A P/X Dual-Band Co-Aperture Array with Dual-Polarized Antenna Based on Forest Biomass Measurement Applications
Abstract
1. Introduction
2. Antenna Design and Configuration
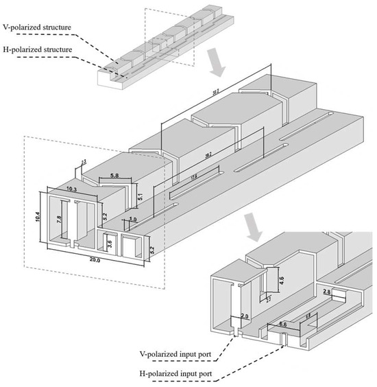
2.1. Co-Aperture Array Construction
2.2. P-Band Operation Mechanism
2.3. X-Band Operation Mechanism
3. Results and Analysis
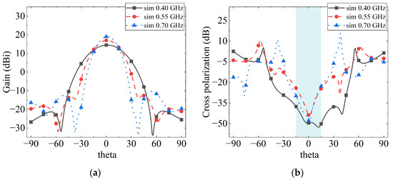
3.1. Results of P-Band Antenna Array
3.2. Results of X-Band Antenna Subarray
4. Conclusions
Author Contributions
Funding
Data Availability Statement
Conflicts of Interest
References
- Su, Y.; Lin, X.Q.; Fan, Y. Dual-band coaperture antenna based on a single-layer mode composite transmission line. IEEE Trans. Antennas Propag. 2019, 67, 4825–4829. [Google Scholar] [CrossRef]
- Huang, H.; Li, X.; Liu, Y. A novel vector synthetic dipole antenna and its common aperture array. IEEE Trans. Antennas Propag. 2018, 66, 3183–3188. [Google Scholar] [CrossRef]
- Wei, M.; Deng, H.; Sun, H.; Liu, Y. Design of an X/Ka dual-band coaperture broadband microstrip antenna array. In Proceedings of the 2011 IEEE International Conference on Microwave Technology & Computational Electromagnetics, Beijing, China, 22–25 May 2011; pp. 217–220. [Google Scholar]
- Sun, F.; Zhang, F.; Zhang, H.; Zhang, H.; Li, C.; Feng, C. A frequency diversity printed-yagi antenna element for apertures selectivity wideband array application. IEEE Trans. Antennas Propag. 2018, 66, 5634–5638. [Google Scholar] [CrossRef]
- Naik, H.; Awasthi, A.K.; Harish, A.R. Shared-aperture dual-band orthogonally polarised antenna array for L-band and S-band applications. IET Microw. Antennas Propag. 2019, 13, 431–435. [Google Scholar] [CrossRef]
- Wu, J.; Wang, C.; Guo, Y.X. Dual-band coaperture planar array antenna constituted of segmented patches. IEEE Antennas Wirel. Propag. Lett. 2020, 19, 257–261. [Google Scholar] [CrossRef]
- Liu, Y.; Yao, F.; Shang, Y. Coaperture dual-band wave-guide monopulse antenna. In Proceedings of the 2013 Proceedings of the International Symposium on Antennas & Propagation, Nanjing, China, 23–25 October 2013; pp. 685–687. [Google Scholar]
- Li, C.; Lu, X. A L/X dual-frequency coaperture microstrip array design. In Proceedings of the 2005 IEEE Antennas and Propagation Society International Symposium, Washington, DC, USA, 3–8 July 2005; Volume 1B, pp. 795–798. [Google Scholar]
- Chen, Y.; Vaughan, R.G. Dual-band shared-aperture slot array design concept. In Proceedings of the 2018 18th International Symposium on Antenna Technology and Applied Electromagnetics (ANTEM), Waterloo, ON, Canada, 19–22 August 2018; pp. 1–2. [Google Scholar]
- Feng, L.Y.; Leung, K.W. Dual-frequency folded-parallel-plate antenna with large frequency ratio. IEEE Trans. Antennas Propag. 2016, 64, 340–345. [Google Scholar] [CrossRef]
- Zhang, L.; See, K.Y.; Zhang, B.; Zhang, Y.P. Integration of dual-band monopole and microstrip grid array for single-chip tri-band application. IEEE Trans. Antennas Propag. 2013, 61, 439–443. [Google Scholar] [CrossRef]
- Zhang, J.F.; Cheng, Y.J.; Ding, Y.R.; Bai, C.X. A dual-band shared-aperture antenna with large frequency ratio, high aperture reuse efficiency, and high channel isolation. IEEE Trans. Antennas Propag. 2019, 67, 853–860. [Google Scholar] [CrossRef]
- Zhou, S.; Dong, P.; Huang, G.; Sim, C.; Li, J. Wideband antenna array with full metal structure and air-filled microstrip feeding network. IEEE Trans. Antennas Propag. 2017, 65, 3041–3048. [Google Scholar] [CrossRef]
- Yilmaz, B.A.; Dogan, D. A dual polarized all metal wideband vivaldi array with wide scan ability. In Proceedings of the 2017 IEEE International Symposium on Antennas and Propagation & USNC/URSI National Radio Science Meeting, San Diego, CA, USA, 9–14 July 2017; pp. 309–310. [Google Scholar]
- Ma, L.; Guan, L.; Li, T.; Fan, Z.; Chen, R. Ultra-wideband all-metal vivaldi phased array antenna with metal baffles. In Proceedings of the 2018 International Applied Computational Electromagnetics Society Symposium-China (ACES), Beijing, China, 29 July–1 August 2018; pp. 1–2. [Google Scholar]
- Kindt, R.W.; Pickles, W.R. Ultrawideband all-metal flared-notch array radiator. IEEE Trans. Antennas Propag. 2010, 58, 3568–3575. [Google Scholar] [CrossRef]
- Huang, G.; Zhou, S.; Chio, T.; Yeo, T. Fabrication of a high-efficiency wave-guide antenna array via direct metal laser sintering. IEEE Antennas Wirel. Propag. Lett. 2016, 15, 622–625. [Google Scholar] [CrossRef]
- Zhou, S.; Huang, G.; Chio, T. A lightweight, wideband, dual-circular-polarized wave-guide cavity array designed with direct metal laser sintering considerations. IEEE Trans. Antennas Propag. 2018, 66, 675–682. [Google Scholar] [CrossRef]
- Kindt, R.; Mital, R.; Logan, J.; Lee, M.; Vouvakis, M. A 6:1 bandwidth PUMA array at 7 mm scale. In Proceedings of the 2016 IEEE International Symposium on Phased Array Systems and Technology (PAST), Waltham, MA, USA, 18–21 October 2016; pp. 1–4. [Google Scholar]
- Chen, Z.; Zhou, S.; Chio, T. A class of all metal cavity-backed slot array with direct metal laser sintering. IEEE Access 2018, 6, 69650–69659. [Google Scholar] [CrossRef]
- Guennou-Martin, A.; Quéré, Y.; Rius, E.; Fourtinon, L.; Person, C.; Lesueur, G.; Merlet, T. Design and manufacturing of a 3-D conformal slotted wave-guide antenna array in Ku-band based on Direct Metal Laser Sintering. In Proceedings of the 2016 IEEE Conference on Antenna Measurements & Applications (CAMA), Syracuse, NY, USA, 23–27 October 2016; pp. 1–4. [Google Scholar]
- Wu, X.; Yang, F.; Xu, F.; Zhou, J. Circularly polarized wave-guide antenna with dual pairs of radiation slots at Ka-band. IEEE Antennas Wirel. Propag. Lett. 2017, 16, 2947–2950. [Google Scholar] [CrossRef]
- Hirokawa, J.; Ito, S.; Suetsugu, S.; Zhang, M.; Ando, M. Fabrication of a double-layer corporate-feed wave-guide slot array by powder metal laser process. In Proceedings of the 2014 International Conference on Numerical Electromagnetic Modeling and Optimization for RF, Microwave, and Terahertz Applications (NEMO), Pavia, Italy, 14–16 May 2014; pp. 1–4. [Google Scholar]
- Shi, B.; Ke, T.; Luo, Q. Scanned slot array fed by inclined slots in ridge wave-guide. In Proceedings of the 2017 Sixth Asia-Pacific Conference on Antennas and Propagation (APCAP), Xi’an, China, 16–19 October 2017; pp. 1–3. [Google Scholar]
- Zhou, J.; Wang, H.; Cao, J.; Liang, G.; Jiang, S. Ridged wave-guide slot phased array for 5G millimeter-wave application. In Proceedings of the 2019 Cross Strait Quad-Regional Radio Science and Wireless Technology Conference (CSQRWC), Taiyuan, China, 18–21 July 2019; pp. 1–3. [Google Scholar]
- Zheng, Z.; Fang, X.; Wang, W.; Huang, G.; Zhang, H.; Liang, X. A compact wave-guide slot filtering antenna based on mushroom-type surface. IEEE Antennas Wirel. Propag. Lett. 2020, 19, 1823–1827. [Google Scholar] [CrossRef]
- Magnusson, P.; Di Salvo, M.; Scarchilli, C. A dual polarised slotted wave-guide antenna for satellite based wind scatterometer instruments. In Proceedings of the 2013 7th European Conference on Antennas and Propagation (EuCAP), Gothenburg, Sweden, 8–12 April 2013; pp. 3565–3568. [Google Scholar]
- Mallahzadeh, A.R.; Nezhad, S.M.A. Cross-polarization and size reduction of slotted wave-guide array antenna by angled ridges. In Proceedings of the 2012 6th European Conference on Antennas and Propagation (EUCAP), Prague, Czech Republic, 26–30 March 2012; pp. 1–5. [Google Scholar]
- Tian, J.; Sun, G. Design of K-band single ridge wave-guide slot antenna arrays. In Proceedings of the 2017 2nd IEEE International Conference on Integrated Circuits and Microsystems (ICICM), Nanjing, China, 8–11 November 2017; pp. 291–294. [Google Scholar]
- CST Studio SuiteTM. Available online: https://www.cst.com (accessed on 10 March 2024).
















| Ref. | Material | Freq. (GHz) | IBW (%) | Array | Freq. Tuning Ratio |
|---|---|---|---|---|---|
| [2] | Dielectric | 8.6~9.9 | 14.1 | Yes | 4.2 |
| 32.0~36.0 | 11.8 | Yes | |||
| [3] | Dielectric | 1.3~1.36 | 4.5 | Yes | 2.5 |
| 2.6~3.3 | 23.7 | Yes | |||
| [5] | Dielectric | 0.8~1.3 | 54 | Yes | 4.6 |
| 3.0~3.7 | 25 | Yes | |||
| [10] | Metal | 2.17~2.63 | 9.7 | No | 11.3 |
| 23.5~24.5 | 2.1 | Yes | |||
| [11] | Dielectric | 4.76~5.56 | 15.2 | No | 13.4 |
| 57.0~64.0 | 11.4 | Yes | |||
| [12] | Dielectric | 3.4~3.51 | 2.9 | No | 17.6 |
| 58.6~60.0 | 2.4 | Yes | |||
| Our work | Metal | 0.4~0.7 | 54.5 | Yes | 24.7 |
| 9.3~9.9 | 6.3 | Yes |
Disclaimer/Publisher’s Note: The statements, opinions and data contained in all publications are solely those of the individual author(s) and contributor(s) and not of MDPI and/or the editor(s). MDPI and/or the editor(s) disclaim responsibility for any injury to people or property resulting from any ideas, methods, instructions or products referred to in the content. |
© 2024 by the authors. Licensee MDPI, Basel, Switzerland. This article is an open access article distributed under the terms and conditions of the Creative Commons Attribution (CC BY) license (https://creativecommons.org/licenses/by/4.0/).
Share and Cite
Sun, F.; Wu, X.; Luan, Y.; Wang, D. A P/X Dual-Band Co-Aperture Array with Dual-Polarized Antenna Based on Forest Biomass Measurement Applications. Electronics 2024, 13, 1565. https://doi.org/10.3390/electronics13081565
Sun F, Wu X, Luan Y, Wang D. A P/X Dual-Band Co-Aperture Array with Dual-Polarized Antenna Based on Forest Biomass Measurement Applications. Electronics. 2024; 13(8):1565. https://doi.org/10.3390/electronics13081565
Chicago/Turabian StyleSun, Fukun, Xian Wu, Yuchen Luan, and Duo Wang. 2024. "A P/X Dual-Band Co-Aperture Array with Dual-Polarized Antenna Based on Forest Biomass Measurement Applications" Electronics 13, no. 8: 1565. https://doi.org/10.3390/electronics13081565
APA StyleSun, F., Wu, X., Luan, Y., & Wang, D. (2024). A P/X Dual-Band Co-Aperture Array with Dual-Polarized Antenna Based on Forest Biomass Measurement Applications. Electronics, 13(8), 1565. https://doi.org/10.3390/electronics13081565

