Trust Evaluation Framework for Adaptive Load Optimization in Motor Drive System
Abstract
1. Introduction
- 1.
- A generalized trust computing method is proposed, applicable to any system with centralized control and incoming feedback and input signals. Since this framework involves several tunable factors, it can be adjusted to meet the specific requirements of different systems.
- 2.
- The robustness of the proposed trust method is validated across a diverse range of CPAs. To achieve this, this scheme is integrated with a real-time EDS model simulated on OPAL-RT, effectively simulating various CPA scenarios, including power switch open-circuit faults, current sensor faults, and cyberattacks.
- 3.
- This work presents a trust-aware torque-split optimization algorithm that incorporates the trust values of each EDS to further optimize torque distribution across each traction motor, following the principles of adaptive load optimization (ALO).
| Method | Investigated System | Anomaly Modes | Contributions | Key Limitations | 
|---|---|---|---|---|
| [28] | Electric drive system | False data injection (FDI) attacks | Cyberattack detection and impact analysis on 3-phase current | 
 | 
| [29] | FDI and relay attacks | Cyberattack detection and impact analysis on 3-phase current | ||
| [30] | FDI attacks | Cyberattack detection and impact analysis on 3-phase current | ||
| [31] | OCFs in single power switch | Impact analysis on stator current, detection and distinguish OCFs | ||
| [32] | Single and Double switch OCFs in power converter | Impact analysis on stator current, detection and distinguish OCFs | ||
| [17] | Single and double switch OCFs in power converter and FDI attacks | Impact analysis, detection and differentiation | ||
| [18] | Low-power and lossy networks | Selfish behaviors and internal attackers | Strengthens security mechanism; lower energy consumption and higher packet delivery ratio | 
 | 
| [19] | IoT edge devices | Bad mouthing attacks | Lightweight and reliable trust mechanism | |
| [20] | Acoustic sensor networks | Cyberattacks | Multi-dimensional attack-resistant trust | |
| [21] | Wireless sensor network | None | Distributed trust mechanism | |
| [23] | Vehicular ad hoc networks | Denial-of-service (DoS) attacks | Trust-based mechanism for detecting distributed DoS attacks | |
| [25] | Heterog- eneous vehicle networks | None | Trust evaluation for mobility strategy to minimize the total number of transmission hops | |
| This work | Electric drive system | Cyberattacks, OCFs, and sensor faults | 
 | |
2. Trust-Aware Control Framework for Electric Drive System
2.1. Trust Behavior Model
2.2. Trust Evaluation Model
2.3. Trust-Aware Torque-Split Optimization
3. Real-Time Experimental Validation
3.1. Trust Value Estimation
| Cases | Category | Description | 
|---|---|---|
| I | SS-OCF [17] | OCF instigated in S4. | 
| II | SDS-OCF [17] | OCF instigated in S3, S4. | 
| III | CDS-OCF [17] | OCF instigated in S3, S6. | 
| IV | PDS-OCF [17] | OCF instigated in S3, S5. | 
| V | Stuck fault [17] | Stuck fault in phase-B current sensor. | 
| VI | Sensor OCF [17] | OCF fault in phase-A current sensor. | 
| VII | Cyberattack [34] | Targeting reference speed of EDS. | 
| VIII | Cyberattack [17] | Targeting Phase B current. [] | 
| IX | Cyberattack [17] | Targeting Phases B, C currents. [] | 
| X | Cyberattack [17] | Targeting Phases A, B, C currents. [] | 
| XI | Cyberattack [17] | Targeting Phases A, B currents. [] | 
| XII | Cyberattack [17] | Targeting Phase A current. [] | 
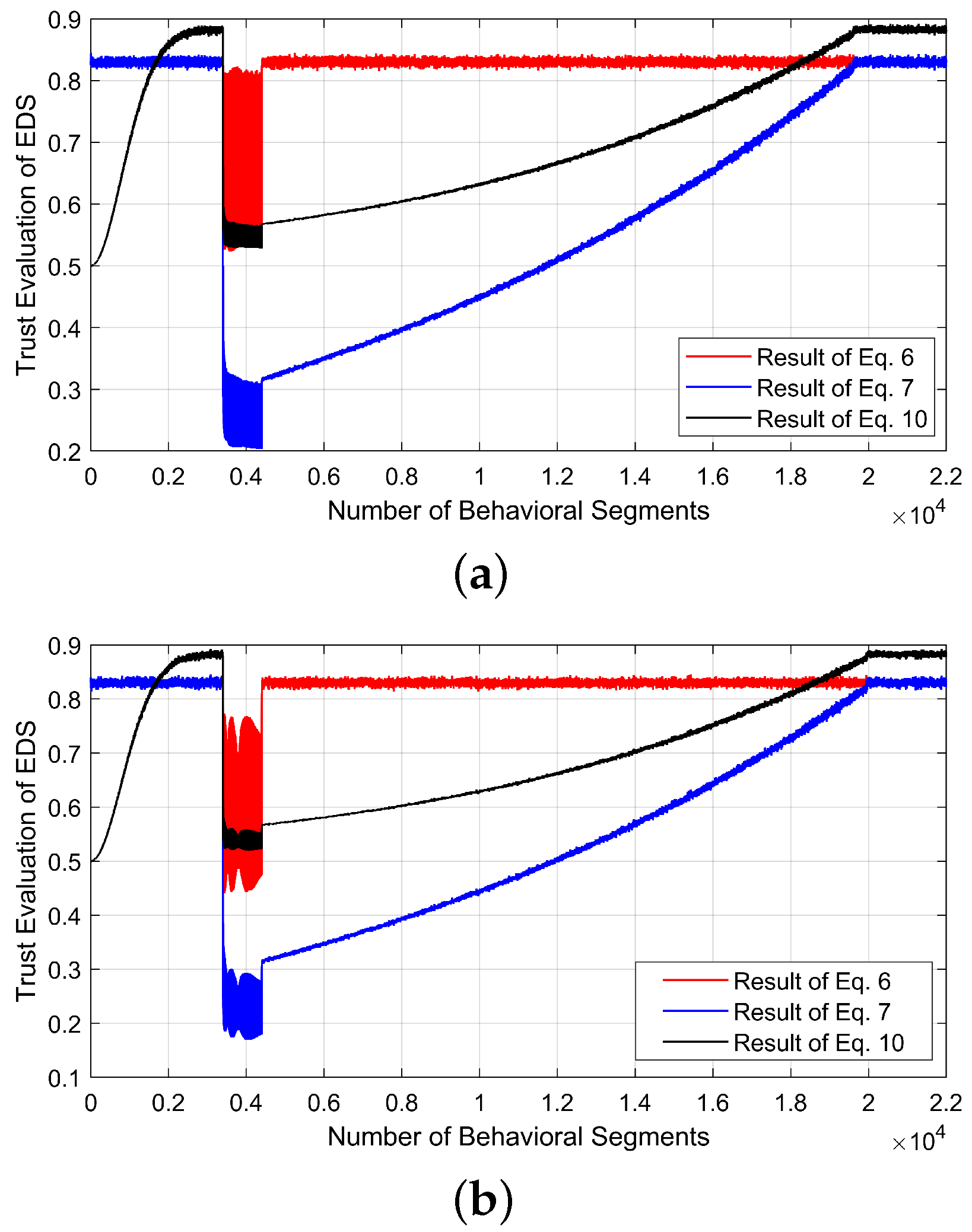
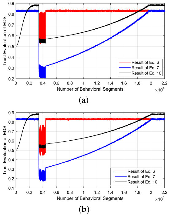
3.1.1. Dynamics of Trust Value During Power Switch Faults
3.1.2. Dynamics of Trust Value During Sensor Faults
3.1.3. Dynamics of Trust Value During Cyberattacks
| Research Methodology | CA Detection | OCF Detection | SF Detection | Detection Time (ms) | Accuracy (%) | 
|---|---|---|---|---|---|
| [35] | T | NT | NT | – | 92.10 | 
| [30] | T | NT | NT | 50.0 | 99.50 | 
| [36] | NT | T | NT | 40.0 | 88.53 | 
| [11] | NT | T | T | 20.0 | 98.83 | 
| [28] | T | NT | NT | 12.5 | 99.90 | 
| [37] | T | NT | NT | 10.0 | 90.00 | 
| [29] | T | NT | NT | 2.5 | 98.44 | 
| This work | T | T | T | 2.5 | 100 | 
3.2. Impact of Trust Values on Torque-Split Optimization
4. Conclusions
Author Contributions
Funding
Data Availability Statement
Acknowledgments
Conflicts of Interest
References
- Global Automotive Cybersecurity Report 2023. Available online: https://upstream.auto/reports/global-automotive-cybersecurity-report/ (accessed on 17 August 2024).
- Zhou, X.; Sun, J.; Li, H.; Lu, M.; Zeng, F. PMSM open-phase fault-tolerant control strategy based on four-leg inverter. IEEE Trans. Power Electron. 2019, 35, 2799–2808. [Google Scholar] [CrossRef]
- Zhou, D.; Qiu, H.; Yang, S.; Tang, Y. Submodule voltage similarity-based open-circuit fault diagnosis for modular multilevel converters. IEEE Trans. Power Electron. 2018, 34, 8008–8016. [Google Scholar] [CrossRef]
- Zhou, D.; Yang, S.; Tang, Y. A voltage-based open-circuit fault detection and isolation approach for modular multilevel converters with model-predictive control. IEEE Trans. Power Electron. 2018, 33, 9866–9874. [Google Scholar] [CrossRef]
- Zhao, H.; Cheng, L. Open-switch fault-diagnostic method for back-to-back converters of a doubly fed wind power generation system. IEEE Trans. Power Electron. 2017, 33, 3452–3461. [Google Scholar] [CrossRef]
- Gou, B.; Ge, X.L.; Liu, Y.C.; Feng, X.Y. Load-current-based current sensor fault diagnosis and tolerant control scheme for traction inverters. Electron. Lett. 2016, 52, 1717–1719. [Google Scholar] [CrossRef]
- Giraldo, J.; Urbina, D.; Cardenas, A.; Valente, J.; Faisal, M.; Ruths, J.; Tippenhauer, N.O.; Sandberg, H.; Candell, R. A survey of physics-based attack detection in cyber-physical systems. ACM Comput. Surv. 2018, 51, 1–36. [Google Scholar] [CrossRef]
- Mishra, S.; Shoukry, Y.; Karamchandani, N.; Diggavi, S.N.; Tabuada, P. Secure state estimation against sensor attacks in the presence of noise. IEEE Trans. Control Netw. Syst. 2016, 4, 49–59. [Google Scholar] [CrossRef]
- Mo, Y.; Sinopoli, B. Secure control against replay attacks. In Proceedings of the 2009 47th Annual Allerton Conference on Communication, Control, AND Computing (Allerton), Monticello, IL, USA, 30 September–2 October 2009; IEEE: New York, NY, USA, 2009; pp. 911–918. [Google Scholar]
- Gao, Z.; Cecati, C.; Ding, S.X. A survey of fault diagnosis and fault-tolerant techniques—Part II: Fault diagnosis with knowledge-based and hybrid/active approaches. IEEE Trans. Ind. Electron. 2015, 62, 3768–3774. [Google Scholar] [CrossRef]
- Gou, B.; Xu, Y.; Xia, Y.; Deng, Q.; Ge, X. An online data-driven method for simultaneous diagnosis of IGBT and current sensor fault of three-phase PWM inverter in induction motor drives. IEEE Trans. Power Electron. 2020, 35, 13281–13294. [Google Scholar] [CrossRef]
- Cai, B.; Zhao, Y.; Liu, H.; Xie, M. A data-driven fault diagnosis methodology in three-phase inverters for PMSM drive systems. IEEE Trans. Power Electron. 2016, 32, 5590–5600. [Google Scholar] [CrossRef]
- Wang, T.; Xu, H.; Han, J.; Elbouchikhi, E.; Benbouzid, M.E.H. Cascaded H-bridge multilevel inverter system fault diagnosis using a PCA and multiclass relevance vector machine approach. IEEE Trans. Power Electron. 2015, 30, 7006–7018. [Google Scholar] [CrossRef]
- Ye, S.; Jiang, J.; Li, J.; Liu, Y.; Zhou, Z.; Liu, C. Fault diagnosis and tolerance control of five-level nested NPP converter using wavelet packet and LSTM. IEEE Trans. Power Electron. 2019, 35, 1907–1921. [Google Scholar] [CrossRef]
- Jan, S.U.; Lee, Y.D.; Shin, J.; Koo, I. Sensor fault classification based on support vector machine and statistical time-domain features. IEEE Access 2017, 5, 8682–8690. [Google Scholar] [CrossRef]
- Arsalan, A.; Timilsina, L.; Papari, B.; Muriithi, G.; Ozkan, G.; Kumar, P.; Edrington, C.S. Cyber Attack Detection and Classification for Integrated On-board Electric Vehicle Chargers subject to Stochastic Charging Coordination. Transp. Res. Procedia 2023, 70, 44–51. [Google Scholar] [CrossRef]
- Arsalan, A.; Papari, B.; Timilsina, L.; Muriithi, G.; Moghassemi, A.; Rahman, S.M.I.; Buraimoh, E.; Ozkan, G.; Edrington, C.S. Enhanced Real-Time ATM-Based MPC for Electric Vehicles With Cyber–Physical Security Aspect. IEEE Trans. Transp. Electrif. 2025, 11, 4698–4716. [Google Scholar] [CrossRef]
- Djedjig, N.; Tandjaoui, D.; Medjek, F.; Romdhani, I. Trust-aware and cooperative routing protocol for IoT security. J. Inf. Secur. Appl. 2020, 52, 102467. [Google Scholar] [CrossRef]
- Yuan, J.; Li, X. A reliable and lightweight trust computing mechanism for IoT edge devices based on multi-source feedback information fusion. IEEE Access 2018, 6, 23626–23638. [Google Scholar] [CrossRef]
- Han, G.; Jiang, J.; Shu, L.; Guizani, M. An attack-resistant trust model based on multidimensional trust metrics in underwater acoustic sensor network. IEEE Trans. Mob. Comput. 2015, 14, 2447–2459. [Google Scholar] [CrossRef]
- Jiang, J.; Han, G.; Wang, F.; Shu, L.; Guizani, M. An efficient distributed trust model for wireless sensor networks. IEEE Trans. Parallel Distrib. Syst. 2014, 26, 1228–1237. [Google Scholar] [CrossRef]
- Hussain, Y.; Zhiqiu, H.; Akbar, M.A.; Alsanad, A.; Alsanad, A.A.A.; Nawaz, A.; Khan, I.A.; Khan, Z.U. Context-aware trust and reputation model for fog-based IoT. IEEE Access 2020, 8, 31622–31632. [Google Scholar] [CrossRef]
- Poongodi, M.; Hamdi, M.; Sharma, A.; Ma, M.; Singh, P.K. DDoS detection mechanism using trust-based evaluation system in VANET. IEEE Access 2019, 7, 183532–183544. [Google Scholar] [CrossRef]
- Jiang, N.; Wen, J.; Li, J.; Liu, X.; Jin, D. Gatrust: A multi-aspect graph attention network model for trust assessment in osns. IEEE Trans. Knowl. Data Eng. 2022, 35, 5865–5878. [Google Scholar] [CrossRef]
- Wang, T.; Luo, H.; Zeng, X.; Yu, Z.; Liu, A.; Sangaiah, A.K. Mobility based trust evaluation for heterogeneous electric vehicles network in smart cities. IEEE Trans. Intell. Transp. Syst. 2020, 22, 1797–1806. [Google Scholar] [CrossRef]
- Garcia, N.; Hammad, E.; Farraj, A. Soft-Trust Based Architecture for NextG IIoT/IoET Security, Authentication and Authorization. In Proceedings of the 2023 IEEE Texas Power and Energy Conference (TPEC), College Station, TX, USA, 13–14 February 2023; IEEE: New York, NY, USA, 2023; pp. 1–6. [Google Scholar]
- Guo, J.; Liu, Z.; Tian, S.; Huang, F.; Li, J.; Li, X.; Igorevich, K.K.; Ma, J. TFL-DT: A trust evaluation scheme for federated learning in digital twin for mobile networks. IEEE J. Sel. Areas Commun. 2023, 41, 3548–3560. [Google Scholar] [CrossRef]
- Yang, B.; Ye, J.; Guo, L. Fast detection for cyber threats in electric vehicle traction motor drives. IEEE Trans. Transp. Electrif. 2021, 8, 767–777. [Google Scholar] [CrossRef]
- Guo, L.; Ye, J.; Yang, B. Cyberattack detection for electric vehicles using physics-guided machine learning. IEEE Trans. Transp. Electrif. 2020, 7, 2010–2022. [Google Scholar] [CrossRef]
- Yang, B.; Wu, S.; Hu, K.; Ye, J.; Song, W.; Ma, P.; Shi, J.; Liu, P. Enhanced Cyber-Attack Detection in Intelligent Motor Drives: A Transfer Learning Approach With Convolutional Neural Networks. IEEE J. Emerg. Sel. Top. Ind. Electron. 2024, 5, 710–719. [Google Scholar] [CrossRef]
- Guo, L.; Wang, K.; Wang, T. Open-Circuit Fault Diagnosis of Three-Phase Permanent Magnet Machine Utilizing Normalized Flux-Producing Current. IEEE Trans. Ind. Electron. 2024, 71, 3351–3360. [Google Scholar] [CrossRef]
- Hang, J.; Shu, X.; Ding, S.; Huang, Y. Robust Open-Circuit Fault Diagnosis for PMSM Drives Using Wavelet Convolutional Neural Network With Small Samples of Normalized Current Vector Trajectory Graph. IEEE Trans. Ind. Electron. 2023, 70, 7653–7663. [Google Scholar] [CrossRef]
- Zhang, X.; Zhang, L.; Zhang, Y. Model predictive current control for PMSM drives with parameter robustness improvement. IEEE Trans. Power Electron. 2018, 34, 1645–1657. [Google Scholar] [CrossRef]
- Jedh, M.; Ben Othmane, L.; Ahmed, N.; Bhargava, B. Detection of Message Injection Attacks Onto the CAN Bus Using Similarities of Successive Messages-Sequence Graphs. IEEE Trans. Inf. Forensics Secur. 2021, 16, 4133–4146. [Google Scholar] [CrossRef]
- Jawdeh, S.A.; Choi, S.; Liu, C.H. Model-Based Deep Learning for Cyber-Attack Detection in Electric Drive Systems. In Proceedings of the 2022 IEEE Applied Power Electronics Conference and Exposition (APEC), Houston, TX, USA, 20–24 March 2022; pp. 567–573. [Google Scholar] [CrossRef]
- Xia, Y.; Xu, Y. A Transferrable Data-Driven Method for IGBT Open-Circuit Fault Diagnosis in Three-Phase Inverters. IEEE Trans. Power Electron. 2021, 36, 13478–13488. [Google Scholar] [CrossRef]
- Yang, B.; Ye, J. Data-driven detection of physical faults and cyber attacks in dual-motor ev powertrains. In Proceedings of the 2022 IEEE Transportation Electrification Conference & Expo (ITEC), Anaheim, CA, USA, 15–17 June 2022; IEEE: New York, NY, USA, 2022; pp. 991–996. [Google Scholar]
- Muriithi, G.; Papari, B.; Moghassemi, A.; Sundar, A.; Arsalan, A.; Buraimoh, E.; Timilsina, L.; Ozkan, G.; Edrington, C. Vulnerability Assessment and Detection of Stealthy Sequential Cyberattacks in Hybrid Tracked Vehicles. IEEE Trans. Transp. Electrif. 2024, 11, 6472–6489. [Google Scholar] [CrossRef]












| Disclaimer/Publisher’s Note: The statements, opinions and data contained in all publications are solely those of the individual author(s) and contributor(s) and not of MDPI and/or the editor(s). MDPI and/or the editor(s) disclaim responsibility for any injury to people or property resulting from any ideas, methods, instructions or products referred to in the content. | 
© 2025 by the authors. Licensee MDPI, Basel, Switzerland. This article is an open access article distributed under the terms and conditions of the Creative Commons Attribution (CC BY) license (https://creativecommons.org/licenses/by/4.0/).
Share and Cite
Arsalan, A.; Papari, B.; Muriithi, G.K.; Khan, A.A.; Ozkan, G.; Edrington, C.S. Trust Evaluation Framework for Adaptive Load Optimization in Motor Drive System. Electronics 2025, 14, 3697. https://doi.org/10.3390/electronics14183697
Arsalan A, Papari B, Muriithi GK, Khan AA, Ozkan G, Edrington CS. Trust Evaluation Framework for Adaptive Load Optimization in Motor Drive System. Electronics. 2025; 14(18):3697. https://doi.org/10.3390/electronics14183697
Chicago/Turabian StyleArsalan, Ali, Behnaz Papari, Grace Karimi Muriithi, Asif Ahmed Khan, Gokhan Ozkan, and Christopher Shannon Edrington. 2025. "Trust Evaluation Framework for Adaptive Load Optimization in Motor Drive System" Electronics 14, no. 18: 3697. https://doi.org/10.3390/electronics14183697
APA StyleArsalan, A., Papari, B., Muriithi, G. K., Khan, A. A., Ozkan, G., & Edrington, C. S. (2025). Trust Evaluation Framework for Adaptive Load Optimization in Motor Drive System. Electronics, 14(18), 3697. https://doi.org/10.3390/electronics14183697
 
        


 
       