Development of New Generation Portable Camera-Aided Surgical Simulator for Cognitive Training in Laparoscopic Cholecystectomy
Abstract
1. Introduction
2. Materials and Methods
2.1. Design Requirement
- Portability: The system must be compact, with dimensions not exceeding [33] and a weight under 4 pounds, enabling effortless transportation. It should fit within a carry-on bag or small case to ensure deployment in various settings, including rural areas where access to dedicated training facilities may be constrained.
- Realism and Accuracy: The simulator must provide precise surgical instrument tracking, maintaining a spatial accuracy of less than 5 mm in critical operational areas. This level of fidelity is essential for ensuring that trainees develop confidence and proficiency in performing complex procedures, such as laparoscopic cholecystectomy (LC).
- Real-Time Performance: The data processing pipeline, including marker detection and 3D position estimation, must support a refresh rate of at least 10 frames per second (FPS), enabling smooth and responsive interaction with the VR simulation environment.
2.2. Portable Laparoscopic Training System Design
- The smartphones are fixed at the designed positions of the proposed portable system (Figure 2). The cameras are located at the centers of the windows located on the box designed for the cameras. Smartphones do not change positions during usage.
- All smartphones and their cameras have the same parameters, same performance, and same settings. There is no need for repeat calibration for each camera.


2.3. Image Segmentation
2.4. Single Camera Calibration
2.5. Triangulation
2.6. Camera Layout Assessment
3. Results
3.1. Camera Layout Optimization
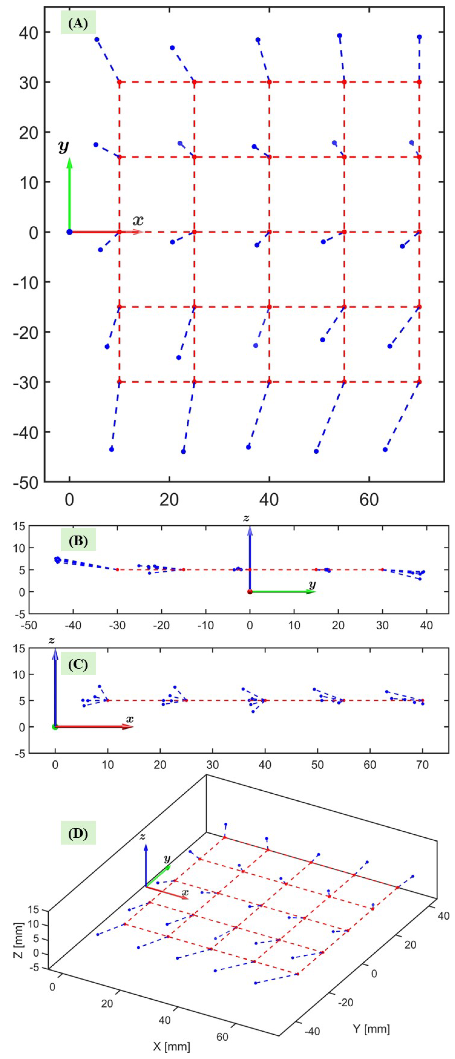
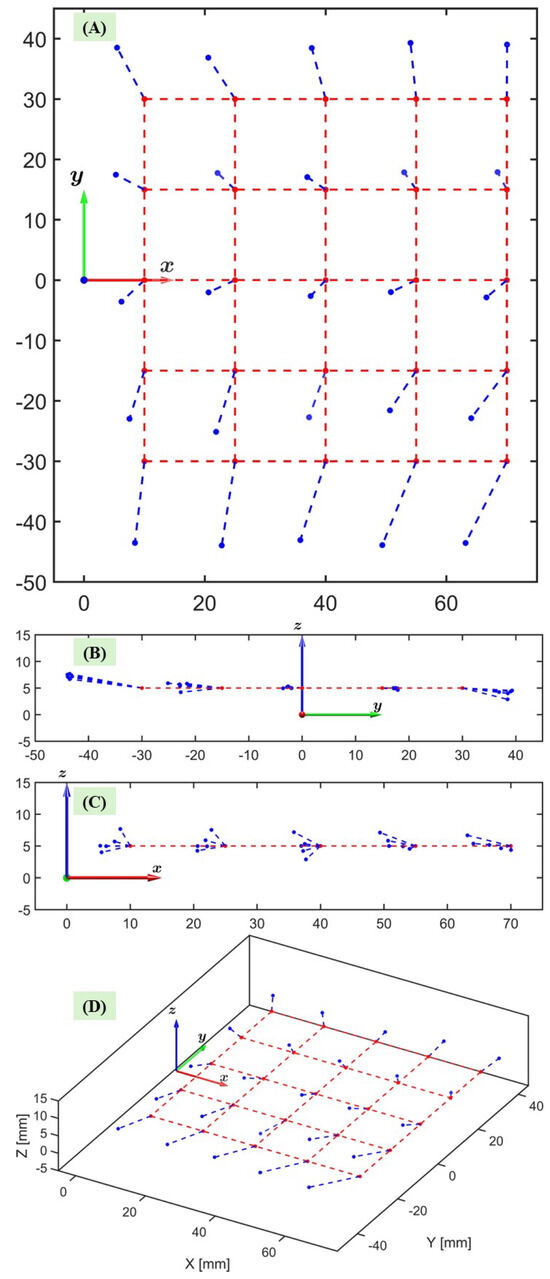
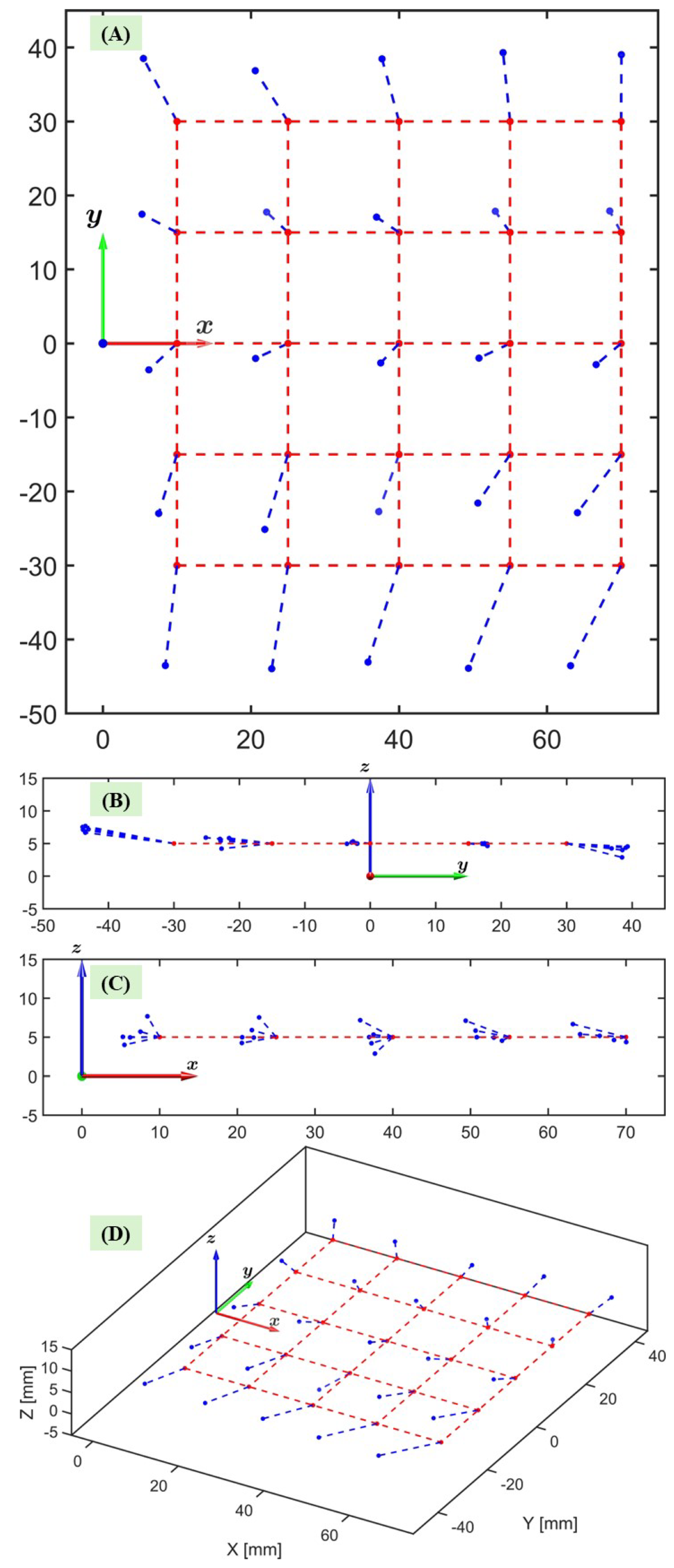
3.2. Whole-System Accuracy Test
3.3. Simulation in iMSTK
4. Discussion
5. Conclusions
Author Contributions
Funding
Institutional Review Board Statement
Informed Consent Statement
Data Availability Statement
Acknowledgments
Conflicts of Interest
Correction Statement
References
- Kneebone, R. Simulation in surgical training: Educational issues and practical implications. Med. Educ. 2003, 37, 267–277. [Google Scholar] [CrossRef] [PubMed]
- Gurusamy, K.S.; Aggarwal, R.; Palanivelu, L.; Davidson, B.R. Virtual reality training for surgical trainees in laparoscopic surgery. Cochrane Database Syst. Rev. 2013, 2013, CD006575. [Google Scholar] [CrossRef]
- Suresh, D.; Aydin, A.; James, S.; Ahmed, K.; Dasgupta, P. The role of augmented reality in surgical training: A systematic review. Surg. Innov. 2023, 30, 366–382. [Google Scholar] [CrossRef] [PubMed]
- Motola, I.; Devine, L.A.; Chung, H.S.; Sullivan, J.E.; Issenberg, S.B. Simulation in healthcare education: A best evidence practical guide. AMEE Guide No. 82. Med. Teach. 2013, 35, e1511–e1530. [Google Scholar] [CrossRef]
- Lefor, A.K. Robotic and laparoscopic surgery of the pancreas: An historical review. BMC Biomed. Eng. 2019, 1, 2. [Google Scholar] [CrossRef]
- Lefor, A.K.; Harada, K.; Kawahira, H.; Mitsuishi, M. The effect of simulator fidelity on procedure skill training: A literature review. Int. J. Med Educ. 2020, 11, 97. [Google Scholar] [CrossRef]
- Torricelli, F.C.; Barbosa, J.A.B.; Marchini, G.S. Impact of laparoscopic surgery training laboratory on surgeon’s performance. World J. Gastrointest. Surg. 2016, 8, 735. [Google Scholar] [CrossRef]
- Palter, V.N.; Grantcharov, T.P. Simulation in surgical education. Can. Med. Assoc. J. 2010, 182, 1191–1196. [Google Scholar] [CrossRef]
- De Loose, J.; Weyers, S. A laparoscopic training model for surgical trainees. Gynecol. Surg. 2017, 14, 24. [Google Scholar] [CrossRef]
- Kroton-Medical Technology. Kroton Training Modules-Laparoscopic. 2024. Available online: https://kroton.info/en/27-laparoscopic (accessed on 21 December 2024).
- Simulab Corporation. Simulab Products-Laparoscopic Cholecystectomy Model. 2024. Available online: https://simulab.com/products/laparoscopic-cholecystectomy-model (accessed on 21 December 2024).
- Hanisch, M.; Kroeger, E.; Dekiff, M.; Timme, M.; Kleinheinz, J.; Dirksen, D. 3D-printed surgical training model based on real patient situations for dental education. Int. J. Environ. Res. Public Health 2020, 17, 2901. [Google Scholar] [CrossRef]
- Borgstrom, D.C.; Deveney, K.; Hughes, D.; Rossi, I.R.; Rossi, M.B.; Lehman, R.; LeMaster, S.; Puls, M. Rural surgery. Curr. Probl. Surg. 2022, 59, 101173. [Google Scholar] [CrossRef]
- Walker, J.P. Status of the rural surgical workforce. Surg. Clin. 2020, 100, 869–877. [Google Scholar] [CrossRef] [PubMed]
- Li, M.M.; George, J. A systematic review of low-cost laparoscopic simulators. Surg. Endosc. 2017, 31, 38–48. [Google Scholar] [CrossRef] [PubMed]
- Iwata, N.; Fujiwara, M.; Kodera, Y.; Tanaka, C.; Ohashi, N.; Nakayama, G.; Koike, M.; Nakao, A. Construct validity of the LapVR virtual-reality surgical simulator. Surg. Endosc. 2011, 25, 423–428. [Google Scholar] [CrossRef]
- Yoon, R.; Del Junco, M.; Kaplan, A.; Okhunov, Z.; Bucur, P.; Hofmann, M.; Alipanah, R.; McDougall, E.M.; Landman, J. Development of a novel iPad-based laparoscopic trainer and comparison with a standard laparoscopic trainer for basic laparoscopic skills testing. J. Surg. Educ. 2015, 72, 41–46. [Google Scholar] [CrossRef]
- Laubert, T.; Esnaashari, H.; Auerswald, P.; Höfer, A.; Thomaschewski, M.; Bruch, H.P.; Keck, T.; Benecke, C. Conception of the Lübeck Toolbox curriculum for basic minimally invasive surgery skills. Langenbeck’s Arch. Surg. 2018, 403, 271–278. [Google Scholar] [CrossRef]
- Geissler, M.E.; Bereuter, J.P.; Geissler, R.B.; Kowalewski, K.F.; Egen, L.; Haney, C.; Schmidt, S.; Fries, A.; Buck, N.; Weiß, J.; et al. Comparison of laparoscopic performance using low-cost laparoscopy simulators versus state-of-the-art simulators: A multi-center prospective, randomized crossover trial. Surg. Endosc. 2025, 1–10. [Google Scholar] [CrossRef]
- McCluney, A.; Vassiliou, M.; Kaneva, P.; Cao, J.; Stanbridge, D.; Feldman, L.; Fried, G. FLS simulator performance predicts intraoperative laparoscopic skill. Surg. Endosc. 2007, 21, 1991–1995. [Google Scholar] [CrossRef]
- Sellers, T.; Ghannam, M.; Asantey, K.; Klei, J.; Olive, E.; Roach, V. Low-cost laparoscopic skill training for medical students using homemade equipment. MedEdPORTAL 2019, 15, 10810. [Google Scholar] [CrossRef]
- Sloth, S.B.; Jensen, R.D.; Seyer-Hansen, M.; Christensen, M.K.; De Win, G. Remote training in laparoscopy: A randomized trial comparing home-based self-regulated training to centralized instructor-regulated training. Surg. Endosc. 2021, 36, 1444–1455. [Google Scholar] [CrossRef]
- Soriero, D.; Atzori, G.; Barra, F.; Pertile, D.; Massobrio, A.; Conti, L.; Gusmini, D.; Epis, L.; Gallo, M.; Banchini, F.; et al. Development and validation of a homemade, low-cost laparoscopic simulator for resident surgeons (LABOT). Int. J. Environ. Res. Public Health 2020, 17, 323. [Google Scholar] [CrossRef] [PubMed]
- Lubet, A.; Renaux-Petel, M.; Marret, J.B.; Rod, J.; Sibert, L.; Delbreilh, L.; Liard, A. Multi-center evaluation of the first, low-cost, open source and totally 3D-printed pediatric laparoscopic trainer. Heliyon 2024, 10, e40550. [Google Scholar] [CrossRef]
- Shahrezaei, A.; Sohani, M.; Taherkhani, S.; Zarghami, S.Y. The impact of surgical simulation and training technologies on general surgery education. BMC Med. Educ. 2024, 24, 1297. [Google Scholar] [CrossRef] [PubMed]
- Bökkerink, G.M.; Joosten, M.; Leijte, E.; Verhoeven, B.H.; de Blaauw, I.; Botden, S.M. Take-home laparoscopy simulators in pediatric surgery: Is more expensive better? J. Laparoendosc. Adv. Surg. Tech. 2021, 31, 117–123. [Google Scholar] [CrossRef] [PubMed]
- Strasberg, S.M.; Sanabria, J.R.; Clavien, P.A. Complications of laparoscopic cholecystectomy. Can. J. Surg. J. Can. Chir. 1992, 35, 275–280. [Google Scholar]
- Pucher, P.H.; Brunt, L.M.; Fanelli, R.D.; Asbun, H.J.; Aggarwal, R. SAGES expert Delphi consensus: Critical factors for safe surgical practice in laparoscopic cholecystectomy. Surg. Endosc. 2015, 29, 3074–3085. [Google Scholar] [CrossRef]
- SAGES. The SAGES Critical View of Safety Challenge. 2024. Available online: https://www.sages.org/the-sages-cvs-challenge/ (accessed on 30 December 2024).
- Nelson, V.; Ang, H.W.; Thengvall, S.; Nelson, C.A.; Li, H.; Suh, I.; Siu, K.C. Improved Portable Instrument Tracking System for Surgical Training. In Proceedings of the 2024 Design of Medical Devices Conference. American Society of Mechanical Engineers, Minneapolis, MN, USA, 8–10 April 2024; Volume 87752, p. V001T06A006. [Google Scholar]
- Zahiri, M.; Booton, R.; Nelson, C.A.; Oleynikov, D.; Siu, K.C. Virtual reality training system for anytime/anywhere acquisition of surgical skills: A pilot study. Mil. Med. 2018, 183, 86–91. [Google Scholar] [CrossRef]
- Zahiri, M.; Booton, R.; Siu, K.C.; Nelson, C.A. Design and evaluation of a portable laparoscopic training system using virtual reality. J. Med. Devices 2017, 11, 011002. [Google Scholar] [CrossRef]
- U.S. News & World Report. Carry-On Luggage Size and Weight Limits by Airline. 2024. Available online: https://travel.usnews.com/features/carry-on-luggage-sizes-size-restrictions-by-airline (accessed on 30 December 2024).
- Scaramuzza, D.; Martinelli, A.; Siegwart, R. A toolbox for easily calibrating omnidirectional cameras. In Proceedings of the 2006 IEEE/RSJ International Conference on Intelligent Robots and Systems, Beijing, China, 9–13 October 2006; pp. 5695–5701. [Google Scholar]
- Duda, R.O.; Hart, P.E.; Stork, D.G. Pattern Classification and Scene Analysis; Wiley: New York, NY, USA, 1973; Volume 3. [Google Scholar]
- Gosselin, C.; Angeles, J. A global performance index for the kinematic optimization of robotic manipulators. J. Mech. Robot. 1991, 113, 220–226. [Google Scholar] [CrossRef]








| Disclaimer/Publisher’s Note: The statements, opinions and data contained in all publications are solely those of the individual author(s) and contributor(s) and not of MDPI and/or the editor(s). MDPI and/or the editor(s) disclaim responsibility for any injury to people or property resulting from any ideas, methods, instructions or products referred to in the content. | 
© 2025 by the authors. Licensee MDPI, Basel, Switzerland. This article is an open access article distributed under the terms and conditions of the Creative Commons Attribution (CC BY) license (https://creativecommons.org/licenses/by/4.0/).
Share and Cite
Li, Y.; Nelson, V.; Nguyen, C.T.; Suh, I.; De, S.; Siu, K.-C.; Nelson, C. Development of New Generation Portable Camera-Aided Surgical Simulator for Cognitive Training in Laparoscopic Cholecystectomy. Electronics 2025, 14, 793. https://doi.org/10.3390/electronics14040793
Li Y, Nelson V, Nguyen CT, Suh I, De S, Siu K-C, Nelson C. Development of New Generation Portable Camera-Aided Surgical Simulator for Cognitive Training in Laparoscopic Cholecystectomy. Electronics. 2025; 14(4):793. https://doi.org/10.3390/electronics14040793
Chicago/Turabian StyleLi, Yucheng, Victoria Nelson, Cuong T. Nguyen, Irene Suh, Suvranu De, Ka-Chun Siu, and Carl Nelson. 2025. "Development of New Generation Portable Camera-Aided Surgical Simulator for Cognitive Training in Laparoscopic Cholecystectomy" Electronics 14, no. 4: 793. https://doi.org/10.3390/electronics14040793
APA StyleLi, Y., Nelson, V., Nguyen, C. T., Suh, I., De, S., Siu, K.-C., & Nelson, C. (2025). Development of New Generation Portable Camera-Aided Surgical Simulator for Cognitive Training in Laparoscopic Cholecystectomy. Electronics, 14(4), 793. https://doi.org/10.3390/electronics14040793
 
         
                                                



