Next Article in Journal
An Emotional AI Chatbot Using an Ontology and a Novel Audiovisual Emotion Transformer for Improving Nonverbal Communication
Previous Article in Journal
Electric-Field and Magnetic-Field Decoupled Wireless Power and Full-Duplex Signal Transfer Technology for Pre-Embedded Sensors
Previous Article in Special Issue
A Multi-Objective Metaheuristic and Multi-Armed Bandit Hybrid-Based Multi-Corridor Coupled TTC Calculation Method
 
 
Font Type:
Arial Georgia Verdana
Font Size:
Aa Aa Aa
Line Spacing:
Column Width:
Background:
Article

Explaining Grid Strength Through Data: Key Factors from a Southwest China Power Grid Case Study

Southwest Branch, State Grid Corporation of China, Chengdu 610095, China
*
Author to whom correspondence should be addressed.
Electronics 2025, 14(21), 4303; https://doi.org/10.3390/electronics14214303
Submission received: 22 September 2025 / Revised: 25 October 2025 / Accepted: 28 October 2025 / Published: 31 October 2025

Abstract

The increasing integration of High-Voltage Direct Current (HVDC) systems and renewable energy challenges traditional grid strength assessment. This paper proposes a comprehensive framework that combines a composite strength index with an interpretable importance analysis to address this issue. First, a composite index is developed using the AHP-CRITIC method to fuse structural and fault withstand metrics. Then, to identify the factors influencing this index, SHapley Additive exPlanations (SHAP) is employed, accelerated by a high-fidelity Gaussian Process Regression (GPR) surrogate model that overcomes the computational burden of large-scale simulations. This GPR-SHAP approach provides both global parameter rankings and local, scenario-specific explanations, overcoming the limitations of conventional sensitivity analysis. Validated on a detailed model of the Southwest Power Grid in China, the framework successfully quantifies grid strength and pinpoints key vulnerabilities. Verification through a typical scenario demonstrates that implementing coordinated increases in both generation and load (each by 1000 MW) in the Chengdu area, as guided by local SHAP explanations, significantly improves the grid strength index from 33.73 to 47.61. It provides operators with a dependable tool to transition from experience-based practices to targeted, proactive stability management.

1. Introduction

In recent decades, the term “power grid” has evolved beyond the traditional “electrical grid”. The electrical grid typically refers to the physical infrastructure for electricity generation, transmission, and distribution, focusing on voltage levels, substations, and power flow topology. By contrast, the power grid represents a broader cyber–physical-energy system that integrates information, communication, control, distributed generation, and storage technologies [1].
Modern power grids thus encompass multi-layer interactions among physical, cyber, and market elements, supporting advanced functionalities such as demand response, real-time control, and resilience enhancement [2]. Table 1 summarizes the distinction between these two terms and related system types.
In this study, “power grid” specifically denotes a modern AC/DC hybrid system integrating renewable energy, HVDC transmission, and coordinated operation supported by communication and control layers. The traditional term “electrical grid” is used only when referring to the purely physical transmission and distribution network.
Driven by the imperative of a global transition toward a sustainable energy future, the architecture and operation of modern power systems are undergoing a paradigm shift [3,4]. A fundamental characteristic of this transformation is the large-scale integration of renewable energy sources (RES) such as hydropower, wind, and solar, which are often located in geographical areas remote from major load centers [5]. To effectively bridge this spatial gap, High-Voltage Direct Current (HVDC) transmission has emerged as an indispensable technology, facilitating the secure and stable transfer of bulk power over long distances [6]. This trend has led to the emergence of increasingly complex hybrid AC/DC power systems [7,8].
While this architecture offers considerable economic and environmental benefits, it also introduces a series of new and profound challenges to system stability [9]. The progressive replacement of conventional synchronous generators with resources interfaced via power electronic converters leads to a systemic decline in system rotational inertia and fault levels [10]. Not only is the inherent physical robustness of the grid eroded, but its natural ability to withstand and suppress disturbances is also weakened, resulting in more severe frequency and voltage deviations [11,12]. Consequently, accurately assessing the overall strength of such hybrid AC/DC grids is a critical yet challenging task. A realistic analysis must consider a composite of factors, including network structural integrity, stability margins, the AC system’s fault support capability for the DC system, and resilience against cascading failures [13,14]. However, the exploration of a unified indicator system that can holistically evaluate these interdependent aspects remains limited, highlighting a clear need for a more comprehensive approach. To address this, this paper proposes a grid strength assessment framework, constructed from the dual perspectives of structural strength metrics and fault withstand strength metrics. To fuse these heterogeneous metrics into a single, actionable composite index, a hybrid AHP-CRITIC weighting method is adopted to synergistically balance expert judgment with objective data-driven evidence [15].
However, establishing a composite index to quantify grid strength is only the first step. For targeted reinforcement in grid planning and precise operational guidance, it is crucial to identify the key factors responsible for a low grid strength index [16,17]. Global sensitivity analysis (GSA) methods, particularly the variance-based Sobol’ method, are a recognized and reliable approach for such tasks [18]. However, the Sobol’ method has inherent limitations: it cannot indicate whether an influence is positive or negative and lacks the capability to diagnose individual operating modes [19]. Furthermore, a significant practical barrier hinders its direct application: the vast number of dynamic simulations required renders the process computationally infeasible for large-scale power systems [20]. While data-driven surrogate models can address this computational hurdle, their common lack of interpretability, which undermines the trust of system operators, highlights the need for a solution that is not only fast but also transparent [21].
To overcome this dual challenge of computational cost and lack of local interpretability [19], this paper proposes a framework that couples a surrogate model with an explanation method. A Gaussian Process Regression (GPR) model is trained as a surrogate to rapidly and accurately approximate the system’s dynamic response. Upon this fast surrogate, SHapley Additive exPlanations (SHAP) is employed to address the interpretability challenge [22]. Rooted in cooperative game theory, SHAP can decompose a specific prediction, attributing the outcome to the precise contribution of each input parameter. This delivers clear insights for both local, case-by-case diagnosis and global importance ranking [23].
In addition, the increasing integration of renewable-based converters such as photovoltaic (PV) generation, battery energy storage systems (BESS), and wind energy conversion systems (WECS) has made HVDC–AC interaction more complex. In particular, the DC-DC modular multilevel converter (MMC) interface for utility-scale PV systems is emerging as a critical research focus [24,25], since these systems must maintain dynamic stability under weak AC grid conditions due to their high control bandwidth and converter-based dynamics [26]. Therefore, the coupling behavior between strong HVDC transmission and weak AC networks with renewable infeed must be carefully analyzed in assessing overall grid strength.
Based on the existing literature, this paper introduces a structured framework to address the grid strength assessment challenges in complex hybrid AC/DC systems. Our methodology first constructs a composite grid strength index via the AHP-CRITIC method. Then, a GPR surrogate model is trained to simulate the system’s response, which provides a foundation for the SHAP analysis. Finally, SHAP is employed to identify critical operating parameters and diagnose specific scenarios. This framework is applied to a detailed model of the Southwest Power Grid in China to demonstrate its effectiveness and practical value.
In contrast to prior studies that focus on either isolated grid strength indices or traditional sensitivity analyses, this paper makes several distinct contributions:
  • A unified composite grid strength index is proposed that integrates both structural strength and fault withstand strength metrics, offering a holistic quantitative evaluation of hybrid AC/DC systems characterized by ‘strong HVDC and weak AC’ interactions.
  • A high-fidelity Gaussian Process Regression (GPR) surrogate model is developed to efficiently approximate system dynamic responses, overcoming the computational burden of large-scale transient simulations required in traditional sensitivity analysis.
  • The SHapley Additive exPlanations (SHAP) technique is innovatively applied to quantify both global and local importance of operating parameters, enabling interpretable insights into the key factors influencing grid strength.
  • The proposed GPR–SHAP framework is validated through a detailed case study of the Southwest China Power Grid, demonstrating its capability to provide transparent, data-driven guidance for operational decision-making. These contributions jointly enable the transition from purely experience-based grid management toward interpretable, data-informed stability enhancement.
The remainder of this paper is organized as follows: Section 2 details the framework of the composite grid strength index. Section 3 introduces the AHP-CRITIC index fusion method. Section 4 describes the GPR-based SHAP methodology. Section 5 presents the validation of the proposed method through targeted dynamic simulations on the Southwest Power Grid in China. Finally, Section 6 concludes the paper.

2. Grid Strength Assessment Framework for Hybrid AC/DC Systems

The stability assessment of power systems necessitates a comprehensive consideration of multiple operational indices, which collectively reflect the system’s ability to withstand disturbances and maintain stable operation. The Southwest Power Grid in China serves as a prime example of a modern hybrid system defined by a “strong HVDC and weak AC” architecture. This structure is a direct consequence of its energy geography: vast renewable energy sources, including hydropower, wind, and solar, are located in remote western regions, and their generated power is transmitted to eastern load centers via multiple large-capacity, long-distance HVDC transmission corridors. Conversely, the AC network at the sending end, which collects this power, is characterized by high network impedance and a low Short-Circuit Ratio (SCR), rendering it electrically distant from major load centers. Table 2 presents a comparison between strong HVDC and weak AC.
To address the stability challenges inherent to “strong HVDC, weak AC” systems, we propose an assessment framework constructed from two complementary perspectives: structural strength and fault withstand strength.
First, structural strength metrics quantify the grid’s inherent robustness. Specifically, we assess voltage support capability using the Multi-outfeed Effective Short-Circuit Ratio (MOESCR) and post-fault power redistribution capability with the DC Power Transfer Influence Factor (DCPTIF).
Second, fault withstand strength metrics gauge the system’s dynamic resilience to large disturbances. These include indicators for cascading failure resilience—the Load Shedding Ratio (LSR) and Line Capacity Failure Proportion (LCFP)—and metrics for the transient stability margin, namely the Transient Voltage Stability Index (TVSI), Transient Angle Stability Index (TASI), and Frequency Deviation Factor (FDF).
The structure of this framework is depicted in Figure 1.

2.1. Structural Strength Metrics

To provide a holistic measure of the grid’s structural strength and to characterize the inherent robustness of the grid infrastructure, a set of indices is constructed to quantify two principal aspects: voltage support capability and active power transfer capability under faults.

2.1.1. Voltage Support Capability

The ability of the AC grid to maintain a stable voltage at High-Voltage Direct Current (HVDC) converter stations is a fundamental requirement for ensuring secure system operation. This is particularly critical in power systems with multiple electrically coupled HVDC links.
  • Multi-outfeed Effective Short-Circuit Ratio (MOESCR)
The International Council on Large Electric Systems (CIGRE) proposed the multi-infeed effective short-circuit ratio (MIESCR) as an index to describe the voltage support strength of an AC system to the converter stations of a multi-infeed DC system. The MIESCR can, to a certain extent, reflect the power stability of a multi-infeed DC system. A higher MIESCR value at a converter station indicates stronger voltage support from the AC system to that station.
The multi-outfeed effective short-circuit ratio for converter station i is defined as (1):
I M I E S C R i = S c i Q c N i P d c N i + j = 1 ; j i I M I I F j i P d c N j
where P d c N i is the rated power of the i -th HVDC line; S c i is the three-phase short-circuit capacity at the AC bus of converter station i ; Q c N i is the reactive power supplied by the AC filters and shunt capacitors at station i when its AC bus voltage is at the rated value. I M I I F j i is the multi-infeed interaction factor between converter station i and station j , expressed as (2):
I M I I F j i = Δ U j Δ U i
where i is the self-disturbing bus and j is the observed bus; Δ U i is the voltage disturbance at the AC bus of converter station i , approximately 1%; and Δ U j is the resulting voltage change at the AC bus of converter station j . It is noteworthy that the calculation procedures for the multi-outfeed interaction factor (MOIF) and the multi-outfeed effective short-circuit ratio (MOESCR) are highly consistent with those for MIIF and MIESCR. The distinction is that MOIF and MOESCR are calculated on the rectifier side of the HVDC lines, rather than the inverter side. In this paper, MOESCR is adopted as one of the sub-criteria layer indices for grid structural strength.

2.1.2. Capability to Withstand Post-Fault Power Flow Redistribution

In a hybrid AC/DC system such as the Southwest Power Grid in China, a key aspect of system stability is the ability of the AC network to withstand the power surges and flow transfers caused by major contingencies like the blocking of an HVDC line.
  • DC Power Transfer Influence Factor (DCPTIF)
To quantify the stress imposed on the AC system by a DC fault, the DC Power Transfer Influence Factor, F D C P T I F , is adopted. This factor simultaneously considers the impacts of large DC power transfers on the Southwest AC system from the perspectives of both transient stability and thermal stability. A higher F D C P T I F value indicates greater system vulnerability to DC transmission disturbances. The DC Power Transfer Influence Factor F D C P T I F is defined as (3):
F D C P T I F = P a c × Δ P D C T P a c m a x × S a c × c
where Δ P D C T is the additional transferred DC power carried by the AC corridor after an HVDC blocking event; S a c is the short-circuit capacity at both ends of the AC line; P a c is the actual power transmission on the AC line; P a c m a x is the power limit of the AC line; and c is a scaling factor introduced for ease of result identification.

2.2. Fault Withstand Strength Metrics

To quantify the system’s ability to withstand and recover from severe disturbances, a set of indices is established to characterize its performance during two post-disturbance phases: quasi-steady-state and transient.

2.2.1. Cascading Failure Resilience Indicators

These indices measure the state of the power system after the transient dynamic processes have subsided, with a focus on its final operational capability and structural integrity. To quantitatively assess these characteristics, this study acquires key data through cascading failure simulations.
Since a cascading failure can be viewed as a sequence of system states, the calculation of its occurrence probability must consider not only the probability of each individual state but also the influence of preceding states on subsequent ones. The probability of a cascading failure is therefore inherently a conditional probability. Assuming a cascading failure process is composed of m sequential system states, denoted in chronological order as S 1 , S 2 , , S m , the occurrence probability of this event, P c a s , can be obtained from the formula for conditional probability as (4):
P c a s = P ( S 1 ) P ( S 2 | S 1 ) P ( S m | S 1 , S 2 , , S m 1 )
where P S 1 is the probability of the initial system state ; P S 2 S 1 , P S 3 S 2 , , P S m S 1 , S 2 , , S m 1 are the transition probabilities between the respective system states, which can be denoted as P 1 , P 2 , , P m 1 . The formula for their calculation is detailed in [27]. Thus, Equation (4) can be expressed as (5):
P c a s = P 0 P 1 P m 1
In this probability chain, the probability of each state transition P i is closely related to the failure behavior of specific physical components. Therefore, to obtain accurate transition probabilities, it is necessary to establish appropriate fault models for critical components. Based on the data from [28], the dynamic relationship between a line’s outage probability and its loading level is modeled using the piecewise function illustrated in Figure 2.
In the figure, L o a d R a t e d represents the upper limit of the normal power flow on the line, while L o a d M A X is the ultimate transmission capacity limit. When the power flow on the line is greater than or equal to L o a d M A X , the line is either tripped due to a short-circuit fault caused by thermal sag or removed from service after prolonged overloading, resulting in an outage probability of 1. f 0 represents the long-term statistical average of the line’s outage probability.
It should be noted that when a contingency such as a line outage occurs, the system transitions to a subsequent state and may consequently fragment into multiple electrical islands, leading to power imbalances. To maintain system stability, the simulation procedure performs an independent power flow analysis for each island. When a power imbalance is detected, the system first attempts to restore balance by adjusting generator set-points. If a power deficit persists after this redispatch, load shedding measures are implemented. For simplicity, load shedding is performed proportionally according to the magnitude of the load at each node. The adjusted load magnitude is calculated using the following Equation (6):
Δ P = i L L i i G G i
where L is the set of system load nodes, L i is the load at node i , G is the set of system generator nodes, and G i is the power output at node i . The adjusted load at each load node is seen (7):
L i = L i L i Δ P i L L i
Specifically, for any island containing no generation sources, all of its internal load is shed entirely. Based on this simulation framework, the following two core quasi-steady-state indices are defined.
  • Load Shedding Ratio (LSR)
From a physical operational perspective, the proportion of load lost relative to the initial total system load following a cascading failure can reflect the impact of the cascading process on the grid’s power supply efficiency. To quantitatively characterize this attribute, this paper defines the load shedding index as the percentage of the load shed during the cascading failure relative to the total initial system load, which is seen in (8):
C L S R = Δ C S a l l
where Δ C is the amount of load shed due to the cascading failure, and S a l l is the total system load prior to the event.
2.
Line Capacity Failure Proportion (LCFP)
To accurately assess the structural integrity of the network post-fault and to quantify the functional degradation of its power transmission capability, the Line Capacity Failure Proportion (LCFP) is defined. It represents the ratio of lost or compromised transmission capacity to the total pre-fault transmission capacity. Its formula is (9):
R L C F P = l L f a i l e d P l , m a x k L t o t a l P k , m a x
where L t o t a l is the set of all transmission lines in the system before the disturbance; P k , m a x represents the rated transmission capacity of a single line k ; and L f a i l e d is the set of lines that are in an out-of-service state post-fault. A larger LCFP indicates lower structural integrity of the post-fault network.

2.2.2. Transient Stability Margin

These indices evaluate the system’s ability to maintain stability during the dynamic period following a disturbance. The core of the assessment is to determine whether the system can maintain synchronism and preserve voltage and angle stability throughout the electromechanical transient process.
  • Transient Voltage Stability Index (TVSI)
Our methodology for assessing transient voltage stability is based on the multi-component transient voltage stability margin (TVSI) framework defined in [29]. This framework decomposes the post-fault voltage trajectory into a vector I v e c t o r = T V S I r , T V S I s , T V S I l T , thereby providing a multi-dimensional characterization of the stability response. In this paper, these three components are synthesized into a single composite index, I T V S I , through a weighted sum, which is seen in (10):
I T V S I = w r T V S I r + w s T V S I s + w l T V S I l
where the weights w r , w s , w l are non-negative and sum to 1; T V S I r represents the transient voltage recovery capability, T V S I s denotes the post-fault steady-state level, and T V S I l reflects the level of transient oscillations. Their detailed definitions can be found in [29]. A lower I T V S I value corresponds to a more favorable transient voltage performance.
2.
Transient Angle Stability Index (TASI)
Transient angle stability is evaluated using the TASI index, which quantifies the maximum post-fault rotor angle separation. Its mathematical expressions are (11) and (12):
f T A S I = 360 Δ δ m a x 360 + Δ δ m a x × 100 %
Δ δ m a x = m a x δ i τ δ j τ , i , j S G , τ τ 0 , τ e n d
where a negative value of f T A S I indicates transient instability. A higher f T A S I value signifies a more stable system.
3.
Frequency Deviation Factor (FDF)
When the sending and receiving systems are not part of the same synchronous grid, the impact of an HVDC line blocking fault on the frequencies of both systems must be considered. Due to the high penetration of hydropower in the Southwest Power Grid in China, its inertia is lower compared to systems dominated by thermal power, making this aspect particularly important. The Frequency Deviation Factor (FDF) quantifies the system’s ability to maintain frequency stability post-disturbance. A larger β value indicates stronger frequency support capability. The FDF is defined as (13):
β = 1 R e q + D
where R e q is the equivalent speed regulation of all generators (Hz/MW) and D is the system’s active load-frequency regulation coefficient (MW/Hz).
The relationship between the equivalent speed regulation R e q in (13) and the individual generator speed regulation R i is given by (14):
1 R e q = i   1 R i P g N i f N
where P g N i is the rated power of generator i (MW); f N is the nominal system frequency (Hz); and R i is the angular speed regulation of generator i , defined as (15):
R i % = ω N L ω F L ω 0 × 100
where ω N L is the no-load steady-state speed, ω F L is the full-load steady-state speed, and ω 0 is the rated speed. R i = 5 % indicates that a 5% frequency deviation results in a 100% change in the generator’s active power output.
The system’s active load-frequency regulation coefficient is defined as (16):
D = Δ P L Δ f
where Δ P L is the change in the total active load and Δ f is the change in frequency.

3. Grid Strength Index Fusion Method Based on AHP-CRITIC

To address the susceptibility of subjective weighting methods to expert bias and the over-reliance of objective weighting methods on raw data, this paper employs the AHP-CRITIC method to determine the weights of each index and derive a corresponding composite score. The AHP-CRITIC method synergistically combines the advantages of both subjective and objective weighting. It utilizes the Analytic Hierarchy Process (AHP) to capture subjective judgments from experts based on their experience, while employing the CRiteria Importance Through Inter-criteria Correlation (CRITIC) method to perform objective weighting based on the intrinsic information within the data. For the evaluation indices selected in Section 2, which reflect the stability of the power grid during operation, certain interrelationships are bound to exist. This justifies the introduction of the CRITIC method. The CRITIC method fundamentally operates by analyzing the objective relationships among indices, calculating the contrast intensity across different operating scenarios for the same index, and quantifying the correlations between different indices. This allows for the comprehensive determination of objective weights, yielding results that are more objective and reasonable.
The AHP-CRITIC procedure first employs AHP to calculate subjective weights, followed by the CRITIC method for objective weights. Finally, the composite weights are calculated. The specific steps are as follows:
  • Construct the judgment matrix A and check for consistency.
The judgment matrix A is used to compare the relative importance of influencing factors at the same hierarchical level. A scale from 1 to 9 and their reciprocals is used for the comparison, as shown in (17) as below:
A = a 11 a 12 a 1 n a 21 a 22 a 2 n a n 1 a n 2 a n n
where a i j represents the importance of element i relative to element j at the same level, with values ranging from 1 to 9 and their reciprocals.
Based on the judgment matrix A , the product of the elements in each row, M i , is calculated, and its n -th root, W ¯ i is then determined in (18):
W ¯ i = j = 1 n a i j n , i = 1,2 , , n
The vector is then normalized according to W i = W ¯ i / i = 1 n W ¯ i to obtain the eigenvector of matrix A, which corresponds to the subjective weight vector as (19):
W = W 1 , W 2 , , W n T
The maximum eigenvalue of the judgment matrix is calculated as (20):
λ m a x = 1 n i = 1 n A W i W i
Then perform a consistency check on the judgment matrix, which is seen in (21)
C 1 = λ m a x n n 1
Generally, C 1 is not equal to 0, so the consistency ratio C R must be calculated to test for consistency, which is seen in (22):
C R = C 1 R 1
When C R < 0.1 , the judgment matrix A is considered to have satisfactory consistency. Otherwise, the values in the matrix must be readjusted, and the preceding steps must be repeated until the consistency check is passed.
2.
Calculate the objective weights
As the selected indices have different properties and units, with some being positively correlated with the objective layer and others negatively correlated, it is necessary to normalize the raw data.
For positive indices, this is achieved using (23):
r i j = x i j min ( x i ) max ( x i ) min ( x i )
For negative indices, this is achieved using (24):
r i j = max ( x i ) x i j max ( x i ) min ( x i )
where r i j   is the normalized value of the data for each index, and x i is the original index data. This results in an m × n standardized index matrix R which is seen in (25):
R = r 11 r 12 r 1 a r 21 r 22 r 2 a r m 1 r m 2 r m a
In the CRITIC method, the standard deviation of an index is used to represent the contrast among different scenarios. The standard deviation σ i can be calculated in (26). A larger standard deviation implies greater variation in the measured values, indicating that the data sample contains more information. Conflict refers to the varying degrees of positive or negative correlation among different indices. This characteristic can be quantified by calculating the correlation coefficient ρ i j using Equation (27).
σ i = 1 m j = 1 m r i j r i 2 i = 1 , 2 , , n
ρ i j = c o v R i , R j σ i σ j i , j = 1 , 2 , , n
where r i is the mean of the elements in the i -th row of matrix R ; c o v R i , R j is the covariance between the i -th and j -th rows of matrix R ; and σ i and σ j are the standard deviations of the i -th and j -th indices, respectively.
The amount of information contained in each index G i is then calculated based on the standard deviation and the correlation coefficients, which is seen in (28):
G i = σ i j = 1 n 1 ρ i j i = 1 , 2 , , n
where j = 1 n 1 ρ i j quantifies the conflict between the i -th evaluation index and all other indices. A larger G i signifies that the i -th index contains a greater amount of information, and thus its relative importance is higher. This value is then used to calculate the objective weight of the i -th index β i , which is seen in (29):
β i = G i j = 1 m G j
Through the transformations above, the objective weight vector β is obtained, which effectively corrects for both the variability and the conflict of the indices.
3.
Calculate the composite weight
To achieve a synergistic fusion of subjective and objective evaluation information, the Principle of Minimum Discrimination Information is introduced to integrate the weights derived from the AHP and CRITIC methods into a combined weight vector V . The composite weight of an index is given by (30):
v i = W i β i j = 1 n   W j β j
where v i is the composite weight of the i -th index.

4. SHAP Methodology Based on a GPR Surrogate Model

To enhance operational planning efficiency and identify the critical variables affecting grid stability, this paper proposes a method that combines a high-fidelity Gaussian Process Regression (GPR) surrogate model with the eXplainable AI (XAI) technique, SHapley Additive exPlanations (SHAP). The GPR surrogate model is designed to learn the complex, nonlinear mapping relationship between the system’s key operating variables and the composite grid strength index derived in Section 3. The SHAP method enables system operators not only to identify key parameters but also to diagnose the reasons for a low composite index under specific operating conditions. This allows for the formulation of more targeted and reliable control strategies without the need for extensive, time-consuming simulations. The framework provides an effective pathway for quantifying the influence of features on the composite index, offering both a global importance ranking and local explanations that are crucial for diagnosing system behavior in specific instances.

4.1. Surrogate Modeling Based on GPR

First, the dataset D for acquiring operational modes is defined as (31):
D = x i , y i i = 1,2 , , n = X , y
where   x i represents the generator output and load levels in various regions, and y i is the composite metric obtained in Section 2.
By incorporating noise into the observed target value y, the general model for a GPR problem can be established as (32):
y = f x + ε
where ε is independent Gaussian white noise with a mean of 0 and variance of σ 2 , denoted as ε N 0 , σ 2 . In (Equation (28)), since the noise ε is independent of f x , if f x follows a Gaussian distribution, then y also follows a Gaussian distribution. The set of their finite joint observations forms a Gaussian process, which is seen in (33):
y G P m x , k x , x + σ n 2 δ i j
where m x is the mean function; k ( x , x ) is the covariance; δ i j denotes the Kronecker delta function, which satisfies δ i j = 1 if i = j . The covariance function in matrix form is expressed as (34):
C X , X = K X , X + σ n 2 I
where I represents an N × N identity matrix; C X , X is an N × N covariance matrix; K X , X is an N × N kernel matrix (known as the Gram matrix), whose elements K i j = k x i , x j .
According to Bayesian principles, a prior function is established over the given dataset D . Conditioned on the test dataset D 1 =   { x i , y i } i = n + 1 n + n with n * samples, this prior transforms into a posterior distribution. The output vector f of the training data X - and the output vector f ¯ * of the test data then follow a joint Gaussian distribution, which is seen in (35):
y f N 0 , K X , X + σ n 2 I K X , X K X , X K X , X
Consequently, the posterior distribution of the predicted value f * is (36):
f X , y , X ~ N f ¯ , cov ( f
where the mean and covariance are (37):
cov ( f ) = K ( X , X ) K ( X , X ) × [ K ( X , X ) + σ n 2 I ] 1 K ( X , X )
The predictive mean vector is the output of the regression model, serving as the prediction for the output vector f * .

4.2. Feature Importance Analysis Based on the SHAP Method

To quantify the impact of each input feature, the SHapley Additive exPlanations (SHAP) method is employed. Rooted in cooperative game theory, SHAP provides a rigorous and unified framework for explaining the output of machine learning models. It calculates the marginal contribution of each feature to a specific prediction, ensuring that the explanations are both locally accurate and globally consistent.
For a single model prediction f x to be analyzed, SHAP uses an additive feature attribution method, which decomposes the final prediction of the model to be explained into a linear combination of the importance values of the input features, which is seen in (38):
f x = g x = ϕ 0 + i = 1 M ϕ i x i
where g is the explanation model; x { 0,1 } M where M is the number of simplified input features; ϕ 0 is the base value, which is the expected output of the model over the entire training dataset; and ϕ i is the importance value of input feature i . Additive feature attribution methods possess three desirable properties: (1) Local Accuracy, which requires that the explanation model g matches the output of the original model f for a given simplified input x ; (2) Missingness, which asserts that features that are missing in the original input have no impact on the output of the explanation model; and (3) Consistency, which states that if a change in the original model increases or maintains the contribution of a simplified input, regardless of other inputs, the importance of that input should not decrease. These axioms ensure that the SHAP values provide a reliable explanation for a given prediction, laying a solid theoretical foundation for understanding black-box models.
The Shapley value ϕ i is obtained by averaging the marginal contribution of a feature across all possible feature combinations, thereby fairly distributing the prediction difference among the individual features, which is seen in (39):
ϕ i = S N i   S ! N S 1 ! N ! f S I f S
where N is the set of all features; S is a subset of features that does not include feature i ; S denotes the number of features in the subset S ; ! is factorial symbol used to represent combinatorial coefficients in the analytical derivation. f S { I } represents the model’s output when the input is the union of subset S and feature i ; and f S is the output when the input is subset S . The term f ( S { I } ) f ( S ) is the marginal contribution of feature i given the feature subset S . The weighted average of these marginal contributions over all possible subsets is the Shapley value for feature i .
Individual Shapley values provide a local explanation for a single data input, while their aggregation forms a metric for global feature importance. The global importance of each feature R i is defined as the mean of the absolute Shapley values for that feature across all data samples, which is seen in (40):
R i = 1 n j = 1 n   ϕ i j
where ϕ i j is the absolute Shapley value of feature i for the j -th sample. A higher R i value indicates that the feature has a significant impact on the model’s output across the entire dataset, making it a key variable for stability monitoring and control. This approach not only allows for the ranking of features at a global level but also retains local details, enabling the explanation of why a particular feature is important in a specific scenario.
It is important to note that SHAP explanations are retrospective; they explain the contribution of each feature’s current value to a model’s prediction for an outcome that has already occurred. They are not inherently forward-looking. However, as reliable indicators of feature influence, they enable system operators to clearly understand which variables and geographical regions are the primary drivers of transient stability.

5. Case Study and Results

To validate the effectiveness of the proposed grid strength assessment framework and to demonstrate its practical value, a comprehensive case study was conducted based on a detailed, large-scale model of the Southwest Power Grid in China for the year 2027, which has a total planned installed capacity of approximately 264 GW. Calculations were performed using the PSD-BPA software package (version 4.15), which is integrated into the grid’s servers. All simulations and data analyses for this study were conducted on a high-performance computing workstation equipped with an AMD Ryzen 9 8945HX processor (AMD, Santa Clara, CA, USA), 32 GB of RAM (Samsung, Seoul, South Korea), and an NVIDIA GeForce RTX 5060 graphics card with 8 GB of VRAM (NVIDIA, Santa Clara, CA, USA). This section first presents the composite weights obtained using the AHP-CRITIC index fusion method. Subsequently, a quantitative assessment of different operating scenarios is provided. Finally, a SHAP-based analysis is used to identify the key factors and geographical regions that influence the system’s transient stability.

5.1. Grid Strength Assessment Based on the Fused Index

5.1.1. Weight Calculation

The foundation of a composite assessment is the rational allocation of weights to the various indices within the framework. The AHP-CRITIC method proposed in this paper is used to acquire these weights by fusing expert knowledge with data-driven characteristics.
  • Subjective Weights from AHP: Through consultation with experts, the importance ranking of the aforementioned evaluation indices was determined, from highest to lowest, as follows: Transient Voltage Stability Index, Load Shedding Ratio, Transient Angle Stability Index, Line Capacity Failure Proportion, Multi-Outfeed Short-Circuit Ratio, Frequency Deviation Factor, and DC Power Transfer Influence Factor. The subjective weight values for each individual index were calculated as W 1 = 0.0974 ,   W 2 = 0.0560 ,   W 3 = 0.1795 ,   W 4 = 0.1076 ,   W 5 = 0.2995 ,   W 6 = 0.1626 ,   W 7 = 0.0974
  • Objective Weights from CRITIC: The objective weights determined by the CRITIC method are β 1 = 0.1570 ,   β 2 = 0.0912 ,   β 3 = 0.2057 ,   β 4 = 0.2134 ,   β 5 = 0.0813 ,   β 6 = 0.0855 ,   β 7 = 0.1659
  • Composite Weights: By combining the subjective and objective weights, the composite weight vector was obtained as V = (0.1316, 0.0760, 0.2044, 0.1612, 0.1660, 0.1255, 0.1352). The distribution of the composite weights mitigates the bias that can arise from relying solely on expert judgment or data-driven methods. This fusion provides a scientifically sound and reliable basis for the subsequent composite grid strength assessment.

5.1.2. Comparative Analysis of Different Operating Modes

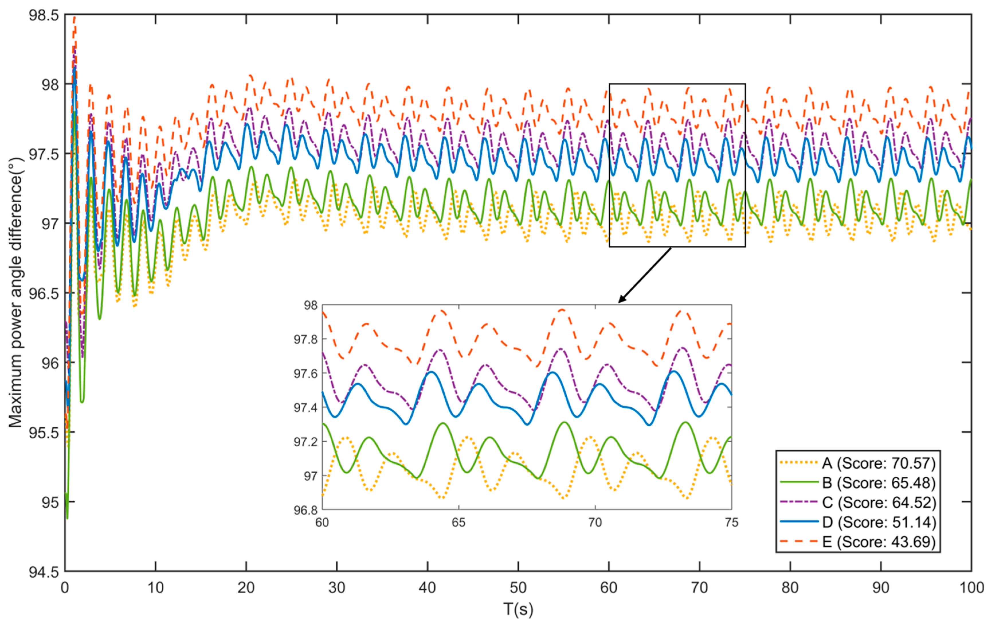
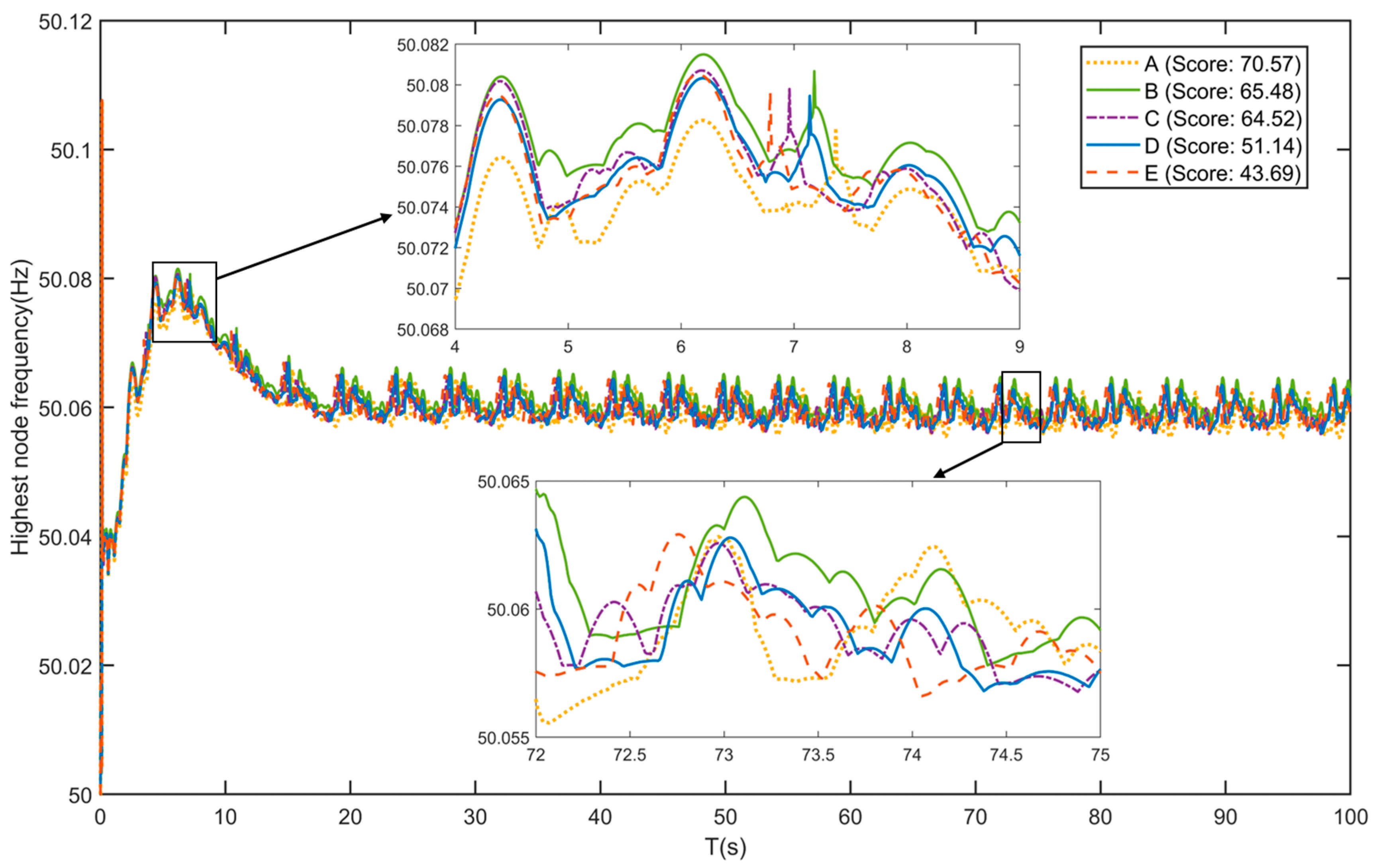
Using the derived composite weights, this study assessed various operating scenarios based on the “summer peak load” condition for the year 2027. Figure 3, Figure 4 and Figure 5 illustrate the maximum power angle separation, maximum frequency, and maximum nodal voltage during the transient stability process for five different scenarios following the same fault. The composite index scores for these five scenarios, denoted as A, B, C, D, and E, are 70.57, 65.48, 64.52, 51.14, and 43.69, respectively.
As can be observed from Figure 3, Figure 4 and Figure 5, performance differences exist among the various operating scenarios, and a strong correlation is found between the scores and the time-domain simulation results. Among the five cases, scenario A exhibits the best transient, voltage, and frequency stability, which is consistent with its highest index score. Conversely, while scenario E has moderate frequency stability, it shows the poorest transient and voltage stability, thus receiving the lowest score. This confirms that the proposed composite index can serve as a reliable and effective reference for detailed grid strength analysis and provides a valuable tool for system grid strength assessment and control applications.

5.2. Identification of Key Parameters via SHAP

5.2.1. Development and Validation of GPR Agent Models

To assess the impact of regional generation and load on overall system stability, the analysis framework detailed in Section 4 was implemented. Given that a robust analysis requires a large number of model evaluations, directly applying SHAP to full-scale power system simulations is computationally infeasible.
To overcome this challenge, a high-fidelity surrogate model based on Gaussian Process Regression (GPR) was first constructed to emulate the mapping between system inputs and the composite grid strength index. The GPR model aims to establish a mapping from the high-dimensional input space of system variables to the scalar output representing the composite grid strength index. The input vector X contains 10 key variables that characterize the generation (G) and load (L) levels in five critical regions of the Southwest Power Grid in China, specifically defined as x = { c d G , c d L , b s G , b s L , y b G , y b L , x c G , x c L , y c G , y c L } . The operating boundaries for each input variable were determined from historical data and planning studies, as detailed in Table 3. The scalar output y of the model is the composite grid strength index.
A training dataset of 100 samples was randomly generated. For each sample, the indices mentioned in Section 2 were calculated and then fused into a composite index. The GPR model was subsequently trained on this dataset. To verify the accuracy of the GPR simulator, its predictive performance was evaluated on an independent, unseen test set. As shown in Figure 6, the predicted values from the GPR model are in close agreement with the true values from simulations, and nearly all true values fall within the 95% confidence interval of the predictions. To further ensure the robustness of the model evaluation, a repeated 5-fold cross-validation strategy was employed. The entire 5-fold cross-validation process was independently repeated 100 times with different random seeds, yielding a mean Absolute Percentage Error (MAPE) of 4.87%. This confirms that the GPR simulator can serve as a reliable and accurate proxy for the full system model.

5.2.2. Global and Local Feature Importance Analysis Based on SHAP

Once the GPR surrogate model was validated, it was used as a computationally efficient proxy to conduct an in-depth feature importance analysis using SHAP. The SHAP method can simultaneously provide a global perspective on system-wide importance and local explanations for specific operating conditions.
Global Feature Importance Analysis Based on SHAP
First, a global analysis was performed to identify the system variables that have the most significant impact on stability across the entire operational space. Figure 7 illustrates the contribution of different input feature values to the output. Specifically, it shows how the value of an input feature influences whether the output is increased (SHAP value > 0) or decreased (SHAP value < 0). Each point represents the Shapley value for a feature in a specific instance; red indicates a high feature value, while blue indicates a low feature value. The features on the y-axis are ordered by increasing importance from bottom to top. This plot aggregates the local SHAP values from all samples, not only revealing the overall ranking of feature importance but also displaying the distribution, density, and direction of their impacts.
The global analysis unequivocally indicates that the load in the yc region and the load and generation in the cd region are the most critical factors influencing the grid strength index. As shown in Figure 7, higher values of ycL, cdG, and cdL tend to push the grid strength index higher, confirming their dominant and predictable influence. Interestingly, the generation and load parameters from the same region exhibit nearly identical SHAP value distributions. This suggests that in certain key regions, the source-load dynamics are highly coupled and should be considered as a single entity for coordinated control.
Local Explanation for a Single Instance
Beyond global ranking, SHAP is also capable of diagnosing individual operating scenarios. To demonstrate this capability, a scenario with a low predicted grid strength index was selected from the test set. Figure 8 presents the SHAP contribution plot for this single instance. The diagram decomposes the prediction, clearly showing how the value of each feature pushed the model’s output from the baseline value to the final prediction for this scenario.
The local diagnosis from Figure 8 reveals that, although multiple factors were at play, the low generator output and low load in the cd region were the primary contributors to the negative outcome in this specific case, pulling the grid strength index downward. This provides a plausible hypothesis: to improve the stability of this particular state, the most effective initial measure would be to increase the generation output and load in the cd region.
Validation of the Hypothesis via Corrective Control Simulations
To verify the hypothesis derived from the local SHAP analysis, a control experiment was conducted for the specific scenario from the previous subsection, as shown in Table 4. The results in the table show that adjusting generation and load in the cd region yields a significantly greater increase in the index compared to adjustments in the xc region, confirming that the grid strength index is indeed more sensitive to the generator output and load in the cd region. This evidence demonstrates that SHAP not only ranks overall feature importance but also identifies critical variables in specific scenarios, guiding operators to take effective control actions. This finding provides a crucial link between offline statistical planning and the real-world power system of Southwest China, confirming that this method can be reliably used as a planning tool to guide operational decisions and ensure the enhancement of grid stability.

6. Conclusions

This paper presented and verified a framework for composite grid strength assessment with interpretable feature importance analysis in complex hybrid AC/DC systems, an architecture that is increasingly characteristic of modern grids. The proposed methodology combines multi-criteria decision-making (AHP-CRITIC) for index fusion, a high-fidelity Gaussian Process Regression (GPR) surrogate model to overcome computational barriers, and the SHAP method to analyze the complex factors driving grid strength. Initially, a composite grid strength index was constructed, which synergistically integrates structural strength metrics and fault withstand strength metrics. A GPR-based surrogate model was then used to capture the complex nonlinear relationship between high-dimensional system parameters and this composite index. Finally, the SHAP method was applied to break down the complex dynamics of grid strength into a clear set of key influencing factors, ordered by their global significance and explained at the local, scenario-specific level.
The practical significance of this work for system planning and operations is substantial. The framework not only provides a composite grid strength assessment system but also offers operators highly relevant decision-making support by identifying key influencing factors. This enables them to design and verify control strategies with greater precision.
However, we acknowledge several limitations that pave the way for future research. The current GPR surrogate model’s inputs are primarily focused on generation and load levels, and its performance is inherently dependent on the quality and diversity of the training data. The model does not yet explicitly account for dynamic changes in network topology, such as line outages, which are critical determinants of grid strength.
Future work should therefore focus on addressing these limitations. A promising direction is the development of more sophisticated surrogate models, such as those based on Graph Neural Networks (GNNs), which can naturally encode topological information and adapt to its changes. This would enable the framework to assess a broader range of contingencies and provide more comprehensive stability insights. Additionally, future research could explore integrating a wider array of input features, including protection system parameters and control settings, to create a more holistic and robust assessment tool.

Author Contributions

Conceptualization, L.L. and H.Z.; Data curation, L.L.; Methodology, L.L., H.Z., S.C. and Y.T.; Validation, L.L., H.Z., S.C. and Y.Y.; Writing—original draft, L.L.; Writing—review and editing, H.Z., Y.T. and Y.Y. All authors have read and agreed to the published version of the manuscript.

Funding

This research was funded by Science and Technology Project of State Grid Corporation of China Southwest Branch-Research on Resilience Enhancement Technology for Clean Energy Hub Power Grid Supporting Flexible Mutual Aid of High-Capacity Dense Outfeed HVDC under All Operating Conditions, grant number 529998240005 and the APC was funded by State Grid Corporation of China Southwest Branch.

Data Availability Statement

The datasets generated and analyzed during the current study are not publicly available due to a confidentiality agreement with the Southwest Branch, State Grid Corporation of China, as the data pertains to proprietary grid operational information.

Conflicts of Interest

Authors L. Lu, H. Zhou, S. Cai, Y. Tao, and Y. Yang were employed by the company Southwest Branch, State Grid Corporation of China. The remaining authors declare that the research was conducted in the absence of any commercial or financial relationships that could be construed as a potential conflict of interest.

References

  1. Fang, X.; Misra, S.; Xue, G.; Yang, D. Smart grid—The new and improved power grid: A survey. IEEE Commun. Surv. Tutor. 2012, 14, 944–980. [Google Scholar] [CrossRef]
  2. Hossain, M.I.; Shafiullah, M.; Al-Sulaiman, F.A.; Abido, M.A. Comprehensive analysis of PV and wind energy integration into MMC-HVDC transmission network. Sustainability 2022, 15, 253. [Google Scholar] [CrossRef]
  3. Merzah Akram, N.; Abbas, H.A.; Firas, M.T. Enhancing Power Transmission Stability with HVDC Systems During Load Contingencies. J. Eur. Systèmes Autom. 2024, 57, 177–185. [Google Scholar] [CrossRef]
  4. Ali, J.S.; Qiblawey, Y.; Alassi, A.; Massoud, A.M.; Muyeen, S.M.; Abu-Rub, H. Power System Stability With High Penetration of Renewable Energy Sources: Challenges, Assessment, and Mitigation Strategies. IEEE Access 2025, 13, 39912–39934. [Google Scholar] [CrossRef]
  5. Zhang, Y.; Ravishankar, J.; Fletcher, J.; Li, R.; Han, M. Review of modular multilevel converter based multi-terminal HVDC systems for offshore wind power transmission. Renew. Sustain. Energy Rev. 2016, 61, 572–586. [Google Scholar] [CrossRef]
  6. Flourentzou, N.; Agelidis, V.G.; Demetriades, G.D. VSC-based HVDC power transmission systems: An overview. IEEE Trans. Power Electron. 2009, 24, 592–602. [Google Scholar] [CrossRef]
  7. Sun, H.; Zhao, B.; Xu, S.; Lan, T.; Li, Z.; Wu, P. Test models for stability/security studies of AC-DC hybrid power systems with high penetration of renewables. IEEE Trans. Power Syst. 2024, 40, 957–969. [Google Scholar] [CrossRef]
  8. Zhou, X.; Yi, J.; Song, R.; Yang, X.; Li, Y.; Tang, H. An overview of power transmission systems in China. Energy 2010, 35, 4302–4312. [Google Scholar] [CrossRef]
  9. Liang, X.; Abbasipour, M. HVDC transmission and its potential application in remote communities: Current practice and future trend. IEEE Trans. Ind. Appl. 2022, 58, 1706–1719. [Google Scholar] [CrossRef]
  10. Milano, F.; Dörfler, F.; Hug, G.; Hill, D.J.; Verbič, G. Foundations and challenges of low-inertia systems. In Proceedings of the 2018 Power Systems Computation Conference (PSCC), Dublin, Ireland, 11–15 June 2018; IEEE: New York, NY, USA, 2018. [Google Scholar]
  11. Markovic, U.; Chu, Z.; Aristidou, P.; Hug, G. LQR-based adaptive virtual synchronous machine for power systems with high inverter penetration. IEEE Trans. Sustain. Energy 2018, 10, 1501–1512. [Google Scholar] [CrossRef]
  12. Fan, M.; Sun, K.; Lane, D.; Gu, W.; Li, Z.; Zhang, F. A novel generation rescheduling algorithm to improve power system reliability with high renewable energy penetration. IEEE Trans. Power Syst. 2018, 33, 3349–3357. [Google Scholar] [CrossRef]
  13. Xu, J.; Lan, T.; Liao, S.; Sun, Y.; Ke, D.; Li, X.; Peng, X. An on-line power/voltage stability index for multi-infeed HVDC systems. J. Mod. Power Syst. Clean Energy 2019, 7, 1094–1104. [Google Scholar] [CrossRef]
  14. Bai, L.; Jiang, T.; Li, F.; Jia, H.; Shi, Q.; Chen, H.; Li, G. Confidence interval estimates for loading margin sensitivity for voltage stability monitoring in the presence of renewable energy. In Proceedings of the 2016 IEEE Power and Energy Society General Meeting (PESGM), Boston, MA, USA, 17–21 July 2016; IEEE: New York, NY, USA, 2016. [Google Scholar]
  15. Zhao, Y.; Li, P.; Wang, T.; Kang, Y.; Zhao, Y.B. Equipment health assessment based on AHP-CRITIC dynamic weight. In Proceedings of the 2022 41st Chinese Control Conference (CCC), Hefei, China, 25–27 July 2022; IEEE: New York, NY, USA, 2022. [Google Scholar]
  16. Li, S.; Tan, Y.; Li, C.; Cao, Y.; Jiang, L. A fast sensitivity-based preventive control selection method for online voltage stability assessment. IEEE Trans. Power Syst. 2017, 33, 4189–4196. [Google Scholar] [CrossRef]
  17. Moghaddam, I.N.; Salami, Z.; Easter, L. Sensitivity analysis of an excitation system in order to simplify and validate dynamic model utilizing plant test data. IEEE Trans. Ind. Appl. 2015, 51, 3435–3441. [Google Scholar] [CrossRef]
  18. Ginocchi, M.; Ponci, F.; Monti, A. Sensitivity analysis and power systems: Can we bridge the gap? A review and a guide to getting started. Energies 2021, 14, 8274. [Google Scholar] [CrossRef]
  19. Saltelli, A.; Annoni, P.; Azzini, I.; Campolongo, F.; Ratto, M.; Tarantola, S. Variance based sensitivity analysis of model output. Design and estimator for the total sensitivity index. Comput. Phys. Commun. 2010, 181, 259–270. [Google Scholar] [CrossRef]
  20. Liu, J.; Wang, X.; Wang, X. A sparse polynomial chaos expansion-based method for probabilistic transient stability assessment and enhancement. In Proceedings of the 2022 IEEE Power & Energy Society General Meeting (PESGM), Denver, CO, USA, 17–21 July 2022; IEEE: New York, NY, USA, 2022. [Google Scholar]
  21. Lundberg, S.M.; Erion, G.; Chen, H.; DeGrave, A.; Prutkin, J.M.; Nair, B. From local explanations to global understanding with explainable AI for trees. Nat. Mach. Intell. 2020, 2, 56–67. [Google Scholar] [CrossRef]
  22. Machlev, R.; Heistrene, L.; Perl, M.; Levy, K.Y.; Belikov, J.; Mannor, S.; Levron, Y. Explainable Artificial Intelligence (XAI) techniques for energy and power systems: Review, challenges and opportunities. Energy AI 2022, 9, 100169. [Google Scholar] [CrossRef]
  23. Hamilton Robert, I.; Panagiotis, N. Papadopoulos. Using SHAP values and machine learning to understand trends in the transient stability limit. IEEE Trans. Power Syst. 2023, 39, 1384–1397. [Google Scholar] [CrossRef]
  24. Rojas, C.A.; Kouro, S.; Perez, M.A.; Echeverria, J. DC–DC MMC for HVdc grid interface of utility-scale photovoltaic conversion systems. IEEE Trans. Ind. Electron. 2017, 65, 352–362. [Google Scholar] [CrossRef]
  25. Huang, X.; Wang, H.; Zhou, Y.; Zhang, X.; Wang, Y.; Xu, H. Photovoltaic power plant collection and connection to HVDC grid with high voltage DC/DC converter. Electronics 2021, 10, 3098. [Google Scholar] [CrossRef]
  26. Erat, A.; Vural, A.M. DC/DC modular multilevel converters for HVDC interconnection: A comprehensive review. Int. Trans. Electr. Energy Syst. 2022, 2022, 2687243. [Google Scholar] [CrossRef]
  27. Cheng, L.; Liu, H.; Zou, X.; Sun, Y. Short-term reliability online evaluation basing on transient state probability. In Proceedings of the 2007 IEEE Power Engineering Society General Meeting, Tampa, FL, USA, 24–28 June 2007; IEEE: New York, NY, USA, 2007. [Google Scholar]
  28. Liang, Z. Statistical analysis of transmission line fault tripping in state grid corporation of China in 2011–2013. East China Power 2014, 42, 2265–2270. [Google Scholar]
  29. Zhao, W.; Guo, Q.; Sun, H.; Ge, H.; Li, H. Practical short-term voltage stability index based on voltage curves: Definition, verification and case studies. IET Gener. Transm. Distrib. 2018, 12, 4292–4300. [Google Scholar] [CrossRef]
Figure 1. The grid strength assessment index framework.
Figure 1. The grid strength assessment index framework.
Electronics 14 04303 g001
Figure 2. Line’s outage probability under the change of load.
Figure 2. Line’s outage probability under the change of load.
Electronics 14 04303 g002
Figure 3. The maximum power angle difference over synchronous generators.
Figure 3. The maximum power angle difference over synchronous generators.
Electronics 14 04303 g003
Figure 4. The highest nodal voltage of the system.
Figure 4. The highest nodal voltage of the system.
Electronics 14 04303 g004
Figure 5. The highest nodal frequency of the system.
Figure 5. The highest nodal frequency of the system.
Electronics 14 04303 g005
Figure 6. Performance of the GPR surrogate model on the test set.
Figure 6. Performance of the GPR surrogate model on the test set.
Electronics 14 04303 g006
Figure 7. Shapley value.
Figure 7. Shapley value.
Electronics 14 04303 g007
Figure 8. Local SHAP explanation with feature SHAP values.
Figure 8. Local SHAP explanation with feature SHAP values.
Electronics 14 04303 g008
Table 1. Comparison between “Electrical Grid” and “Power Grid” Concepts.
Table 1. Comparison between “Electrical Grid” and “Power Grid” Concepts.
TermDefinition Main Features Typical Examples
Electrical GridTraditional physical network for generation, transmission, and distribution of electrical energyFocus on physical power flow, equipment (lines, transformers), voltage/frequency stabilityNational transmission network, city distribution grid
Power GridBroader cyber–physical-energy system integrating control, communication, and distributed energyIncludes DERs, ICT, automation, energy management, and resilience mechanismsSmart grid, hybrid AC/DC grid, regional control system
Table 2. Comparison between “Strong HVDC” and “Weak AC”.
Table 2. Comparison between “Strong HVDC” and “Weak AC”.
TermDefinitionMain FeaturesTypical Examples
Strong HVDCHVDC systems with high power transmission capability, large voltage levels, and long transmission distances.High power capacity, high voltage, long-distance transmissionHVDC lines for cross-regional or inter-country power transfer
Weak ACAC systems with high impedance, limited voltage support, and susceptibility to disturbances.Low X/R ratio, limited power transmission capacity, voltage instabilityRegions with low system inertia, high dependence on renewable generation
Table 3. Definition and value range of each variable.
Table 3. Definition and value range of each variable.
VariableDefinitionData Range
cdGGenerator output in region cd[4123, 5890]
cdLLoad in region cd[26,653, 28,420]
bsGGenerator output in region bs[2678.9, 3827]
bsLLoad in region bs[16,090.9, 17,239]
ybGGenerator output in region yb[11,501, 16,430]
ybLLoad in region yb[605, 5534],
xcG,Generator output in region xc[12,593, 17,990]
xcLLoad in region xc[0, 5397]
ycGGenerator output in region yc[7415.1, 10,593],
ycLLoad in region yc[0, 3177.9]
Table 4. Index values after adjusting regional generation and load.
Table 4. Index values after adjusting regional generation and load.
Adjustment RegionGeneration AdjustmentLoad AdjustmentThe Integrated Index
(control group)--33.73
xc+500 MW+500 MW34.45
xc+1000 MW+1000 MW35.24
cd+500 MW+500 MW40.03
cd+1000 MW+1000 MW47.61
Disclaimer/Publisher’s Note: The statements, opinions and data contained in all publications are solely those of the individual author(s) and contributor(s) and not of MDPI and/or the editor(s). MDPI and/or the editor(s) disclaim responsibility for any injury to people or property resulting from any ideas, methods, instructions or products referred to in the content.

Share and Cite

MDPI and ACS Style

Lu, L.; Zhou, H.; Cai, S.; Tao, Y.; Yang, Y. Explaining Grid Strength Through Data: Key Factors from a Southwest China Power Grid Case Study. Electronics 2025, 14, 4303. https://doi.org/10.3390/electronics14214303

AMA Style

Lu L, Zhou H, Cai S, Tao Y, Yang Y. Explaining Grid Strength Through Data: Key Factors from a Southwest China Power Grid Case Study. Electronics. 2025; 14(21):4303. https://doi.org/10.3390/electronics14214303

Chicago/Turabian Style

Lu, Liang, Hong Zhou, Shaorong Cai, Yuxuan Tao, and Yuxiao Yang. 2025. "Explaining Grid Strength Through Data: Key Factors from a Southwest China Power Grid Case Study" Electronics 14, no. 21: 4303. https://doi.org/10.3390/electronics14214303

APA Style

Lu, L., Zhou, H., Cai, S., Tao, Y., & Yang, Y. (2025). Explaining Grid Strength Through Data: Key Factors from a Southwest China Power Grid Case Study. Electronics, 14(21), 4303. https://doi.org/10.3390/electronics14214303

Note that from the first issue of 2016, this journal uses article numbers instead of page numbers. See further details here.

Article Metrics

Back to TopTop