Next Article in Journal
An Adaptive PID Controller for Longitudinal Velocity and Yaw Rate Tracking of Autonomous Mobility Based on RLS with Multiple Constraints
Next Article in Special Issue
Design Method of Variable Cross-Section Winding for Coating-Cooled Tapered Permanent Magnet Linear Synchronous Motors
Previous Article in Journal
Towards Secure Legacy Manufacturing: A Policy-Driven Zero Trust Architecture Aligned with NIST CSF 2.0
Previous Article in Special Issue
A Novel Loss-Balancing Modulation Strategy for ANPC Three-Level Inverter for Variable-Speed Pump Storage Applications
 
 
Font Type:
Arial Georgia Verdana
Font Size:
Aa Aa Aa
Line Spacing:
Column Width:
Background:
Article

A Hierarchical Step-by-Step Multi-Objective Genetic Optimization for Multi-Port Composite Flux-Modulated Machines

1
Harbin Institute of Technology (Shenzhen), School of Robotics and Advanced Manufacturing, Shenzhen 518055, China
2
Department of Electrical and Electronic Engineering, Huazhong University of Science and Technology, Wuhan 430074, China
*
Author to whom correspondence should be addressed.
Electronics 2025, 14(20), 4110; https://doi.org/10.3390/electronics14204110
Submission received: 18 July 2025 / Revised: 5 October 2025 / Accepted: 7 October 2025 / Published: 20 October 2025

Abstract

This paper presents a hierarchical and step-by-step multi-objective genetic optimization method for the multi-port composite flux-modulated (MP-CFM) machine, aiming to propose a simpler and high-accuracy optimization strategy for such multi-port composite machines. As a specialized machine well-suited for hybrid power systems, the optimization design is innovatively conducted based on an analysis of the fundamental operating principles and working modes of the MP-CFM machines. Specifically, considering the complex structure of such composite machines, sensitivity analysis is employed, applying differentiated strategies based on parameter sensitiveness evaluation. Furthermore, to ensure the rationality of the optimization results, and also to reduce computational cost and improve convergence, the optimization is artfully developed hierarchically with multi-steps, in accordance with the multi-modes of the machine. Specific optimization objectives and variables are defined, respectively, for each mode to enhance the optimization efficiency. Finite element analysis results demonstrate the effectiveness of the proposed optimization strategy for such MF-CFM machines for hybrid power system applications.

1. Introduction

In recent years, with growing attention to hybrid electric vehicles (HEVs), the integrated motor drive system has become an important research hotspot [1]. Conventional hybrid vehicles typically employ a dual-machine configuration coupled with a planetary gear set to facilitate power coupling between the internal combustion engine (ICE) and the electric machines to realize continuously variable transmission (CVT) and torque regulation within the hybrid powertrain [2]. However, this approach suffers from drawbacks including a relatively large number of components and a complex mechanical structure, leading to significant space occupancy. Consequently, system simplification is regarded as a core research objective in this field [3].
To solve the system complexity, the multi-port composite flux-modulated (MP-CFM) machine has attracted significant research attention owing to its notable features, including high integration, high torque density, and flexible power distribution [4]. An MP-CFM machine integrates two mechanical ports and two electrical ports, facilitating bidirectional energy conversion between mechanical and electrical forms. Through the coordinated operation of these dual mechanical and electrical ports, the operating state of the inner stator armature windings can be adjusted. This adjustment enables smooth regulation of the machine’s output speed, thereby realizing CVT capability. Furthermore, by energizing the outer stator armature windings, the output torque of the machine can be augmented, effectively compensating for the insufficient power output from the inner stator and the ICE [5].
Currently, research on MP-CFM machines predominantly focuses on topology design and structural optimization. In recent years, scholars have proposed diverse novel topologies tailored for specific application scenarios, enhancing the topological diversity of these machines [6]. Representative machine types include radial magnetic field [7], transverse-flux [8], and axial-flux MP-CFM machines [9]. To address specific application requirements, these topologies provide targeted solutions through improvements in operational principles and performance metrics.
In the field of motor optimization, constructing electromagnetic performance performance parameter analysis models serves as the foundation and key to conducting research. Currently, the mainstream analysis models mainly include three types: finite element models, curve fitting models, and magnetic equivalent circuit models. Computational accuracy and operation speed are important indicators for evaluating the performance of these models [10,11].
The curve fitting model utilizes the structural parameters of the machine as inputs and its performance parameters as outputs. By establishing a nonlinear function through curve fitting techniques, it achieves an associated mapping between inputs and outputs [12]. However, in practical applications, traditional curve fitting models depend heavily on the modeler’s expertise, limiting their general applicability. Notably, advances in artificial intelligence and neural network technologies have introduced new opportunities for optimizing and enhancing this modeling approach [13]. The magnetic equivalent circuit model applies circuit analysis theories to analogize the internal magnetic circuit of the machine, representing each component as a magnetic impedance [14,15]. However, the simplifying assumptions and abstraction scope limitations inherent in this modeling approach may compromise its computational accuracy. The finite element model demonstrates superior computational accuracy, particularly when analyzing complex machine structures where it significantly outperforms the other two modeling approaches [16]. However, this high precision entails a trade-off in computational speed, resulting in relatively low operational efficiency.
Furthermore, the strategic selection of optimization objectives and parameters is critical. Traditional optimization algorithms typically focus on a single performance metric, such as torque density, torque ripple, back electromotive force harmonics, or efficiency [17]. However, increasingly diverse application scenarios now demand comprehensive machine performance. For high-power marine propulsion systems, torque density and efficiency are prioritized while torque ripple sensitivity remains low due to specific operating conditions [18]. Conversely, new energy vehicles (NEVs) require balanced optimization of multiple key indicators including torque density, torque ripple, efficiency, and temperature rise. Particularly for MP-CFM machines, their complex dual mechanical–electrical port structure substantially increases the number of optimization objectives. Consequently, multi-objective genetic algorithms have become essential for effective optimization [19,20].
From an optimization parameter perspective, permanent magnet machines can be categorized as multi-parameter or few-parameter types. For few-parameter machines, all structural variables are incorporated into the multi-objective optimization program to obtain globally optimal solutions [21]. However, the numerous structural parameters in multi-parameter machines increase optimization complexity, where excessive variables may cause prolonged computation time or non-convergence [22,23]. Consequently, sensitivity analysis serves as a critical method for prioritizing influential parameters and de-emphasizing secondary variables. In [24], a three-layer sensitivity analysis classified structural parameters of a dual-mechanical-port flux-switching permanent magnet machine, effectively reducing input variables while maintaining optimization accuracy and improving multi-objective optimization efficiency. Furthermore, multi-level optimization represents a common strategy for multi-parameter machines. Subdividing and optimizing highly sensitive parameters according to rotor–stator components can significantly reduce optimization time [25]. For multi-mechanical-port dual-rotor flux-switching permanent magnet machines, their structural complexity and numerous design parameters enable differentiated optimization strategies based on driving modes. Establishing mode-specific optimization objectives and parameters reduces computational burden [26].
Hence, in summary, for electric machines with high complexity, the finite element method turns to be a more feasible optimization method. While currently, optimization majorly focuses on geometrical structure optimization, neglecting the coupling influences of multi-operating modes. Also, for composite machines, the mutual effect between different parts also possesses impacts on the optimization, which is also limitedly investigated. Therefore, this paper proposes a step-by-step hierarchical multi-objective optimization method for MP-CFM motors, considering the multi-modes and mutual influence between multi-motor parts. Compared with traditional methods, its core innovations are as follows:
  • Parameter Hierarchy and Differentiated Optimization Strategy
    Through sensitivity analysis, parameter variables are stratified. Differentiated optimization strategies are adopted for parameters with different sensitivity intensities, which improves the convergence efficiency of the optimization algorithm and effectively reduces the optimization time.
  • Collaborative Optimization for Full-Modality Working Conditions
    Aiming at the multi-operation modality characteristics of MP-CFM motors, optimization parameters, objective functions, and constraint conditions are dynamically adjusted under different working conditions to ensure the motor achieves optimal performance across the entire operating range.
  • Step-by-Step Iterative Optimization Mechanism
    A step-by-step optimization framework is used, where the optimization results of the previous working condition are set as the initial population input for the subsequent condition. Through iterative inheritance, the optimization algorithm is prevented from falling into local optimal solutions, enhancing the global optimization capability.
The paper is structured as follows: Section 2 introduces the initial topology design concept and key parameters of the MP-CFM machine. Section 3 employs analytical methods to detail the operating principles, derive speed–torque relationships of components, analyze energy flow across operating conditions, and validate the machine’s effectiveness as a powertrain component in hybrid systems. Section 4 constructs the machine’s structural variable parameter model, implements parameter stratification via sensitivity analysis, performs stage-wise optimization based on multi-mode characteristics, defines mode-specific objectives/variables, presents optimization results, and verifies method efficacy.

2. Initial Topology Design of the MP-CFM Machine

The basic topology design of MP-CFM machines is illustrated in this section. Shown in Figure 1, the MP-CFM machine accommodates a double-stator, double-rotor mechanical structure formed by electromagnetic–mechanical coupling of two integrated machines. The inner stator winding, flux-modulated rotor, and permanent magnet outer rotor collectively form a inner machine (speed regulating machine). Conversely, the outer stator winding and permanent magnet outer rotor constitute a outer machine (torque regulating machine). The flux-modulating rotor is mechanically coupled to the ICE, enabling continuous adjustment of the outer rotor speed through electrical frequency modulation of the inner stator winding, thereby achieving CVT functionality.
The dual armature windings are located on dual independent stators to reduce winding coupling. This dual-stator configuration simultaneously reduces leakage flux and increases air gap flux density amplitude, enhancing overall output performance. To minimize electromagnetic coupling, the pole pair numbers for the inner and outer windings are selected as one even and one odd number, respectively, avoiding back electromotive force harmonics caused by common factors. For rotor pole pair design, combinations with the least common factors are critical, with prime numbers being the ideal choice since their only common factors are 1 and themselves.
Given the structural complexity, both inner and outer stators feature a 24-tooth design to mitigate magnetic circuit asymmetry. Speed regulation is achieved through magnetic field modulation principles, where the inner rotor serves as the modulating component. To prevent inner stator teeth from participating in modulation, a semi-closed slot design is adopted, reducing both salient pole effects and inner stator modulation. The final design parameters of the MP-CFM machine are presented in Table 1.

3. Analysis of the Operating Principle and Working Modes of the MP-CFM Machine

Based on the basic topology of the MF-CFM machine, this section details the operating principles and working modes of the proposed MP-CFM machine, with a specific focus on analyzing its operational mechanism through air-gap magnetic flux density analysis. Based on the operational requirements of hybrid power systems, a multi-modal analysis of the MP-CFM machine is conducted.

3.1. Analysis of the Operating Principle of the MP-CFM Machine

The MP-CFM machine is developed based on magnetic field modulation principles, with its core research focus being the machine’s air-gap magnetic field. Analysis of the air-gap magnetic flux density enables assessment of the machine’s electromagnetic performance. The fundamental principle of magnetic field modulation requires consistency between the electrical frequency of the armature winding and that of the permanent magnet rotor to ensure stable machine operation. The air-gap magnetic flux density B ( θ , t ) is typically calculated using Equation (1).
B ( θ , t ) = F ( θ , t ) λ ( θ , t )
F ( θ , t ) denotes the air-gap magnetomotive force under no-load conditions, while λ ( θ , t ) represents the air-gap permeance. Due to the highly nonlinear nature of both the permanent magnet magnetomotive force and the air-gap permeance function, the air-gap magnetic flux density is obtained as their product. To simplify analysis, Fourier decomposition can be applied to express these functions as combinations of trigonometric functions. The Fourier decompositions of the air-gap magnetomotive force function and air-gap permeance function for the surface-mounted machine are presented in Equations (2) and (3).
λ ( θ , t ) = λ 0 + i = 1 λ i cos i P o s θ ω o s t
F ( θ , t ) = F e h = o d d 1 h sin ( α m ) cos [ h P P M ( θ ω e t ) ]
λ 0 denotes the zeroth harmonic component of the air-gap permeance function, while λ i represents the amplitude of the i-th harmonic component. P o s indicates the pole pair number of the magnetic modulation rotor, θ the spatial position angle, ω o s the mechanical rotational speed of the magnetic modulation unit, α m the pole arc coefficient of the surface-mounted permanent magnet, P P M the pole pair number of the permanent magnet, and ω e the mechanical rotational speed of the permanent magnet rotor.
Magnetic field modulation machines typically adopt open or semi-closed slot structures, which leads to non-constant air-gap permeance that exhibits significant fluctuations. In this case, the influence of higher-order harmonics cannot be neglected. However, given that the amplitude of these harmonics decreases as the harmonic order increases, only the first-order component of the machine’s air-gap permeance needs to be considered. By substituting this first-order permeance function into the calculation of the air-gap magnetic density, Equation (4) is obtained.
F h denotes the harmonic amplitude of the permanent magnet magnetomotive force at the h-th order, and λ 1 represents the amplitude of the first-order air-gap permeance. For magnetic field modulation machines, the primary focus lies on the magnetic density fluctuation term introduced by the first-order permeance. Compared with conventional machines, each component of the air-gap magnetic density in magnetic field modulation machines corresponds to a virtual pole pair number and rotational speed. According to magnetic field modulation principles, stable operation remains achievable even when the stator winding pole pair number is P P M ± p o s .
B ( θ , t ) = F ( θ , t ) λ o ( θ , t ) = h = 1 , 3 , 5 F h cos h P P M ( θ ω P M t ) λ 0 + λ 1 cos ( i p o s θ ) = λ 0 h = 1 , 3 , 5 F h cos h P P M ( θ ω P M t ) + 1 2 h = 1 , 3 , 5 F h λ 1 cos ( ( p o s + h P P M ) θ ( h P P M ω P M + p o s ω o s ) t ) + 1 2 h = 1 , 3 , 5 F h λ 1 cos ( ( h P P M p o s ) θ ( h P P M ω P M p o s ω o s ) t )
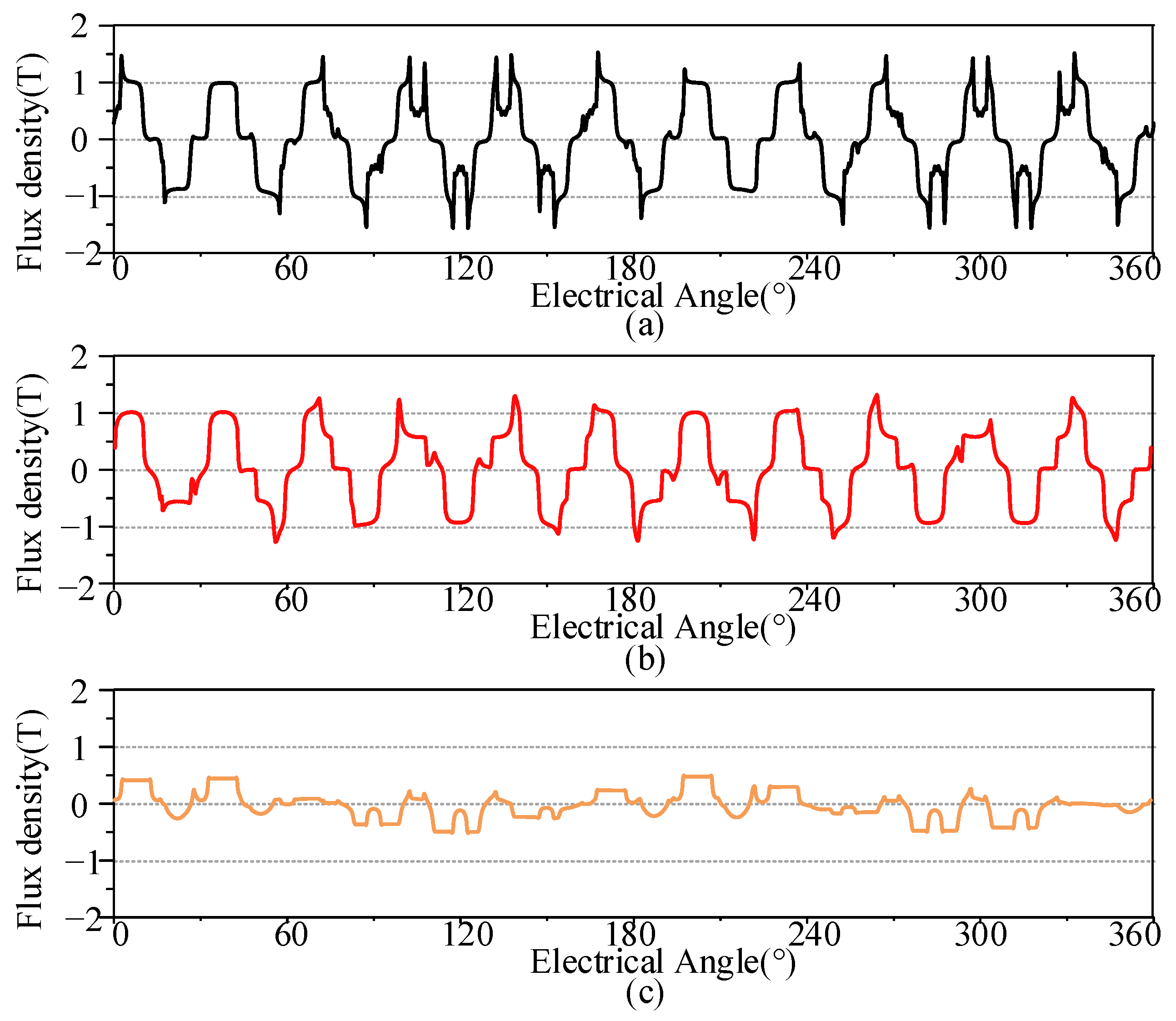
For the MP-CFM machine, its torque regulation component comprises the outer stator, outer stator winding, and permanent magnet outer rotor. Air-gap permeance fluctuations primarily originate from stator slotting effects. However, since the magnetic modulation element of the torque regulator (i.e., stator teeth) remains stationary, ω o s equals zero in (4). The speed regulation component consists of the inner stator, inner stator winding, inner rotor, and outer permanent magnet rotor. Figure 2 shows the three-layer air-gap magnetic flux density distribution of the multi-port compound flux-modulated (MP-CFM) machine. The distribution results of these three air-gaps are obtained through simulation using the finite element software JMAG 20.0.
Compared with the inner stator slotting effect, the permeance fluctuation amplitude introduced by the magnetic modulation inner rotor significantly exceeds the modulation effect of inner stator teeth. Consequently, air-gap permeance fluctuations in the speed regulator are predominantly caused by inner rotor saliency. Given the inner rotor’s mechanical rotation, ω o s is non-zero. Therefore, the electrical frequencies of both inner and outer windings can be derived from Equation (5).
ω o w = P P M ω P M ω i w = h P P M ω P M ± p o s ω o s
ω o w represents the electrical angular velocity of the outer armature winding. ω i w represents the electrical angular velocity of the inner armature winding. When analyzing the speed regulation performance of the MP-CFM machine, according to Equation (5), it can be known that the electrical frequency of the outer stator winding is only related to the rotational speed of the permanent magnet rotor, while the electrical frequency of the inner stator winding is not only related to the rotational speed of the permanent magnet rotor but is also affected by the rotational speed of the magnetic modulation rotor. Since the magnetic modulation inner rotor is connected to the internal combustion engine, its mechanical rotational speed is determined by the internal combustion engine, and the mechanical rotational speed of the permanent magnet outer rotor can be calculated according to Equation (6).
ω P M = ω i w ± p o s ω o s h P P M
When analyzing the speed regulation performance of the MP-CFM machine, it is found that the rotational speed of the permanent magnet outer rotor depends solely on the electrical frequency of the inner stator winding once the speed of the magnetic modulation inner rotor is fixed. Moreover, when the internal combustion engine operates within its high-efficiency range, it maintains a nearly constant rotational speed; given this, continuous speed regulation of the permanent magnet outer rotor can be accomplished by adjusting the electrical frequency of the inner stator winding.
To summarize, when the rotational speeds of the inner and outer rotors in the MP-CFM machine satisfy P P M ω P M > p o s ω o s , the electrical frequency of the inner stator winding operates in the positive direction, indicating that the winding supplies electrical energy to the machine. Conversely, when P P M ω P M < p o s ω o s , the electrical frequency reverses to the negative direction. Under this condition, the energy output from the internal combustion engine exceeds the load demand. Consequently, the inner stator winding functions as a generator winding, converting surplus mechanical energy into electrical energy for storage in the vehicle-mounted battery, thereby achieving energy recycling and utilization.
In the MP-CFM machine, the electrical frequency of the outer stator winding is determined by the rotational speed of the permanent magnet outer rotor. The inner stator winding, inner stator, magnetic modulation inner rotor, and permanent magnet outer rotor collectively constitute a magnetic gear system, enabling its critical speed regulation function. Another notable feature of the MP-CFM machine is the decoupling between the internal combustion engine and the load torque.
In conventional motors featuring a single electrical port and a single mechanical port, the electromechanical energy conversion process is relatively straightforward. Under ideal lossless conditions, the electromagnetic torque generated by the three-phase windings is fully converted into mechanical torque on the output shaft. However, the MP-CFM machine’s dual mechanical ports and dual electrical ports result in significantly more complex power flow dynamics than traditional motors. For the magnetic gear system formed by the inner stator, magnetic modulation rotor, and permanent magnet rotor, the torque relationships between components satisfy Equation (7) according to the principles of energy conservation and angular momentum conservation. In Equation (7), T i w represents the electromagnetic torque of the inner armature winding, T i r represents the mechanical torque of the inner rotor, T p m i represents the mechanical torque of the outer rotor when only the inner stator is energized, and K represents a constant.
According to Equation (7), for the speed regulation motor, there is a proportional relationship among its electromagnetic torque, the input torque of the internal combustion engine, and the load torque. Therefore, when the input torque of the internal combustion engine is determined, the torques of the remaining parts of the speed regulation motor are also determined accordingly. In conclusion, the output speed and torque of the MP-CFM motor have no direct relationship with the speed and torque of the internal combustion engine. This achieves the decoupling between the speed and torque of the internal combustion engine and the load, enabling the internal combustion engine to operate within the optimal efficiency range for a long time, thus saving fuel consumption to the greatest extent. Figure 3 presents the relevant electromagnetic performance of the MP-CFM machine under the conditions that the inner rotor speed is 600 r/min and the outer rotor speed is 1200 r/min. The speed regulation and torque compensation functions described in this paper can be verified from the figure.
T i w = k P i w , T i r = k P i r , T p m i = k P p m , T i w : T i r : T p m i = P i w : P i r : P p m

3.2. Analysis of the Operating Principle of the Hybrid Propulsion System

This section begins with the operating conditions of the hybrid power system and elaborates on the working modes of the MP-CFM machine. As established previously, the MP-CFM integrates two coupled machines, enabling four distinct operational modes:
  • Torque-regulating machine exclusively active;
  • Speed-regulating machine exclusively active;
  • Both machines operating simultaneously;
  • Both machines inactive.
First, when only the torque-regulating machine operates, the internal combustion engine remains off—with no fuel combustion or mechanical output to avoid unnecessary energy consumption—and the inner rotor is stationary without any rotational motion. The inner stator, meanwhile, is not energized, so it does not produce a magnetic field that could affect the torque-regulating machine’s operation. Figure 4 illustrates the energy flow within the MP-CFM machine in this mode. Under these conditions, the system functions equivalently to a conventional permanent magnet synchronous machine, with its outer stator armature winding connected to the battery for stable bidirectional energy transfer.
In hybrid vehicle applications, this mode corresponds to complex urban driving scenarios, such as frequent stop-and-go at intersections or low-speed travel in crowded areas. During vehicle propulsion, battery energy converts to mechanical energy via the outer stator armature winding, which then drives the vehicle’s wheels to realize forward movement. During deceleration, regenerative braking occurs: relying on the vehicle’s inertial force, the outer stator winding generates braking torque to slow the vehicle while converting surplus mechanical energy into electrical energy. This electrical energy is then fed back to the battery for storage, thereby optimizing the hybrid vehicle’s overall energy utilization efficiency.
Second, when only the speed-regulating machine operates, the MP-CFM machine’s energy sources comprise mechanical energy from the internal combustion engine and electrical energy from the inner stator armature winding, while the outer stator armature winding functions exclusively as an energy output port. During hybrid vehicle deceleration, this outer winding provides braking torque.
In this operational mode, the inner rotor connects directly to the internal combustion engine, which typically operates within its optimal efficiency range with minimal speed and torque fluctuations. This stable operational state not only reduces unnecessary energy loss caused by frequent speed changes of the engine but also effectively lowers mechanical wear, extending the service life of core components. According to the engine’s universal characteristic curve, the system achieves high-speed operation; however, since energy derives solely from the internal combustion engine and inner stator armature winding, the outer rotor’s torque output remains relatively low—typically below the engine’s rated torque value. This torque limitation means the mode is not suitable for high-load scenarios such as rapid acceleration, climbing, or carrying heavy loads, as it cannot provide sufficient driving force to meet intense power demands.
Consequently, the hybrid vehicle operates under high-speed, low-torque conditions corresponding to light-load cruising states, such as steady driving on highways with no sudden speed changes or additional load requirements. In this scenario, the vehicle can maintain a constant speed with relatively low fuel consumption, fully leveraging the engine’s high-efficiency characteristics. Figure 5 illustrates the mechanical and electrical power flow during exclusive operation of the speed-regulating machine. In this configuration, the inner stator armature winding serves as the primary energy input source, converting electrical energy into mechanical energy to assist the engine in maintaining high-speed operation, while the outer stator armature winding provides braking torque exclusively during vehicle deceleration. This one-way braking torque function helps convert part of the vehicle’s kinetic energy into electrical energy for storage, further improving the overall energy utilization efficiency of the hybrid system.
Furthermore, when both torque-regulating and speed-regulating machines operate concurrently, the MP-CFM system’s energy sources encompass mechanical power from the internal combustion engine and electrical power from both inner and outer armature windings. In this mode, the system achieves its peak power output among all operating states. Torque is synthesized by both machines, while the outer rotor speed is flexibly modulated by regulating the inner stator’s electrical frequency.
This dual-machine operation primarily serves two hybrid vehicle scenarios:
  • Acceleration with torque augmentation (high-load, high-speed overtaking).
  • Low-speed climbing with high torque output (hill climbing requiring high traction).
Figure 6 illustrates the energy flow during these operating conditions. The inner stator armature winding operates bidirectionally, functioning as either an energy source or sink to adjust the outer rotor’s output speed and achieve speed regulation. The descriptions of the relevant operating conditions are shown in Table 2. For longer text content, this setting will ensure proper line wrapping according to the page width.
In summary, this section analyzes the electromagnetic and mechanical characteristics of the MP-CFM motor under different operating modes and working conditions. Graphical methods and finite element simulation are used to verify the performance requirements of the MP-CFM motor under different operating conditions, and the power flow of the motor under different working conditions is presented.

4. Step-by-Step Hierarchical Multi-Objective Optimization of MP-CFM Machine

This section details the optimization strategy and process for the MP-CFM machines, as shown in Figure 7. This optimization method is universal, applicable not only to the MP-CFM machine but also to complex machines with multiple parametric variables. The specific process is as follows:
(1)
Determine the basic topological structure of the machine and complete the preliminary topological design, which has been accomplished in the previous design analysis.
(2)
Construct a parametric model of the MP-CFM machine. Select all variables that may affect the machine’s performance and classify these variables.
(3)
Define the optimization objectives and relevant constraints for the MP-CFM machine. Choose performance target parameters that are sensitive to the hybrid electric vehicle’s powertrain system. To ensure stable operation of the machine, corresponding constraints should be added to the optimization process.
(4)
Based on the previous analysis of the machine’s multiple operating conditions, to ensure optimization under each condition, this paper employs a step-by-step optimization approach for the MP-CFM machine. The results of the previous step serve as the initial case for the next step.
(5)
Plot the Pareto curve for each optimization step. Select the optimal topological structure from the Pareto curve as the optimization result.
Multi-objective Genetic Algorithm (MOGA) is an intelligent optimization method based on the theory of biological evolution. Its core lies in addressing optimization problems with multiple conflicting objectives within the framework of genetic algorithms. Through genetic operations such as selection, crossover, and mutation, it performs iterative searches in the solution space. Instead of pursuing a single optimal solution, it generates a set of “Pareto optimal solutions”—in this set, no solution can outperform others in all objectives simultaneously, providing decision-makers with a variety of choices.

4.1. Selection of Optimization Structure Variables for MP-CFM Machine

This subsection conducts parametric modeling of the MP-CFM machine to establish a fundamental parametric framework and precisely identify structural variables influencing performance. Initial analysis reveals that certain parameters must remain constant during optimization: inner and outer diameters (significantly impact performance but constrained by limited space in hybrid electric vehicles) and the air gap (critical for electromechanical energy conversion, requiring constant width to ensure optimization fairness when adjusting other parameters).
Beyond these three special parameters, about 20 parameters (Figure 8) remain to affect motor output performance. Importing all 20 parameters into the optimization program would substantially increase the optimization burden, cause computational costs to grow exponentially, and risk algorithm non-convergence. To enhance optimization efficiency without compromising accuracy, sensitivity analysis stratifies these parameters into high-sensitivity parameters (structural variables with profound impact on output performance, serving as focal optimization targets) and low-sensitivity parameters (variables with minimal performance impact, requiring appropriately reduced attention).
Figure 8 demonstrates that the 20 parameters can be clearly categorized into three groups: outer stator structural parameters, inner stator structural parameters, and dual-rotor structural parameters. Preliminary analysis suggests that outer stator structural parameters primarily influence the performance of the motor’s outer side, while exerting minimal impact on its inner side; inner stator structural parameters, by contrast, exhibit the opposite trend. Notably, dual-rotor structural parameters (e.g., width and thickness) exert a significant influence on the performance of both the motor’s outer and inner sides.
To further simplify the optimization process, the parameter relationships are further explored. It can be noted that among the 20 parameters, the outer stator tooth angle θ is not an independent structural parameter as it is constrained by the tooth boot bottom thickness h and the boot tooth top thickness w. Once h and w are determined, θ is also determined. Similarly, the inner stator tooth angle α is not an independent variable. The outer stator slot width wso and the outer stator tooth boot width wts are also not variables: wso is influenced by the outer stator tooth width wt and the spacing width between two adjacent stator tooth boots, and wts is constrained by related factors. Meanwhile, the inner stator slot width wsi and tooth boot width ws, similar to the outer stator, are not independent variables. In summary, through parameter relationship analysis, the structural parameter variables for the MP-CFM motor have been reduced from 20 to 14 through the above analysis, which significantly decreases the number of optimization variables and saves optimization time.

4.2. Selection of Optimization Objectives for MP-CFM Machine

For hybrid electric vehicles, key optimization parameters include dual-rotor steady torque average, torque ripple, and back electromotive force (back EMF) harmonic content. Among these, back EMF harmonics critically influence machine torque performances.
From a power perspective, machine input power (electrical) equals voltage–current product. Since current density is thermally constrained by dissipation limits, back EMF characteristics become decisive for output power capability. When machine dimensions are fixed—inner/outer diameters and axial length constant—back EMF performance directly determines maximum continuous output power. Increasing back EMF amplitude enhances output torque, while reducing its harmonic content minimizes torque pulsation. This establishes the fundamental relationship: optimizing torque performance equates to optimizing back EMF characteristics in dual armature windings.
Further analysis reveals machine efficiency as another critical metric, defined as output-to-input power ratio. Core losses governing efficiency include the following:
  • Copper losses;
  • Iron losses;
  • Permanent magnet eddy current losses.
In optimization, pursuing the maximum overall efficiency may neglect the influence of permanent magnet eddy losses. However, excessive eddy currents (Figure 9) cause permanent magnet temperature rise, potentially triggering irreversible demagnetization that degrades output performance—rendering such topologies unacceptable. As shown in Figure 9 (permanent magnet loss distribution), these losses constitute approximately 35% of total losses, establishing permanent magnets as the primary thermal concentrating points.
Therefore, it can be concluded that efficiency optimization must incorporate localized loss constraints, particularly for permanent magnet eddy current losses.
Regarding machine efficiency—defined as the output-to-input power ratio—consider two distinct topological configurations: TOPOLOGY 1 and TOPOLOGY 2. Although TOPOLOGY 1 exhibits significantly higher total losses than TOPOLOGY 2, its superior output power may yield higher overall efficiency. In such cases, the higher efficiency of TOPOLOGY 1 could indicate better alignment with optimization goals.
This paradox calls for the implementation of component-specific loss constraints defined as percentage-based limits rather than absolute values, with the reasoning behind this lying in the positive correlation between output power and losses—imposing constraints on specific loss values would artificially restrict the potential for power enhancement and hinder the discovery of optimal topologies. For MP-CFM machines specifically, optimization centers on prioritizing dual-rotor torque magnitude while minimizing torque ripple, and efficiency constraints must be enforced at different optimization stages to avoid excessive component losses while ensuring performance remains consistent with the original design specifications.

4.3. Sensitivity Analysis of Multi-Parameters for MP-CFM Machine

Parameter sensitivity refers to the degree to which the output value of a system changes correspondingly when the value of an input parameter changes. Generally, the numerical difference method is a commonly used approach to calculate and estimate parameter sensitivity. In this study, (8) is adopted for calculation, where Xi represents a certain input parameter of the sample, X0 denotes the initial value of this input parameter, and K(X0) denotes the initial value of this output parameter.
S X i = K X 0 ± Δ X i K X 0 K X 0 ± Δ X i X 0
After defining the optimization objective function for the MP-CFM machine, this study conducts sensitivity analysis on 14 structural parameters using (8). The corresponding sensitivity bar chart is presented in Figure 10. In this figure, positive values indicate that increasing a structural parameter elevates the objective function value, while negative values denote parameter increases that reduce the function value.
Further analysis of Figure 10 reveals two fundamental principles:
  • The same structural parameter differentially affects distinct optimization objectives.
  • For identical output performance objectives, different structural parameters exhibit varying influence magnitudes.
Based on the sensitivity analysis of the 14 structural parameters of the MP-CFM machine for the optimization objective, these parameters can be categorized into two groups: high-sensitivity and low-sensitivity parameters. During optimization, high-sensitivity parameters should be prioritized, followed by low-sensitivity ones. This sequential approach prevents non-convergence issues arising from simultaneous multi-parameter optimization, significantly improving computational efficiency. Table 3 summarizes the sensitivity levels of all 14 parameters, where
  • 1: Positive effect on the objective function;
  • −1: Negative effect;
  • 0: Minimal influence.

4.4. Multi-Objective Optimization for MP-CFM Machine

After completing the sensitivity analysis of the machine’s structural parameters, this study proposes a stepwise optimization strategy to achieve optimal performance across all operating conditions, leveraging the multi-condition working mode characteristics of the MP-CMF machine. To address the complex optimization requirements involving multi-variable coupling and multi-objective conflicts in this machine, the Multi-Objective Genetic Algorithm (MOGA) is employed as the core optimization method.
As an important branch of evolutionary computation, Multi-Objective Genetic Algorithm (MOGA) is specifically designed to solve complex engineering optimization problems involving mutually restrictive multi-objectives, whose core mechanism involves leveraging swarm intelligence search to generate a Pareto optimal solution set—a set that represents a group of optimal compromise solutions balancing all objective functions. Unlike traditional single-objective optimization, solutions on the Pareto optimal front exhibit non-dominated characteristics, meaning it is impossible to improve any one objective without degrading at least one other; this non-dominated property ensures global equilibrium across multiple competing objectives.

4.4.1. Optimization of Torque Regulating Machine

The hierarchical step-by-step optimization method proposed in this paper first carries out optimization for the torque regulating machine, with the core objectives of maximum torque performance of the outer rotor and minimum torque ripple. When the MP-CFM machine operates in pure electric mode under low-speed and low-torque conditions, its efficiency is relatively high. Therefore, for this specific condition, efficiency need not be included in the optimization objectives. Since this stage focuses solely on outer rotor torque and torque ripple, only parameters significantly impacting these two objectives require selection from the 14 structural variables.
Additionally, under this operating condition, the electrical frequency and current of the outer stator winding remain low. The main component of machine loss is copper loss, while iron loss and permanent magnet eddy current loss constitute less than 5% of total losses. Consequently, no loss-related constraints are necessary at this stage. The optimization weights are set to 0.58 for outer rotor torque and 0.42 for outer rotor torque ripple.
Equation (9) defines the optimization objective function and constraints, where T o denotes outer rotor output torque and T o _ ripple represents outer rotor torque ripple. Using MOGA (Multi-Objective Genetic Algorithm), optimization yields the Pareto curve results shown in Figure 11.
Optimization objectives : min ( T o _ r i p p l e ) , max ( T 0 ) Constraints : T o 230 Nm , T o _ r i p p l e 6 %

4.4.2. Optimization of Speed Regulating Machine

Moreover, when optimizing the speed regulating machine, the optimization scope covers three parts: the inner stator, inner rotor, and permanent magnet outer rotor. Under this specific operating condition, only the inner machine operates, with core optimization objectives of improving torque performance for both inner and outer rotors while reducing torque ripple. The optimization process adopts results from the previous torque regulating machine optimization as the initial case and proceeds accordingly.
Since outer rotor torque and torque ripple were optimized in the first step, only inner rotor torque value and torque ripple require optimization under current operating conditions. Due to differing energy conversion relationships compared to the first stage, the composition of the outer rotor’s output torque has changed. To prevent deterioration of outer rotor torque ripple, this torque ripple must be constrained to remain lower than the optimal result obtained after first-step optimization.
Through in-depth analysis, outer rotor speed regulation is achieved by adjusting electrical frequency of the inner stator armature winding under this operating condition, enabling flexible MP-CFM operation across both high-speed and low-speed ranges. Optimizing the machine’s topological structure requires full consideration of its performance span: in low-speed ranges, optimization focuses on inner rotor torque and torque ripple values; in high-speed ranges, optimization includes inner rotor torque, torque ripple, and efficiency due to significant increases in iron loss and permanent magnet eddy current loss at higher rotational speeds.
Simultaneously, permanent magnet eddy current loss is constrained to strictly control losses and prevent permanent magnet demagnetization from excessive temperatures. For this optimization stage, weights are assigned as inner rotor torque = 0.38, inner rotor torque ripple = 0.4, and motor efficiency = 0.22. Additionally, to limit permanent magnet temperature rise, permanent magnet eddy current loss proportion shall not exceed 15% of total loss.
Equation (10) defines the optimization objective function and constraints for this stage. MOGA (Multi-Objective Genetic Algorithm) optimization yields the Pareto curve results shown in Figure 12. Variables in the equation: T i represents outer rotor output torque, T i _ ripple represents outer rotor output torque ripple, η represents motor efficiency, P pm represents permanent magnet eddy current loss, and P t represents total motor loss.
Optimization objectives : min ( T i _ r i p p l e ) , max ( T i ) , max ( η ) Constraints : T i 110 Nm , T i _ r i p p l e 10 % , η 85 % , P p m / P t 15 %

4.4.3. Optimization of Dual Machines

When analyzing operating conditions for dual-machine coordinated operation, both machines operate simultaneously, encompassing all characteristics of the first two operating conditions. Under this condition, optimization objectives include torque averages and torque ripple for both inner and outer rotors, along with overall motor efficiency.
When both inner and outer stator armature windings deliver electrical power, the MP-CFM motor reaches maximum input power. Since partial optimization of the 14 parameters occurred during the first two optimization steps, fewer parameters significantly impact the machine’s output objective function. The currently nonoptimal parameters still exert influence on both rotors. Therefore, parameters with previously identified minor influences are included in the optimization scope to ensure comprehensive coverage of the motor’s structural parameters. This approach prevents the multi-objective genetic algorithm from converging to locally optimal solutions while searching for globally optimal topological structures.
Under this operating condition, the state where both inner and outer stator armature windings input power is selected for optimization. Following the achievements of the first two optimization steps, torque average and torque ripple for both rotors have reached stable levels. However, increased motor load makes efficiency a notably different objective compared to previous steps. Consequently, the weight for overall motor efficiency is significantly increased in this optimization stage. Simultaneously, permanent magnet eddy current loss must be constrained to below 15% of total motor loss to ensure stable operation.
Optimization objectives : min ( T o _ r i p p l e ) , max ( T o ) , min ( T i _ r i p p l e ) , max ( T i ) , max ( η ) Constraints : T i 140 Nm , T i _ r i p p l e 10 % , T o 350 Nm , T o _ r i p p l e 5 % , η 85 % , P p m / P t 15 %
Additionally, torque and torque ripple for both rotors are constrained to maintain performance at levels equivalent to or better than previous optimization results. Equation (11) defines the objective function and constraints for this stage. MOGA (Multi-Objective Genetic Algorithm) optimization yields the Pareto frontier shown in Figure 13.
Through this three-step strategy, optimal topological structure and electromagnetic parameters for the MP-CFM motor were obtained. Figure 14 shows the optimized topology and flux density distribution, indicating that flux density primarily lies within the linear region of the material’s B-H curve, with significantly reduced overall magnetic saturation, complying with fundamental motor design theory. The comparison of the relevant 14 structural parameter variables is shown in Table 4.
Figure 15 compares pre- and post-optimization performance: outer rotor torque reached 416.7 Nm (17.6% increase), inner rotor torque reached 211.5 Nm (24.7% increase), outer rotor torque ripple decreased to 4.17% (70.8% reduction), inner rotor torque ripple decreased to 7.18% (43.7% reduction), and system efficiency increased to 91.35% from 84.74%. These results demonstrate comprehensive performance improvements across all key metrics, proving the effectiveness and high accuracy of the proposed step-by-step optimization, considering the mutual influence between different machine parts, and also considering the multi-operating modes.
In the optimization process of the MP-CFM motor in this study, the finite element simulation software JMAG was adopted to conduct relevant analytical calculations. The entire optimization process is divided into three stages, and the number of finite element simulation calls and simulation time for each stage are as follows: the first stage involves 728 calls with a simulation time of 48.5 h; the second stage involves 849 calls with a simulation time of 53.4 h; and the third stage involves 577 calls with a simulation time of 34.6 h. Table 5 presents the configuration details of the server used for multi-objective optimization in this paper, while Table 6 provides the relevant parameter settings for multi-objective optimization, including but not limited to the number of iterations, population size, and so on.
I conducted repeated optimizations with different random seeds. Meanwhile, I adjusted the settings of multi-objective optimization parameters, selected different numbers of iterations and different population sizes to perform re-optimization, and obtained approximate results. The corresponding comparison of the results is shown in the Table 7.
Among them, “Proposed” refers to the optimization scheme and strategy implemented in this paper; “Different initial populations” refers to the optimization results obtained after changing the initial population of optimization. Specifically, different initial conditions are set for the optimization parameters in the initial population to ensure that the MP-CFM motor can also have an approximate convergence trend; “Different multi-objective optimization parameter” refers to the modification of the number of iterations and population size of multi-objective optimization. The specific adjustments are as follows: the original number of generations is changed from 100 to 70, and the population size is changed from 10 to 15.

5. Results

This study proposes a hierarchical step-by-step multi-objective genetic optimization method for multi-port composite flux modulation (MP-CFM) machines. Via a systematic strategy, it realizes collaborative enhancement of topological structure and operational performance, with main achievements as follows:
Firstly, targeting the complexity of the dual-mechanical-port and dual-electrical-port topology, a parameter hierarchical filtration principle is adopted. Based on the flux-modulation principle, key parameters are successively screened by flexibly considering parameter relationships, reducing optimization dimension and computational burden to lay a foundation for multi-objective optimization parameter simplification.
Secondly, a multi-operating-mode step-by-step optimization strategy is designed for multi-scenario applications. Optimization parameters, objective functions, and constraints are adaptively adjusted under different conditions; the optimization results of the previous condition serve as the initial population for subsequent ones, forming an iterative inheritance mechanism. This avoids local optimal traps, strengthens global optimization capabilities, and achieves full-condition collaborative optimization of topological structures.
Finally, finite element simulation verifies significant performance improvements of the optimized MP-CFM motor: inner and outer rotor torque outputs reach 416.7 Nm and 211.5 Nm (up 17.6% and 24.7%, respectively), while torque ripples drop to 4.17% and 7.18% (maximum reduction 70.8%). These confirm the method’s effectiveness for complex topological motor design and provide a referable approach for multi-port machine engineering applications.

Author Contributions

Conceptualization, J.Y. and Z.C.; methodology, Z.C.; software, Z.C..; validation, F.Z. and Y.L.; formal analysis, Z.C. and J.Y.; investigation, Z.C.; resources, Z.C.; data curation, Z.C.; writing—original draft preparation, Z.C. and J.Y.; writing—review and editing, Y.L. and F.Z.; supervision, J.Y.; project administration, J.Y.; funding acquisition, J.Y. All authors have read and agreed to the published version of the manuscript.

Funding

This work was supported in part by the National Natural Science Foundation of China under Grant 52507046, in part by the Stable Support Plan in Shenzhen under Grant GXWD20220811151734002, in part by Guangdong Basic and Applied Basic Research Foundation under Grant 2023A1515010069, in part by Shenzhen Science and Technology Program under Grant JCYJ20230807094316034.

Data Availability Statement

The original contributions presented in this study are included in the article. Further inquiries can be directed to the corresponding author.

Conflicts of Interest

The authors declare no conflicts of interest.

References

  1. Liu, L.; Li, Z.; Kang, H.; Xiao, Y.; Sun, L.; Zhao, H.; Zhu, Z.Q.; Ma, Y. Review of surrogate model assisted multi-objective design optimization of electrical machines: New opportunities and challenges. Renew. Sustain. Energy Rev. 2025, 215, 115609. [Google Scholar] [CrossRef]
  2. Bai, J.; Zheng, P.; Tong, C.; Song, Z.; Zhao, Q. Characteristic Analysis and Verification of the Magnetic-Field-Modulated Brushless Double-Rotor Machine. IEEE Trans. Ind. Electron. 2015, 62, 4023–4033. [Google Scholar] [CrossRef]
  3. Wang, M.; Tong, C.; Song, Z.; Liu, J.; Zheng, P. Performance Analysis of an Axial Magnetic-Field-Modulated Brushless Double-Rotor Machine for Hybrid Electric Vehicles. IEEE Trans. Ind. Electron. 2019, 66, 806–817. [Google Scholar] [CrossRef]
  4. Wang, Y.; Niu, S.; Fu, W. Electrical-Continuously Variable Transmission System Based on Doubly Fed Flux-Bidirectional Modulation. IEEE Trans. Ind. Electron. 2017, 64, 2722–2731. [Google Scholar] [CrossRef]
  5. Tong, C.; Wang, M.; Zheng, P.; Bai, J.; Liu, J. Characteristic Analysis and Functional Validation of a Brushless Flux-Modulated Double-Rotor Machine for HEVs. IEEE Trans. Ind. Electron. 2019, 66, 663–673. [Google Scholar] [CrossRef]
  6. Jiang, M.; Niu, S. Overview of Dual Mechanical Port Machines in Transportation Electrification. IEEE Trans. Transp. Electrif. 2024, 10, 4959–4977. [Google Scholar] [CrossRef]
  7. Liu, J.; Bai, J.; Liu, G.; Wang, Y.; Zheng, P. Investigation of an Integrated Magnetic-Field-Modulated Brushless Double-Rotor Machine With an Improved PM Rotor. IEEE Trans. Magn. 2021, 57, 1–6. [Google Scholar] [CrossRef]
  8. Zheng, P.; Zhao, Q.; Bai, J.; Yu, B.; Song, Z.; Shang, J. Analysis and Design of a Transverse-Flux Dual Rotor Machine for Power-Split Hybrid Electric Vehicle Applications. Energies 2013, 6, 6548–6568. [Google Scholar] [CrossRef]
  9. Lang, J.; Tong, C.; Bai, J.; Zheng, P.; Liu, J.; Liu, G. Analytical Modeling of an Axial Flux Magnetic-Geared Double-Rotor Machine With Interior-Modulating Rotor. IEEE Trans. Magn. 2022, 58, 1–6. [Google Scholar] [CrossRef]
  10. Sun, X.; Shi, Z.; Lei, G.; Guo, Y.; Zhu, J. Analysis and Design Optimization of a Permanent Magnet Synchronous Motor for a Campus Patrol Electric Vehicle. IEEE Trans. Veh. Technol. 2019, 68, 10535–10544. [Google Scholar] [CrossRef]
  11. Yu, J.; Liu, C.; Liu, S.; Zhao, H. Comparative Study of Double-Stator Interior-PM Vernier Machines Based on Electromagnetic-Structural Coupling Analysis. IEEE Trans. Ind. Electron. 2021, 68, 10510–10520. [Google Scholar] [CrossRef]
  12. Cui, J.; Cui, F.; Zhang, J.; Huang, H.; Tan, L.; Xiao, W. Design Optimization of an Automotive Permanent-Magnet Synchronous Motor by Combining DOE and NMGWO. Electronics 2023, 12, 5024. [Google Scholar] [CrossRef]
  13. You, Y.-M. Multi-Objective Optimal Design of Permanent Magnet Synchronous Motor for Electric Vehicle Based on Deep Learning. Appl. Sci. 2020, 10, 482. [Google Scholar] [CrossRef]
  14. Fleming, F.E.; Edrington, C.S. Real-Time Emulation of Switched Reluctance Machines via Magnetic Equivalent Circuits. IEEE Trans. Ind. Electron. 2016, 63, 3366–3376. [Google Scholar] [CrossRef]
  15. Yu, J.; Mi, W.; Cai, Z.; Song, Z.; Liu, S.; Liu, C. Design Principle Considering Structural Mutual Effects of Double-Stator V-Shape-PM Vernier Machines for Electric Ship Propulsion. IEEE Trans. Transp. Electrif. 2024, 10, 496–508. [Google Scholar] [CrossRef]
  16. Wang, S.-C.; Nien, Y.-C.; Huang, S.-M. Multi-Objective Optimization Design and Analysis of V-Shape Permanent Magnet Synchronous Motor. Energies 2022, 15, 3496. [Google Scholar] [CrossRef]
  17. Zhang, L.; Li, X.; Zhu, X.; Zhang, C. Design and Optimization of a Five-Phase Reverse-Salient Fault-Tolerant Permanent Magnet Motor for Electric Vehicles. IEEE Trans. Ind. Electron. 2024; early access. [Google Scholar]
  18. Zhao, H.; Liu, C.; Dong, Z.; Huang, R.; Li, X. Design and Optimization of a Magnetic-Geared Direct-Drive Machine With V-Shaped Permanent Magnets for Ship Propulsion. IEEE Trans. Transp. Electrif. 2022, 8, 1619–1633. [Google Scholar] [CrossRef]
  19. Xiang, Z.; Lu, Z.; Zhu, X.; Jiang, M.; Fan, D.; Quan, L. Research on Magnetic Coupling Characteristic of a Double Rotor Flux-Switching PM Machine From the Perspective of Air-Gap Harmonic Groups. IEEE Trans. Ind. Electron. 2022, 69, 12551–12563. [Google Scholar] [CrossRef]
  20. Zhao, J.; Quan, X.; Sun, X.; Lin, M.; Niu, S. Influence of Rotor-Pole Number on Electromagnetic Performance of Novel Double-Rotor Hybrid Excited Axial Switched-Flux Permanent-Magnet Machines for EV/HEV Applications. IEEE Trans. Magn. 2020, 56, 1–6. [Google Scholar] [CrossRef]
  21. Qiu, X.; Wang, Z.; Li, C.; Shen, T.; Zheng, Y.; Wang, C. Design and Optimization of a Permanent Magnet Synchronous Motor for a Two-Dimensional Piston Electro-Hydraulic Pump. Energies 2024, 17, 5379. [Google Scholar] [CrossRef]
  22. Cen, Y.; Shen, H.; Wang, X.; Wu, Y.; Du, J. Multi-Objective Optimization Analysis of Electromagnetic Performance of Permanent Magnet Synchronous Motors Based on the PSO Algorithm. Energies 2024, 17, 4637. [Google Scholar] [CrossRef]
  23. Li, G.; Li, R.; Hou, H.; Zhang, G.; Li, Z. A Data-Driven Motor Optimization Method Based on Support Vector Regression—Multi-Objective, Multivariate, and with a Limited Sample Size. Electronics 2024, 13, 2231. [Google Scholar] [CrossRef]
  24. Xiang, Z.; Zhu, X.; Quan, L.; Du, Y.; Zhang, C.; Fan, D. Multilevel Design Optimization and Operation of a Brushless Double Mechanical Port Flux-Switching Permanent-Magnet Motor. IEEE Trans. Ind. Electron. 2016, 63, 6042–6054. [Google Scholar] [CrossRef]
  25. Sun, X.; Shi, Z.; Lei, G.; Guo, Y.; Zhu, J. Multi-Objective Design Optimization of an IPMSM Based on Multilevel Strategy. IEEE Trans. Ind. Electron. 2021, 68, 139–148. [Google Scholar] [CrossRef]
  26. Zhu, X.; Fan, D.; Mo, L.; Chen, Y.; Quan, L. Multiobjective Optimization Design of a Double-Rotor Flux-Switching Permanent Magnet Machine Considering Multimode Operation. IEEE Trans. Ind. Electron. 2019, 66, 641–653. [Google Scholar] [CrossRef]
Figure 1. MP-CFM machine topological structure.
Figure 1. MP-CFM machine topological structure.
Electronics 14 04110 g001
Figure 2. The air-gap magnetic flux density of the MP-CFM machine. (a) The waveform of the outer air-gap magnetic flux density. (b) The waveform of the middle air-gap magnetic flux density. (c) The waveform of the inner air-gap magnetic flux density.
Figure 2. The air-gap magnetic flux density of the MP-CFM machine. (a) The waveform of the outer air-gap magnetic flux density. (b) The waveform of the middle air-gap magnetic flux density. (c) The waveform of the inner air-gap magnetic flux density.
Electronics 14 04110 g002
Figure 3. Electromagnetic performance waveforms of the MP-CFM machine. (a) Torque output with only the inner stator energized. (b) Torque output with both inner and outer stators energized. (c) Load voltage of the inner stator winding. (d) Load voltage of the outer stator winding.
Figure 3. Electromagnetic performance waveforms of the MP-CFM machine. (a) Torque output with only the inner stator energized. (b) Torque output with both inner and outer stators energized. (c) Load voltage of the inner stator winding. (d) Load voltage of the outer stator winding.
Electronics 14 04110 g003
Figure 4. Schematic diagram of energy flow in the MP-CFM machine when only the torque-regulating machine is active.
Figure 4. Schematic diagram of energy flow in the MP-CFM machine when only the torque-regulating machine is active.
Electronics 14 04110 g004
Figure 5. Schematic diagram of energy flow in the MP-CFM machine when only the speed-regulating machine is in operation.
Figure 5. Schematic diagram of energy flow in the MP-CFM machine when only the speed-regulating machine is in operation.
Electronics 14 04110 g005
Figure 6. Schematic diagram of energy flow in the MP-CFM machine.
Figure 6. Schematic diagram of energy flow in the MP-CFM machine.
Electronics 14 04110 g006
Figure 7. Schematic diagram of step-by-step hierarchical multi-objective optimization for MP-CFM machine.
Figure 7. Schematic diagram of step-by-step hierarchical multi-objective optimization for MP-CFM machine.
Electronics 14 04110 g007
Figure 8. Modeling diagram of structural variables for MP-CFM motor.
Figure 8. Modeling diagram of structural variables for MP-CFM motor.
Electronics 14 04110 g008
Figure 9. Schematic diagram of the proportion of permanent magnet eddy current loss in the overall loss of the MP-CFM motor.
Figure 9. Schematic diagram of the proportion of permanent magnet eddy current loss in the overall loss of the MP-CFM motor.
Electronics 14 04110 g009
Figure 10. Sensitivity analysis results of each parameter of the MP-CFM motor. (a) Inner rotor torque. (b) Outer rotor torque. (c) Inner rotor torque ripple. (d) Outer rotor torque ripple. (e) Motor efficiency.
Figure 10. Sensitivity analysis results of each parameter of the MP-CFM motor. (a) Inner rotor torque. (b) Outer rotor torque. (c) Inner rotor torque ripple. (d) Outer rotor torque ripple. (e) Motor efficiency.
Electronics 14 04110 g010
Figure 11. The Pareto curve diagram of the first-step optimization results.
Figure 11. The Pareto curve diagram of the first-step optimization results.
Electronics 14 04110 g011
Figure 12. The Pareto curve diagram of the second-step optimization results.
Figure 12. The Pareto curve diagram of the second-step optimization results.
Electronics 14 04110 g012
Figure 13. The Pareto curve diagram of the final-step optimization results. (a) Pareto curve diagram of the torque-regulated motor. (b) Pareto curve diagram of the speed-regulated motor.
Figure 13. The Pareto curve diagram of the final-step optimization results. (a) Pareto curve diagram of the torque-regulated motor. (b) Pareto curve diagram of the speed-regulated motor.
Electronics 14 04110 g013
Figure 14. Schematic diagram of the optimal MP-CFM machine topology and magnetic flux density under rated load.
Figure 14. Schematic diagram of the optimal MP-CFM machine topology and magnetic flux density under rated load.
Electronics 14 04110 g014
Figure 15. Performance comparison diagram of the MP-CFM motor before and after optimization. (a) Schematic diagram of torque waveforms before and after optimization. (b) Comparison diagram of each optimization objective before and after optimization.
Figure 15. Performance comparison diagram of the MP-CFM motor before and after optimization. (a) Schematic diagram of torque waveforms before and after optimization. (b) Comparison diagram of each optimization objective before and after optimization.
Electronics 14 04110 g015
Table 1. Main design parameters of MP-CFM machine.
Table 1. Main design parameters of MP-CFM machine.
ParametersValue
Outer diameter265 mm
Inner diameter50 mm
The number of teeth of inner rotor24
The number of teeth of outer rotor24
The number of pole pairs of the outer armature winding11
The number of pole pairs of the inner armature winding2
The number of pole pairs of the outer rotor11
The number of pole pairs of the inner rotor13
Rated speed of outer rotor1800 rpm
Rated speed of inner rotor600 rpm
Rated current of the outer armature winding8 A mm−2
Rated current of the inner armature winding5 A mm−2
Table 2. Three different operating modes of the MP-CFM machine.
Table 2. Three different operating modes of the MP-CFM machine.
Operating ModeDescription
Operating Mode 1Torque-regulating machine exclusively active
Operating Mode 2Speed-regulating machine exclusively active
Operating Mode 3Both machines operating simultaneously
Operating Mode 4Both machines inactive
Table 3. Table of sensitivity analysis of structural parameters for MP-CFM machine.
Table 3. Table of sensitivity analysis of structural parameters for MP-CFM machine.
StructuralOuterOuterInnerInnerEfficiency
ParametersTorqueRippleTorqueRippleLevel
w t i −1−1−1−11
h i 00−110
w y i 000−10
W i s 00000
A i 01−110
A o 111−10
w i 1−11−10
w y s 00000
w y o 0−1001
w t 1−1001
w00000
h−10000
w y 1100−1
w o 10001
Table 4. Comparison table of structural parameters of MP-CFM machine before and after optimization.
Table 4. Comparison table of structural parameters of MP-CFM machine before and after optimization.
Structural Parameters Before Optimization After Optimization
w t i 5.00 mm5.70 mm
h i 2.50 mm2.08 mm
w y i 4.00 mm5.76 mm
w i s 1.50 mm1.68 mm
A i 15.00°16.67°
A o 10.00°9.66°
w i 5.00 mm7.69 mm
w y s 15.00 mm15.56 mm
w y o 7.00 mm7.38 mm
w t 10.00 mm11.06 mm
w2.00 mm2.39 mm
h3.00 mm2.89 mm
w y 10.00 mm9.20 mm
w o 5.00 mm10.62 mm
Table 5. Server specifications.
Table 5. Server specifications.
Server ParametersValues
CPU Clock Rate2.10 GHz
Cores64
RAM512 G
Storage29 T
Table 6. The relevant parameters in JMAG’s multi-objective optimization module.
Table 6. The relevant parameters in JMAG’s multi-objective optimization module.
Multi-Objective Optimization ParametersValues
population size10
number of generations100
Crossover OperatorsMulti-Point Crossover
Mutation OperatorsGaussian Mutation
Crossover Rate0.9
Mutation Rate0.1
selection schemeHypervolume Selection
Table 7. Comparison table of optimization results under different initial settings and multi-objective optimization parameter settings.
Table 7. Comparison table of optimization results under different initial settings and multi-objective optimization parameter settings.
Machine ParametersProposedDifferent Initial PopulationsDifferent Multi-Objective Optimization Parameter
Outer torque416.7 Nm413.5 Nm419.8 Nm
Inner torque211.7 Nm207.4 Nm211.3 Nm
Outer ripple4.17%3.89%4.16%
Inner ripple7.18%6.57%7.11%
Efficiency91.35%89.23%89.90%
Disclaimer/Publisher’s Note: The statements, opinions and data contained in all publications are solely those of the individual author(s) and contributor(s) and not of MDPI and/or the editor(s). MDPI and/or the editor(s) disclaim responsibility for any injury to people or property resulting from any ideas, methods, instructions or products referred to in the content.

Share and Cite

MDPI and ACS Style

Cai, Z.; Yu, J.; Zhao, F.; Luo, Y. A Hierarchical Step-by-Step Multi-Objective Genetic Optimization for Multi-Port Composite Flux-Modulated Machines. Electronics 2025, 14, 4110. https://doi.org/10.3390/electronics14204110

AMA Style

Cai Z, Yu J, Zhao F, Luo Y. A Hierarchical Step-by-Step Multi-Objective Genetic Optimization for Multi-Port Composite Flux-Modulated Machines. Electronics. 2025; 14(20):4110. https://doi.org/10.3390/electronics14204110

Chicago/Turabian Style

Cai, Zheng, Jincheng Yu, Fei Zhao, and Yixiao Luo. 2025. "A Hierarchical Step-by-Step Multi-Objective Genetic Optimization for Multi-Port Composite Flux-Modulated Machines" Electronics 14, no. 20: 4110. https://doi.org/10.3390/electronics14204110

APA Style

Cai, Z., Yu, J., Zhao, F., & Luo, Y. (2025). A Hierarchical Step-by-Step Multi-Objective Genetic Optimization for Multi-Port Composite Flux-Modulated Machines. Electronics, 14(20), 4110. https://doi.org/10.3390/electronics14204110

Note that from the first issue of 2016, this journal uses article numbers instead of page numbers. See further details here.

Article Metrics

Back to TopTop