Next Article in Journal
Improving Short-Term Photovoltaic Power Generation Forecasting with a Bidirectional Temporal Convolutional Network Enhanced by Temporal Bottlenecks and Attention Mechanisms
Previous Article in Journal
Application of Reduced Order Surrogate Models in Compatible Determination of Material Properties Profiles by Eddy Current Method
 
 
Font Type:
Arial Georgia Verdana
Font Size:
Aa Aa Aa
Line Spacing:
Column Width:
Background:
Article

Modeling of Respiratory Virus Transmission Using Single-Input- Multiple-Output Molecular Communication Techniques

1
College of Information Science and Technology, Shihezi University, Shihezi 832003, China
2
School of Computer Science, Shaanxi Normal University, Xi’an 710062, China
3
Shaanxi Key Laboratory for Network Computing and Security Technology, Xi’an 710048, China
*
Authors to whom correspondence should be addressed.
Electronics 2025, 14(1), 213; https://doi.org/10.3390/electronics14010213
Submission received: 2 December 2024 / Revised: 3 January 2025 / Accepted: 4 January 2025 / Published: 6 January 2025
(This article belongs to the Section Microwave and Wireless Communications)

Abstract

Respiratory diseases pose a significant threat to global public health, as exemplified by the COVID-19 pandemic. Molecular communication (MC), as a new method in communication systems, provides a framework for the modeling of diseases. Current studies, however, largely restrict MC models to transmission scenarios involving a single source and single receiver, leaving scenarios with multiple receivers insufficiently explored. This study investigates respiratory virus transmission through air, applying a single-input-multiple-output (SIMO) MC model to analyze the in vitro transmission process. In this context, a COVID-19-positive individual can transmit the virus to multiple recipients, modeled as a SIMO MC system where the affected person is the transmitter, susceptible individuals are receivers, and the intervening air serves as the communication channel. A theoretical model is developed to elucidate the virus transmission process, yielding foundational analytical expressions for the absorption probability. Numerical data validate the model and reveal factors influencing the cumulative reception probability. The results indicate that both the distance and angle between the transmitter and receiver significantly impact the absorption probability, which decreases with increasing distance and angle. Optimal absorption occurs when the receiver is directly in front of the emitter. These findings introduce a new perspective on viral transmission mechanisms and provide a scientific basis for future prevention and control measures.

1. Introduction

Respiratory diseases continue to pose substantial risks to global public health, as evidenced by the widespread impact of COVID-19 in 2019, as well as other respiratory viruses, including influenza, adenoviruses, and coronaviruses. According to the World Health Organization (WHO), respiratory viruses have, by 2024, contributed to billions of cases and millions of deaths worldwide, exerting unprecedented pressure on healthcare infrastructure and socioeconomic stability globally [1,2]. Influenza viruses alone are responsible for millions of severe cases and hundreds of thousands of deaths annually. Adenoviruses frequently lead to respiratory illnesses among children, spreading rapidly in communal settings like childcare centers and schools. Several members of the coronavirus family, notably SARS and MERS, have triggered significant international outbreaks, presenting substantial public health challenges [3,4]. Respiratory infections rank among the most prevalent clinical conditions, disproportionately affecting vulnerable populations such as children, elderly individuals, and those with compromised immune systems. In 2019, lower respiratory tract infections represented the fourth leading cause of global mortality, responsible for 2.6 million fatalities. Complications arising from acute respiratory infections are the second leading cause of death among children under five, with nearly 1.9 million fatalities annually. Such infections significantly impact patients’ quality of life and impose substantial burdens on healthcare systems [5,6,7]. Typically triggered by respiratory viruses and spread through secretions from affected individuals, these pathogens are released as aerosols and droplets when an affected person coughs, sneezes, or speaks, thereby entering the environment and facilitating secondary infection via inhalation, as illustrated in Figure 1 [8,9,10]. Research focusing on predictive models for respiratory virus spread, especially transmission modeling, is essential in mitigating these infection pathways.
Molecular communication (MC) introduces an advanced framework for the analysis of respiratory disease transmission that surpasses traditional epidemiological models and statistical models, which primarily rely on historical data analysis to predict future trends [11]. Conventional approaches aggregate epidemic data to identify general patterns in virus spread but are limited by their reliance on macro-level data, which hinders the precise simulation of airborne transmission dynamics [12,13,14]. These methods often fail to encapsulate the micro-level mechanisms integral to virus diffusion in the air. MC, by contrast, leverages molecular-scale interactions, enabling a detailed examination of virus particle behavior within aerosols [15]. This methodology focuses on analyzing molecular interactions, concentration gradients, and diffusion processes to model airborne viral transmission with greater fidelity [16,17,18]. Through MC, researchers can gain enhanced insights into aerosols and droplet-mediated transmission, providing valuable data to shape public health measures. The present study employs MC to model the transmission of respiratory viruses, offering a refined tool by which to understand and mitigate viral spread.
The current research on respiratory virus transmission modeling via MC methods largely focuses on single-input-single-output (SISO) setups, often overlooking the complexities inherent in multi-receiver scenarios, where a single affected individual can transmit the virus to multiple susceptible recipients. In crowded public places, family gatherings, or close-contact environments, virus particles can spread into shared air and may be inhaled by multiple individuals. Such multi-receiver transmission dynamics are not able to be accurately described by the SISO model, which primarily focuses on single transmitter–receiver interactions. Additionally, the SISO model has inherent limitations in addressing the spatial heterogeneity of virus transmission. In multi-receiver scenarios, the spatial distribution of receivers and their varying distances from the transmitter significantly influence the transmission pathways and the concentration distribution of viral particles. However, the SISO model typically assumes a fixed propagation path, thereby failing to adequately account for these spatial factors. Moreover, the SISO model does not effectively capture the mutual influence between multiple receivers. In multi-receiver scenarios, the inhalation of viral particles by one recipient alters the concentration distribution of viral particles in the air, which in turn affects the exposure levels of other recipients. This collective effect is critical in understanding the dynamics of virus transmission in shared environments. Finally, the SISO model is limited in assessing the overall risk of virus transmission. In real-world scenarios, virus transmission often involves the simultaneous exposure of multiple receivers. However, the SISO model analyzes the transmission risk for each receiver individually, failing to provide a comprehensive understanding of the overall transmission dynamics. This limitation may result in the neglect of key factors in multi-receiver scenarios, potentially impacting the effectiveness of prevention and control strategies.
Addressing this gap, this study investigates the dynamics of virus spread from a single carrier to numerous individuals, employing MC to simulate the multi-receiver transmission landscape. This approach introduces specific challenges, including the precise modeling of viral dissemination kinetics in such contexts and establishing a robust theoretical foundation to assess transmission probabilities. Compared to the SISO model, a key advantage of the SIMO model lies in its ability to capture the dynamic characteristics of multiple receivers, thereby providing a more comprehensive understanding of the virus transmission process in real-world scenarios. For instance, the SIMO model is more capable of accounting for spatial heterogeneity, such as the varying distances and angles between the transmitter and receivers, which play a critical role in determining the propagation probability.
The primary contributions of this paper are as follows.
1. This study employs the SIMO MC model to analyze a scenario in which a respiratory disease carrier transmits the infection to multiple individuals. Here, the affected individual functions as the transmitter, multiple susceptible individuals are the receivers, and the air serves as the communication channel for virus transmission.
2. A framework is established to model the transmission of respiratory viruses, yielding preliminary expressions to analyze the absorption probability. Mathematical methods, including diffusion and differential equations, are employed to characterize airborne virus propagation. This framework examines significant parameters impacting transmission, such as the distance and angle between the transmitter and receivers and the initial particle velocity.
3. Extensive trials validate the analytical framework’s precision. Initially, correlation coefficients and error analysis are used to assess the framework’s reliability, followed by a detailed evaluation of how the transmitter–receiver distance and angle affect the cumulative absorption probability.
This paper is structured as follows. Section 1 introduces the background of respiratory diseases. Section 2 reviews the related literature. Section 3 formulates the system model. Section 4 details the mathematical framework and derivations. Section 5 presents the numerical results. Section 6 presents the discussion. Section 7 concludes the paper.

2. Related Work

Respiratory virus transmission modeling using MC can be divided into two categories: SISO-based and SIMO-based modeling.
In terms of analyzing respiratory virus transmission through a SISO MC system, Rudsari et al. utilized MC technology to identify harmful microorganisms, optimizing signal transmission to ensure precise delivery to targeted receivers [19]. Their model was evaluated using performance metrics such as the infection probability and transmission rate, affirming its accuracy. However, the scope of this research was limited to single-channel signaling, posing limitations in modeling complex interactions with external environments. Khalid et al. further advanced MC theory by generalizing virus transmission modeling, focusing on bidirectional viral particle exchange via inhalation and exhalation. Their model assessed respiratory virus detection and explored exhalation as a continuous virus source, examining the system’s response to aerosol emissions from actions like coughing and sneezing [20,21,22]. The study by Jayaweera examined droplet and aerosol dynamics produced by coughing within confined spaces, analyzing airborne particle trajectories to elucidate transmission pathways. Using metrics such as the dispersion distance and concentration fluctuations, their study provides a practical basis for an understanding of viral spread in enclosed areas [23]. Pöhlker et al. further assessed respiratory particle properties—the number and concentration, size distribution, and physicochemical characteristics—across activities like breathing, talking, and singing. Modeled as a SISO multi-channel system, these particle attributes were shown to influence the transmission efficiency, with performance metrics highlighting the persistence and infection potential. The results demonstrate that the particle characteristics substantially impact the virus’ spread and infection likelihood within confined spaces [24]. Kwon et al. investigated the initial velocity and angle of airflow during coughing and speaking, assessing the predictability of transmission paths by modeling airflow parameters within a SISO MC framework. Their analysis centered on the airflow velocity, angle, and diffusion range, showing that the initial velocity and angle significantly affect the virus’s initial transmission trajectory, informing the development of more effective air purification and control systems [25]. Cavazzuti et al. performed a statistical analysis of respiratory droplet trajectories to assess the transmission risks of infectious diseases in diverse settings. Using a SISO MC model to simulate droplet pathways, they evaluated the infection probability and time delay as key performance metrics, revealing that environmental variability critically impacts droplet trajectories [26]. Reissner et al. explored virus stability and concentration fluctuations on aerosols and surfaces in various environmental conditions, assessing the stability by quantifying the aerosol concentration and virus viability duration. Their findings indicate that environmental factors strongly affect virus’ stability and infectivity, highlighting the importance of targeted environmental management strategies [27]. Sinclair et al. developed mathematical models to clarify the mechanisms of viral particle emission and inhalation, establishing a foundational framework for the modeling of transmission pathways theoretically [28]. Schurwanz et al. further explored the complex dynamics of aerosol and droplet transmission through molecular communication modeling in multi-user scenarios [29]. This approach treated transmission as a SISO channel system, analyzing user interactions and data pathways to simulate aerosol and droplet dispersion patterns. Key performance indicators included the transmission delay, transmission path complexity, and infection probability. The findings suggest this approach reveals new perspectives on the dynamic interactions among infectious particles; however, the SISO framework lacks the capacity to fully represent the intricate transmission dynamics in multi-receiver contexts. This research highlights the need to account for complex interactions in multi-user settings, providing a theoretical basis for future preventive strategies.
Recent advancements in SIMO model research have yet to be directed towards respiratory virus transmission, particularly in addressing the specific transmission dynamics of viral particles and their airborne behavior. Nevertheless, existing investigations offer valuable insights for the development of system models. Arifler et al. presented a methodology aimed at enhancing the simulation accuracy within multi-receiver environments [30]. By analyzing the absorption probabilities at the receiving end, this method improves both the reliability and model validity, providing a framework and technical guidance for SIMO model applications in complex scenarios. Yaylali et al. proposed a SIMO channel model based on molecular communication [31], whose recursive properties enable the precise evaluation of the channel response, thereby optimizing signal transmission across multiple receivers. The model’s innovative recursive algorithm design lays the groundwork for SIMO applications in dynamic environments. Bao et al. explored a scenario involving a point transmitter and two spherical absorbing receivers [32]. By investigating the influence of unintended receivers on intended ones, they formulated cumulative absorption probability and probability density equations dependent on the angle, distance, and time, offering new perspectives on virus propagation in multi-path and multi-user contexts. Huang et al. analyzed the channel response between a single emitter and two fully absorbing receivers [33]. This one-dimensional diffusion model delivers an effective framework for the study of virus transmission paths, especially regarding directional diffusion properties. Zabini et al. examined distributed molecular communication models with multiple transmitters and receivers [34], demonstrating strategies to optimize information reception coordination among receivers, thus boosting the overall system performance and transmission efficiency.
Molecular communication technology demonstrates significant accuracy in detailing respiratory virus transmission mechanics. However, SISO research on this topic remains largely limited to point-to-point frameworks, offering theoretical insights but failing to capture the complexities inherent in multi-recipient transmission scenarios. SISO models lack the capacity to accurately represent virus transmission dynamics where multiple individuals, such as in schools, offices, or public transport settings, are exposed simultaneously to viral particles released through actions like coughing or sneezing. This one-to-many transmission aspect is inadequately addressed by SISO models. This work presents a model that incorporates dynamic diffusion characteristics with many recipients, facilitating the more accurate simulation of the viral particle transmission pathways in intricate ecosystems. Unlike the SISO model, which focuses solely on a single transmission path, the model presented in this paper can capture the differences in reception levels among multiple receivers, thereby more accurately quantifying the absorption probabilities of different receivers. The current SIMO models similarly fall short, as they insufficiently incorporate critical viral transmission elements, such as the particle dispersion characteristics and the external forces acting upon them. The model proposed in this paper addresses the limitations of previous models by considering real-world virus transmission scenarios. It integrates the resistance effects of external environmental media on virus transmission and the auxiliary role of the human cough airflow, thereby enabling the more realistic simulation of the dynamic behavior of virus particles in multi-receiver environments.

3. System Model

Respiratory virus transmission primarily occurs through the actions of an affected individual—such as coughing, sneezing, speaking, and breathing—which release viral particles into the surrounding air, as shown in Figure 2. Cough-generated droplets initially travel at approximately 10 m per second, significantly outpacing those produced by normal respiration and enabling the rapid spread of infection over considerable distances [35]. Furthermore, the trajectory and speed of the viral particles emitted during coughing and sneezing are shaped not only by initial velocity but also by the pronounced effect of the air resistance. This resistance, arising from interactions between aerosol particles and the ambient air, directly impacts both the travel distance and deceleration rate of these viral particles.
This research models respiratory virus transmission as a SIMO MC system, illustrated in Figure 3. Here, the affected individual, acting as the transmitter, emits aerosolized viral particles through actions such as coughing and sneezing. These particles disperse through the air, with susceptible individuals, serving as receivers, absorbing them via the facial organs. Viral particles function as informational molecules, propagating within the air channel. An inherent advantage of this molecular communication system is its reliance on chemical signals, which, due to their biocompatibility with the human body, establish a viable framework for human-based communication [36].

3.1. Channel Model

The examined virus transmission scenario primarily involves aerosol and droplet release, laden with virus particles, into the atmosphere through the respiratory actions of an affected host (e.g., coughing, sneezing, speaking). The movement of these particles is influenced by the fluidic resistance and diffusion dynamics in the surrounding medium. In this channel model, air acts as the molecular transmission medium, with propagation formally defined in mathematical terms.
This study configures a point source transmitter (Tx) centrally within an infinite spherical medium, surrounded by N absorbing spherical receivers (Rx) arranged along an arc, as shown in Figure 4. Each Rx, positioned at distance d from the Tx, shares an identical radius R and an angular displacement α relative to the Tx’s emission direction. The Tx initiates molecular release in the forward direction, driven by a pulse force, imparting initial velocity to the molecules. Subsequently, these molecules decelerate within the channel, impeded by the medium’s resistance and the absence of external propulsion. Simultaneously, random Brownian motion arises due to molecular collisions and thermal fluctuations. The molecules are assumed to undergo uniformly decelerated motion within the channel, with a constant diffusion coefficient D in the surrounding environment. Rx, a fully absorbing spherical receiver, absorbs and eliminates molecules upon contact with its surface. This experiment investigates molecular propagation within a SIMO system concerning parameters d and α , incorporating the initial pulse velocity of the molecules. While Fick’s second law provides a foundational framework for molecular diffusion, its limitations emerge in describing respiratory virus transmission. Specifically, during a cough emitted by Tx, viral particle dispersion is affected by the airflow, with air resistance decelerating the particle velocity. Fick’s second law alone cannot capture these dynamics; however, the convection–diffusion equation accounts for both convective and diffusive molecular movements, making it a more appropriate model for this context.
C d , t t + v t C d , t = D 2 C d , t .
In this equation, C ( d , t ) denotes the molecular concentration at position d and time t, with D as the diffusion coefficient, while v ( t ) , as a function of time t, characterizes the convection-driven velocity. The gradient operator, ∇, and the Laplace operator, 2 , describe the spatial variation and diffusion effects, respectively.
To derive the analytical expression for the molecular absorption probability, uniform initial and boundary conditions must first be established. The initial condition specifies the system’s starting configuration, assuming that, at t = 0 s, molecules are confined exclusively to the point source. This configuration is effectively represented by the Dirac δ function, denoted as C ( d , 0 ) = C 0 δ ( d ) , where C 0 signifies the initial concentration. Furthermore, boundary conditions stipulate that, as both the distance and time approach infinity, the concentration asymptotically trends towards zero, i.e., C ( , t ) = C ( d , ) = C ( , ) = 0 .

3.2. Communication Model

Molecular communication systems, a rapidly advancing technology, utilize molecules as carriers for the transmission of data at micro- and nano-scale dimensions. As illustrated in Figure 5, the conventional architecture of such systems comprises several primary components: a transmitter, receiver, channel, encoder, modulator, demodulator, and decoder [37].
In molecular communication systems, the transmitter’s primary function centers on encoding and modulating information by controlling the production and release of information molecules. Initially, the transmitter encodes the target information, followed by the precise modulation of the molecular concentration and release timing to ensure accurate information transfer. Modulation techniques such as concentration shift keying (CSK) can be applied to effectively regulate these transmission parameters.
C d , t = C l o w , if bit is 0 , C h i g h , if bit is 1 .
Information bits are represented by varying the concentration of the released molecules, employing two levels, where bit “0” corresponds to C l o w and bit “1” to C h i g h . Molecules are then emitted into the channel via chemical processes, such as coughing, requiring stringent temporal and spatial control to enhance the transmission efficiency and accuracy. The channel promotes the transfer of information molecules, functioning as the communication medium in molecular transmission. In respiratory viral spread, air serves as this medium, while viruses act as informational molecules, conveyed to recipients through diffusion and airflow dynamics. Throughout this transmission, stochastic diffusion introduces various noise types, leading to potential errors. Upon arrival, the receiver intercepts these information molecules, executing demodulation and decoding with chemical or biological sensors, which demand high sensitivity and specificity to detect target molecules amid complex backgrounds. For concentration shift keying modulation, the receiver demodulates the received concentration C r e c v by comparing it to a predefined threshold C t h :
bit = 0 , if C r e c v < C t h , 1 , if C r e c v C t h .
By establishing a concentration threshold, C t h , the receiver discerns whether the received signal indicates a “0” or “1” bit. Following this demodulation process, the signal undergoes decoding, enabling the transformation of the molecular information into its original format.

3.3. Performance Indicators

To quantify molecular reception and determine viral infection levels, two core indicators are applied, the absorption probability density f and the cumulative absorption probability F, providing a framework for the evaluation of the viral transmission impact in this study.
The absorption probability density function f quantifies the efficiency of viral transmission by representing the fraction of airborne virus particles reaching the receiver relative to the particles emitted by the source at a given instant. This metric, a function of virus concentration C, indicates the transmission efficiency in airborne conditions. Mathematically, f is defined by the ratio of C to the total viral load. The specific form of f can be derived as
f = d 4 π D t 3 exp d s ( t ) 2 4 D t ,
where s ( t ) is the molecular displacement caused by convection.
The cumulative absorption probability F quantifies the proportion of viral particles captured by the receiver relative to those emitted by the transmitter over a defined time span. This metric F is derived as the integral of the absorption probability density f over time, thus encapsulating the receiver’s overall efficacy in capturing viral particles throughout the observation period. The definition of F is
F = f d t .
To thoroughly evaluate the influence of viral transmission, the functions f and F are expanded to incorporate the effects of the distance d and angle α between the receiver and transmitter on the absorption probability. This approach enables the quantification of the virus reception capacity across diverse receiver positions and orientations, facilitating the precise assessment of the infection risk and rate.

4. Formula Derivation

4.1. Overall Framework of Analysis

This section presents the derivation of equations central to this research, structured around the convection–diffusion model, to analyze virus particle propagation from Tx to Rx in detail, as shown in Figure 6. Initial consideration is given to the influence of convection and diffusion on molecular propagation in the air. Upon release from Tx, molecules diffuse through the air channel, encountering resistance from the surrounding fluid. In the SIMO model, the position of Rx critically influences the virus particle absorption probability, primarily through the distance and angle. Consequently, the derivation focuses on the distance d and α , employing mathematical modeling to quantify their effects on f and F.

4.2. Preliminary Formula for Absorption Probability

This section presents the preliminary equation for the absorption probability density f and the cumulative absorption probability F. Within the proposed model, molecules emitted from Tx possess an initial velocity v 0 , with their propagation influenced exclusively by resistance from the surrounding fluid. Therefore, based on Newton’s laws of motion, the velocity equation v ( t ) can be expressed as
v ( t ) = v 0 + a t ,
where a denotes deceleration due to resistance, reflecting the slowing effect caused by the medium’s resistance. By integrating the velocity equation, we can obtain the displacement of the molecules s ( t ) as
s ( t ) = v ( t ) d t = v 0 t + 1 2 a t 2 + C .
The integration constant is determined by applying the initial condition as s ( 0 ) = 0 , which specifies that, at t = 0 s, no molecules have been emitted, positioning them at the origin. Thus, it can be concluded that C=0. From this, we can derive the complete displacement equation as
s ( t ) = v 0 t + 1 2 a t 2 .
By integrating Equations (4) and (8), and considering the effects of the angle and distance on the receiver, the absorption probability density f for the SIMO system can be obtained according to the convection–diffusion equation as
f = I R R + d d 4 π D t 3 exp d v t 1 2 a t 2 2 4 D t ,
where I represents the interference factor that includes d and α , used to quantify the effects of d and α on f. Next, we will derive the specific form of I.
The influence of distance d on viral particle diffusion can generally be characterized by an exponential decay model, illustrating the decline in the virus concentration as the distance increases. Therefore, we set the concentration decay model in the scenario as
f d = exp ( λ d ) ,
where λ is the decay constant, reflecting the rate of concentration decay. The specific value of the decay constant lambda is related to the set transmission scenario, as factors such as the airflow, temperature, and humidity in the gas can all influence this constant.
The orientation of receivers Rx 1 , Rx 2 , , Rx N substantially impacts the intensity of the received signal, with the angle α between the transmission path and receiver direction serving as a key factor in determining the absorption probability.
In Figure 7, the transmitter (Tx) is situated on the left, assumed to emit molecules along a linear path with an initial concentration C 0 . At receiver Rx n , the concentration component is expressed as C 0 · cos α , based on trigonometric principles. As the angle α between Tx and receiver widens, the detected concentration declines proportionally, following the cosine function’s behavior. We standardize the effect of α as
f α = cos α .
The detailed equation for I can be derived by integrating Equations (10) and (11) as
I = A exp ( λ d ) cos α + B .
This equation incorporates A and B as adjustment parameters and λ as a decay constant. The decay constant λ describes the rate of virus concentration decay as a function of the distance. Its specific value is determined by the experimental conditions and environmental factors, such as the airflow, temperature, and humidity, to ensure that the model accurately reflects the specific transmission scenario. In contrast, parameters A and B, obtained through linear fitting, serve as adjustment parameters to enhance the model’s consistency with the experimental data. These parameter values are derived through Levenberg–Marquardt (LM) curve-fitting techniques [38,39].
By integrating f with respect to t, we can obtain the cumulative absorption probability F as
F = f d t = I R R + d d 4 π D t 3 exp d v t 1 2 a t 2 2 4 D t d t = A exp ( λ d ) cos α + B R R + d d 4 π D t 3 exp d v t 1 2 a t 2 2 4 D t d t .
Obtaining an accurate analytical expression for cumulative absorption probability F presents challenges; therefore, numerical methods are employed to evaluate the influence of factors such as angle α and distance d on F.

5. Numerical Results

This section presents the model’s numerical results alongside a detailed analysis, focusing on the fitting accuracy of the cumulative absorption probability F and examining how variations in angle α and distance d influence the model’s performance.

5.1. Fitting Model

This section comprises two parts. The first part outlines the simulation setup, detailing the parameter configurations and experimental design. The second part addresses the fitting process, presenting the results of fitting the experimental data to the initial equations.

5.1.1. Simulation Settings

The simulation parameters are detailed in Table 1. The model includes a single Tx and thirteen Rx ( Rx 1 to Rx 13 ), each with a radius of 0.15 m, designed to analyze viral reception across receivers at varied locations. A single-point emitter is selected to mimic virus dispersal scenarios, such as an affected individual releasing viral particles through coughing or sneezing. This choice reflects the localized nature of respiratory events, where viruses are expelled in aerosolized form from a point source. In scenarios representing densely populated environments like classrooms or workplaces, multiple receivers are strategically placed to assess the reception capacities across diverse spatial positions, providing insights into the viral transmission dynamics relative to the receiver positioning. To realistically model viral reception, the receiver radius is derived from the dimensions of the human oral cavity.
The angle range spans from −30° to 30°, incremented by 5° to simulate positional variations between the receivers and the emitter. Our preliminary studies indicate that, beyond 30°, the reception effect becomes negligible, approaching zero. Therefore, angles ( α ) greater than 30° or less than −30° are excluded from the analysis, as these angles have a minimal impact on the transmission efficiency in public spaces [40]. To reflect the social distancing guidelines put forth by public health authorities, the distance range is set between 0 m and 2 m, with increments of 0.05 m. This allows for a detailed analysis of the effect of the distance on the viral reception probability [25]. In the context of human coughing, the diffusion coefficient of viral particles is significantly influenced by their surface shape and structural characteristics, as validated by computational studies on diffusion coefficients under continuous flow conditions. The order of magnitude of the diffusion coefficient of respiratory virus aerosols in the cough airflow is approximately 10 7 . To simplify the analysis, this study assumes that the diffusion coefficient D is a constant, set at 10 7 m 2 / s , without considering its variations under different conditions, as noted in [41]. According to relevant studies [42], the velocity characteristics of the cough airflow exhibit significant gender and individual differences. The average maximum cough velocity for males is 11.8 m/s, while, for females, it is 10.3 m/s. To accommodate a broader range of scenarios, we set the initial velocity v 0 of the cough airflow slightly below the maximum average velocity reported in the literature, at 10 m/s, disregarding gender differences and conducting a unified study [42]. The drag acceleration (a) is adjusted to 5 m / s 2 to account for the air resistance encountered by viral particles during transmission, ensuring the realistic modeling of particle deceleration [22].
In the experiments, 20,000 virus molecules are emitted within a millisecond, initiating diffusion and gradual deceleration as they travel, with potential absorption by receivers upon arrival. A simulation time step of 0.001 s is implemented to precisely track the molecular trajectories, recording the molecular positions at each interval to assess the absorption efficiency by the receivers. The simulation spans 2 s, capturing the entire dynamic from release through absorption. To minimize random errors, the simulation is repeated 100 times to calculate an average of F. Additionally, a comprehensive analysis of the effects of distance d and angle α between the receivers and emitter on F is conducted through multiple simulations, adjusting these parameters to determine F across varied receiver placements.

5.1.2. Fitting

The experimental data were aligned with the preliminary equation, enabling a comparison between the numerical results from Equation (13) and the simulation outputs. A strong correlation is observed numerically between the simulations and theoretical predictions.
Figure 8 displays the cumulative absorption probability F as a function of increasing d for varying α values, with the fitted curves emphasizing the observed trends: F declines rapidly with initial increases in d before reaching a plateau. This behavior can be attributed to the dispersive nature of viral particles in the air, where their concentration diminishes with increasing distance. This reduction is primarily driven by physical processes such as diffusion and air resistance, which cause the particles to disperse over a larger volume and lose momentum. Furthermore, as shown in Figure 8a–d, the steepness of the curves intensifies with an increasing reception angle, leading to a more pronounced decline in the absorption probability. This trend indicates that, as the receiver’s position deviates further from the direct line of sight of the transmitter, the absorption probability decreases at an accelerated rate. Table 2 details the fitting parameters and fit quality for the scenario in Figure 8.
Figure 9 captures F as it varies with α across different d values, illustrating the quality of the curve fitting; as α increases, F demonstrates a gradual–rapid–complete decline pattern. This trend underscores the critical role of the reception angle in determining the effectiveness of viral particle absorption. Optimal reception is achieved when the receiver is positioned directly along the line of sight of the transmitter, minimizing the angular deviation. Furthermore, as shown in the transition in Figure 9a–d, the initial absorption probability F decreases significantly with increasing distance. This observation highlights the critical impact of the distance on the efficiency of viral particle absorption, as greater distances lead to increased dispersion and reduced particle concentrations at the receiver. Table 3 provides corresponding metrics for Figure 9.
Table 2 and Table 3 present the R-squared values, representing the correlation coefficient on a scale from 0 to 1. Values approaching 1 signify a stronger linear relationship between the independent and dependent variables, reflecting the model’s enhanced explanatory power for the sample. The calculation equation for the correlation coefficient R-squared is as follows:
R 2 = Cov y i , y ^ i Var y i Var y ^ i .
In this equation, y i represents the actual observed value of the sample data, and y ^ i denotes the predicted value of the sample data. Cov ( y i , y ^ i ) refers to the covariance function between y i and y ^ i , while Var y i and Var y ^ i denote the variance functions of y i and y ^ i , respectively.
Cov y i , y ^ i = 1 n i = 1 n y i y ¯ y ^ i y ^ ¯ , Var y i = 1 n i = 1 n y i y ¯ 2 , Var y ^ i = 1 n i = 1 n y ^ i y ^ ¯ 2 .
The sum of squares due to error (SSE) quantifies the deviation by summing the squared differences between the actual values and the predicted values, serving as an indicator of the prediction accuracy. The calculation equation for the SSE is
SSE = i = 1 n y i y ^ i 2 .
The root mean squared error (RMSE) is an indicator of the fitting accuracy, and the calculation equation is
RMSE = SSE n = 1 n i = 1 n y i y ^ i 2 .
In this equation, n denotes the sample size. The R-squared values in Table 2 and Table 3 exceed 99%, while both the SSE and RMSE remain within acceptable limits, demonstrating the robust model fit and confirming the equations’ validity. The graphical analysis further reveals the strong alignment between the simulation and equation outputs, reinforcing the model’s accuracy through this strong correlation. The accuracy of the model is confirmed by the high consistency of the results.
In the case where the angle α is 20°, substituting the fitting parameters A = 0.9187 , B = 6.2503 × 10 3 , λ = 2.5592 , along with the fixed parameters from the experiment, the following equation can be obtained to calculate the receiver’s f value:
f = 409.515 exp ( 2.5592 d ) + 2.9648 d 0.3 + 2 d π t 3 exp d 10 t 0.25 t 2 2 4 × 10 7 t .
When the distance d is 1 m, substituting the fitting parameters A = 0.0195 , B = 0.6817 , λ = 0.2369 , along with the fixed experimental parameters, the following equation can be obtained to calculate the receiver’s f value:
f = 3.1623 cos α + 140.7214 π t 3 exp 1 10 t 0.25 t 2 2 4 × 10 7 t .
For parameter values in alternative scenarios, Table 2 and Table 3 provide the fitting parameters and effectiveness needed to compute the the absorption probability density f across varying angles and distances.

5.2. Performance Analysis

This section analyzes the experimental data, emphasizing the impact of factors α , d, and t on the cumulative absorption probability F.
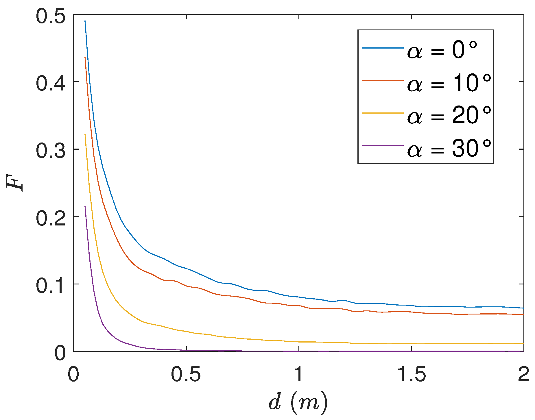
Figure 10 illustrates that, with a constant α , F demonstrates a monotonic decrease as d increases. This behavior arises from the resistance acting on the molecules in transit, progressively reducing their velocity. Consequently, fewer molecules reach more distant destinations as the separation grows. Additionally, the geometric diffusion characteristics significantly influence this process; as the source-to-receiver distance increases, the spatial distribution of the molecules widens, lowering their concentration per unit area and further diminishing the absorption rate at the receiver. Environmental variables such as the temperature, humidity, and wind speed can also affect the dynamics of virus transmission. Higher temperatures can accelerate the evaporation rate of virus particles, while increased humidity can lead to larger particle radii and reduced settling times. Both scenarios contribute to a decrease in the transmission distance, causing the value of F to approach zero more rapidly. Additionally, if the wind speed increases, the concentration of the virus in the space will be diluted, resulting in an overall downward shift in the curve. When designing public spaces, it is essential to consider the distances between crowds and potential virus sources, such as virus-affected individuals. A minimum distance of 1 m is recommended to optimize the space layout and reduce the risk of virus transmission.
Figure 11 illustrates that, with a constant d and t, the function F initially rises and subsequently declines as α increases. Although the curves at different values of d follow a similar trajectory, each reaches a distinct peak, attributed to the reduced number of molecules achieving the maximum cumulative absorption probability with an increasing receiver distance. Notably, all curves peak near α = 0°, displaying an axis-symmetric distribution centered at this angle. This indicates that the receiver positioned directly in front of the transmission axis intercepts the maximum molecular count, resulting in the highest F value. As α deviates from zero, whether positively or negatively, F consistently declines. Environmental variables such as the temperature, humidity, and wind speed can also influence the dynamic trends of the curves. Higher temperatures and humidity levels accelerate the evaporation and settling rates of virus particles, thereby reducing the transmission distance. This results in a greater downward shift in the F value as the d value increases in the curve. Additionally, if the wind speed increases, the concentration of the virus in the space will be diluted, leading to a broader dispersion angle of the virus and causing the curve to become flatter. Therefore, in the layout design of public spaces, priority should be given to positioning crowds outside the direct line of sight of potential virus sources ( α > 30° or α < −30°) to minimize the number of virus particles received.
As depicted in Figure 12, the value of F initially rises with increasing t before reaching a steady state. Once the molecular group passes beyond the receiver, the molecules progressively disperse, halting further reception. This stabilization occurs as the molecular group nears the receiver, prompting the onset of molecular absorption. When considering environmental factors such as the temperature, humidity, and wind speed, specifically, an increase in these variables will lead to an overall decrease in the amplitude of the curves. Additionally, higher wind speeds will cause the curves to reach their convergence values more rapidly. When designing a ventilation system, the transit time of molecular clusters toward the receiver should be carefully considered. This ensures that, during high-risk periods, the ventilation system can effectively reduce the viral concentration in the air, thereby mitigating the risk of infection.

6. Discussion

Although our research provides an in-depth analysis of the transmission mechanisms of respiratory viruses through theoretical models and numerical simulations, it lacks validation with real experimental data. In our future work, we aim to thoroughly investigate the model’s effectiveness in real-world applications. By comparing the numerical results with actual data on virus transmission in confined spaces, such as schools or offices, we can enhance the model’s credibility. Additionally, we will further explore the effects of variables such as the temperature, humidity, and wind, which introduce greater complexity, to understand how these factors can influence the transmission pathways and the likelihood of virus particle reception. Elevated temperatures and humidity levels have been shown to accelerate the settling and evaporation of viral particles, thereby shortening their survival time in the air. In contrast, wind can alter both the direction and range of viral dissemination, resulting in substantial variations in transmission dynamics. Furthermore, this study neglects the physical attributes of viral particles, including gravity and evaporation—factors that may substantially impact the viral survival time and transmission distance in practical contexts. The settling speed of viral particles in the air is directly influenced by gravity, while the evaporation process may alter the size and transmission distance of the particles, thereby affecting the transmission efficiency and survival time. Ignoring these physical factors may impose certain limitations on the accuracy of the model.
Future research aims to overcome the current model’s limitations to enhance its accuracy and applicability in practical contexts. Firstly, additional environmental variables, such as the temperature, humidity, and wind speed, should be introduced to construct more sophisticated multivariable models capable of quantitatively analyzing the combined effects of these factors on the virus transmission dynamics. Secondly, experimental data and theoretical analyses are essential to quantify the influence of gravity-induced sedimentation and virus particle evaporation rates on the transmission distance and survival time. These physical mechanisms should be systematically integrated into the model framework to enhance its physical fidelity. Finally, by synthesizing findings from fields, such as fluid mechanics, environmental science, and biology, it will be possible to develop more accurate virus transmission simulation tools that can inform the design of effective public health strategies.
The theoretical model presented here demonstrates substantial applicability for disease prevention and control, particularly as molecular communication technology continues to advance. Through simulations of virus transmission under diverse environmental conditions, it offers public health agencies a more precise basis for forecasting and the design of effective preventive strategies. For example, in the layout of schools and offices, it is crucial to ensure that seating arrangements maintain appropriate social distancing and avoid direct face-to-face configurations. Additionally, the ventilation design of public spaces should be prioritized. Effective ventilation can significantly reduce the concentrations of viral particles in the air; therefore, when designing ventilation systems, it is essential to consider the direction and speed of airflow to ensure that viral particles can be effectively diluted and expelled. Through the implementation of the aforementioned improvements, future research will aim to optimize the model’s performance, thereby establishing a more comprehensive and precise framework to facilitate accurate epidemic prediction and effective response strategies.

7. Conclusions

This study aimed to analyze respiratory virus transmission mechanisms through molecular communication technologies, employing a SIMO MCvD model composed of a point-source transmitter and numerous absorbing spherical receivers. A comprehensive examination was conducted on how the receiver positioning influences molecular reception, accompanied by mathematical formulations for the absorption probability as a function of the angle and distance. The results indicate that the cumulative absorption probability F of viral particles is markedly affected by the distance d and angle α between the transmitter and receiver. As d increases, the reception probability declines consistently, attributed to resistance and diffusion effects during propagation, which reduce the viral particle concentration. The angle α also plays a decisive role, with optimal reception occurring when the receiver is aligned directly in front of the transmitter. The findings of this study elucidate the fundamental principles underlying virus transmission and offer significant theoretical guidance for the design of spatial layouts and the implementation of preventive measures in public areas. The results demonstrate that maintaining a minimum social distance of 1 m in enclosed spaces is essential to effectively mitigate the risk of viral transmission. Moreover, this study underscores the substantial impact of the spatial positioning of receiving populations on the transmission dynamics in high-risk environments, such as schools, offices, and public transportation. To minimize exposure, it is recommended to avoid direct face-to-face interactions between receiving populations and affected individuals, maintaining an angular range greater than 30° or less than −30°. For instance, in the layout of schools and offices, it is important to ensure that the seating arrangements in classrooms and meeting rooms maintain appropriate social distancing and avoid direct face-to-face seating configurations. Additionally, the ventilation design of public spaces should also be prioritized. Good ventilation can significantly reduce the concentrations of viral particles; therefore, when designing ventilation systems, the direction and speed of airflow should be considered to ensure that viral particles can be effectively diluted and expelled.
Subsequent research must delve deeper into the complexities of virus transmission by examining environmental variables, including the temperature, humidity, and airflow, which may significantly influence transmission pathways and the probability of viral particle uptake. Regarding the temperature and humidity, we will consider their effects on the evaporation of viral aerosols, subsequently investigating how the aerosol radius changes over time under different temperature conditions. This will relate to the settling time and transmission distance of the virus. For the airflow velocity, we will focus on studying and analyzing the transmission distance of the virus within a limited time frame. The integration of these variables into predictive models will improve their accuracy and reliability, equipping public health officials with evidence-based tools to design effective prevention strategies. Furthermore, the findings of this study provide critical scientific insights and technological resources for researchers in related disciplines, contributing to a deeper understanding of respiratory virus transmission dynamics and the formulation of effective response strategies.

Author Contributions

Conceptualization, P.Z. and P.L.; methodology, P.Z., P.L., X.W. and X.L.; software, P.Z.; validation, P.Z., P.L. and X.L.; formal analysis, P.Z.; investigation, P.Z.; resources, P.Z.; data curation, P.Z.; writing—original draft preparation, P.Z.; writing—review and editing, P.L. and X.L.; visualization, P.Z.; supervision, P.L., X.W. and X.L.; project administration, P.L., X.W. and X.L.; guidance and oversight, P.L., X.W. and X.L. All authors have read and agreed to the published version of the manuscript.

Funding

This work was supported by the High-Level Talent Research Initiative Program of Shihezi Univeristy (RCZK202322, RCZK202027), the Tianchi Elite Youth Doctoral Program (CZ002701, CZ002707), the National Natural Science Foundation of China (62001273), the Fundamental Research Funds for the Central Universities, China (GK202406002), the Open Project Program of the Shaanxi Key Laboratory for Network Computing and Security Technology (NCST2021YB-02), and the Shaanxi Provincial Natural Science Foundation Project (2024JC-YBMS-543).

Data Availability Statement

Data are contained within the article.

Conflicts of Interest

The authors declare no conflicts of interest.

References

  1. Wang, L.; Wang, Y.; Ye, D.; Liu, Q. Review of the 2019 novel coronavirus (SARS-CoV-2) based on current evidence. Int. J. Antimicrob. Agents 2020, 55, 105948. [Google Scholar] [CrossRef] [PubMed]
  2. World Health Organization. COVID-19 Weekly Epidemiological Update, Edition 108, 7 September 2022; World Health Organization: Geneva, Switzerland, 2022. [Google Scholar]
  3. Huang, C.; Wang, Y.; Li, X.; Ren, L.; Zhao, J.; Hu, Y.; Zhang, L.; Fan, G.; Xu, J.; Gu, X.; et al. Clinical features of patients infected with 2019 novel coronavirus in Wuhan, China. Lancet 2020, 395, 497–506. [Google Scholar] [CrossRef] [PubMed]
  4. Vandenberg, O.; Martiny, D.; Rochas, O.; van Belkum, A.; Kozlakidis, Z. Considerations for diagnostic COVID-19 tests. Nat. Rev. Microbiol. 2021, 19, 171–183. [Google Scholar] [CrossRef] [PubMed]
  5. Gao, Z.; Xu, Y.; Sun, C.; Wang, X.; Guo, Y.; Qiu, S.; Ma, K. A systematic review of asymptomatic infections with COVID-19. J. Microbiol. Immunol. Infect. 2021, 54, 12–16. [Google Scholar] [CrossRef] [PubMed]
  6. Zuo, Y.Y.; Uspal, W.E.; Wei, T. Airborne transmission of COVID-19: Aerosol dispersion, lung deposition, and virus-receptor interactions. ACS Nano 2020, 14, 16502–16524. [Google Scholar] [CrossRef]
  7. National Academies of Sciences, Engineering, and Medicine. Airborne Transmission of SARS-CoV-2: A Virtual Workshop, 26 to 27 August 2020; NASEM: Washington, DC, USA, 2020. [Google Scholar]
  8. Lu, J.; Chen, X.; Ding, X.; Jia, Z.; Li, M.; Zhang, M.; Liu, F.; Tang, K.; Yu, X.; Li, G. Droplet Micro-Sensor and Detection of Respiratory Droplet Transmission. Adv. Sci. 2024, 11, 2401940. [Google Scholar] [CrossRef] [PubMed]
  9. Shaaban, O.M.; Al-Safran, E. An Analytical Study of Facemask Performance to Mitigate Respiratory Diseases Transmission through Coughs and Sneezes. Build. Environ. 2024, 265, 111979. [Google Scholar] [CrossRef]
  10. Cann, A. Principles of Molecular Virology; Academic Press: Cambridge, MA, USA, 2001. [Google Scholar]
  11. Bonnet, G.; Pearson, C.A.B.; Torres-Rueda, S.; Ruiz, F.; Lines, J.; Jit, M.; Vassall, A.; Sweeney, S. A scoping review & taxonomy of epidemiological-macroeconomic models of COVID-19. Value Health 2023, 27, 104–116. [Google Scholar] [PubMed]
  12. De Wit, M.M.; Dimas Martins, A.; Delecroix, C.; Heesterbeek, H.; Ten Bosch, Q.A. Mechanistic models for West Nile virus transmission: A systematic review of features, aims and parametrization. Proc. R. Soc. B 2024, 291, 20232432. [Google Scholar] [CrossRef]
  13. Hillary, V.E.; Ceasar, S.A. An update on COVID-19: SARS-CoV-2 variants, antiviral drugs, and vaccines. Heliyon 2023, 9, e13952. [Google Scholar] [CrossRef]
  14. Principi, N.; Autore, G.; Ramundo, G.; Esposito, S. Epidemiology of respiratory infections during the COVID-19 pandemic. Viruses 2023, 15, 1160. [Google Scholar] [CrossRef] [PubMed]
  15. Haselmayr, W.; Springer, A.; Fischer, G.; Alexiou, C.; Boche, H.; Hoeher, P.A.; Dressler, F.; Schober, R. Integration of molecular communications into future generation wireless networks. In Proceedings of the 6G Wireless Summit, Lapland, Finland, 24–26 March 2019; pp. 1–2. [Google Scholar]
  16. Zhou, Y.; Liu, L.; Wang, L.; Hui, N.; Cui, X.; Wu, J.; Peng, Y.; Qi, Y.; Xing, C. Service-aware 6G: An intelligent and open network based on the convergence of communication, computing, and caching. Digit. Commun. Netw. 2020, 6, 253–260. [Google Scholar] [CrossRef]
  17. Akan, O.B.; Ramezani, H.; Khan, T.; Abbasi, N.A.; Kuscu, M. Fundamentals of molecular information and communication science. Proc. IEEE 2016, 105, 306–318. [Google Scholar] [CrossRef]
  18. Farsad, N.; Yilmaz, H.B.; Eckford, A.; Chae, C.B.; Guo, W. A comprehensive survey of recent advancements in molecular communication. IEEE Commun. Surv. Tutor. 2016, 18, 1887–1919. [Google Scholar] [CrossRef]
  19. Rudsari, H.K.; Mokari, N.; Javan, M.R.; Jorswieck, E.A.; Orooji, M. Drug release management for dynamic TDMA-based molecular communication. IEEE Trans. Mol. Biol. Multi-Scale Commun. 2019, 5, 233–246. [Google Scholar] [CrossRef]
  20. Khalid, M.; Amin, O.; Ahmed, S.; Alouini, M.S. System modeling of virus transmission and detection in molecular communication channels. In Proceedings of the 2018 IEEE International Conference on Communications (ICC), Kansas City, MO, USA, 20–24 May 2018; pp. 1–6. [Google Scholar]
  21. Khalid, M.; Amin, O.; Ahmed, S.; Shihada, B.; Alouini, M.S. Communication through breath: Aerosol transmission. IEEE Commun. Mag. 2019, 57, 33–39. [Google Scholar] [CrossRef]
  22. Khalid, M.; Amin, O.; Ahmed, S.; Shihada, B.; Alouini, M.S. Modeling of viral aerosol transmission and detection. IEEE Trans. Commun. 2020, 68, 4859–4873. [Google Scholar] [CrossRef]
  23. Jayaweera, M.; Perera, H.; Gunawardana, B.; Manatunge, J. Transmission of COVID-19 virus by droplets and aerosols: A critical review on the unresolved dichotomy. Environ. Res. 2020, 188, 109819. [Google Scholar] [CrossRef]
  24. Pöhlker, M.L.; Pöhlker, C.; Krüger, O.O.; Förster, J.D.; Berkemeier, T.; Elbert, W.; Fröhlich-Nowoisky, J.; Pöschl, U.; Bagheri, G.; Bodenschatz, E.; et al. Respiratory aerosols and droplets in the transmission of infectious diseases. Rev. Mod. Phys. 2023, 95, 045001. [Google Scholar] [CrossRef]
  25. Kwon, S.B.; Park, J.; Jang, J.; Cho, Y.; Park, D.S.; Kim, C.; Bae, G.N.; Jang, A. Study on the initial velocity distribution of exhaled air from coughing and speaking. Chemosphere 2012, 87, 1260–1264. [Google Scholar] [CrossRef]
  26. Cavazzuti, M.; Tartarini, P. Statistical analysis of infectious disease transmission risk based on exhaled respiratory droplet trajectory distribution. Phys. Fluids 2024, 36, 063341. [Google Scholar] [CrossRef]
  27. Reissner, J.; Siller, P.; Bartel, A.; Roesler, U.; Friese, A. Stability of Feline Coronavirus in aerosols and dried in organic matrices on surfaces at various environmental conditions. Sci. Rep. 2023, 13, 22012. [Google Scholar] [CrossRef]
  28. Sinclair, P.; Zhao, L.; Beggs, C.B.; Illingworth, C.J. The airborne transmission of viruses causes tight transmission bottlenecks. Nat. Commun. 2024, 15, 3540. [Google Scholar] [CrossRef] [PubMed]
  29. Schurwanz, M.; Hoeher, P.A.; Bhattacharjee, S.; Damrath, M.; Stratmann, L.; Dressler, F. Duality between coronavirus transmission and air-based macroscopic molecular communication. IEEE Trans. Mol. Biol. Multi-Scale Commun. 2021, 7, 200–208. [Google Scholar] [CrossRef]
  30. Arifler, D.; Arifler, D. Monte Carlo analysis of molecule absorption probabilities in diffusion-based nanoscale communication systems with multiple receivers. IEEE Trans. Nanobiosci. 2017, 16, 157–165. [Google Scholar] [CrossRef] [PubMed]
  31. Yaylali, G.; Akdeniz, B.C.; Tugcu, T.; Pusane, A.E. Channel modeling for multi-receiver molecular communication systems. IEEE Trans. Commun. 2023, 71, 4499–4512. [Google Scholar] [CrossRef]
  32. Bao, X.; Lin, J.; Zhang, W. Channel modeling of molecular communication via diffusion with multiple absorbing receivers. IEEE Wirel. Commun. Lett. 2019, 8, 809–812. [Google Scholar] [CrossRef]
  33. Huang, X.; Fang, Y.; Noel, A.; Yang, N. Channel characterization for 1-D molecular communication with two absorbing receivers. IEEE Commun. Lett. 2020, 24, 1150–1154. [Google Scholar] [CrossRef]
  34. Zabini, F.; Pasolini, G.; De Castro, C.; Andrisano, O. On molecular communications via diffusion with multiple transmitters and multiple receivers. In Proceedings of the 2018 IEEE Global Communications Conference (GLOBECOM), Abu Dhabi, United Arab Emirates, 9–13 December 2018; pp. 206–212. [Google Scholar]
  35. Ai, Z.; Melikov, A.K. Airborne spread of expiratory droplet nuclei between the occupants of indoor environments: A review. Indoor Air 2018, 28, 500–524. [Google Scholar] [CrossRef] [PubMed]
  36. Lu, P.; Wu, Z.; Liu, B. A vertical channel model of molecular communication and its test-bed. EAI Endorsed Trans. Pervasive Health Technol. 2017, 3, 152390. [Google Scholar] [CrossRef]
  37. Gulec, F.; Atakan, B.; Dressler, F. Mobile human ad hoc networks: A communication engineering viewpoint on interhuman airborne pathogen transmission. Nano Commun. Netw. 2022, 32, 100410. [Google Scholar] [CrossRef] [PubMed]
  38. Yilmaz, H.B.; Lee, C.; Cho, Y.J.; Chae, C.-B. A machine learning approach to model the received signal in molecular communications. In Proceedings of the IEEE International Black Sea Conference on Communications and Networking (BlackSeaCom), Istanbul, Turkey, 5–8 June 2017; pp. 1–5. [Google Scholar]
  39. Farsad, N.; Pan, D.; Goldsmith, A. A novel experimental platform for in-vessel multi-chemical molecular communications. In Proceedings of the IEEE Global Communications Conference (GLOBECOM), Singapore, 4–8 December 2017; pp. 1–6. [Google Scholar]
  40. April, S.I.; Talaat, M.; Xi, J. SARS-CoV-2 virus-laden droplets coughed from deep lungs: Numerical quantification in a single-path whole respiratory tract geometry. Phys. Fluids 2021, 33, 023306. [Google Scholar] [CrossRef]
  41. White, N.; Seelig, J.D.; Loyalka, S.K. Computation of drag and diffusion coefficient for coronavirus: I. J. Aerosol Sci. 2021, 157, 105806. [Google Scholar] [CrossRef]
  42. Han, M.; Oh, W.; Ooka, R.; Bu, Y.; Kikumoto, H.; Hu, S. Measurements of exhaled airflow velocity through human coughs using particle image velocimetry. Build. Environ. 2021, 202, 108020. [Google Scholar] [CrossRef] [PubMed]
Figure 1. Diagram of respiratory disease transmission.
Figure 1. Diagram of respiratory disease transmission.
Electronics 14 00213 g001
Figure 2. Schematic diagram of virus transmission in a multi-person scenario.
Figure 2. Schematic diagram of virus transmission in a multi-person scenario.
Electronics 14 00213 g002
Figure 3. Framework of single-input-multiple-output (SIMO) molecular communication system.
Figure 3. Framework of single-input-multiple-output (SIMO) molecular communication system.
Electronics 14 00213 g003
Figure 4. SIMO molecular communication system model.
Figure 4. SIMO molecular communication system model.
Electronics 14 00213 g004
Figure 5. Framework of traditional molecular communication system.
Figure 5. Framework of traditional molecular communication system.
Electronics 14 00213 g005
Figure 6. Overall framework diagram.
Figure 6. Overall framework diagram.
Electronics 14 00213 g006
Figure 7. Schematic of relationship between molecular concentration and angle α , where Rx n represents a certain receiver.
Figure 7. Schematic of relationship between molecular concentration and angle α , where Rx n represents a certain receiver.
Electronics 14 00213 g007
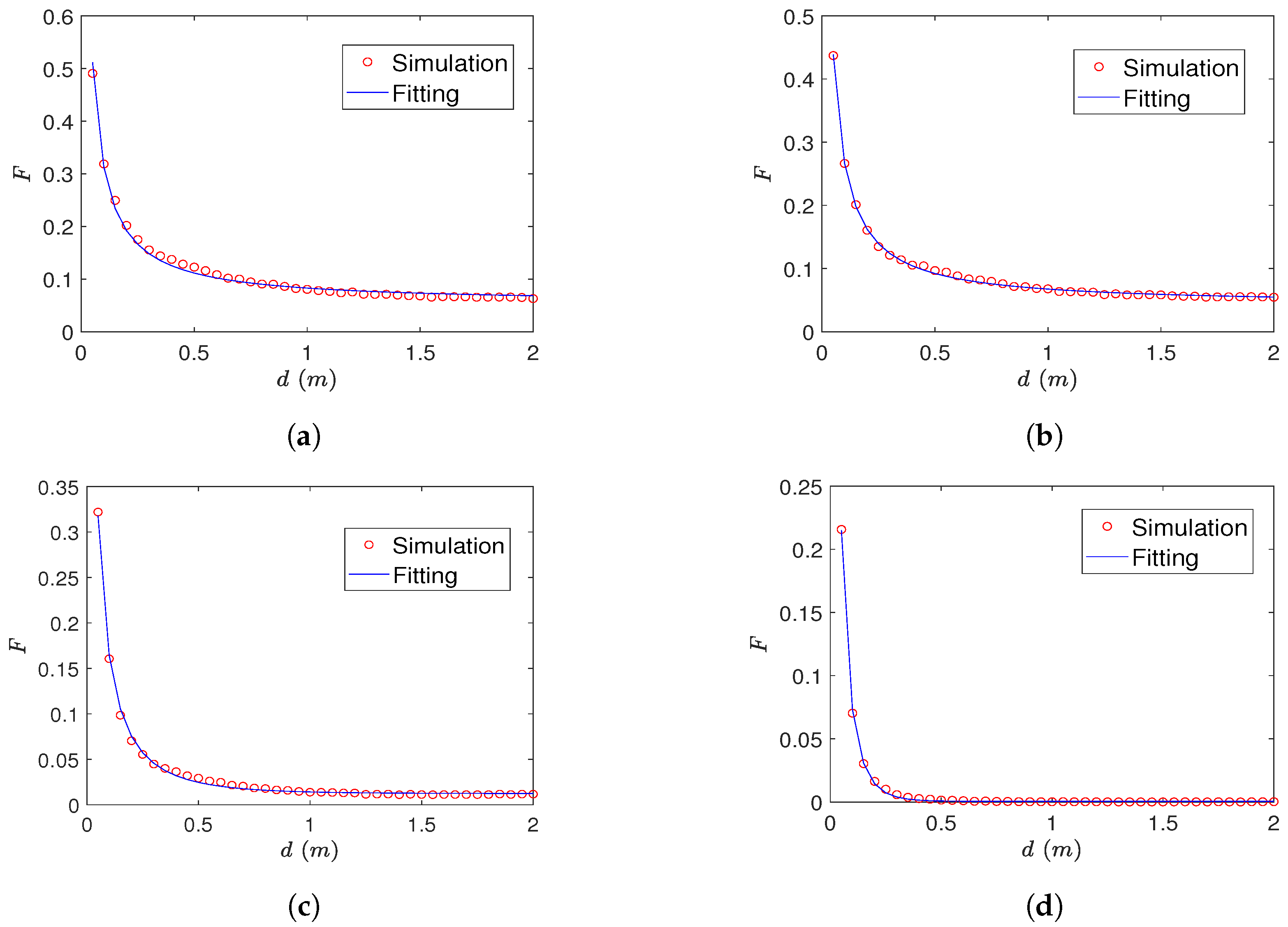
Figure 8. Cumulative absorption probability F versus distance d: (a) α = 0°; (b) α = 10°; (c) α = 20°; (d) α = 30°. The results compare the experimental data with the fitted results at t = 2 s. The smaller angles ( α approaching 0°) result in higher absorption probabilities, particularly at shorter distances.
Figure 8. Cumulative absorption probability F versus distance d: (a) α = 0°; (b) α = 10°; (c) α = 20°; (d) α = 30°. The results compare the experimental data with the fitted results at t = 2 s. The smaller angles ( α approaching 0°) result in higher absorption probabilities, particularly at shorter distances.
Electronics 14 00213 g008
Figure 9. Cumulative absorption probability F versus angle α : (a) d = 0.5 m; (b) d = 1.0 m; (c) d = 1.5 m; (d) d = 2.0 m. The results compare the experimental data with the fitted results at t = 2 s. At shorter distances, the sensitivity of the cumulative absorption probability to changes in angle is higher, with the highest absorption occurring at α = 0°.
Figure 9. Cumulative absorption probability F versus angle α : (a) d = 0.5 m; (b) d = 1.0 m; (c) d = 1.5 m; (d) d = 2.0 m. The results compare the experimental data with the fitted results at t = 2 s. At shorter distances, the sensitivity of the cumulative absorption probability to changes in angle is higher, with the highest absorption occurring at α = 0°.
Electronics 14 00213 g009
Figure 10. The cumulative absorption probability F vs. d for different angles α . As d increases, the virus particles are affected by air resistance and other environmental factors during transmission, leading to a decrease in their concentration near the receiver and a significant reduction in the absorption probability. Furthermore, when the distance between the receiver and the emitter is greater, the diffusion and dilution effects of the virus particles become more pronounced. Smaller angles (i.e., α approaching 0°, where the receiver directly faces the emitter) allow the receiver to capture more virus particles from the emitter, thereby reducing the scattering and loss of particles during transmission.
Figure 10. The cumulative absorption probability F vs. d for different angles α . As d increases, the virus particles are affected by air resistance and other environmental factors during transmission, leading to a decrease in their concentration near the receiver and a significant reduction in the absorption probability. Furthermore, when the distance between the receiver and the emitter is greater, the diffusion and dilution effects of the virus particles become more pronounced. Smaller angles (i.e., α approaching 0°, where the receiver directly faces the emitter) allow the receiver to capture more virus particles from the emitter, thereby reducing the scattering and loss of particles during transmission.
Electronics 14 00213 g010
Figure 11. The cumulative absorption probability F vs. α for different distances d. Among all of the curves, the function F initially rises and then declines as α increases, with the highest absorption probability occurring at α = 0°. When the receiver is directly facing the virus source, it is able to capture the maximum number of virus particles. As the distance decreases, the absorption probability increases because the concentration of virus particles is higher at closer distances, allowing the receiver to capture more particles.
Figure 11. The cumulative absorption probability F vs. α for different distances d. Among all of the curves, the function F initially rises and then declines as α increases, with the highest absorption probability occurring at α = 0°. When the receiver is directly facing the virus source, it is able to capture the maximum number of virus particles. As the distance decreases, the absorption probability increases because the concentration of virus particles is higher at closer distances, allowing the receiver to capture more particles.
Electronics 14 00213 g011
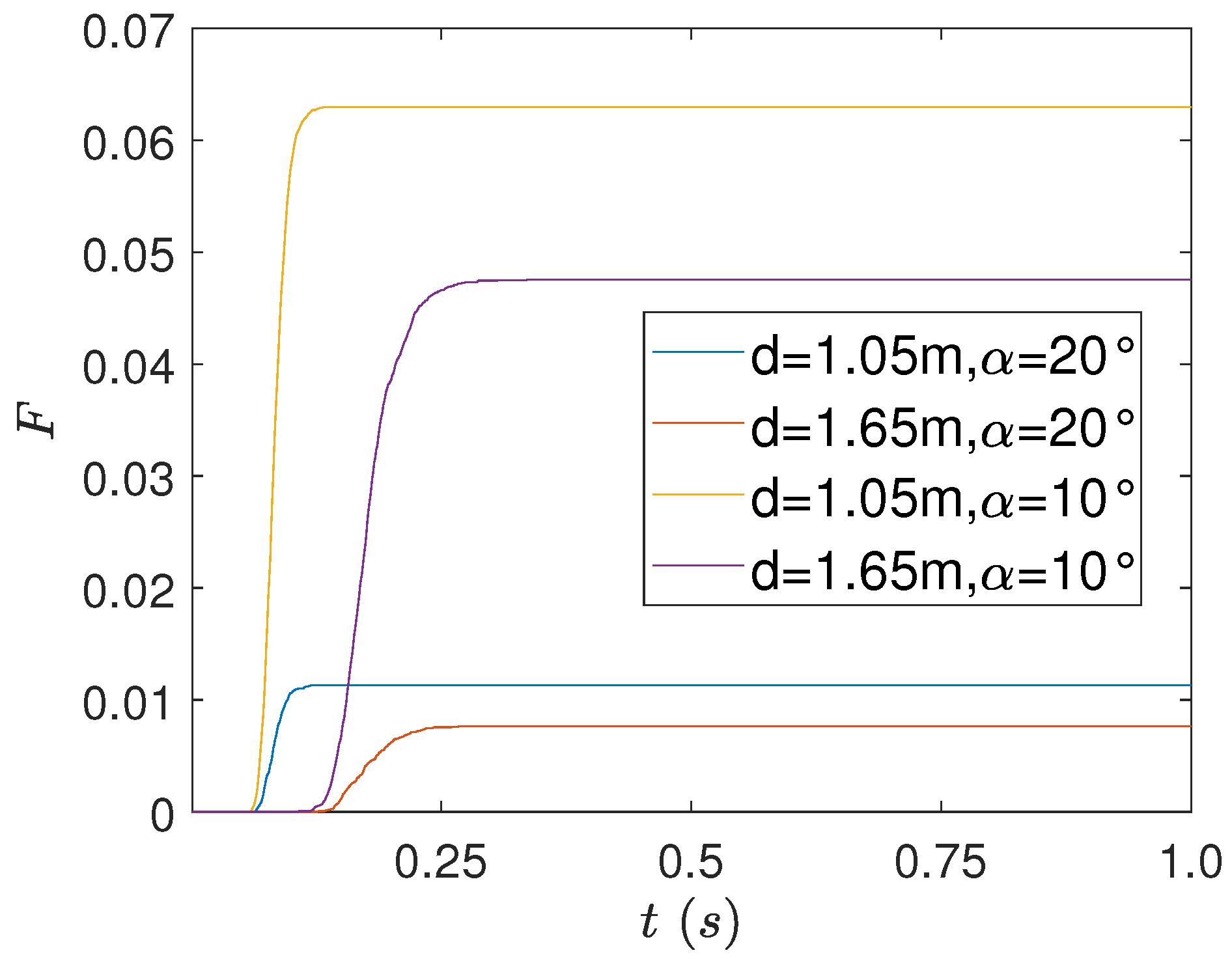
Figure 12. The cumulative absorption probability F as a function of the angle time t at different distances d. At short distances (e.g., d = 0.5 m), the absorption probability increases rapidly, while, at longer distances (e.g., d = 2.0 m), the increase is slower.
Figure 12. The cumulative absorption probability F as a function of the angle time t at different distances d. At short distances (e.g., d = 0.5 m), the absorption probability increases rapidly, while, at longer distances (e.g., d = 2.0 m), the increase is slower.
Electronics 14 00213 g012
Table 1. Parameter settings.
Table 1. Parameter settings.
ParameterValue
Total number of transmitting molecules20,000
Number of receivers (N)13
Radius of absorbing spherical receivers (R)0.15 m
Diffusion coefficient (D) 10 7 m 2 / s
Initial velocity ( v 0 )10 m/s
Deceleration acceleration (a) 5 m / s 2
Simulation step0.001 s
Simulation duration2 s
Simulation repetitions100
Table 2. Fitting parameters and performance for Figure 8.
Table 2. Fitting parameters and performance for Figure 8.
α AB λ R-SquaredSSERMSE
1.11812.6656  × 10 2 4.8625  × 10 5 0.99241.904  × 10 3 6.9  × 10 3
10°1.07472.1082  × 10 2 1.6216  × 10 5 0.99823.136  × 10 4 2.8  × 10 3
20°0.91876.2503  × 10 3 2.55920.99871.156  × 10 4 1.7  × 10 3
30°1.09982.9052  × 10 4 10.29910.99914.840  × 10 5 1.1  × 10 3
Table 3. Fitting parameters and performance for Figure 9.
Table 3. Fitting parameters and performance for Figure 9.
dAB λ R-SquaredSSERMSE
0.50 m0.94530.03030.30470.99988.470  × 10 6 1.1  × 10 3
1.00 m0.01950.68170.23690.99754.375  × 10 5 2.5  × 10 3
1.50 m1.22820.01630.27480.99624.732  × 10 5 2.6  × 10 3
2.00 m1.91620.11360.01590.99881.372  × 10 5 1.4  × 10 3
Disclaimer/Publisher’s Note: The statements, opinions and data contained in all publications are solely those of the individual author(s) and contributor(s) and not of MDPI and/or the editor(s). MDPI and/or the editor(s) disclaim responsibility for any injury to people or property resulting from any ideas, methods, instructions or products referred to in the content.

Share and Cite

MDPI and ACS Style

Zhang, P.; Lu, P.; Wang, X.; Liao, X. Modeling of Respiratory Virus Transmission Using Single-Input- Multiple-Output Molecular Communication Techniques. Electronics 2025, 14, 213. https://doi.org/10.3390/electronics14010213

AMA Style

Zhang P, Lu P, Wang X, Liao X. Modeling of Respiratory Virus Transmission Using Single-Input- Multiple-Output Molecular Communication Techniques. Electronics. 2025; 14(1):213. https://doi.org/10.3390/electronics14010213

Chicago/Turabian Style

Zhang, Pengfei, Pengfei Lu, Xiaofang Wang, and Xuening Liao. 2025. "Modeling of Respiratory Virus Transmission Using Single-Input- Multiple-Output Molecular Communication Techniques" Electronics 14, no. 1: 213. https://doi.org/10.3390/electronics14010213

APA Style

Zhang, P., Lu, P., Wang, X., & Liao, X. (2025). Modeling of Respiratory Virus Transmission Using Single-Input- Multiple-Output Molecular Communication Techniques. Electronics, 14(1), 213. https://doi.org/10.3390/electronics14010213

Note that from the first issue of 2016, this journal uses article numbers instead of page numbers. See further details here.

Article Metrics

Back to TopTop