Research on Trajectory Planning Method Based on Bézier Curves for Dynamic Scenarios
Abstract
1. Introduction
2. Bézier Curve Model and Its Characteristic Analysis
2.1. Bézier Curve Model
2.2. Bézier Curve Characteristic Analysis
3. Bézier Curve Trajectory Planning
3.1. Establishment of Control Points for Bézier Curve
3.2. Bézier Curve Trajectory Planning Method in Static Scenarios
3.3. Trajectory Planning Using Bézier Curves in Dynamic Scenarios
4. Simulation Analysis
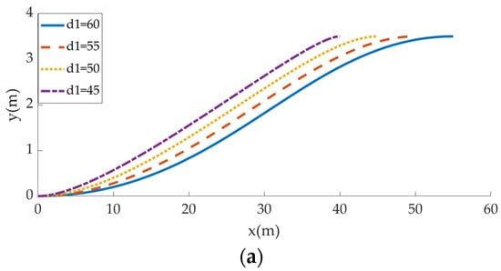
4.1. Simulation Analysis of Bézier Curve Trajectory Planning Method in Static Scenarios
4.2. Simulation Analysis of Bézier Curve Trajectory Planning in Dynamic Scenarios
5. Conclusions
Author Contributions
Funding
Data Availability Statement
Conflicts of Interest
References
- Liu, Y.; Liu, L.; Yu, X.; Wang, C. Optimal Path Planning Algorithm of AUV State Space Sampling Based on Improved Cost Function. In Proceedings of the 2020 39th Chinese Control Conference (CCC), Shenyang, China, 27–29 July 2020; pp. 3747–3752. [Google Scholar] [CrossRef]
- Fan, Y.; Li, L.; Zhang, F. Intelligent Vehicle Lane-Change Trajectory Planning on Slippery Road Surface Using Nonlinear Programming. In Proceedings of the 2022 41st Chinese Control Conference (CCC), Hefei, China, 25–27 July 2022; pp. 5365–5370. [Google Scholar] [CrossRef]
- Pandey, K.K.; Parhi, D.R. Trajectory Planning and the Target Search by the Mobile Robot in an Environment Using a Behavior-Based Neural Network Approach. Robotica 2020, 38, 1627–1641. [Google Scholar] [CrossRef]
- Zhu, D.D.; Sun, J.Q. A New Algorithm Based on Dijkstra for Vehicle Path Planning Considering Intersection. IEEE Access 2021, 9, 19761–19775. [Google Scholar] [CrossRef]
- Zhang, T.; Wang, J.; Meng, Q. Generative Adversarial Network Based Heuristics for Sampling-Based Path Planning. IEEE/CAA J. Autom. Sin. 2022, 9, 64–74. [Google Scholar] [CrossRef]
- Hu, J.; Cheng, C.; Wang, C.; Zhao, C.; Pan, Q.; Liu, Z. An Improved Artificial Potential Field Method Based on DWA and Path Optimization. In Proceedings of the 2019 IEEE International Conference on Unmanned Systems (ICUS), Beijing, China, 17–19 October 2019; pp. 809–814. [Google Scholar] [CrossRef]
- Huang, Y.; Ding, H.; Zhang, Y.; Wang, H.; Gao, D.; Xu, N. A Motion Planning and Tracking Framework for Autonomous Vehicles Based on Artificial Potential Field Elaborated Resistance Network Approach. IEEE Trans. Ind. Electron. 2020, 67, 1376–1386. [Google Scholar] [CrossRef]
- Deolasee, S.; Lin, Q.; Li, J.; Dolan, J.M. Spatio-temporal Motion Planning for Autonomous Vehicles with Trapezoidal Prism Corridors and Bézier Curves. In Proceedings of the 2023 American Control Conference (ACC), San Diego, CA, USA, 31 May–2 June 2023; pp. 3207–3214. [Google Scholar] [CrossRef]
- Wulfmeier, M.; Rao, D.; Wang, D.Z.; Ondruska, P.; Posner, I. Large-scale cost function learning for path planning using deep inverse reinforcement learning. Int. J. Robot. Res. 2017, 36, 1073–1087. [Google Scholar] [CrossRef]
- Cuesta, R.; Alvarez, J. Limit Cycle Construction Using Bézier Curves: Application in a Mobile Robot. In Proceedings of the 2023 XXV Robotics Mexican Congress (COMRob), Xalapa/Veracruz, Mexico, 15–17 November 2023; pp. 68–73. [Google Scholar] [CrossRef]
- Li, X.; Sun, Z.; Kurt, A.; Zhu, Q. A sampling-based local trajectory planner for autonomous driving along a reference path. In Proceedings of the 2014 IEEE Intelligent Vehicles Symposium Proceedings, Dearborn, MI, USA, 8–11 June 2014; pp. 376–381. [Google Scholar] [CrossRef]
- Guo, M.; Peng, J.; Huang, H. Unmanned Vehicle Path Planning and Tracking Control Based on Improved Artificial Potential Field Method. J. Syst. Simul. 2023, 36, 1–10. [Google Scholar] [CrossRef]
- Li, H.; Luo, Y.; Wu, J. Collision-Free Path Planning for Intelligent Vehicles Based on Bézier Curve. IEEE Access 2019, 7, 123334–123340. [Google Scholar] [CrossRef]
- Chen, Y.; Cai, Y.; Zheng, J.; Thalmann, D. Accurate and Efficient Approximation of Clothoids Using Bézier Curves for Path Planning. IEEE Trans. Robot. 2017, 33, 1242–1247. [Google Scholar] [CrossRef]
- Chen, J.; Zhao, P.; Mei, T.; Liang, H. Lane change path planning based on piecewise Bezier curve for autonomous vehicle. In Proceedings of the 2013 IEEE International Conference on Vehicular Electronics and Safety, Dongguan, China, 28–30 July 2013; pp. 17–22. [Google Scholar] [CrossRef]
- Moreau, J.; Melchior, P.; Victor, S.; Moze, M.; Aioun, F.; Guillemard, F. Reactive Path Planning for Autonomous Vehicle Using Bézier Curve Optimization. In Proceedings of the 2019 IEEE Intelligent Vehicles Symposium (IV), Paris, France, 9–12 June 2019; pp. 1048–1053. [Google Scholar] [CrossRef]
- Bae, I.; Moon, J.; Park, H.; Kim, J.H.; Kim, S. Path Generation and Tracking Based on a Bézier Curve for a Steering Rate Controller of Autonomous Vehicles. In Proceedings of the 16th International IEEE Conference on Intelligent Transportation Systems (ITSC 2013), The Hague, The Netherlands, 6–9 October 2013; pp. 436–441. [Google Scholar]
- Wagner, M.A.F.; Wilson, J.R. Recent Developments in Input Modeling with Bézier Distributions. In Proceedings of the 1996 Winter Simulation Conference, Coronado, CA, USA, 8–11 December 1996; pp. 1448–1456. [Google Scholar]
- Przemysław, K. Podstawy Modelowania Krzywych I Powierzchni; WNT: Warszawa, Poland, 2005. [Google Scholar]
- Durukal, B.; Eren, M.; Çetin, Ö.; Karabıyık, E.; Zengin, N.; Yetkin, S.K. How Can Machine Learning Models Be Used for Subjective Assessment of Safety and Comfort: Application on Free Lane Change Maneuver. In Proceedings of the 2022 Joint 12th International Conference on Soft Computing and Intelligent Systems and 23rd International Symposium on Advanced Intelligent Systems (SCIS&ISIS), Ise, Japan, 29 November–2 December 2022; pp. 1–6. [Google Scholar] [CrossRef]
- Chen, X.; Liu, X.; Zhang, M. Autonomous Vehicle Lane-Change Control Based on Model Predictive Control with Control Barrier Function. In Proceedings of the 2024 IEEE 13th Data Driven Control and Learning Systems Conference (DDCLS), Kaifeng, China, 17–19 May 2024; pp. 1267–1272. [Google Scholar] [CrossRef]

















Disclaimer/Publisher’s Note: The statements, opinions and data contained in all publications are solely those of the individual author(s) and contributor(s) and not of MDPI and/or the editor(s). MDPI and/or the editor(s) disclaim responsibility for any injury to people or property resulting from any ideas, methods, instructions or products referred to in the content. |
© 2025 by the authors. Licensee MDPI, Basel, Switzerland. This article is an open access article distributed under the terms and conditions of the Creative Commons Attribution (CC BY) license (https://creativecommons.org/licenses/by/4.0/).
Share and Cite
Li, H.; Pang, H.; Xia, H.; Huang, Y.; Zeng, X. Research on Trajectory Planning Method Based on Bézier Curves for Dynamic Scenarios. Electronics 2025, 14, 494. https://doi.org/10.3390/electronics14030494
Li H, Pang H, Xia H, Huang Y, Zeng X. Research on Trajectory Planning Method Based on Bézier Curves for Dynamic Scenarios. Electronics. 2025; 14(3):494. https://doi.org/10.3390/electronics14030494
Chicago/Turabian StyleLi, Hongluo, Hai Pang, Hongyang Xia, Yongxian Huang, and Xiangkun Zeng. 2025. "Research on Trajectory Planning Method Based on Bézier Curves for Dynamic Scenarios" Electronics 14, no. 3: 494. https://doi.org/10.3390/electronics14030494
APA StyleLi, H., Pang, H., Xia, H., Huang, Y., & Zeng, X. (2025). Research on Trajectory Planning Method Based on Bézier Curves for Dynamic Scenarios. Electronics, 14(3), 494. https://doi.org/10.3390/electronics14030494

