PSP-Equivalent Model for Double-Gate and Surrounding-Gate Field Effect Transistors for Circuit Simulation
Abstract
1. Introduction
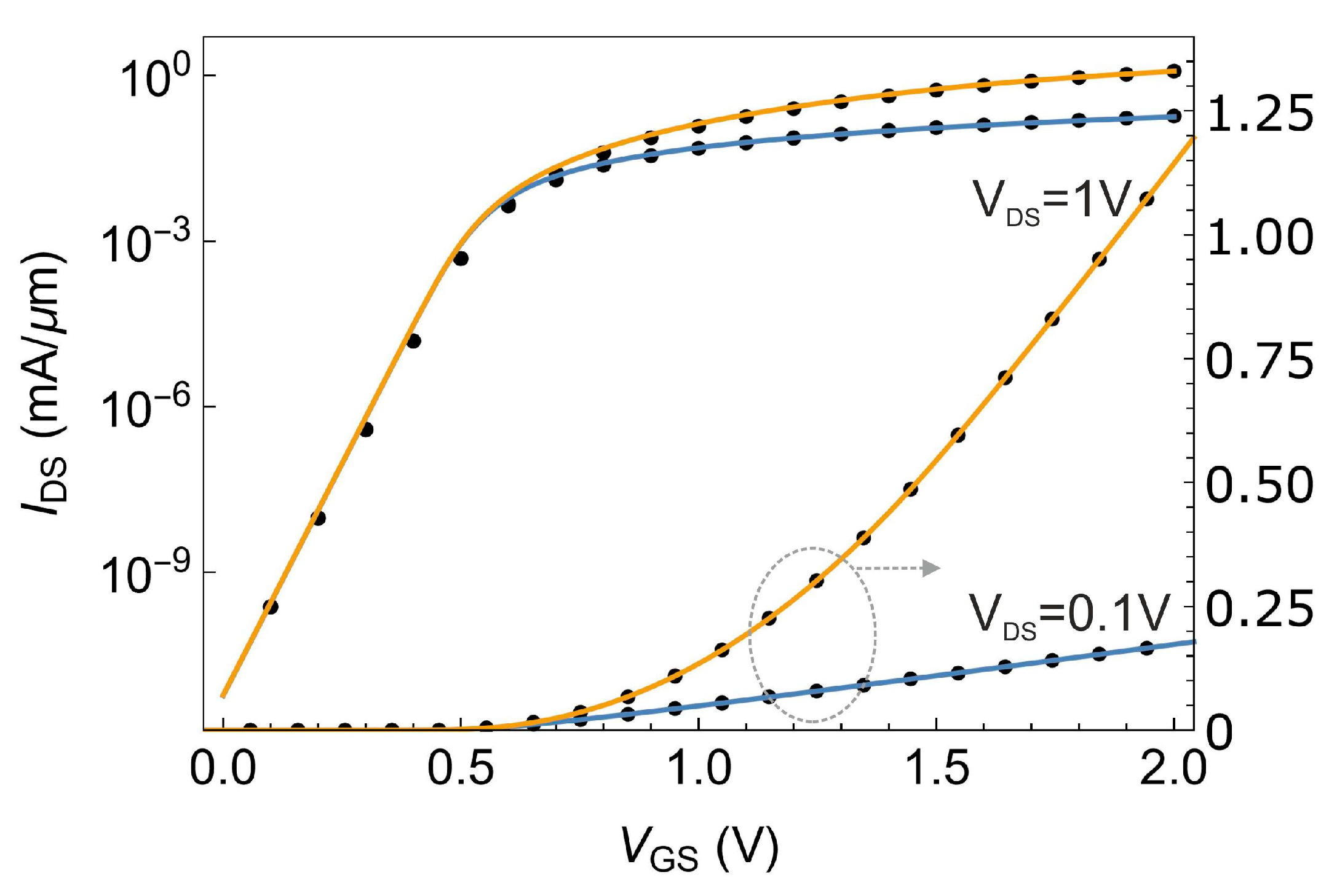
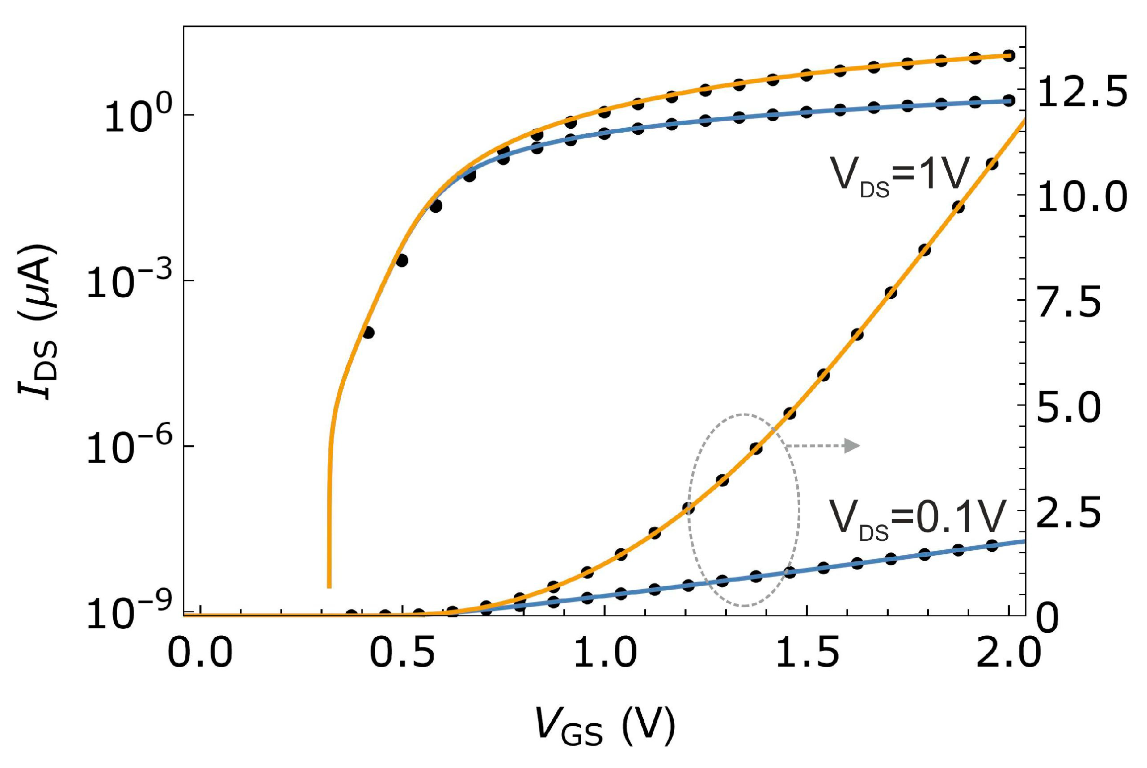
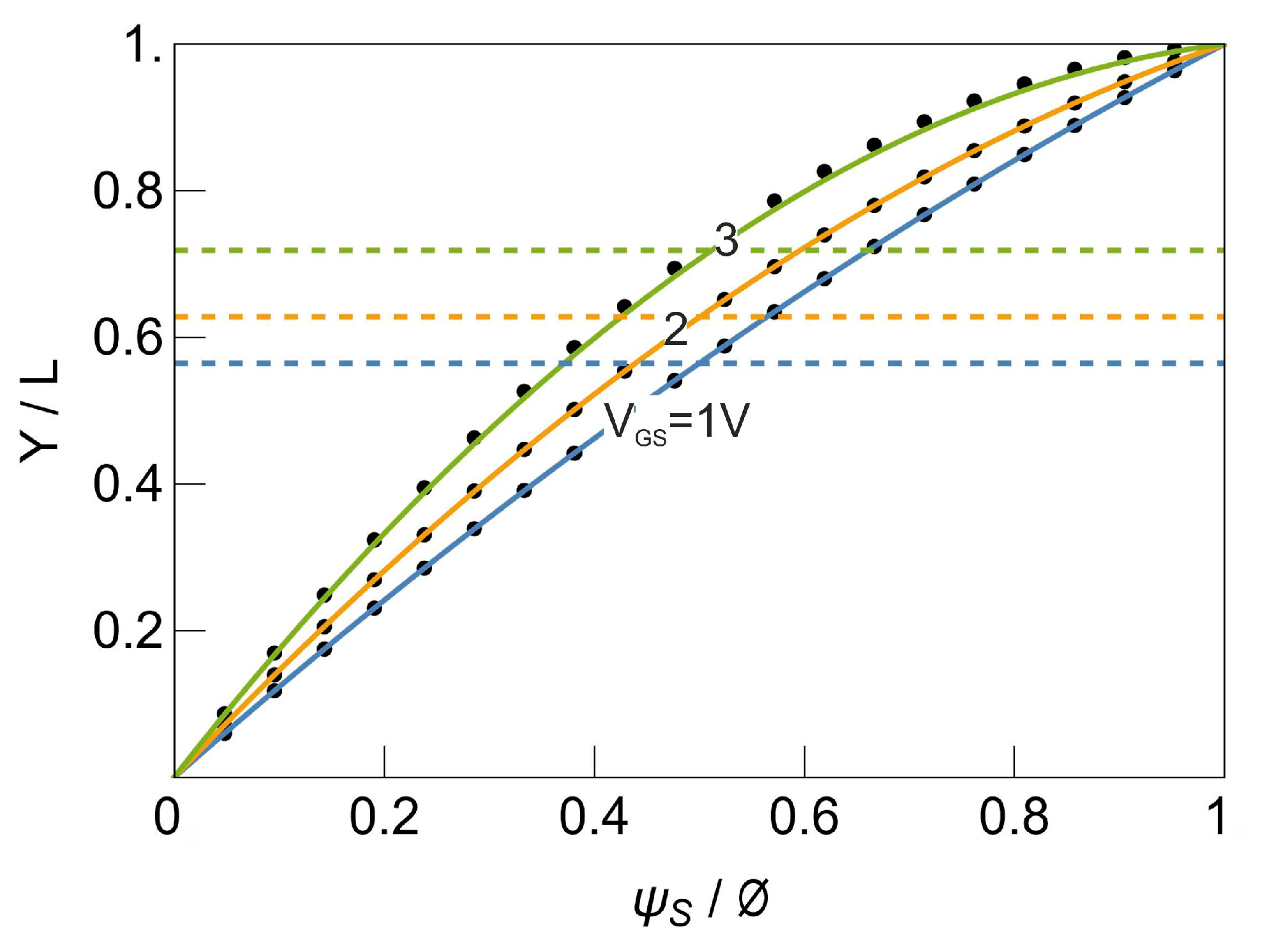
2. DGFET Drain Current
3. SGFET Drain Current
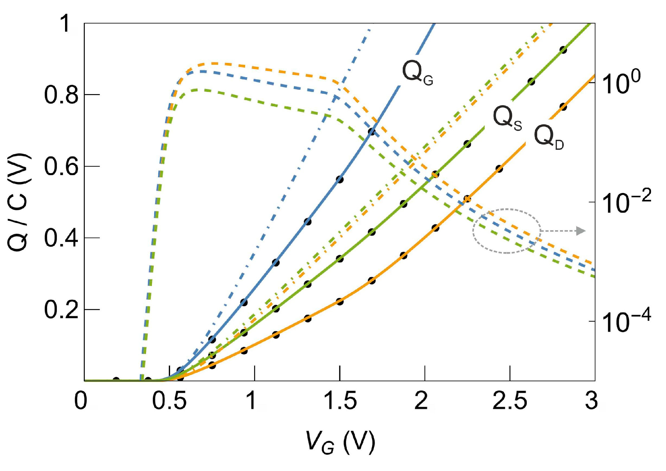
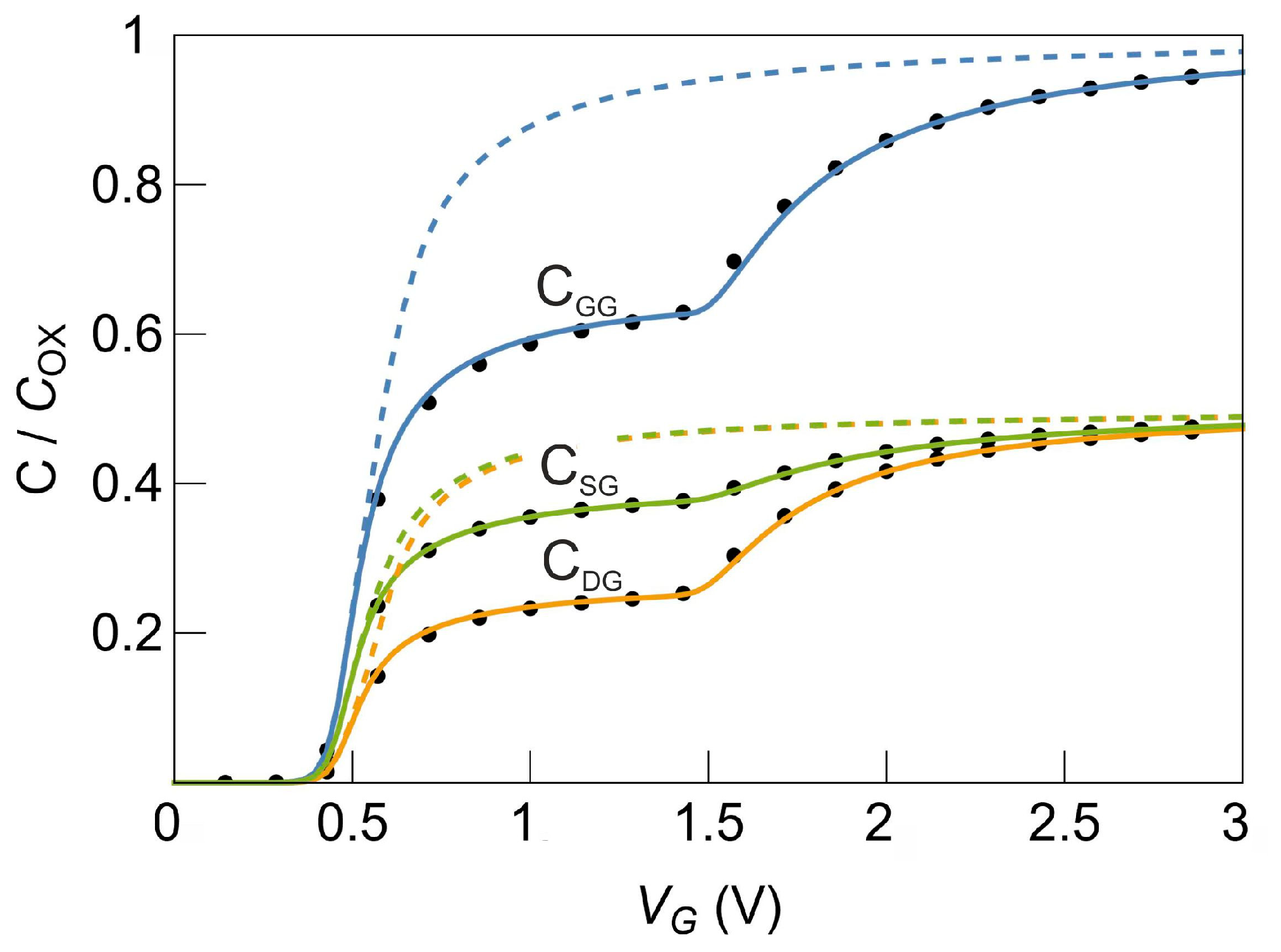
4. PSP-Equivalent Charge Model
5. Symmetry and Derivatives
6. Conclusions
Author Contributions
Funding
Data Availability Statement
Conflicts of Interest
References
- Colinge, J.-P. Multiple gate SOI MOSFETs. Solid State Electron. 2004, 48, 897–905. [Google Scholar] [CrossRef]
- Taur, Y.; Liang, X.; Wang, W.; Lu, H. A continuous, analytic drain current model for DG-MOSFETs. IEEE Electron Device Lett. 2004, 25, 107–109. [Google Scholar] [CrossRef]
- Lu, H.; Yu, B.; Taur, Y. A unified charge model for symmetric double-gate and surrounding-gate MOSFETs. Solid State Electron. 2008, 52, 67–72. [Google Scholar] [CrossRef]
- Jimenez, D.; Iniguez, B.; Sune, J.; Marsal, F.L.; Pallares, J.; Roig, J. Continuous analytic current–voltage model for surrounding-gate MOSFETs. IEEE Electron Device Lett. 2004, 25, 571–573. [Google Scholar] [CrossRef]
- Iniguez, B.; Jimenez, D.; Roig, J.; Hamid, H.A.; Marsal, L.F.; Pallares, J. Explicit continuous model for long-channel undoped surrounding gate MOSFETs. IEEE Trans. Electron Devices 2005, 52, 1868–1873. [Google Scholar] [CrossRef]
- Yu, B.; Lu, W.-Y.; Lu, H.; Taur, Y. Analytic charge model for surrounding-gate MOSFETs. IEEE Trans. Electron Devices 2007, 54, 492–496. [Google Scholar] [CrossRef]
- Gildenblat, G.; Wang, H.; Chen, T.; Gu, X.; Cai, X. SP: An Advanced Surface-Potential-Based Compact MOSFET Model. IEEE JSSC 2004, 39, 1394–1406. [Google Scholar] [CrossRef]
- Gildenblat, G.; Li, X.; Wu, W.; Wang, H.; Jha, A.; van Langevelde, R.; Smit, G.D.J.; Scholten, A.J.; Klaassen, D.B.M. PSP: An Advanced Surface-Potential-Based MOSFET Model for Circuit Simulation. IEEE Trans. Electron Devices 2006, 53, 1979–1993. [Google Scholar] [CrossRef]
- Dessai, G.; Dey, A.; Gildenblat, G.; Smit, G.D.J. Symmetric linearization method for double-gate and surrounding-gate MOSFET models. Solid State Electron. 2009, 53, 548–556. [Google Scholar] [CrossRef]
- Smit, G.D.J.; Scholten, A.J.; Curatola, G.; van Langevelde, R.; Gildenblat, G.; Klaassen, D.B.M. PSP-based scalable compact FinFET model. NSTI-Nanotech 2007, 3, 520–525. [Google Scholar]
- Colalongo, L.; Comensoli, S.; Richelli, A. A unified core model of double-gate and surrounding-gate MOSFETs for circuit simulation. Solid State Electron. 2024, 213, 108849. [Google Scholar] [CrossRef]
- Colalongo, L.; Richelli, A. A Second-Order Surface Potential Core Model for Submicron MOSFETs. IEEE Trans. Comput.-Aided Des. Integr. Circuits Syst. 2022, 41, 2652–2656. [Google Scholar] [CrossRef]
- Guan, Y.; Dou, Z.; Lu, J.; Huang, S.; Chen, H. An Accurate and Full-Range Analytical Current Model for Nanowire Heterojunction TFET. IEEE Trans. Electron Devices 2023, 70, 6004–6011. [Google Scholar] [CrossRef]
- Mo, F.; Elfi Spano, C.; Ardesi, Y.; Ruo Roch, M.; Piccinini, G.; Vacca, M. NS-GAAFET Compact Modeling: Technological Challenges in Sub-3-nm Circuit Performance. Electronics 2023, 12, 1487. [Google Scholar] [CrossRef]
- Chen, Z.; Zhang, Y.; Jiang, J.; Chen, C. An Improved Dual-Gate Compact Model for Carbon Nanotube Field Effect Transistors with a Back-Gate Effect and Circuit Implementation. Electronics 2024, 13, 620. [Google Scholar] [CrossRef]
- Kushwaha, P.; Agarwal, H.; Mishra, V.; Dasgupta, A.; Lin, Y.; Kao, M.; Chauhan, Y.S.; Salahuddin, S.; Hu, C. Modeling the Quantum Gate capacitance of Nano-Sheet Gate-All-Around MOSFET. In Proceedings of the IEEE SOI-3D-Subthreshold Microelectronics Technology Unified Conference (S3S), San Jose, CA, USA, 14–17 October 2019. [Google Scholar] [CrossRef]
- Ganapati, R.; RaoSamoju, V.; RaoJammu, B. Analytical Modeling of Threshold Voltage for Dual-Metal Double-Gate Gate-All-Around (DM-DG-GAA) MOSFET. Silicon 2021, 13, 2869–2880. [Google Scholar] [CrossRef]
- Yu, B.; Lu, H.; Liu, M.; Taur, Y. Explicit Continuous Models for Double-Gate and Surrounding-Gate MOSFETs. IEEE Trans. Electron Devices 2007, 54, 2715–2722. [Google Scholar] [CrossRef]
- Ward, D.; Dutton, R. A charge-oriented model for MOS transistor capacitances. IEEE J. Solid State Circuits 1978, 13, 703–708. [Google Scholar] [CrossRef]












Disclaimer/Publisher’s Note: The statements, opinions and data contained in all publications are solely those of the individual author(s) and contributor(s) and not of MDPI and/or the editor(s). MDPI and/or the editor(s) disclaim responsibility for any injury to people or property resulting from any ideas, methods, instructions or products referred to in the content. |
© 2024 by the authors. Licensee MDPI, Basel, Switzerland. This article is an open access article distributed under the terms and conditions of the Creative Commons Attribution (CC BY) license (https://creativecommons.org/licenses/by/4.0/).
Share and Cite
Colalongo, L.; Comensoli, S.; Richelli, A. PSP-Equivalent Model for Double-Gate and Surrounding-Gate Field Effect Transistors for Circuit Simulation. Electronics 2024, 13, 1725. https://doi.org/10.3390/electronics13091725
Colalongo L, Comensoli S, Richelli A. PSP-Equivalent Model for Double-Gate and Surrounding-Gate Field Effect Transistors for Circuit Simulation. Electronics. 2024; 13(9):1725. https://doi.org/10.3390/electronics13091725
Chicago/Turabian StyleColalongo, Luigi, Simone Comensoli, and Anna Richelli. 2024. "PSP-Equivalent Model for Double-Gate and Surrounding-Gate Field Effect Transistors for Circuit Simulation" Electronics 13, no. 9: 1725. https://doi.org/10.3390/electronics13091725
APA StyleColalongo, L., Comensoli, S., & Richelli, A. (2024). PSP-Equivalent Model for Double-Gate and Surrounding-Gate Field Effect Transistors for Circuit Simulation. Electronics, 13(9), 1725. https://doi.org/10.3390/electronics13091725

