixture.
The percentage error was calculated using Equation (18), as shown in Figure 9.
Figure 9 shows the error distribution for different combinations of the DF and microstrip line’s length. The results indicated that as the DF or the microstrip line’s length increased, the percentage error increased significantly. Based on extensive experience in this field, it could be concluded that when the percentage error was less than 12%, the lossless assumption and the magnitude-symmetry formula Equation (13) could be considered valid [22]. It should be noted that most PCB fixtures used in practice can meet this limit, and for PCB fixtures with a common DF value of 0.02, the length is typically required to be as short as possible, so the lossless assumption is generally applicable to these PCB fixtures.

4.2. Verification of Microstrip Line Phase Delay Formula Under High-Loss Conditions

Although Equation (16) was derived under the lossless assumption, in practice, this formula can demonstrate good applicability in high-loss environments and can also be extended to a broader range of phase calculation scenarios. This study conducted a simulation experiment under high-loss conditions, performing the following setups.
The lengths of the fixtures were set for the four microstrip lines with different characteristic impedances in Figure 7 to 11 mm, 12 mm, 13 mm and 14 mm, and set the DF to 0.1. The comparison results of the directly simulated values and those calculated by the improved algorithm are shown in Figure 10.
In practice, the DF of printed circuit boards typically does not reach 0.1, so setting it to 0.1 represents a case with a significant loss. However, as shown in Figure 10, even under the high-loss conditions, the new phase delay formula remained applicable, indicating that this formula could provide valuable insights for phase delay calculations in general microstrip line cases.

4.3. Simulation Verification of Proposed Improved Method

This study designed an equivalent circuit model of a laser diode, which was used as a DUT in the experiment. The DF was set to 0 to observe whether errors exist beyond those caused by loss.
(1)
Determine Γ O : By measuring the fixture in the open-circuit state, Γ O was obtained. The simulation diagram is shown in Figure 11, and the resulting S-parameters are presented in Figure 12.
(2)
Determine S 11 : Using the TDR time-domain sampling algorithm, the measured Γ O was transformed using the Fourier transformation, which was followed by the time-domain truncation process, and then, the inverse Fourier transformation was conducted to obtain S 11 . The resulting S 11 was compared with the directly simulated S 11 , as shown in Figure 13.
In Figure 13, the blue line represents the reflection coefficient obtained by direct simulations, and the red line indicates the reflection coefficient obtained by the TDR time-domain truncation algorithm. The error value depended on the measured frequency band, and the wider the frequency band and the larger the number of frequency points were, the smaller the error was.
(3)
Determine θ 21 : The original method directly calculated the θ 21 value using Equation (14); however, the proposed improved method substituted the obtained Γ O and S 11 values into Equation (16) to obtain θ 21 .
The simulation results of θ 21 obtained by the two methods were compared with the directly simulated values, as shown in Figure 14.
The simulation result comparison of θ 21 obtained by the two methods, namely through the simulations of dielectric dispersion and using the improved phase delay formula, revealed that the original method experienced a phase shift at high frequencies due to the dielectric dispersion effects; this phase shift was unrelated to the dielectric loss. However, the improved method, under ideal lossless conditions, showed a high degree of consistency with the real values. The simulation results demonstrated that the improved method could operate more easily and show a higher degree of agreement with the real values compared to the original method.
(4)
Calculate S 22 : The obtained θ 21 value was substituted into Equation (13) to obtain θ 22 . The results comparison is shown in Figure 15.
(5)
Determine S 21 : Next, the obtained S 22 was substituted into Equation (5) to obtain S 21 . The results comparison is shown in Figure 16.
At this point, the S-parameters of the fixture were all determined.
As shown in Figure 14, Figure 15 and Figure 16, the original method demonstrated high accuracy within the 2 GHz range. However, due to phase shift errors in θ 22 and θ 21 at high frequencies, even in the absence of loss, the original method had significant errors in S 21 at high frequencies. Under ideal lossless conditions, the improved method’s primary error source was time-domain truncation, such as signal truncation or noise interference.
(6)
Measure the reflection coefficient of the fixture + DUT ( Γ i n ): The simulation diagram is shown in Figure 17, and the Γ i n results are presented in Figure 18.
The obtained S-parameters of the fixture were substituted into Equation (17) to compute the DUT’s S-parameters.
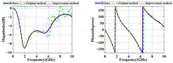
The comparison between the directly simulated S-parameters of the DUT and those obtained by the original and improved methods is shown in Figure 19.
The relative error between the real and calculated S-parameters of the DUT is shown in Figure 20.
As shown in Figure 20, under ideal lossless conditions, the original method demonstrated good de-embedding accuracy at 5 GHz, with a maximum percentage error of approximately 5%. However, as the frequency increased, the frequency-insensitive defect in the equivalent dielectric constant within the static formula became more apparent, causing an increase in the phase delay offset effect and a significant error increase. This error was independent of the dielectric loss and fundamentally originated from the inherent limitations of the original method’s theoretical model. The improved method could effectively handle the high-frequency phase shift by restructuring the phase delay calculation formula. In ideal lossless scenarios, the error mainly originated from the time-domain truncation process for S 11 (e.g., TDR signal truncation or noise interference), and the additional errors introduced by the theoretical derivation could be ignored. This indicated that, in practical applications, the error of the improved method mainly originated from the loss, while other factors contributed negligible errors.
Next, the simulation with a DF value of 0.02 was conducted, and the fixture’s S-parameters are shown in Figure 21; it should be noted that only S 21 and θ 21 parameters are shown in Figure 21 for illustration.
Finally, the resulting DUT S-parameters are displayed in Figure 22.
The calculated percentage error is depicted in Figure 23.
The root mean square error (RMSE) value was calculated as follows:
R M S E = 1 / N i = 1 N S r e f , i S c a l , i 2
As shown in Figure 23, when the DF was 0.02, the DUT’s S-parameters obtained by the improved algorithm still showed an extremely high degree of consistency with the real values. In the 5 GHz range, the maximum percentage errors of the original and improved methods were close to 4%, indicating their similar accuracy in this frequency range. However, as the frequency increased, namely in the range from 5 GHz to 10 GHz, the original method experienced high-frequency phase shifts due to the dielectric dispersion effect. The maximum error of the original method increased to 12%, while the maximum percentage error for the improved method was 8%, showing that the improved method had higher accuracy than the original method. In addition, the RMSE value of the DUT’s S-parameters was calculated for both methods using Equation (19). The RMSE of the original method was −37 dB, and the RMSE of the improved method was −43 dB, which verified the systematic advantages of the improved algorithm.
The FR4 substrates, which are commonly used in engineering, typically have a DF value of 0.02. The improved method could still maintain high accuracy, with an error of up to 8% under the real loss conditions, which indicated its core advantages as follows:
(1)
Phase shift resistance: By modifying the magnitude-symmetry formula, a new phase delay formula was derived, which allowed for effectively suppressing high-frequency errors and avoiding the theoretical limitations of the original method.
(2)
Compatibility: The proposed method was demonstrated to be suitable for designing microstrip line fixtures with standard FR4 substrates without relying on specialized low-loss materials.
(3)
Engineering economy: The proposed method could maintain high accuracy while reducing calibration complexity and testing costs.
A comparison of various de-embedding methods is provided in Table 1.
Theorem-type environments (including propositions, lemmas, corollaries, etc.) can be formatted as follows.
As pointed out in Liu [22], the original low-loss reciprocal de-embedding method includes simpler operational steps and has higher de-embedding accuracy compared to the traditional de-embedding methods. The simulation verification conducted in this study showed that the improved method not only further simplified the operation of the original method but also enhanced its de-embedding accuracy, making the proposed method valuable for practical application.
Based on the simulation verification results, the impedance discontinuities and dielectric loss affected the accuracy of the proposed low-loss reciprocal method. This suggests that when designing a fixture, PCB boards with a lower DF should be selected for microstrip line fixture design. In addition, the fixture should be impedance matched with both the source and load ends, and impedance discontinuities should be minimized to reduce losses caused by reflection, thus improving the accuracy of the improved de-embedding method.

5. Conclusions

This study proposed an improved low-loss reciprocal de-embedding method. By reformulating the magnitude symmetry equations, an innovative S 21 phase delay formula was derived, and an improved method was developed. The proposed method and the derived formula were verified through simulation experiments. The simulation results show that the derived phase delay formula does not rely on the lossless assumption and is applicable to lossy networks and that the proposed de-embedding method has high accuracy and feasibility. Compared to the original method, the improved method not only achieves higher accuracy but also has a simpler operation.
The growing demand for faster, more efficient methods that do not compromise accuracy in the field of modern de-embedding technology makes developing these methods a focal point for future research. The method proposed in this paper not only improves measurement accuracy but also reduces measurement costs and saves valuable testing time. Importantly, the proposed method introduces an innovative perspective to the de-embedding method design. Furthermore, this method can be extended to dual-port and multi-port scenarios, and the newly derived phase delay formula is also applicable in the analysis of lossy de-embedding.

Author Contributions

Conceptualization, Z.S. and Z.W.; methodology, Z.S. and Z.W.; validation, Z.S.; writing—original draft preparation, Z.S.; writing—review and editing, Z.S., Z.W., Y.L., H.Z., J.W. and J.G. All authors have read and agreed to the published version of the manuscript.

Funding

This research was supported in part by the Natural Science Foundation of Guangdong Province (2024A1515012427), the National Nature Science Foundation of China under Grants 62071186, 62371199 and 61771205 and in part by the Guangdong Provincial Key Laboratory under Grant 2020B1212060066.

Data Availability Statement

Data is contained within the article.

Conflicts of Interest

The authors declare no conflicts of interest.

References

  1. Stenarson, J.; Yhland, K. An overview of VNA calibration and uncertainty evaluation techniques. In Proceedings of the German Microwave Conference, Harburg, Germany, 10–12 March 2008. [Google Scholar]
  2. Stumperr, U. Uncertainties of VNA S-parameter measurements applying the TAN self-calibration method. IEEE Trans. Instrum. Meas. 2007, 56, 597–600. [Google Scholar] [CrossRef]
  3. Liu, Y.; Yong, S.; Gao, H.; Hinaga, S.; Padilla, D.; Yanagawa, D.; Drewniak, J.L.; Khilkevich, V. S-Parameter de-embedding error estimation based on the statistical circuit models of fixtures. IEEE Trans. Electromagn. Compat. 2020, 62, 1459–1467. [Google Scholar] [CrossRef]
  4. de Paulis, F.; Piersanti, S.; Wang, Q.; Cho, J.; Erickson, N.; Achkir, B.; Fan, J.; Drewniak, J.; Orlandi, A. TEM-like launch geometries and simplified de-embedding for accurate through silicon via characterization. IEEE Trans. Instrum. Meas. 2017, 66, 792–801. [Google Scholar] [CrossRef]
  5. Scafati, S.; Pellegrino, E.; de Paulis, F.; Olivieri, C.; Drewniak, J.; Orlandi, A. Single step 2-port device de-embedding algorithm for fixture-DUT-fixture network assembly. Electronics 2021, 10, 1275. [Google Scholar] [CrossRef]
  6. Salnikov, A.S.; Dobush, I.M.; Bilevich, D.V.; Popov, A.A.; Kalentyev, A.A.; Goryainov, A.E. A study of connectors and feed lines de-embedding techniquesfor PCB microwave components s parameters measurements up to 50 GHZ. In Proceedings of the Dynamics of Systems, Mechanisms and Machines (Dynamics), Omsk, Russia, 10–12 November 2020; Volume 8, pp. 59–66. [Google Scholar] [CrossRef]
  7. Wu, J.; Qi, Y.; Gong, G.; Fan, J.; Miao, M.; Yu, W.; Ma, J.; Drewniak, J.L. Review of the EMC Aspects of Internet of Things. IEEE Trans. Electromagn. Compat. 2019, 62, 2604–2612. [Google Scholar] [CrossRef]
  8. Jargon, J.; Marks, R.; Rytting, D. Robust SOLT and alternative calibrations for four-sampler vector network analyzers. IEEE Trans. Microw. Theory Tech. 1999, 47, 2008–2013. [Google Scholar] [CrossRef]
  9. Wan, L.; Li, Q.; Wang, Z.; Wu, J. Improved multimode TRL calibration method for characterization of homogeneous differential discontinuities. IEEE Trans. Instrum. Meas. 2014, 64, 694–703. [Google Scholar] [CrossRef]
  10. Zhao, W.; Xiao, J.; Qin, H.-B. Influence of Solt Calibration Standards on Multiport vna S-Parameter Measurements. Prog. Electromagn. Res. 2014, 144, 303–318. [Google Scholar] [CrossRef]
  11. Zhao, W.; Wangr, Y. A reformulation and sensitivity analysis of TRL. IEEE Trans. Instrum. Meas. 2019, 69, 5107–5115. [Google Scholar] [CrossRef]
  12. Ye, L.; Li, C.; Sun, X.; Jin, S.; Chen, B.; Ye, X.; Fan, J. Thru-reflect-line calibration technique: Error analysis for characteristic impedance variations in the line standards. IEEE Trans. Electromagn. Compat. 2016, 59, 779–788. [Google Scholar] [CrossRef]
  13. Massey, J.W.; Hajiaboli, A.; Okhmatovski, V.I. On the reciprocity relation in general multiport microwave circuits and errata to vector-short-open-calibration deembedding. IEEE Trans. Microw. Theory Tech. 2020, 69, 1250–1254. [Google Scholar] [CrossRef]
  14. Li, Y.; Zhur, L. A short–open calibration method for accurate de-embedding of 3-D nonplanar microstrip line structures in finite-element method. IEEE Trans. Microw. Theory Tech. 2017, 66, 1172–1180. [Google Scholar]
  15. Wang, W.; Jin, R.; Bird, T.S.; Liang, X.; Geng, J. De-embedding based on em simulation and measurement: A hybrid method. IEEE Trans. Microw. Theory Tech. 2017, 65, 5019–5034. [Google Scholar] [CrossRef]
  16. Ma, R.; Han, G.; Chen, X.; Zhang, W. Calibrating an arbitrary test fixture for a symmetric device by three measurements. IEEE Trans. Instrum. Meas. 2009, 59, 145–152. [Google Scholar] [CrossRef]
  17. Dunsmore, J.; Cheng, N.; Zhang, Y.-X. Characterizations of asymmetric fixtures with a two-gate approach. In Proceedings of the 2011 77th ARFTG Microwave Measurement Conference (ARFTG), Baltimore, MD, USA, 10 June 2011; pp. 1–6. [Google Scholar]
  18. Chen, B.; He, J.; Guo, Y.; Pan, S.; Ye, X.; Fan, J. Multi-ports (2n) 2×-thru de-embedding: Theory, validation, and mode conversion characterization. IEEE Trans. Electromagn. Compat. 2019, 61, 1261–1270. [Google Scholar]
  19. Yoon, C.; Tsiklauri, M.; Zvonkin, M.; Chen, Q.B.; Razmadze, A.; Aflaki, A.; Kim, J.; Fan, J.; Drewniak, J.L. Design criteria and error sensitivity of time-domain channel characterization (TCC) for asymmetry fixture de-embedding. IEEE Trans. Electromagn. Compat. 2015, 57, 836–846. [Google Scholar] [CrossRef]
  20. Ning, C.; Resso, M.; Wenxue, Z.; Gongxian, J.; Faming, L. Characterization of PCB s-parameters with a new calibration method. In Proceedings of the 2016 Asia-Pacific International Symposium on Electromagnetic Compatibility (APEMC), Shenzhen, China, 17–21 May 2016; pp. 240–242. [Google Scholar]
  21. Chen, Y.; Chen, B.; He, J.; Zai, R.; Fan, J.; Drewniak, J. De-embedding comparisons of 1X-Reflect SFD, 1-port AFR, and 2X-Thru SFD. In Proceedings of the 2018 IEEE International Symposium on Electromagnetic Compatibility and 2018 IEEE Asia-Pacific Symposium on Electromagnetic Compatibility (EMC/APEMC), Suntec City, Singapore, 14–18 May 2018. [Google Scholar]
  22. Liu, B.-W.; Wei, X.-C.; Xv, C.-X. A Hybrid de-embedding method for low loss and reciprocal PCB fixtures. IEEE Trans. Instrum. Meas. 2022, 71, 1003608. [Google Scholar] [CrossRef]
Figure 1. The signal flow diagram of the fixture connected to the DUT.
Figure 1. The signal flow diagram of the fixture connected to the DUT.
Electronics 14 01487 g001
Figure 2. The TDR truncation principle diagram.
Figure 2. The TDR truncation principle diagram.
Electronics 14 01487 g002
Figure 3. The reflection wave path diagram of the fixture in the open-circuit state.
Figure 3. The reflection wave path diagram of the fixture in the open-circuit state.
Electronics 14 01487 g003
Figure 4. The time-domain waveforms: (a) before truncation; (b) after truncation.
Figure 4. The time-domain waveforms: (a) before truncation; (b) after truncation.
Electronics 14 01487 g004
Figure 5. Simulation diagram of the delay microstrip line.
Figure 5. Simulation diagram of the delay microstrip line.
Electronics 14 01487 g005
Figure 6. Comparison results of directly simulated θ 21 and θ 21 calculated using the phase delay formula.
Figure 6. Comparison results of directly simulated θ 21 and θ 21 calculated using the phase delay formula.
Electronics 14 01487 g006
Figure 7. Microstrip line fixture.
Figure 7. Microstrip line fixture.
Electronics 14 01487 g007
Figure 8. The simulation circuit diagram for verifying the accuracy of non-destructive assumption.
Figure 8. The simulation circuit diagram for verifying the accuracy of non-destructive assumption.
Electronics 14 01487 g008
Figure 9. The percentage error curves of the microstrip line.
Figure 9. The percentage error curves of the microstrip line.
Electronics 14 01487 g009
Figure 10. Comparative results of θ 21 when DF = 0.1 obtained by direct simulation and the improved method.
Figure 10. Comparative results of θ 21 when DF = 0.1 obtained by direct simulation and the improved method.
Electronics 14 01487 g010
Figure 11. The simulation circuit diagram of the fixture in the open-circuit state.
Figure 11. The simulation circuit diagram of the fixture in the open-circuit state.
Electronics 14 01487 g011
Figure 12. The S-parameters of the fixture in the open-circuit state.
Figure 12. The S-parameters of the fixture in the open-circuit state.
Electronics 14 01487 g012
Figure 13. The comparison results of S 11 obtained by the time-domain truncation and direct simulation.
Figure 13. The comparison results of S 11 obtained by the time-domain truncation and direct simulation.
Electronics 14 01487 g013
Figure 14. The comparison results of θ 21 obtained by the direct simulation, the original method and the proposed improved method.
Figure 14. The comparison results of θ 21 obtained by the direct simulation, the original method and the proposed improved method.
Electronics 14 01487 g014
Figure 15. The comparison results of θ 22 obtained by the direct simulation, the original method and the improved method.
Figure 15. The comparison results of θ 22 obtained by the direct simulation, the original method and the improved method.
Electronics 14 01487 g015
Figure 16. The comparison results of S 21 obtained by the direct simulation, the original method and the improved method.
Figure 16. The comparison results of S 21 obtained by the direct simulation, the original method and the improved method.
Electronics 14 01487 g016
Figure 17. The measurement diagram of the fixture + DUT.
Figure 17. The measurement diagram of the fixture + DUT.
Electronics 14 01487 g017
Figure 18. The S-parameters of the DUT with the fixture.
Figure 18. The S-parameters of the DUT with the fixture.
Electronics 14 01487 g018
Figure 19. The comparison results of Γ D U T obtained by the direct simulation, the original method and the improved method.
Figure 19. The comparison results of Γ D U T obtained by the direct simulation, the original method and the improved method.
Electronics 14 01487 g019
Figure 20. Comparison of the relative error curves of the de-embedding algorithms used in the two methods.
Figure 20. Comparison of the relative error curves of the de-embedding algorithms used in the two methods.
Electronics 14 01487 g020
Figure 21. The comparison results of S 21 obtained by the direct simulation, the original method and the improved method for DK = 0.02.
Figure 21. The comparison results of S 21 obtained by the direct simulation, the original method and the improved method for DK = 0.02.
Electronics 14 01487 g021
Figure 22. The comparison results of Γ D U T obtained by the direct simulation, the original method and the improved method for DK = 0.02.
Figure 22. The comparison results of Γ D U T obtained by the direct simulation, the original method and the improved method for DK = 0.02.
Electronics 14 01487 g022
Figure 23. The relative error curves of the de-embedding algorithms used in the two methods for DK = 0.02.
Figure 23. The relative error curves of the de-embedding algorithms used in the two methods for DK = 0.02.
Electronics 14 01487 g023
Table 1. Comparison of different de-embedding methods.
Table 1. Comparison of different de-embedding methods.
De-Embedding MethodSOLTTRLAFRLow-Loss
Reciprocal Method
Improved Method
AccuracyExtremely highExtremely high−23 dB [22]−37 dB−43 dB
AdvantagesHigh accuracy; strong universalityAdapts to asymmetric fixtures; impedance independenceEconomical and efficient; convenient and fastSimple operation; higher accuracy than the AFR methodNo need to measure fixture length; high accuracy
DisadvantagesRelies on ideal calibrationHigh cost;
numerous steps
Not suitable for non-ideal open or short circuitsRequires measurement of fixture length; suitable only for low-loss reciprocal fixturesSuitable only for low-loss reciprocal fixtures
Error sourcesCalibration piece irrationalityCalibration piece
design error
TDR truncation; additional errors introduced by non-ideal open or short circuitsTDR truncation; fixture loss;
dielectric dispersion
TDR truncation; fixture loss
Disclaimer/Publisher’s Note: The statements, opinions and data contained in all publications are solely those of the individual author(s) and contributor(s) and not of MDPI and/or the editor(s). MDPI and/or the editor(s) disclaim responsibility for any injury to people or property resulting from any ideas, methods, instructions or products referred to in the content.

Share and Cite

MDPI and ACS Style

Shen, Z.; Lai, Y.; Zhao, H.; Wang, J.; Guo, J.; Wei, Z. An Improved De-Embedding Method for Low-Loss Reciprocal Fixtures. Electronics 2025, 14, 1487. https://doi.org/10.3390/electronics14081487

AMA Style

Shen Z, Lai Y, Zhao H, Wang J, Guo J, Wei Z. An Improved De-Embedding Method for Low-Loss Reciprocal Fixtures. Electronics. 2025; 14(8):1487. https://doi.org/10.3390/electronics14081487

Chicago/Turabian Style

Shen, Zongyao, Yuanfan Lai, Haoyun Zhao, Jindong Wang, Jianping Guo, and Zhengjun Wei. 2025. "An Improved De-Embedding Method for Low-Loss Reciprocal Fixtures" Electronics 14, no. 8: 1487. https://doi.org/10.3390/electronics14081487

APA Style

Shen, Z., Lai, Y., Zhao, H., Wang, J., Guo, J., & Wei, Z. (2025). An Improved De-Embedding Method for Low-Loss Reciprocal Fixtures. Electronics, 14(8), 1487. https://doi.org/10.3390/electronics14081487

Note that from the first issue of 2016, this journal uses article numbers instead of page numbers. See further details here.

Article Metrics

Back to TopTop