Next Article in Journal
A Circuit Model of a Charged Water Body Based on the Fractional Order Resistance-Capacitance Network
Previous Article in Journal
Ensemble Learning Model for Industrial Policy Classification Using Automated Hyperparameter Optimization
Previous Article in Special Issue
Real-Time True Wireless Stereo Wearing Detection Using a PPG Sensor with Edge AI
 
 
Font Type:
Arial Georgia Verdana
Font Size:
Aa Aa Aa
Line Spacing:
Column Width:
Background:
This is an early access version, the complete PDF, HTML, and XML versions will be available soon.
Article

Smart Home Control Using Real-Time Hand Gesture Recognition and Artificial Intelligence on Raspberry Pi 5

Faculty of Science and Engineering, Swansea University Bay Campus, Swansea SA1 8EN, UK
*
Author to whom correspondence should be addressed.
Electronics 2025, 14(20), 3976; https://doi.org/10.3390/electronics14203976
Submission received: 31 July 2025 / Revised: 22 September 2025 / Accepted: 29 September 2025 / Published: 10 October 2025

Abstract

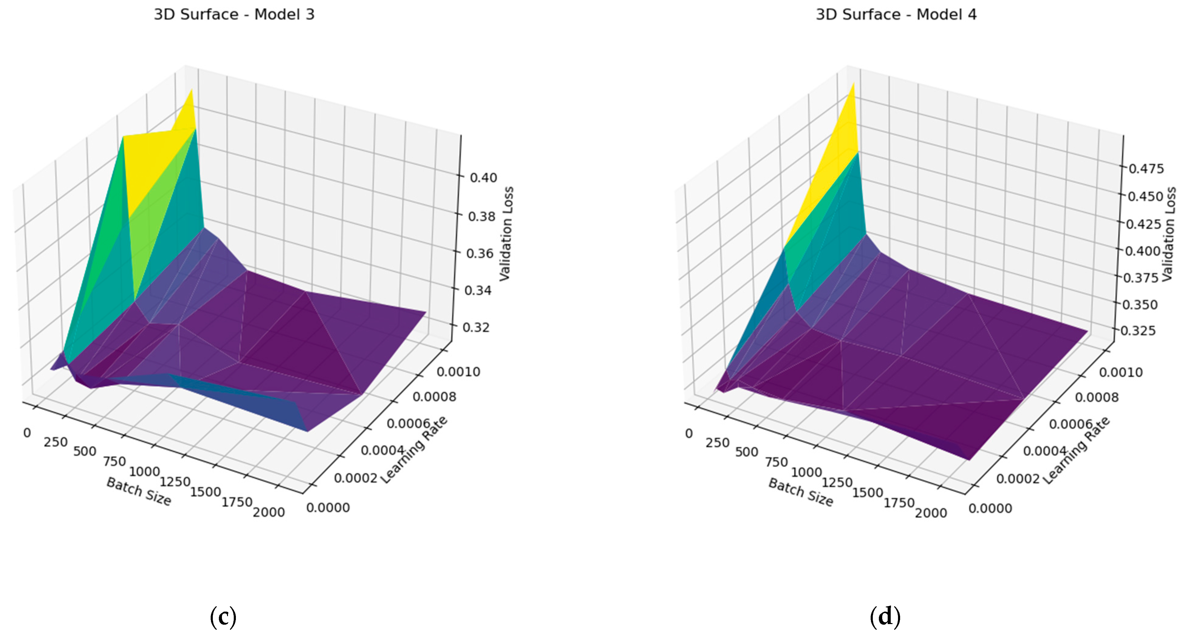
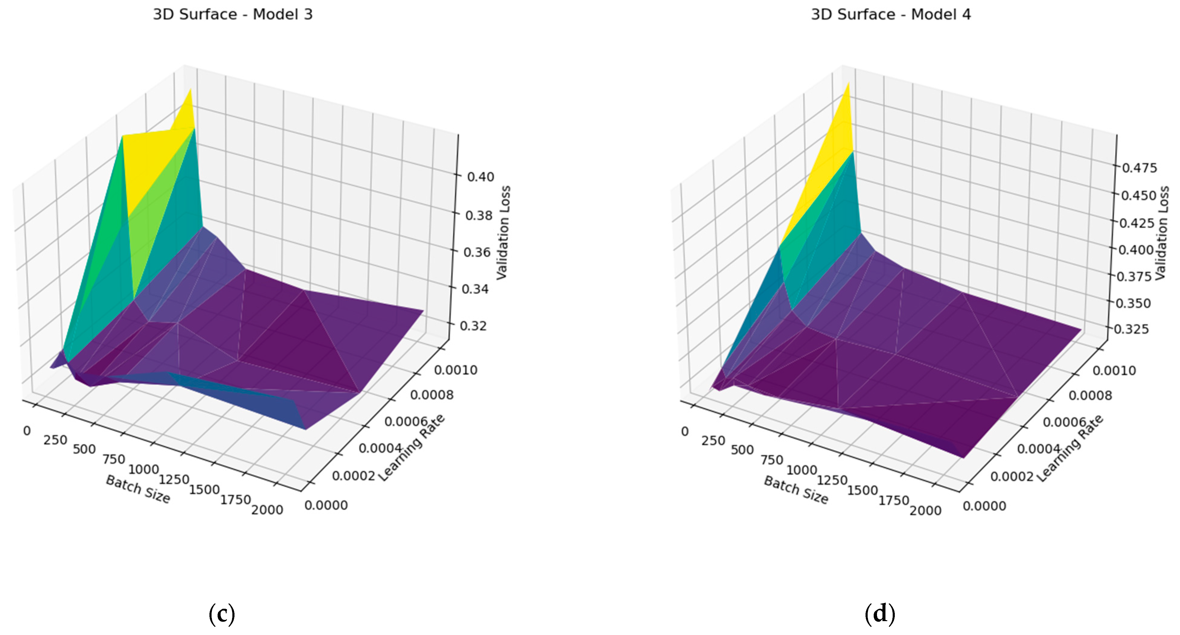
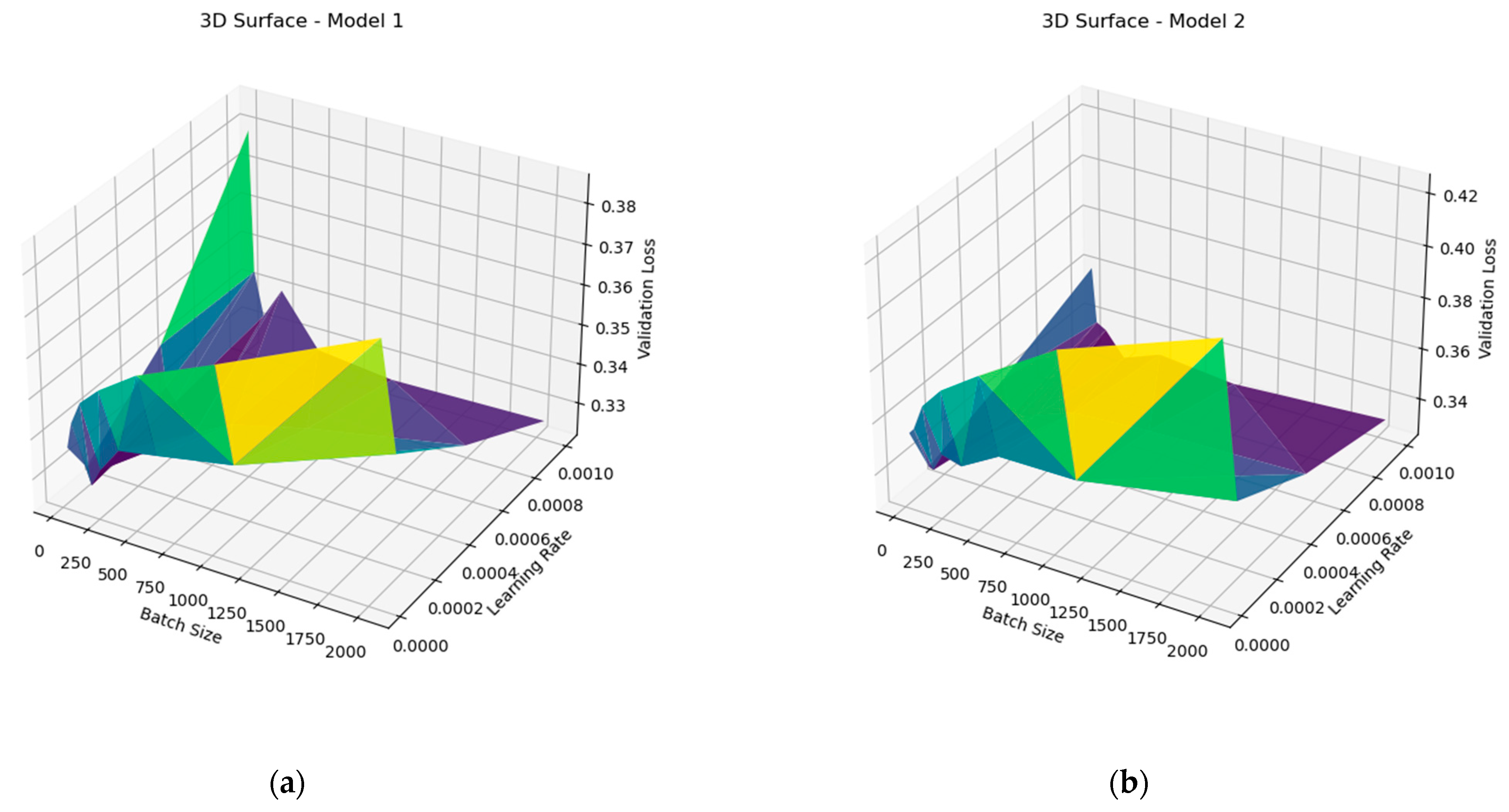
This paper outlines the process of developing a low-cost system for home appliance control via real-time hand gesture classification using Computer Vision and a custom lightweight machine learning model. This system strives to enable those with speech or hearing disabilities to interface with smart home devices in real time using hand gestures, such as is possible with voice-activated ‘smart assistants’ currently available. The system runs on a Raspberry Pi 5 to enable future IoT integration and reduce costs. The system also uses the official camera module v2 and 7-inch touchscreen. Frame preprocessing uses MediaPipe to assign hand coordinates, and NumPy tools to normalise them. A machine learning model then predicts the gesture. The model, a feed-forward network consisting of five fully connected layers, was built using Keras 3 and compiled with TensorFlow Lite. Training data utilised the HaGRIDv2 dataset, modified to consist of 15 one-handed gestures from its original of 23 one- and two-handed gestures. When used to train the model, validation metrics of 0.90 accuracy and 0.31 loss were returned. The system can control both analogue and digital hardware via GPIO pins and, when recognising a gesture, averages 20.4 frames per second with no observable delay.
Keywords: machine learning; Computer Vision; gesture recognition; accessibility; smart home control; landmark normalisation; TensorFlow Lite; OpenCV machine learning; Computer Vision; gesture recognition; accessibility; smart home control; landmark normalisation; TensorFlow Lite; OpenCV

Share and Cite

MDPI and ACS Style

Hobbs, T.; Ali, A. Smart Home Control Using Real-Time Hand Gesture Recognition and Artificial Intelligence on Raspberry Pi 5. Electronics 2025, 14, 3976. https://doi.org/10.3390/electronics14203976

AMA Style

Hobbs T, Ali A. Smart Home Control Using Real-Time Hand Gesture Recognition and Artificial Intelligence on Raspberry Pi 5. Electronics. 2025; 14(20):3976. https://doi.org/10.3390/electronics14203976

Chicago/Turabian Style

Hobbs, Thomas, and Anwar Ali. 2025. "Smart Home Control Using Real-Time Hand Gesture Recognition and Artificial Intelligence on Raspberry Pi 5" Electronics 14, no. 20: 3976. https://doi.org/10.3390/electronics14203976

APA Style

Hobbs, T., & Ali, A. (2025). Smart Home Control Using Real-Time Hand Gesture Recognition and Artificial Intelligence on Raspberry Pi 5. Electronics, 14(20), 3976. https://doi.org/10.3390/electronics14203976

Note that from the first issue of 2016, this journal uses article numbers instead of page numbers. See further details here.

Article Metrics

Article metric data becomes available approximately 24 hours after publication online.
Back to TopTop