Harmonic Interference Resilient Backscatter Communication with Adaptive Pulse-Width Frequency Shifting
Abstract
1. Introduction
- Mitigating harmonic interference during frequency shifting. During the dense deployment of frequency-shifting tags, the various harmonic components generated by frequency shifting can interfere with the normal communication processes between readers and tags operating in different frequency bands in other areas, as illustrated in Figure 1. Therefore, our backscatter system should be capable of reducing harmonic interference during frequency shifting.
- Enhancing the system’s compatibility with a common communication protocol. The communication processes of the numerous devices in a backscatter network require stringent adherence to standard protocol to ensure the quality of communication. Consequently, this requires our backscatter communication system to be compatible with a common protocol while maintaining a lightweight design, thereby making it more suitable for large-scale deployment.
- We design the first harmonic interference resilient backscatter system, which effectively reduces the generation of harmonic interference while performing frequency shifting. This innovation significantly enhances the potential for the practical large-scale deployment of backscatter systems.
- We implement and evaluate the system using off-the-shelf backscatter devices. Our experiments validated the feasibility and compatibility of the harmonic interference resilient backscatter system.
2. Research Methodology
2.1. Adaptive Pulse Width Frequency Shifter
2.2. EPC Encoder
| Algorithm 1: Lightweight coding algorithm. |
| 1: Program initialization. |
| 2: Set fixed time slot intervals T1 and T2. |
| 3: Configure static EPC information (i.e., PC, and EPC). |
| 4: while True: |
| 5: Generate and send RN16. (RN16 = FM0_encode(RN16_bits)) |
| 6: Wait(T2 + Ack command duration + T1). |
| 7: Generate and send PC+EPC+CRC16. (PC+EPC+CRC16 = FM0_encode(PC_EPC_CRC16_bits)) |
| 8: Wait(Query/QueryRep command duration + T1). |
| 9: def FM0_encode(bits): |
| 10: encoded_waveform = [], current_phase = HIGH. |
| 11: for bit in bits: |
| 12: encoded_waveform.append(current_phase). |
| 13: if bit == 0: current_phase = not current_phase. |
| 14: encoded_waveform.append(current_phase). |
| 15: current_phase = not current_phase. |
| 16: return encoded_waveform. |
3. Implementation
4. Evaluation
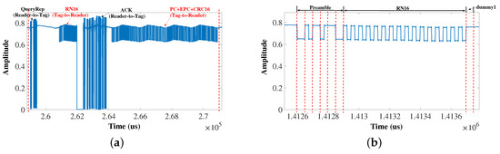
4.1. Frequency Shifting Effect Testing
4.2. Testing of Harmonic Interference Suppression Effects
5. Related Work
6. Discussion
6.1. Single-Sideband Backscatter
6.2. Low Power Consumption
6.3. Backscatter Structure
6.4. Machine Learning-Based
7. Conclusions
Author Contributions
Funding
Data Availability Statement
Conflicts of Interest
References
- Wang, P.H.P.; Zhang, C.; Yang, H.; Dunna, M.; Bharadia, D.; Mercier, P.P. A low-power backscatter modulation system communicating across tens of meters with standards-compliant Wi-Fi transceivers. IEEE J. Solid-State Circuits 2020, 55, 2959–2969. [Google Scholar] [CrossRef]
- Ma, W.; Wang, W.; Jiang, T. Joint energy harvest and information transfer for energy beamforming in backscatter multiuser networks. IEEE Trans. Commun. 2020, 69, 1317–1328. [Google Scholar] [CrossRef]
- Dong, H.; Xie, Y.; Zhang, X.; Wang, W.; Zhang, X.; He, J. Gpsmirror: Expanding accurate gps positioning to shadowed and indoor regions with backscatter. In Proceedings of the 29th Annual International Conference on Mobile Computing and Networking, Madrid, Spain, 2–6 October 2023; pp. 1–15. [Google Scholar]
- Dong, H.; Wu, Y.; Li, F.; Kuang, W.; He, Y.; Zhang, Q.; Wang, W. PassiveBLE: Towards Fully Commodity-Compatible BLE Backscatter. In Proceedings of the 31th Annual International Conference on Mobile Computing and Networking, Hong Kong, China, 4–8 November 2025; pp. 1000–1014. [Google Scholar]
- Ge, L.; Du, T.; Li, C.; Li, Y.; Yan, J.; Rafiq, M.U. Virtual collection for distributed photovoltaic data: Challenges, methodologies, and applications. Energies 2022, 15, 8783. [Google Scholar] [CrossRef]
- Zhang, P.; Rostami, M.; Hu, P.; Ganesan, D. Enabling practical backscatter communication for on-body sensors. In Proceedings of the 2016 ACM SIGCOMM Conference, Florianópolis, Brazil, 22–26 August 2016; pp. 370–383. [Google Scholar]
- Li, D. Capacity of backscatter communication with frequency shift in Rician fading channels. IEEE Wirel. Commun. Lett. 2019, 8, 1639–1643. [Google Scholar] [CrossRef]
- Vougioukas, G.; Bletsas, A. Switching frequency techniques for universal ambient backscatter networking. IEEE J. Sel. Areas Commun. 2018, 37, 464–477. [Google Scholar] [CrossRef]
- Zhang, P.; Bharadia, D.; Joshi, K.; Katti, S. Hitchhike: Practical backscatter using commodity wifi. In Proceedings of the 14th ACM Conference on Embedded Network Sensor Systems CD-ROM, Stanford, CA, USA, 14–16 November 2016; pp. 259–271. [Google Scholar]
- Ding, Y.; Lihakanga, R.; Correia, R.; Goussetis, G.; Carvalho, N.B. Harmonic suppression in frequency shifted backscatter communications. IEEE Open J. Commun. Soc. 2020, 1, 990–999. [Google Scholar] [CrossRef]
- Talla, V.; Hessar, M.; Kellogg, B.; Najafi, A.; Smith, J.R.; Gollakota, S. Lora backscatter: Enabling the vision of ubiquitous connectivity. Proc. ACM Interact. Mob. Wearable Ubiquitous Technol. 2017, 1, 105. [Google Scholar] [CrossRef]
- EPC Radio-Frequency Identity Protocols, Class-1 Generation-2 UHF RFID Protocol for Communications at 860 MHZ–960 MHZ; Version 2.0.1; EPC Global: Wynantskill, NY, USA, 2015.
- Kargas, N.; Mavromatis, F.; Bletsas, A. Fully-coherent reader with commodity SDR for Gen2 FM0 and computational RFID. IEEE Wirel. Commun. Lett. 2015, 4, 617–620. [Google Scholar] [CrossRef]
- Mao, C.X.; Gao, S.; Wang, Y.; Sanz-Izquierdo, B.; Wang, Z.; Qin, F.; Chu, Q.X.; Li, J.; Wei, G.; Xu, J. Dual-band patch antenna with filtering performance and harmonic suppression. IEEE Trans. Antennas Propag. 2016, 64, 4074–4077. [Google Scholar] [CrossRef]
- Zhang, Y.M.; Zhang, S.; Yang, G.; Pedersen, G.F. A wideband filtering antenna array with harmonic suppression. IEEE Trans. Microw. Theory Tech. 2020, 68, 4327–4339. [Google Scholar] [CrossRef]
- Iyer, V.; Talla, V.; Kellogg, B.; Gollakota, S.; Smith, J. Inter-technology backscatter: Towards internet connectivity for implanted devices. In Proceedings of the 2016 ACM SIGCOMM Conference, Florianópolis, Brazil, 22–26 August 2016; pp. 356–369. [Google Scholar]
- Vougioukas, G.; Dimitriou, A.; Bletsas, A.; Sahalos, J. Practical energy harvesting for batteryless ambient backscatter sensors. Electronics 2018, 7, 95. [Google Scholar] [CrossRef]
- Varshney, A.; Soleiman, A.; Voigt, T. Tunnelscatter: Low power communication for sensor tags using tunnel diodes. In Proceedings of the 25th Annual International Conference on Mobile Computing and Networking, Los Cabos, Mexico, 21–25 October 2019; pp. 1–17. [Google Scholar]
- Dong, H.; Yang, L.; Yang, L.; Luo, Z.; Li, C.; Zhang, X.; Wang, W. A Unified Tunnel-diode Based Low Power Signal Waveform Transform Hardware for RF Computing. In Proceedings of the First International Workshop on Radio Frequency (RF) Computing, Hangzhou, China, 4–7 November 2024; pp. 36–37. [Google Scholar]
- Vashishtha, G.; Chauhan, S.; Sehri, M.; Hebda-Sobkowicz, J.; Zimroz, R.; Dumond, P.; Kumar, R. Advancing machine fault diagnosis: A detailed examination of convolutional neural networks. Meas. Sci. Technol. 2024, 36, 022001. [Google Scholar] [CrossRef]
- Vashishtha, G.; Chauhan, S.; Sehri, M.; Zimroz, R.; Dumond, P.; Kumar, R.; Gupta, M.K. A roadmap to fault diagnosis of industrial machines via machine learning: A brief review. Measurement 2024, 2024, 116216. [Google Scholar] [CrossRef]













Disclaimer/Publisher’s Note: The statements, opinions and data contained in all publications are solely those of the individual author(s) and contributor(s) and not of MDPI and/or the editor(s). MDPI and/or the editor(s) disclaim responsibility for any injury to people or property resulting from any ideas, methods, instructions or products referred to in the content. |
© 2025 by the authors. Licensee MDPI, Basel, Switzerland. This article is an open access article distributed under the terms and conditions of the Creative Commons Attribution (CC BY) license (https://creativecommons.org/licenses/by/4.0/).
Share and Cite
Liu, X.; Dong, W.; Yan, B.; He, X.; Peng, L.; Chen, X.; Chen, D.; Wang, W. Harmonic Interference Resilient Backscatter Communication with Adaptive Pulse-Width Frequency Shifting. Electronics 2025, 14, 946. https://doi.org/10.3390/electronics14050946
Liu X, Dong W, Yan B, He X, Peng L, Chen X, Chen D, Wang W. Harmonic Interference Resilient Backscatter Communication with Adaptive Pulse-Width Frequency Shifting. Electronics. 2025; 14(5):946. https://doi.org/10.3390/electronics14050946
Chicago/Turabian StyleLiu, Xu, Wu Dong, Binyang Yan, Xiaomeng He, Linyu Peng, Xin Chen, Da Chen, and Wei Wang. 2025. "Harmonic Interference Resilient Backscatter Communication with Adaptive Pulse-Width Frequency Shifting" Electronics 14, no. 5: 946. https://doi.org/10.3390/electronics14050946
APA StyleLiu, X., Dong, W., Yan, B., He, X., Peng, L., Chen, X., Chen, D., & Wang, W. (2025). Harmonic Interference Resilient Backscatter Communication with Adaptive Pulse-Width Frequency Shifting. Electronics, 14(5), 946. https://doi.org/10.3390/electronics14050946

