Neural Network Iterative Learning for SISO Non-Affine Control Systems
Abstract
1. Introduction
2. State of the Art and Contributions
- A method for designing reference trajectories that are capable of adequately stimulating the dynamics of a system.
- An identification scheme capable of retrieving the unknown plant dynamics even in the case of open-loop instability.
- Full coverage of the targeted system state space instead of limitation to a sole trajectory.
3. Problem Formulation and Preliminaries
4. Methodology
4.1. Approximation Structure
4.2. Reference Trajectory Design
| Algorithm 1 Reference Trajectory Design |
|
4.3. Controller Design
- is selected according to the maximum allowable tracking error at the steady state;
- l determines a lower bound on the speed of convergence;
- affects the maximum overshoot and is selected such that .
4.4. Iterative Learning
| Algorithm 2 Iterative Learning |
|
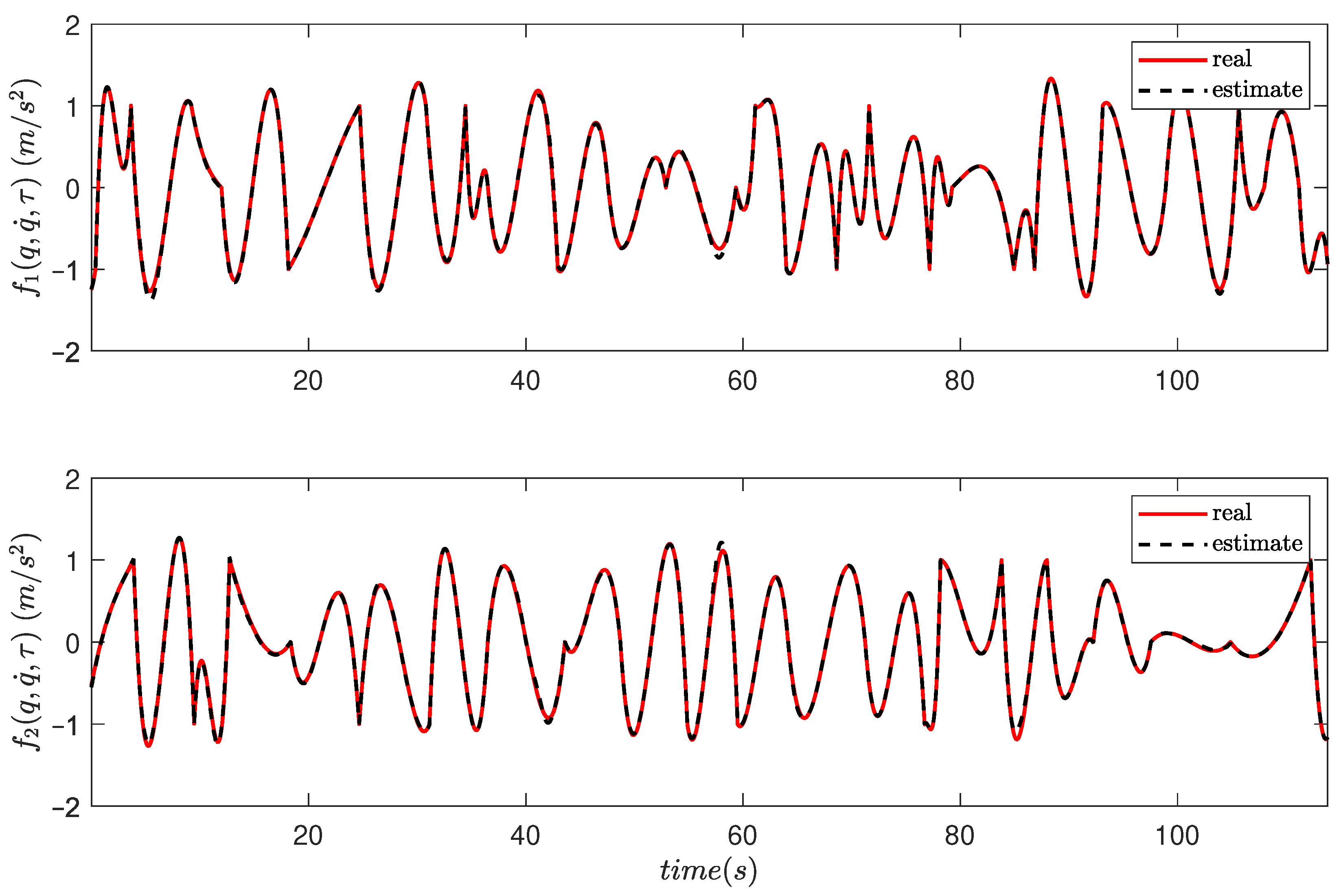
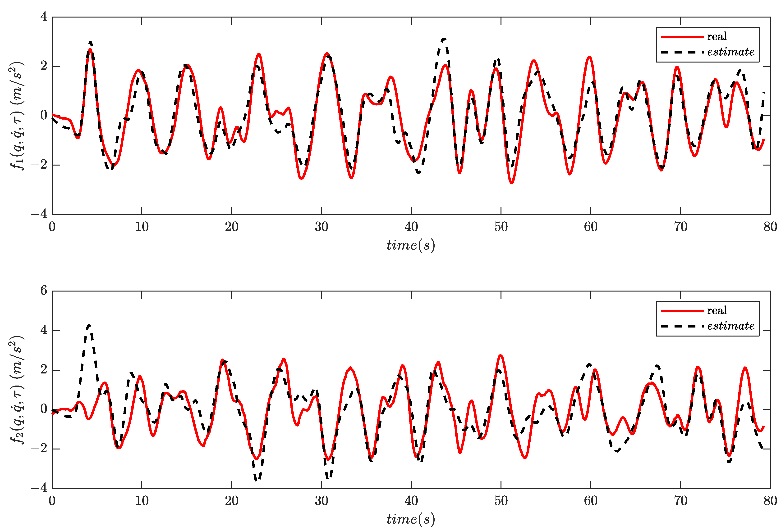
5. Results
5.1. Simulation Study
5.2. Experimental Study
6. Conclusions and Future Work
Author Contributions
Funding
Data Availability Statement
Conflicts of Interest
References
- Volterra, V. Sopra le Funzioni Che Dipendono da Altre Funzioni; Tipografia della R. Accademia dei Lincei: Rome, Italy, 1887. [Google Scholar]
- Birpoutsoukis, G.; Marconato, A.; Lataire, J.; Schoukens, J. Regularized nonparametric Volterra kernel estimation. Automatica 2017, 82, 324–327. [Google Scholar] [CrossRef]
- Dalla Libera, A.; Carli, R.; Pillonetto, G. Kernel-based methods for Volterra series identification. Automatica 2021, 129, 109686. [Google Scholar] [CrossRef]
- Xu, Y.; Mu, B.; Chen, T. On Kernel Design for Regularized Volterra Series Model with Application to Wiener System Identification. In Proceedings of the 2022 41st Chinese Control Conference (CCC), Hefei, China, 25–27 July 2022; pp. 1503–1508. [Google Scholar] [CrossRef]
- Nelles, O. Nonlinear Dynamic System Identification. In Nonlinear System Identification: From Classical Approaches to Neural Networks and Fuzzy Models; Springer: Berlin/Heidelberg, Germany, 2001; pp. 547–577. [Google Scholar] [CrossRef]
- Wills, A.; Schön, T.B.; Ljung, L.; Ninness, B. Identification of Hammerstein–Wiener models. Automatica 2013, 49, 70–81. [Google Scholar] [CrossRef]
- Li, L.; Zhang, J.; Wang, F.; Zhang, H.; Ren, X. Binary-Valued Identification of Nonlinear Wiener–Hammerstein Systems Using Adaptive Scheme. IEEE Trans. Instrum. Meas. 2023, 72, 3001110. [Google Scholar] [CrossRef]
- Chen, S.; Billings, S.A. Representations of non-linear systems: The NARMAX model. Int. J. Control 1989, 49, 1013–1032. [Google Scholar] [CrossRef]
- Abdul Rahim, N.; Taib, M.N.; Adom, A.; Abdul Halim, M.A. Nonlinear System Identification for a DC Motor using NARMAX Model with Regularization Approach. In Proceedings of the International Conference on Control, Instrumentation and Mechatronics Engineering (CIM’07), Johor, Malaysia, 28–29 May 2007. [Google Scholar]
- Al-Mahturi, A.; Santoso, F.; Garratt, M.A.; Anavatti, S.G. Online System Identification for Nonlinear Uncertain Dynamical Systems Using Recursive Interval Type-2 TS Fuzzy C-means Clustering. In Proceedings of the 2020 IEEE Symposium Series on Computational Intelligence (SSCI), Canberra, Australia, 1–4 December 2020; pp. 1695–1701. [Google Scholar] [CrossRef]
- Zou, W.; Zhang, N. A T-S Fuzzy Model Identification Approach Based on a Modified Inter Type-2 FRCM Algorithm. IEEE Trans. Fuzzy Syst. 2018, 26, 1104–1113. [Google Scholar] [CrossRef]
- Ferdaus, M.M.; Pratama, M.; Anavatti, S.; Garratt, M. Online Identification of a Rotary Wing Unmanned Aerial Vehicle from Data Streams. Appl. Soft Comput. 2018, 76, 313–325. [Google Scholar] [CrossRef]
- Hornik, K.; Stinchcombe, M.; White, H. Multilayer feedforward networks are universal approximators. Neural Netw. 1989, 2, 359–366. [Google Scholar] [CrossRef]
- Delgado, A.; Kambhampati, C.; Warwick, K. Dynamic recurrent neural network for system identification and control. Control Theory Appl. IEE Proc. 1995, 142, 307–314. [Google Scholar] [CrossRef]
- Al Seyab, R.; Cao, Y. Nonlinear system identification for predictive control using continuous time recurrent neural networks and automatic differentiation. J. Process. Control 2008, 18, 568–581. [Google Scholar] [CrossRef]
- Sen, G.D.; Gunel, G.Ö.; Guzelkaya, M. Extended Kalman Filter Based Modified Elman-Jordan Neural Network for Control and Identification of Nonlinear Systems. In Proceedings of the 2020 Innovations in Intelligent Systems and Applications Conference (ASYU), Istanbul, Turkey, 15–17 October 2020; pp. 1–6. [Google Scholar] [CrossRef]
- Ni, J.; Ahn, C.K.; Liu, L.; Liu, C. Prescribed performance fixed-time recurrent neural network control for uncertain nonlinear systems. Neurocomputing 2019, 363, 351–365. [Google Scholar] [CrossRef]
- Kang, H.H.; Su Lee, S.; Kim, K.S.; Ki Ahn, C. Finite Memory Estimation-Based Recurrent Neural Network Learning Algorithm for Accurate Identification of Unknown Nonlinear Systems. In Proceedings of the 2019 IEEE Symposium Series on Computational Intelligence (SSCI), Xiamen, China, 6–9 December 2019; pp. 470–475. [Google Scholar] [CrossRef]
- Kang, H.H.; Ahn, C.K. Neural Network-Based Moving Window Iterative Nonlinear System Identification. IEEE Signal Process. Lett. 2023, 30, 1007–1011. [Google Scholar] [CrossRef]
- Kumar, R. Memory Recurrent Elman Neural Network-Based Identification of Time-Delayed Nonlinear Dynamical System. IEEE Trans. Syst. Man Cybern. Syst. 2023, 53, 753–762. [Google Scholar] [CrossRef]
- Chen, M.; Ge, S.S.; How, B.V.E. Robust Adaptive Neural Network Control for a Class of Uncertain MIMO Nonlinear Systems With Input Nonlinearities. IEEE Trans. Neural Netw. 2010, 21, 796–812. [Google Scholar] [CrossRef]
- He, W.; Chen, Y.; Yin, Z. Adaptive Neural Network Control of an Uncertain Robot With Full-State Constraints. IEEE Trans. Cybern. 2016, 46, 620–629. [Google Scholar] [CrossRef]
- Wang, M.; Wang, C. Neural learning control of pure-feedback nonlinear systems. Nonlinear Dyn. 2014, 79, 2589–2608. [Google Scholar] [CrossRef]
- Liu, T.; Wang, C.; Hill, D.J. Learning from neural control of nonlinear systems in normal form. Syst. Control Lett. 2009, 58, 633–638. [Google Scholar] [CrossRef]
- Wang, C.; Wang, M.; Liu, T.; Hill, D.J. Learning From ISS-Modular Adaptive NN Control of Nonlinear Strict-Feedback Systems. IEEE Trans. Neural Netw. Learn. Syst. 2012, 23, 1539–1550. [Google Scholar] [CrossRef]
- Dai, S.L.; Wang, C.; Wang, M. Dynamic Learning From Adaptive Neural Network Control of a Class of Nonaffine Nonlinear Systems. IEEE Trans. Neural Netw. Learn. Syst. 2014, 25, 111–123. [Google Scholar] [CrossRef]
- Wang, M.; Wang, C. Learning From Adaptive Neural Dynamic Surface Control of Strict-Feedback Systems. IEEE Trans. Neural Netw. Learn. Syst. 2015, 26, 1247–1259. [Google Scholar] [CrossRef]
- Wang, M.; Wang, C.; Liu, X. Learning from adaptive neural control with predefined performance for a class of nonlinear systems. In Proceedings of the 33rd Chinese Control Conference, Nanjing, China, 28–30 July 2014; pp. 8871–8876. [Google Scholar] [CrossRef]
- Wang, C.; Hill, D. Learning from neural control. IEEE Trans. Neural Netw. 2006, 17, 130–146. [Google Scholar] [CrossRef]
- Zisis, K.; Bechlioulis, C.P.; Rovithakis, G.A. Control-Enabling Adaptive Nonlinear System Identification. IEEE Trans. Autom. Control 2022, 67, 3715–3721. [Google Scholar] [CrossRef]
- Byrnes, C.; Isidori, A. Asymptotic stabilization of minimum phase nonlinear systems. IEEE Trans. Autom. Control 1991, 36, 1122–1137. [Google Scholar] [CrossRef]
- Kurdila, A.; Narcowich, F.; Ward, J. Persistency of Excitation in Identification Using Radial Basis Function Approximants. Siam J. Control Optim. 1995, 33, 625–642. [Google Scholar] [CrossRef]
- Bechlioulis, C.P.; Rovithakis, G.A. Robust Adaptive Control of Feedback Linearizable MIMO Nonlinear Systems With Prescribed Performance. IEEE Trans. Autom. Control 2008, 53, 2090–2099. [Google Scholar] [CrossRef]
- Dimanidis, I.S.; Bechlioulis, C.P.; Rovithakis, G.A. Output Feedback Approximation-Free Prescribed Performance Tracking Control for Uncertain MIMO Nonlinear Systems. IEEE Trans. Autom. Control 2020, 65, 5058–5069. [Google Scholar] [CrossRef]
- Lewis, F.L.; Vrabie, D.; Syrmos, V.L. Optimal Control Of Continuous-Time Systems. In Optimal Control; John Wiley & Sons, Ltd.: Hoboken, NJ, USA, 2012. [Google Scholar] [CrossRef]
- Brent, R.P. Algorithms for Minimization without Derivatives; Prentice-Hall: Englewood Cliffs, NJ, USA, 1973; p. 195. [Google Scholar]
- Guo, B.Z.; Zhao, Z. On convergence of tracking differentiator. Int. J. Control 2011, 84, 693–701. [Google Scholar] [CrossRef]
- Savitzky, A.; Golay, M.J.E. Smoothing and differentiation of data by simplified least squares procedures. Anal. Chem. 1964, 36, 1627–1639. [Google Scholar] [CrossRef]













| g | ||||||||
|---|---|---|---|---|---|---|---|---|
| 3.2 | 0.5 | 0.96 | 1 | 2.0 | 0.4 | 0.81 | 1 | 9.81 |
Disclaimer/Publisher’s Note: The statements, opinions and data contained in all publications are solely those of the individual author(s) and contributor(s) and not of MDPI and/or the editor(s). MDPI and/or the editor(s) disclaim responsibility for any injury to people or property resulting from any ideas, methods, instructions or products referred to in the content. |
© 2024 by the authors. Licensee MDPI, Basel, Switzerland. This article is an open access article distributed under the terms and conditions of the Creative Commons Attribution (CC BY) license (https://creativecommons.org/licenses/by/4.0/).
Share and Cite
Vlachos, C.; Tolis, F.; Karras, G.C.; Bechlioulis, C.P. Neural Network Iterative Learning for SISO Non-Affine Control Systems. Electronics 2024, 13, 1473. https://doi.org/10.3390/electronics13081473
Vlachos C, Tolis F, Karras GC, Bechlioulis CP. Neural Network Iterative Learning for SISO Non-Affine Control Systems. Electronics. 2024; 13(8):1473. https://doi.org/10.3390/electronics13081473
Chicago/Turabian StyleVlachos, Christos, Fotios Tolis, George C. Karras, and Charalampos P. Bechlioulis. 2024. "Neural Network Iterative Learning for SISO Non-Affine Control Systems" Electronics 13, no. 8: 1473. https://doi.org/10.3390/electronics13081473
APA StyleVlachos, C., Tolis, F., Karras, G. C., & Bechlioulis, C. P. (2024). Neural Network Iterative Learning for SISO Non-Affine Control Systems. Electronics, 13(8), 1473. https://doi.org/10.3390/electronics13081473

