A Trident-Fed Wine Glass UWB Antenna Based on Bézier Curve Optimization
Abstract
1. Introduction
2. Proposed UWB Antenna Configuration
3. Antenna Design Method
3.1. Prototype Bell Curve Antenna
3.2. Bézier Curve Antenna
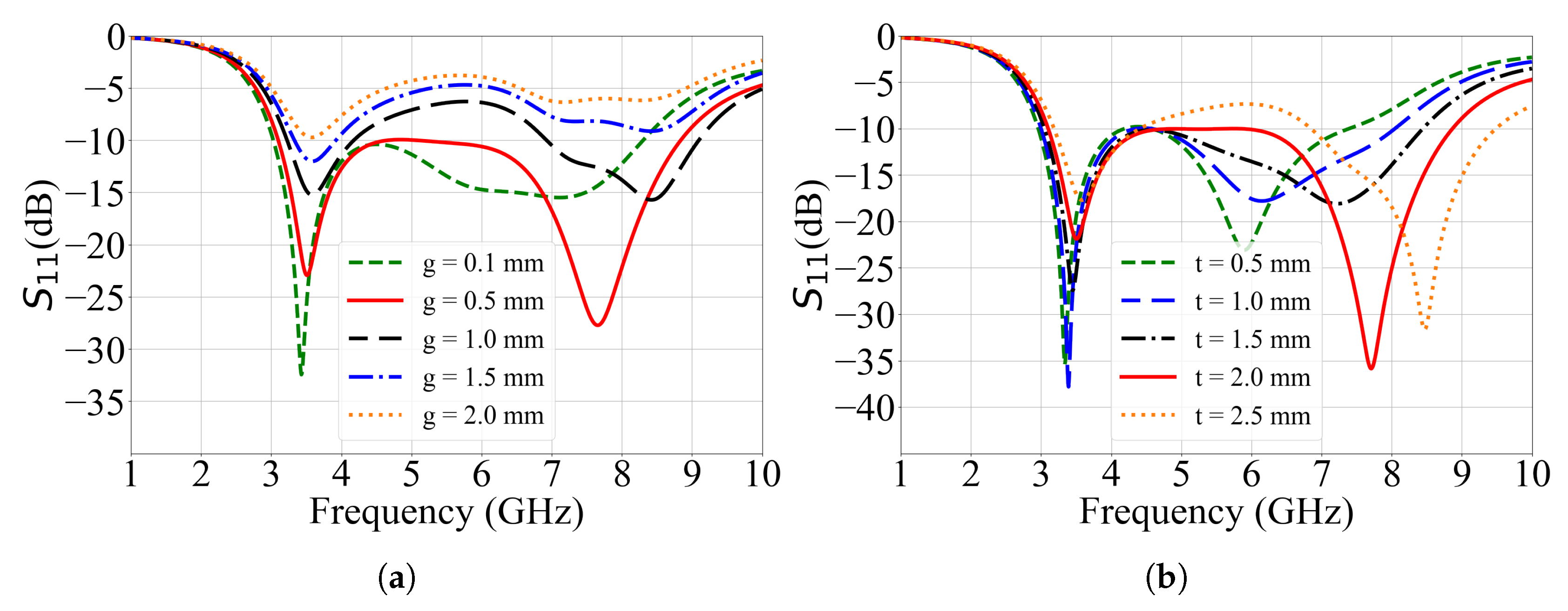
3.3. Trident Feed
4. Simulation and Measurement
5. Conclusions
Author Contributions
Funding
Data Availability Statement
Conflicts of Interest
References
- Coppens, D.; Shahid, A.; Lemey, S.; Van Herbruggen, B.; Marshall, C.; De Poorter, E. An Overview of UWB Standards and Organizations (IEEE 802.15.4, FiRa, Apple): Interoperability Aspects and Future Research Directions. IEEE Access 2022, 10, 70219–70241. [Google Scholar] [CrossRef]
- Federal Communications Commission Revision of Part 15 of the Commission’s Rules Regarding Ultra-Wideband Transmission systems. FCC 02-48, First Report and Order. 2002. Available online: https://docs.fcc.gov/public/attachments/FCC-02-48A1.pdf (accessed on 23 May 2025).
- Samal, P.B.; Chen, S.J.; Fumeaux, C. Wearable Textile Multiband Antenna for WBAN Applications. IEEE Trans. Antennas Propag. 2023, 71, 1391–1402. [Google Scholar] [CrossRef]
- Jayant, S.; Srivastava, G.; Kumar, S. Quad-Port UWB MIMO Footwear Antenna for Wearable Applications. IEEE Trans. Antennas Propag. 2022, 70, 7905–7913. [Google Scholar] [CrossRef]
- Sharma, P.K.; Dzagbletey, P.A.; Chung, J.Y. Evaluation of the thin film polyimide-based holographic metasurface inspired leaky-wave antenna. J. Appl. Polym. Sci. 2024, 141, e55604. [Google Scholar] [CrossRef]
- Zhang, Y.; Li, Y.; Hu, M.; Wu, P.; Wang, H. Dual-Band Circular-Polarized Microstrip Antenna for Ultrawideband Positioning in Smartphones with Flexible Liquid Crystal Polymer Process. IEEE Trans. Antennas Propag. 2023, 71, 3155–3163. [Google Scholar] [CrossRef]
- Ray, K.P.; Ranga, Y. Ultrawideband Printed Elliptical Monopole Antennas. IEEE Trans. Antennas Propag. 2007, 55, 1189–1192. [Google Scholar] [CrossRef]
- John, M.; Ammann, M.J. Antenna Optimization with a Computationally Efficient Multiobjective Evolutionary Algorithm. IEEE Trans. Antennas Propag. 2009, 57, 260–263. [Google Scholar] [CrossRef]
- Liu, J.; Zhong, S.; Esselle, K.P. A Printed Elliptical Monopole Antenna with Modified Feeding Structure for Bandwidth Enhancement. IEEE Trans. Antennas Propag. 2011, 59, 667–670. [Google Scholar] [CrossRef]
- Dao, D.N.; Chung, J.Y. A Miniaturized Thin-Film UWB Monopole Antenna Implemented with High-Dk Adhesive. Electronics 2023, 12, 3445. [Google Scholar] [CrossRef]
- Sim, C.Y.D.; Chang, M.H.; Chen, B.Y. Microstrip-Fed Ring Slot Antenna Design with Wideband Harmonic Suppression. IEEE Trans. Antennas Propag. 2014, 62, 4828–4832. [Google Scholar] [CrossRef]
- Yang, W.; Xun, M.; Che, W.; Feng, W.; Zhang, Y.; Xue, Q. Novel Compact High-Gain Differential-Fed Dual-Polarized Filtering Patch Antenna. IEEE Trans. Antennas Propag. 2019, 67, 7261–7271. [Google Scholar] [CrossRef]
- Din, I.U.; Ullah, W.; Abbasi, N.A.; Ullah, S.; Shihzad, W.; Khan, B.; Jayakody, D.N.K. A Novel Compact Ultra-Wideband Frequency-Selective Surface-Based Antenna for Gain Enhancement Applications. J. Electromagn. Eng. Sci. 2023, 23, 188–201. [Google Scholar] [CrossRef]
- Gopikrishna, M.; Krishna, D.D.; Anandan, C.K.; Mohanan, P.; Vasudevan, K. Design of a Compact Semi-Elliptic Monopole Slot Antenna for UWB Systems. IEEE Trans. Antennas Propag. 2009, 57, 1834–1837. [Google Scholar] [CrossRef]
- Narbudowicz, A.; John, M.; Sipal, V.; Bao, X.; Ammann, M.J. Design Method for Wideband Circularly Polarized Slot Antennas. IEEE Trans. Antennas Propag. 2015, 63, 4271–4279. [Google Scholar] [CrossRef]
- Awan, D.; Bashir, S.; Bari, I.; Bashir, M.A.; Ali, H.; Ibrahim, I.M.; Kiani, S.H.; Savci, H.S.; Zahriladha, Z. A Circular Shape Arc Slot Ultra-Wideband Antenna for Biomedical Applications. J. Electromagn. Eng. Sci. 2024, 24, 418–425. [Google Scholar] [CrossRef]
- Zebiri, C.E.; Lashab, M.; Sayad, D.; Elfergani, I.T.E.; Sayidmarie, K.H.; Benabdelaziz, F.; Abd-Alhameed, R.A.; Rodriguez, J.; Noras, J.M. Offset Aperture-Coupled Double-Cylinder Dielectric Resonator Antenna with Extended Wideband. IEEE Trans. Antennas Propag. 2017, 65, 5617–5622. [Google Scholar] [CrossRef]
- Mei, S.; Ping, Z.Y. A Chip Antenna in LTCC for UWB Radios. IEEE Trans. Antennas Propag. 2008, 56, 1177–1180. [Google Scholar] [CrossRef]
- Stutzman, W.L.; Thiele, G.A. Antenna Theory and Design; Wiley: Hoboken, NJ, USA, 2013. [Google Scholar]
- Liang, J.; Chiau, C.; Chen, X.; Parini, C. Study of a printed circular disc monopole antenna for UWB systems. IEEE Trans. Antennas Propag. 2005, 53, 3500–3504. [Google Scholar] [CrossRef]
- Wang, S.; Niknejad, A.; Brodersen, R. Circuit modeling methodology for UWB omnidirectional small antennas. IEEE J. Sel. Areas Commun. 2006, 24, 871–877. [Google Scholar] [CrossRef]
- Dzagbletey, P.A.; Jeong, J.Y.; Chung, J.Y. Ultra-Wideband Trident Inset-Fed Monopole Antenna with a 3-D Conical Ground. IEEE Access 2021, 9, 2592–2601. [Google Scholar] [CrossRef]
- Chahat, N.; Zhadobov, M.; Sauleau, R.; Ito, K. A Compact UWB Antenna for On-Body Applications. IEEE Trans. Antennas Propag. 2011, 59, 1123–1131. [Google Scholar] [CrossRef]
- Kirtania, S.G.; Younes, B.A.; Hossain, A.R.; Karacolak, T.; Sekhar, P.K. CPW-Fed Flexible Ultra-Wideband Antenna for IoT Applications. Micromachines 2021, 12, 453. [Google Scholar] [CrossRef]


















| w | l | Fw | t | g | |
| 12.4 | 35.0 | 13.8 | 0.3 | 2.0 | 0.68 |
| (0,0) | (0,1) | (0,3) | (0,1) | ||
| (0,1) | (0,1.4) | (1,1.4) | (1,1.5) | (1,1) |
| Values (pF) | Values (nH) | Values () | Q-Factor |
|---|---|---|---|
| Bell Antenna | |||
| 1.70 () | 0.63 () | — | — |
| 1.90 () | 1.20 () | 82.00 () | 3.26 () |
| 0.95 () | 0.79 () | 119.61 () | 4.14 () |
| 0.75 () | 0.40 () | 72.48 () | 3.14 () |
| WGS Antenna | |||
| 2.40 () | 0.57 () | — | — |
| 3.49 () | 0.72 () | 56.36 () | 3.92 () |
| 2.00 () | 0.47 () | 50.00 () | 3.26 () |
| 1.68 () | 0.29 () | 120.81 () | 9.19 () |
| Ref. | Freq. Range | Band-Width | Volume | Electrical Size | Matching Technique |
|---|---|---|---|---|---|
| (GHz) | Ratio | ( ) | () * | ||
| [7] | 1–12 | 1:12 | Elliptical & Trident Feed | ||
| [8] | 3–11 | 1:3.6 | 1920 | Optimized Bézier curve Bell Ant | |
| [10] | 6–9 | 1:1.5 | 36 | Elliptical Thin-film Ant | |
| [15] | 3.2–6.1 | 1:1.9 | 2640 | Circular Slot Ant | |
| [23] | 3–11.2 | 1:3.7 | 400 | Slot Monopole Ant | |
| [24] | 3.04–10.7 | 1:3.5 | CPW-Fed Circular Monopole | ||
| This paper | 3.2–8.7 | 1:2.7 | Wineglass Shape & Trident Feed |
Disclaimer/Publisher’s Note: The statements, opinions and data contained in all publications are solely those of the individual author(s) and contributor(s) and not of MDPI and/or the editor(s). MDPI and/or the editor(s) disclaim responsibility for any injury to people or property resulting from any ideas, methods, instructions or products referred to in the content. |
© 2025 by the authors. Licensee MDPI, Basel, Switzerland. This article is an open access article distributed under the terms and conditions of the Creative Commons Attribution (CC BY) license (https://creativecommons.org/licenses/by/4.0/).
Share and Cite
Ly, C.; Chung, J.-Y. A Trident-Fed Wine Glass UWB Antenna Based on Bézier Curve Optimization. Electronics 2025, 14, 2560. https://doi.org/10.3390/electronics14132560
Ly C, Chung J-Y. A Trident-Fed Wine Glass UWB Antenna Based on Bézier Curve Optimization. Electronics. 2025; 14(13):2560. https://doi.org/10.3390/electronics14132560
Chicago/Turabian StyleLy, Chheang, and Jae-Young Chung. 2025. "A Trident-Fed Wine Glass UWB Antenna Based on Bézier Curve Optimization" Electronics 14, no. 13: 2560. https://doi.org/10.3390/electronics14132560
APA StyleLy, C., & Chung, J.-Y. (2025). A Trident-Fed Wine Glass UWB Antenna Based on Bézier Curve Optimization. Electronics, 14(13), 2560. https://doi.org/10.3390/electronics14132560

