A Frequency-Domain Estimation Scheme for Frequency Offset with Large Range in OFDM Systems
Abstract
1. Introduction
- The estimation range of the proposed scheme covers times of the SCS—independent of the symbol gap between the two pilot OFDM symbols—compared to conventional frequency-domain methods. Thus, the proposed scheme enables large frequency offset estimation with the pilot OFDM symbols sparsely inserted in the radio frame.
- We analyze the modulus of frequency-domain compensation coefficients and provide a low-complexity implementation for the proposed scheme by simplifying the calculation of the frequency-domain compensation coefficient vector.
- The effectiveness of the proposed scheme in both single-user and multi-user scenarios is shown by the simulation results based on 5G NR PUSCH, where various Doppler shifts and numbers of configured resource blocks (RB) are considered. The simulation results also show the advantages of the proposed frequency-domain method over the conventional time-domain method, since the former was less affected by the noise of the non-pilot subcarriers.
2. System Description
2.1. The OFDM System Model
2.2. Conventional Frequency Offset Estimation Methods
2.2.1. IFO Estimation Method
2.2.2. FFO Estimation Method
3. Proposed Frequency Offset Estimation Scheme
3.1. Proposed Estimation Scheme
| Algorithm 1 The proposed frequency offset estimation scheme |
|
3.2. The Low-Complexity Implementation of the Proposed Scheme
4. Simulation Systems and Results
4.1. The Frame Structure of 5G NR
4.2. Simulation Results
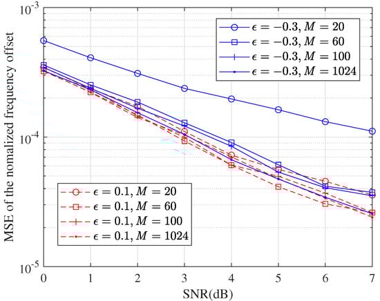
4.2.1. The MSE Performance with Different Doppler Shifts and M
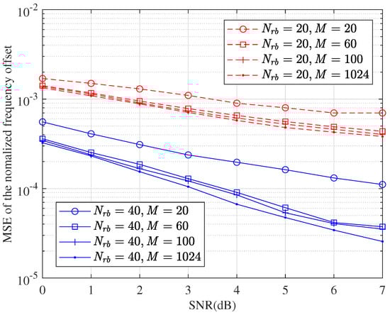
4.2.2. The MSE Performance with Different Numbers of Configured RBs
4.2.3. The MSE Performance of Algorithm 1 Combined with the IFO Estimation
4.2.4. The MSE and Complexity Performance of Proposed Algorithm 1 and the Conventional Time-Domain Estimation
4.2.5. The MSE Performance of Algorithm 1 in a Multi-User Scenario
5. Conclusions
Author Contributions
Funding
Data Availability Statement
Conflicts of Interest
References
- NR. TS 38.211 V18.2.0 (2024-03); Physical Channels and Modulation (Release 18). 3rd Generation Partnership Project. Technical Specification Group Radio Access Network: Valbonne, France, 2024.
- TR 38.821 V16.2.0 (2023-03); Solutions for NR to Support Non-Terrestrial Networks (NTN) (Release 16). 3rd Generation Partnership Project. Technical Specification Group Radio Access Network: Valbonne, France, 2023.
- Singh, S.; Kumar, S.; Majhi, S.; Satija, U.; Yuen, C. Blind carrier frequency offset estimation techniques for next-generation multicarrier communication systems: Challenges, comparative analysis, and future prospects. IEEE Commun. Surv. Tutor. 2024, 27, 1–36. [Google Scholar] [CrossRef]
- Schmidl, T.M.; Cox, D.C. Robust frequency and timing synchronization for OFDM. IEEE Trans. Commun. 1997, 45, 1613–1621. [Google Scholar] [CrossRef]
- Morelli, M.; Mengali, U. An improved frequency offset estimator for OFDM applications. IEEE Commun. Lett. 1999, 3, 75–77. [Google Scholar] [CrossRef]
- Yan, C.; Li, S.; Tang, Y.; Luo, X.; Fang, J. A novel frequency offset estimation method for OFDM systems with large estimation range. IEEE Trans. Broadcast. 2006, 52, 58–61. [Google Scholar] [CrossRef]
- You, Y.H.; Song, H.K. Efficient sequential detection of carrier frequency offset and primary synchronization signal for 5G NR systems. IEEE Trans. Veh. Technol. 2020, 69, 9212–9216. [Google Scholar] [CrossRef]
- Inoue, D.; Ota, K.; Sawahashi, M.; Nagata, S. Physical cell ID detection using joint estimation of frequency offset and SSS sequence for NR initial access. IEICE Trans. Commun. 2021, E104-B, 1120–1128. [Google Scholar] [CrossRef]
- Moose, P.H. A technique for orthogonal frequency division multiplexing frequency offset correction. IEEE Trans. Commun. 1994, 42, 2908–2914. [Google Scholar] [CrossRef]
- Van de Beek, J.J.; Sandell, M.; Borjesson, P.O. ML estimation of time and frequency offset in OFDM systems. IEEE Trans. Signal Process. 1997, 45, 1800–1805. [Google Scholar] [CrossRef]
- Jung, Y.A.; Byun, S.B.; Shin, H.J.; Han, D.C.; Cho, S.H.; Lee, S.H. Frequency and symbol timing offset estimation method for CP-OFDM based system. In Proceedings of the 2021 International Conference on Information and Communication Technology Convergence (ICTC), Jeju Island, Republic of Korea, 20–22 October 2021. [Google Scholar]
- Tadavarty, S.; Chavali, N.K. Estimation and compensation of doppler in 5G NR based Non-Terrestrial Networks. In Proceedings of the 2022 IEEE International Conference on Advanced Networks and Telecommunications Systems (ANTS), Gandhinagar, India, 18–21 December 2022. [Google Scholar]
- Patel, V.; Warhade, K. A neural network based integer frequency offset estimation and PSS detection in 5G NR systems. Int. J. Intell. Eng. Syst. 2021, 14, 142–153. [Google Scholar] [CrossRef]
- Liu, J.; Mei, K.; Zhang, X.; McLernon, D.; Ma, D.; Wei, J.; Zaidi, S.A.R. Fine timing and frequency synchronization for MIMO-OFDM: An extreme learning approach. IEEE Trans. Cogn. Commun. Netw. 2022, 8, 720–732. [Google Scholar] [CrossRef]
- Chaudhari, M.S.; Majhi, S.; Jain, S. CNN-attention-DNN design for CFO estimation of non-pilot-assisted OFDM system. IEEE Commun. Lett. 2022, 27, 551–555. [Google Scholar] [CrossRef]
- Hussien, M.; Abdelmoaty, A.; Elsaadany, M.; Ahmed, M.F.A.; Gagnon, G.; Nguyen, K.K. Carrier frequency offset estimation in 5G NR: Introducing gradient boosting machines. IEEE Access 2023, 11, 34128–34137. [Google Scholar] [CrossRef]
- Chen, Z.; Liu, Z.; Geng, X.; Zhao, Y.; Wu, H. Attention guided multi-task network for joint CFO and channel estimation in OFDM systems. IEEE Trans. Wirel. Commun. 2023, 23, 321–333. [Google Scholar] [CrossRef]
- Feng, Y.; Zhou, K.; Han, H.; Lu, W.; Tang, J.; Zhao, N.; Nallanathan, A. Deep learning based CFO estimation for multi-user massive MIMO with one-bit ADCs. IEEE Wirel. Commun. Lett. 2024, 13, 1364–1368. [Google Scholar] [CrossRef]
- Chen, J.; Wu, Y.C.; Ma, S.; Ng, T.S. Joint CFO and channel estimation for multiuser MIMO-OFDM systems with optimal training sequences. IEEE Trans. Signal Process. 2008, 56, 4008–4019. [Google Scholar] [CrossRef]
- Ciblat, P.; Bianchi, P.; Ghogho, M. Training sequence optimization for joint channel and frequency offset estimation. IEEE Trans. Signal Process. 2008, 56, 3424–3436. [Google Scholar] [CrossRef]
- Gul, M.M.U.; Ma, X.; Lee, S. Timing and frequency synchronization for OFDM downlink transmissions using Zadoff-Chu sequences. IEEE Trans. Wirel. Commun. 2015, 14, 1716–1729. [Google Scholar] [CrossRef]
- Li, Z.; Tong, J.; Ma, Y.; Li, X.; Yang, D.; Lei, Y. Timing and Frequency Synchronization Using ZCZ Sequences for Multi-Cell OFDM Systems. In Proceedings of the 2017 3rd IEEE International Conference on Computer and Communications (ICCC), Chengdu, China, 13–16 December 2017. [Google Scholar]
- Heckbert, P. Fourier transforms and the fast fourier transform (FFT) algorithm. Comput. Graph. 1995, 2, 15–463. [Google Scholar]
- TR 38.801 V14.0.0 (2017-03); Study on New Radio Access Technology: Radio Access Architecture and Interfaces (Release 14). 3rd Generation Partnership Project. Technical Specification Group Radio Access Network: Valbonne, France, 2017.
- TS 38.104 V18.5.0 (2024-03); Base Station (BS) Radio Transmission and Reception (Release 18). 3rd Generation Partnership Project. Technical Specification Group Radio Access Network: Valbonne, France, 2024.









| Notation | Dimension | Definition |
|---|---|---|
| The phase offset between the channels of two pilot symbols. | ||
| The normalized frequency offset. | ||
| The normalized integer frequency offset. | ||
| The normalized fractional frequency offset. | ||
| The maximum normalized frequency offset in the system. | ||
| The estimated candidate normalized frequency offset. | ||
| The final estimated normalized frequency offset. | ||
| The SCS of the OFDM system. | ||
| The frequency-domain channel of the k-th subcarrier of the pilot OFDM symbol 0. | ||
| The frequency-domain channel of the k-th subcarrier of the pilot OFDM symbol 1. | ||
| , , . | ||
| m | The number of OFDM symbols between the pilot OFDM symbol 0 and symbol 1. | |
| M | The number of non-zero elements in the simplified compensation coefficients . | |
| N | The number of FFT points for an OFDM symbol. | |
| The number of elements in the pilot-subcarrier index set . | ||
| The number of configured RBs in the NR PUSCH. | ||
| The pilot-subcarrier index set. | ||
| The transmitted time-domain vector. | ||
| The transmitted frequency-domain vector. | ||
| The transmitted symbol on the k-th subcarrier of pilot OFDM symbol 0, and . | ||
| The transmitted symbol on the k-th subcarrier of pilot OFDM symbol 1, and . | ||
| The received time-domain vector. | ||
| The received frequency-domain vector. | ||
| The received symbol on the k-th subcarrier of pilot OFDM symbol 0, and . | ||
| The received symbol on the k-th subcarrier of pilot OFDM symbol 1, and . | ||
| The compensated pilot sequence with the estimated candidate normalized frequency offset . | ||
| The time-domain compensation coefficient vector, calculated with . | ||
| The frequency-domain compensation coefficient vector, calculated with . | ||
| The simplified frequency-domain compensation coefficient vector | ||
| – | denotes the integer x modulo N. | |
| – | denotes the phase of the complex x. | |
| – | denotes the upper integer of x. | |
| – | denotes the lower integer of x. | |
| – | denotes the conjugation of the complex x. |
| Calculation Items | Complex-Multiplex Operation Numbers |
|---|---|
| Calculate and | |
| Calculate | |
| Frequency offset compensation for two pilot sequence | |
| Calculate the correlation value with two pilot sequence | |
| Total number |
| Algorithm 1 | 132,120 | 132,120 | 198,180 | 198,180 | 264,240 | 264,240 |
| The time-domain method | 512 | 512 | 512 | 512 | 512 | 512 |
Disclaimer/Publisher’s Note: The statements, opinions and data contained in all publications are solely those of the individual author(s) and contributor(s) and not of MDPI and/or the editor(s). MDPI and/or the editor(s) disclaim responsibility for any injury to people or property resulting from any ideas, methods, instructions or products referred to in the content. |
© 2025 by the authors. Licensee MDPI, Basel, Switzerland. This article is an open access article distributed under the terms and conditions of the Creative Commons Attribution (CC BY) license (https://creativecommons.org/licenses/by/4.0/).
Share and Cite
Wang, T.; Kong, D.; Jiang, H.; Chen, H. A Frequency-Domain Estimation Scheme for Frequency Offset with Large Range in OFDM Systems. Electronics 2025, 14, 859. https://doi.org/10.3390/electronics14050859
Wang T, Kong D, Jiang H, Chen H. A Frequency-Domain Estimation Scheme for Frequency Offset with Large Range in OFDM Systems. Electronics. 2025; 14(5):859. https://doi.org/10.3390/electronics14050859
Chicago/Turabian StyleWang, Tao, Dejin Kong, Hao Jiang, and Hongming Chen. 2025. "A Frequency-Domain Estimation Scheme for Frequency Offset with Large Range in OFDM Systems" Electronics 14, no. 5: 859. https://doi.org/10.3390/electronics14050859
APA StyleWang, T., Kong, D., Jiang, H., & Chen, H. (2025). A Frequency-Domain Estimation Scheme for Frequency Offset with Large Range in OFDM Systems. Electronics, 14(5), 859. https://doi.org/10.3390/electronics14050859

