Generalized Multiport, Multilevel NPC Dual-Active-Bridge Converter for EV Auxiliary Power Modules
Abstract
1. Introduction
2. Generalized Modulation Strategy for the Multiport 2L-NL NPC DAB Converter
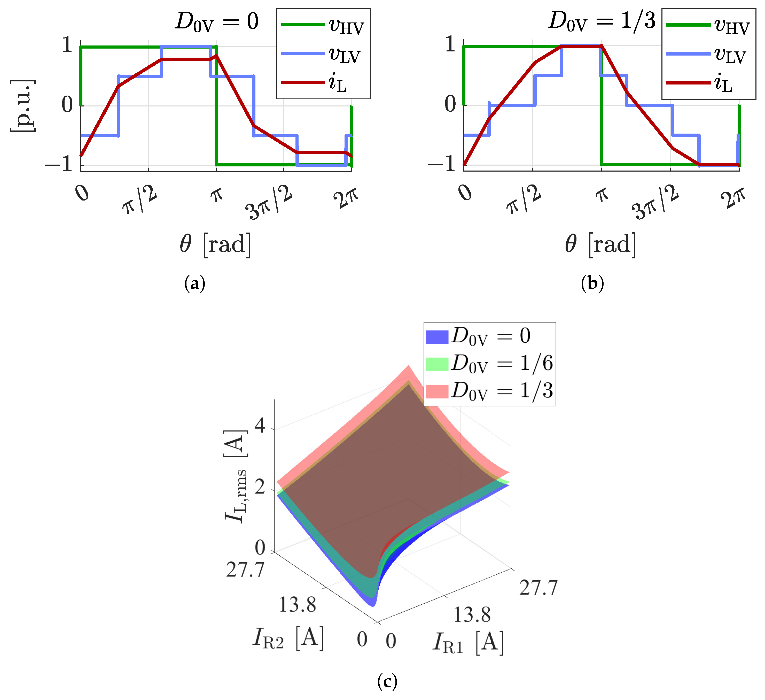
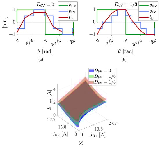
2.1. Analysis of NL-Side DC Link Currents
2.2. Modulation Strategy for the Multiport 2L-3L NPC DAB Converter
2.3. Modulation Strategy for the Multiport 2L-NL NPC DAB Converter
2.4. Assessment of Conduction Losses for the Proposed Modulation Strategy
3. Generalized Control Strategy
3.1. Derivation of the SoC Expression for LV Battery Modules
3.2. Closed-Loop Control
4. Generalized Decoupled Control Strategy
5. Results
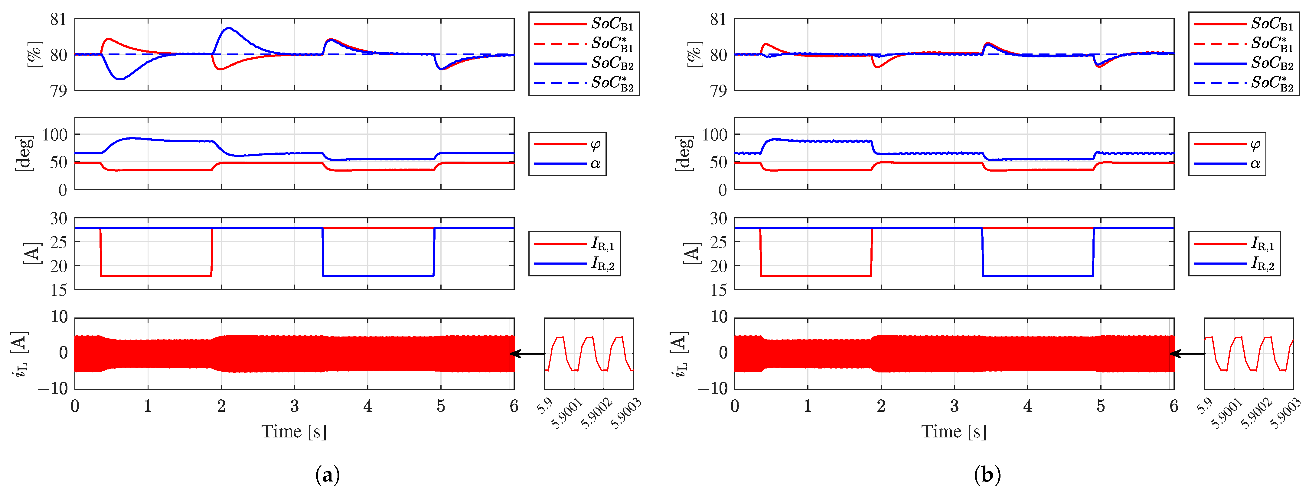
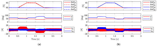
5.1. Hardware-in-the-Loop Tests
5.1.1. Multiport 2L-3L NPC DAB Converter
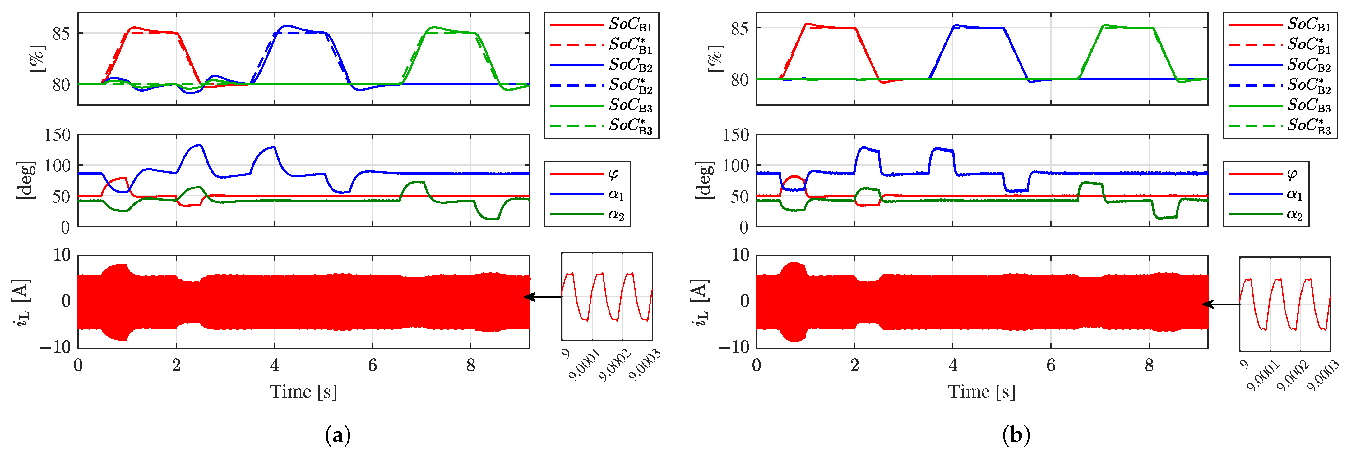
5.1.2. Multiport 2L-4L NPC DAB Converter Results
5.2. Simulation Results for the 2L-5L NPC DAB Converter
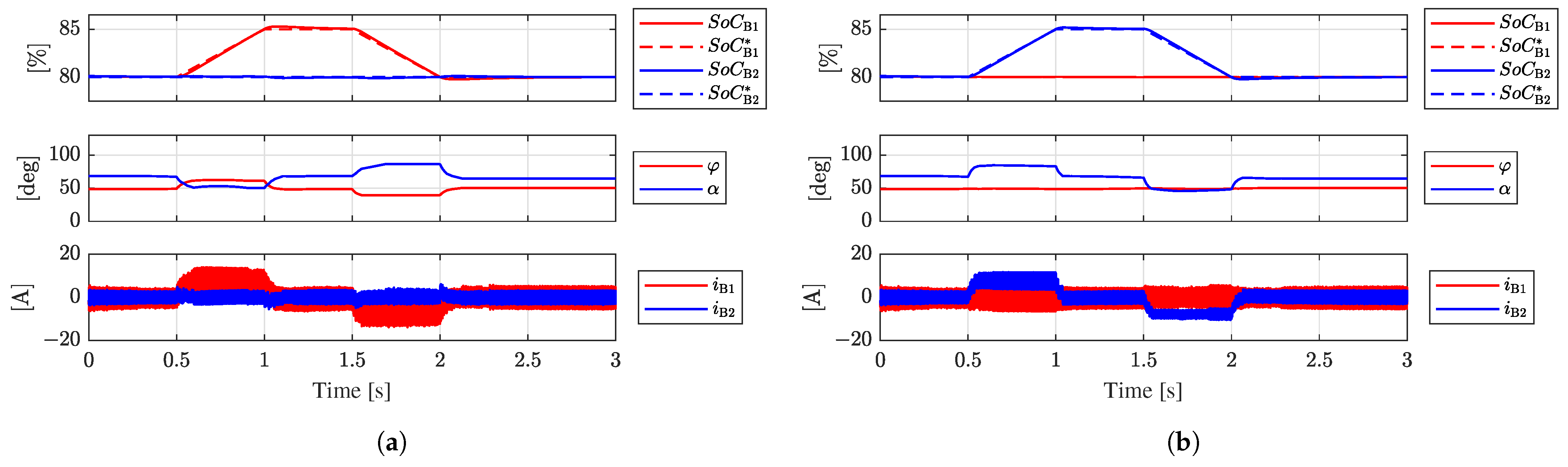
5.3. Simulation-Based Sensitivity Analysis of the Decoupled Control Strategy
5.3.1. High-Frequency Disturbance Injected into the Measurement of
5.3.2. Low-Frequency Disturbance Injected into the Measurement of
5.3.3. Reduction in the Capacity of the Battery Modules
6. Discussion
Author Contributions
Funding
Data Availability Statement
Conflicts of Interest
Correction Statement
References
- Speizer, S.; Fuhrman, J.; Lopez, L.A.; George, M.; Kyle, P.; Monteith, S.; McJeon, H. Integrated assessment modeling of a zero-emissions global transportation sector. Nat. Commun. 2024, 15, 4439. [Google Scholar] [CrossRef] [PubMed]
- Global CO2 Emissions from Transport by Subsector in the Net Zero Scenario, 2000–2030. Available online: https://www.iea.org/data-and-statistics/charts/global-co2-emissions-from-transport-by-subsector-2000-2030 (accessed on 2 May 2025).
- European Commission: Directorate-General for Communication. The European Green Deal; Publications Office: Luxembourg, 2020. [Google Scholar] [CrossRef]
- Wang, C.; Zheng, P.; Bauman, J. A review of electric vehicle auxiliary power modules: Challenges, topologies, and future trends. IEEE Trans. Power Electron. 2023, 38, 11233–11244. [Google Scholar] [CrossRef]
- De Doncker, R.; Divan, D.; Kheraluwala, M. A three-phase soft-switched high-power-density DC/DC converter for high-power applications. IEEE Trans. Ind. Appl. 1991, 27, 63–73. [Google Scholar] [CrossRef]
- Hou, R.; Magne, P.; Bilgin, B.; Emadi, A. A topological evaluation of isolated DC/DC converters for Auxiliary Power Modules in Electrified Vehicle applications. In Proceedings of the 2015 IEEE Applied Power Electronics Conference and Exposition (APEC), Charlotte, NC, USA, 15–19 March 2015; pp. 1360–1366. [Google Scholar] [CrossRef]
- Walter, J.; De Doncker, R. High-power galvanically isolated DC/DC converter topology for future automobiles. In Proceedings of the IEEE 34th Annual Conference on Power Electronics Specialist, 2003. PESC ’03, Acapulco, Mexico, 15–19 June 2003; Volume 1, pp. 27–32. [Google Scholar] [CrossRef]
- Krismer, F.; Kolar, J.W. Accurate power loss model derivation of a high-current dual active bridge converter for an automotive application. IEEE Trans. Ind. Electron. 2010, 57, 881–891. [Google Scholar] [CrossRef]
- Li, N.; Zhang, C.; Liu, Y.; Zhuo, C.; Liu, M.; Yang, J.; Zhang, Y. Single-Degree-of-Freedom Hybrid Modulation Strategy and Light-Load Efficiency Optimization for Dual-Active-Bridge Converter. IEEE J. Emerg. Sel. Top. Power Electron. 2024, 12, 3936–3947. [Google Scholar] [CrossRef]
- Kotb, R.; Chakraborty, S.; Tran, D.-D.; Abramushkina, E.; El Baghdadi, M.; Hegazy, O. Power electronics converters for electric vehicle auxiliaries: State of the art and future trends. Energies 2023, 16, 1753. [Google Scholar] [CrossRef]
- Zhao, C.; Round, S.D.; Kolar, J.W. An Isolated Three-Port Bidirectional DC-DC Converter with Decoupled Power Flow Management. IEEE Trans. Power Electron. 2008, 23, 2443–2453. [Google Scholar] [CrossRef]
- Keshmiri, N.; Mudiyanselage, G.A.; Chakkalakkal, S.; Kozielski, K.; Pietrini, G.; Emadi, A. Design and control methodology of a threeport resonant converter for electric vehicles. IEEE Open J. Ind. Electron. Soc. 2022, 3, 650–662. [Google Scholar] [CrossRef]
- Do, N.-Q.; Lee, C.; Kim, J.; Kieu, H.-P.; Choi, S. 800V/48V/12V 6kW resonant dc-dc converter with dual transformers for Electric Vehicles. In Proceedings of the 2024 IEEE 10th International Power Electronics and Motion Control Conference (IPEMC2024-ECCE Asia), Chengdu, China, 17–20 May 2024; pp. 1959–1963. [Google Scholar] [CrossRef]
- Kotb, R.; Chakraborty, S.; Hegazy, O. Efficient and Bidirectional Cascaded Auxiliary Power Module Design for Electric Trucks Using Hybrid Si, SiC, and GaN Technologies. In Proceedings of the 2024 Third International Conference on Sustainable Mobility Applications, Renewables and Technology (SMART), Dubai, United Arab Emirates, 22–24 November 2024; pp. 1–9. [Google Scholar] [CrossRef]
- Kieu, H.-P.; Do, N.-Q.; Choi, S. A New Bidirectional Three Port DC-DC Converter for Dual Auxiliary Voltage in EV Application. In Proceedings of the 2024 IEEE 10th International Power Electronics and Motion Control Conference (IPEMC2024-ECCE Asia), Chengdu, China, 17–20 May 2024; pp. 1870–1874. [Google Scholar] [CrossRef]
- Itoh, K.; Inoue, S.; Ishigaki, M.; Sugiyama, T.; Sugai, M. Loss estimation of an isolated three-port DC-DC converter for automotive applications. In Proceedings of the 2015 IEEE Energy Conversion Congress and Exposition (ECCE), Montreal, QC, Canada, 20–24 September 2015; pp. 3667–3673. [Google Scholar] [CrossRef]
- Vahid, S.; Zolfi, P.; Land, J.C.; EL-Refaie, A.M. An Isolated Step-Down Multi-Port DC-DC Power Converter for Electric Refrigerated Vehicles Auxiliary Power Unit System. IEEE Trans. Ind. Appl. 2024, 60, 730–744. [Google Scholar] [CrossRef]
- Kieu, H.-P.; Do, N.-Q.; Choi, S. Dual Floating Based Three Port DC-DC Converter for EV-APM. IEEE Trans. Power Electron. 2025, 40, 4268–4278. [Google Scholar] [CrossRef]
- Ishigaki, M.; Ito, K.; Tomura, S.; Umeno, T. A new isolated multiport converter using interleaving and magnetic coupling inductor technologies. In Proceedings of the 2013 Twenty-Eighth Annual IEEE Applied Power Electronics Conference and Exposition (APEC), Long Beach, CA, USA, 17–21 March 2013; pp. 1068–1074. [Google Scholar] [CrossRef]
- Inoue, S.; Itoh, K.; Ishigaki, M.; Sugiyama, T. Magnetically integrated isolated bidirectional three-port DC-DC converter. In Proceedings of the 2017 19th European Conference on Power Electronics and Applications (EPE’17 ECCE Europe), Warsaw, Poland, 11–14 September 2017; pp. P.1–P.10. [Google Scholar] [CrossRef]
- Li, Y.; Wang, Y.; Guan, Y.; Xu, D. Design and Optimization of High-Gain Bidirectional DC–DC Converter for Electric Vehicles. IEEE Trans. Power Electron. 2023, 38, 11221–11232. [Google Scholar] [CrossRef]
- Uno, M.; Sato, M.; Tada, Y.; Iyasu, S.; Kobayashi, N.; Hayashi, Y. Partially Isolated Multiport Converter with Automatic Current Balancing Interleaved PWM Converter and Improved Transformer Utilization for EV Batteries. IEEE Trans. Transp. Electrif. 2023, 9, 1273–1288. [Google Scholar] [CrossRef]
- Filba-Martinez, A.; Busquets-Monge, S.; Bordonau, J. Modulation and Capacitor Voltage Balancing Control of Multilevel NPC Dual Active Bridge DC–DC Converters. IEEE Trans. Ind. Electron. 2020, 67, 2499–2510. [Google Scholar] [CrossRef]
- Lee, J.-y.; Choi, H.-j.; Jung, J.-h. Three level NPC dual active bridge capacitor voltage balancing switching modulation. In Proceedings of the 2017 IEEE International Telecommunications Energy Conference (INTELEC), Broadbeach, QLD, Australia, 22–26 October 2017; pp. 438–443. [Google Scholar] [CrossRef]
- Lee, J.-Y.; Cho, Y.-P.; Jung, J.-H. Single-Stage Voltage Balancer With High-Frequency Isolation for Bipolar LVDC Distribution System. IEEE Trans. Ind. Electron. 2020, 67, 3596–3606. [Google Scholar] [CrossRef]
- Kolahian, P.; Tarzamni, H.; Nikafrooz, A.; Hamzeh, M. A Multi-port DC-DC Converter for Bipolar MVDC Micro-grid Applications. IET Power Electron. 2019, 12, 1841–1849. [Google Scholar] [CrossRef]
- Busquets-Monge, S.; Webster, J.G. Neutral-Point-Clamped DC–AC Power Converters. In Wiley Encyclopedia of Electrical and Electronics Engineering; John Wiley & Sons, Inc.: Hoboken, NJ, USA, 2018; pp. 1–20. [Google Scholar] [CrossRef]
- Borrell-Pons, E.; Esquius-Mas, O.; Filba-Martinez, A.; Trilla, L. A Novel Mathematical Approach for Inductor-Current Expressions Definition in Multilevel Dual-Active-Bridge Converters. Electronics 2024, 13, 4476. [Google Scholar] [CrossRef]
- Busquets-Monge, S.; Griñó, R.; Nicolas-Apruzzese, J.; Bordonau, J. Decoupled DC-Link Capacitor Voltage Control of DC–AC Multilevel Multileg Converters. IEEE Trans. Ind. Electron. 2016, 63, 1344–1349. [Google Scholar] [CrossRef]
- Chen, Y.; Wang, P.; Li, H.; Chen, M. Power Flow Control in Multi-Active-Bridge Converters: Theories and Applications. In Proceedings of the 2019 Applied Power Electronics Conference and Exposition (APEC), Anaheim, CA, USA, 17–21 March 2019; pp. 1500–1507. [Google Scholar] [CrossRef]



















| Parameter | Value | Description |
|---|---|---|
| 1 kW | Converter nominal power | |
| f | 10 kHz | Switching frequency |
| L | 1.2 mH | Series inductance |
| 0.06 | Transformer’s turns ratio | |
| 400 V | HV-battery-module voltage | |
| 12 V | LV-battery-module voltage | |
| C | 83 As, 1 kWs | Capacity of the LV battery modules |
| , | 27.7 A | Nominal current sunk by the auxiliary loads, and , at the nominal operating point |
| 40 | Proportional gain of the PI controllers | |
| 120 | Integral gain of the PI controllers | |
| Transfer function of the PI controllers |
| Parameter | Value | Description |
|---|---|---|
| 1 kW | Converter nominal power | |
| f | 10 kHz | Switching frequency |
| L | 1.1 mH | Series inductance |
| 0.09 | Transformer’s turns ratio | |
| 400 V | HV-battery-module voltage | |
| 12 V | LV-battery-module voltage | |
| C | 83 As, 1 kWs | Capacity of the LV battery modules |
| , , | 13.8 A | Nominal current sunk by the auxiliary loads, , , and , at the nominal operating point |
| 80 | Proportional gain of the PI controllers | |
| 240 | Integral gain of the PI controllers | |
| Transfer function of the PI controllers |
| Parameter | Value | Description |
|---|---|---|
| 1 kW | Converter nominal power | |
| f | 10 kHz | Switching frequency |
| L | 0.9 mH | Series inductance |
| 0.12 | Transformer’s turns ratio | |
| 400 V | HV-battery-module voltage | |
| 12 V | LV-battery-module voltage | |
| C | 83 As, 1 kWs | Capacity of the LV battery modules |
| , , , | 8.3 A | Nominal current sunk by the auxiliary loads, , , and at the nominal operating point |
| 80 | Proportional gain of the PI controllers | |
| 240 | Integral gain of the PI controllers | |
| Transfer function of the PI controllers |
| Topology | 2L-3L NPC DAB | TAB [11] | Multiport resonant DC-DC converter [13] |
| HV DC ports | 1 | 1 | 1 |
| HV switches | 4 | 4 | 4 |
| Distinct HV switches’ voltage ratings | 1 | 1 | 1 |
| LV DC ports | 2 | 2 | 2 |
| LV switches | 8 (NPC legs) 12 (ANPC legs) | 8 | 8 |
| Distinct LV switches’ voltage ratings | 1 | 2 | 1 |
| Transformers | 1 (2 windings) | 1 (3 windings) | 2 (2 windings) |
| Inductors | 1 | 3 | 3 |
| Resonant-tank capacitors | 0 | 0 | 1 |
| Modularity | High | Intermediate | Low |
Disclaimer/Publisher’s Note: The statements, opinions and data contained in all publications are solely those of the individual author(s) and contributor(s) and not of MDPI and/or the editor(s). MDPI and/or the editor(s) disclaim responsibility for any injury to people or property resulting from any ideas, methods, instructions or products referred to in the content. |
© 2025 by the authors. Licensee MDPI, Basel, Switzerland. This article is an open access article distributed under the terms and conditions of the Creative Commons Attribution (CC BY) license (https://creativecommons.org/licenses/by/4.0/).
Share and Cite
Esquius-Mas, O.; Filba-Martinez, A.; Nicolas-Apruzzese, J.; Busquets-Monge, S. Generalized Multiport, Multilevel NPC Dual-Active-Bridge Converter for EV Auxiliary Power Modules. Electronics 2025, 14, 3534. https://doi.org/10.3390/electronics14173534
Esquius-Mas O, Filba-Martinez A, Nicolas-Apruzzese J, Busquets-Monge S. Generalized Multiport, Multilevel NPC Dual-Active-Bridge Converter for EV Auxiliary Power Modules. Electronics. 2025; 14(17):3534. https://doi.org/10.3390/electronics14173534
Chicago/Turabian StyleEsquius-Mas, Oriol, Alber Filba-Martinez, Joan Nicolas-Apruzzese, and Sergio Busquets-Monge. 2025. "Generalized Multiport, Multilevel NPC Dual-Active-Bridge Converter for EV Auxiliary Power Modules" Electronics 14, no. 17: 3534. https://doi.org/10.3390/electronics14173534
APA StyleEsquius-Mas, O., Filba-Martinez, A., Nicolas-Apruzzese, J., & Busquets-Monge, S. (2025). Generalized Multiport, Multilevel NPC Dual-Active-Bridge Converter for EV Auxiliary Power Modules. Electronics, 14(17), 3534. https://doi.org/10.3390/electronics14173534

