Gradient-Based Optimization for Intent Conflict Resolution
Abstract
1. Introduction
1.1. Background
1.2. Related Works
1.3. Motivation and Contributions
- In the proposed framework, the concurrent reception of multiple intents is addressed as a multi-objective optimization problem, with potential conflict situations defined in a novel way and resolution facilitated through the proposed application of the MGDA.
- To utilize MGDA, it is imperative to compute derivatives of the loss function, with the prerequisite being the availability of a closed form of the loss function for each intent. Obtaining closed-form expressions for each intent to facilitate using derivatives is computationally challenging, especially in a dynamic environment. Addressing this challenge, SPSA, a derivative-free method, is employed to approximate gradients to facilitate MGDA in this work to optimize shared NCPs.
- The extensive experimental analysis is performed to test various boundary conditions of the proposed framework and solve the potential of the conflicts.
1.4. Paper Organization
2. System Model
2.1. A New Approach to Defining the ’Conflict’ in IDN

2.2. Multiple Gradient Descent Algorithm (MGDA)
2.3. Simultaneous Perturbation Stochastic Approximation (SPSA)
3. Proposed SPSA-Based MGDA for Conflict Resolution in IDN
| Algorithm 1: Proposed SPSA-based MGDA. |
![]() |
4. Performance Analysis
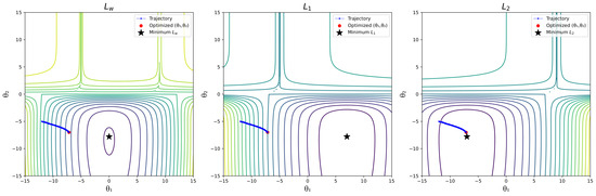
4.1. SPSA-Based MGDA for Toy Example
4.2. A Conflict Scenario in IDN with KPI Measurement Tools
4.3. Simulation Setup
4.4. Simulation Results
5. Conclusions
Author Contributions
Funding
Data Availability Statement
Conflicts of Interest
References
- Clemm, A.; Ciavaglia, L.; Granville, L.Z.; Tantsura, J. Intent-Based Networking-Concepts and Definitions. RFC 9315. 2022. Available online: https://www.rfc-editor.org/info/rfc9315 (accessed on 1 February 2024).
- Mehmood, K.; Kralevska, K.; Palma, D. Intent-driven autonomous network and service management in future cellular networks: A structured literature review. Comput. Netw. 2023, 220, 109477. [Google Scholar] [CrossRef]
- Banerjee, A.; Mwanje, S.S.; Carle, G. Contradiction Management in Intent-driven Cognitive Autonomous RAN. In Proceedings of the 2022 IFIP Networking Conference (IFIP Networking), Catania, Italy, 13–16 June 2022; pp. 1–6. [Google Scholar] [CrossRef]
- ETSI. Zero-Touch Network and Service Management (ZSM); Intent-Driven Autonomous Networks; Generic Aspects. 2023. Available online: https://www.etsi.org/committee/1431-zsm (accessed on 1 February 2024).
- Telemanagement Forum (TMForum). Intent in Autonomous Networks. Introductory Document IG1253. TMForum. 2022. Available online: https://www.tmforum.org/resources/how-to-guide/ig1253-intent-in-autonomous-networks-v1-0-0/ (accessed on 1 February 2024).
- Mwanje, S.S.; Banerjee, A.; Goerge, J.; Abdelkader, A.; Hannak, G.; Szilágyi, P.; Subramanya, T.; Goser, J.; Foth, T. Intent-driven network and service management: Definitions, modeling and implementation. ITU J. Future Evol. Technol. 2022, 3, 555–569. [Google Scholar] [CrossRef]
- Banerjee, A.; Mwanje, S.S.; Carle, G. Toward Control and Coordination in Cognitive Autonomous Networks. IEEE Trans. Netw. Serv. Manag. 2022, 19, 49–60. [Google Scholar] [CrossRef]
- Cinemre, I.; Mehmood, K.; Kralevska, K.; Mahmoodi, T. Direct-Conflict Resolution in Intent-Driven Autonomous Networks. In Proceedings of the European Wireless 2023, 28th European Wireless Conference, Rome, Italy, 2–4 October 2023; pp. 1–6. [Google Scholar]
- Baktir, A.C.; Junior, A.D.N.; Zahemszky, A.; Likhyani, A.; Temesgene, D.A.; Roeland, D.; Biyar, E.D.; Ustok, R.F.; Orlić, M.; D’Angelo, M. Intent-based cognitive closed-loop management with built-in conflict handling. In Proceedings of the 2022 IEEE 8th International Conference on Network Softwarization (NetSoft), Milan, Italy, 27 June–1 July 2022; pp. 73–78. [Google Scholar] [CrossRef]
- Perepu, S.K.; Martins, J.P.; Souza, R.; Dey, K. Intent-based multi-agent reinforcement learning for service assurance in cellular networks. In Proceedings of the GLOBECOM 2022-2022 IEEE Global Communications Conference, Rio de Janeiro, Brazil, 4–8 December 2022; pp. 2879–2884. [Google Scholar] [CrossRef]
- Bandh, T.; Romeikat, R.; Sanneck, H.; Tang, H. Policy-based coordination and management of SON functions. In Proceedings of the 12th IFIP/IEEE International Symposium on Integrated Network Management (IM 2011) and Workshops, Dublin, Ireland, 23–27 May 2011; pp. 827–840. [Google Scholar] [CrossRef]
- Yu, T.; Kumar, S.; Gupta, A.; Levine, S.; Hausman, K.; Finn, C. Gradient surgery for multi-task learning. Adv. Neural Inf. Process. Syst. 2020, 33, 5824–5836. [Google Scholar]
- Liu, B.; Liu, X.; Jin, X.; Stone, P.; Liu, Q. Conflict-averse gradient descent for multi-task learning. Adv. Neural Inf. Process. Syst. 2021, 34, 18878–18890. [Google Scholar]
- Sener, O.; Koltun, V. Multi-task learning as multi-objective optimization. In Proceedings of the Advances in Neural Information Processing Systems 31 (NeurIPS 2018), Montréal, QC, Canada, 3–8 December 2018. [Google Scholar]
- Shi, G.; Li, Q.; Zhang, W.; Chen, J.; Wu, X.M. Recon: Reducing Conflicting Gradients from the Root for Multi-Task Learning. arXiv 2023, arXiv:2302.11289. [Google Scholar]
- Navon, A.; Shamsian, A.; Achituve, I.; Maron, H.; Kawaguchi, K.; Chechik, G.; Fetaya, E. Multi-task learning as a bargaining game. arXiv 2022, arXiv:2202.01017. [Google Scholar]
- Senushkin, D.; Patakin, N.; Kuznetsov, A.; Konushin, A. Independent Component Alignment for Multi-Task Learning. In Proceedings of the IEEE/CVF Conference on Computer Vision and Pattern Recognition, Vancouver, BC, Canada, 17–24 June 2023; pp. 20083–20093. [Google Scholar]
- Désidéri, J.A. Multiple-gradient descent algorithm (MGDA) for multiobjective optimization. Comptes Rendus Math. 2012, 350, 313–318. [Google Scholar] [CrossRef]
- Spall, J.C. An overview of the simultaneous perturbation method for efficient optimization. Johns Hopkins Apl. Tech. Dig. 1998, 19, 482–492. [Google Scholar]
- Wulff, B.; Schuecker, J.; Bauckhage, C. Spsa for layer-wise training of deep networks. In Proceedings of the Artificial Neural Networks and Machine Learning–ICANN 2018: 27th International Conference on Artificial Neural Networks, Rhodes, Greece, 4–7 October 2018; Proceedings, Part III 27. Springer: Berlin/Heidelberg, Germany, 2018; pp. 564–573. [Google Scholar]
- Spall, J. Implementation of the simultaneous perturbation algorithm for stochastic optimization. IEEE Trans. Aerosp. Electron. Syst. 1998, 34, 817–823. [Google Scholar] [CrossRef]
- Ruder, S. An overview of gradient descent optimization algorithms. arXiv 2016, arXiv:1609.04747. [Google Scholar]
- Moysen, J.; Giupponi, L. Self-coordination of parameter conflicts in D-SON architectures: A Markov decision process framework. EURASIP J. Wirel. Commun. Netw. 2015, 2015, 1–18. [Google Scholar] [CrossRef]
- Bag, T.; Garg, S.; Rojas, D.F.P.; Mitschele-Thiel, A. Machine Learning-Based Recommender Systems to Achieve Self-Coordination Between SON Functions. IEEE Trans. Netw. Serv. Manag. 2020, 17, 2131–2144. [Google Scholar] [CrossRef]
- Lateef, H.Y.; Imran, A.; Imran, M.A.; Giupponi, L.; Dohler, M. LTE-advanced self-organizing network conflicts and coordination algorithms. IEEE Wirel. Commun. 2015, 22, 108–117. [Google Scholar] [CrossRef][Green Version]









| Parameter | Value |
|---|---|
| No. eNB sites | 3 |
| Sectors per site | 3 |
| No of CallText UEs | 80 |
| No. of Video UEs | 20 |
| Tx Power | 30–45 dBm |
| Path loss model | 3GPPPropagationLossModel |
| Mobility model for CallText | ConstantPosition |
| Mobility model for Video | SteadyStateRandomWaypointMobilityModel |
| Scheduler | Proportional fair |
| Shadow Fading | Log-normal, std = 8 dB |
| AMC model | PiroEW2010 |
| Cell layout radius | 500 m |
| Bandwidth | 5 MHz |
| No. of RBs | 25; RBs per RBG:2 |
| Horizontal angle | |
| Half power beamwidth | Vertical 10°: Horizontal 70° |
| Antenna gain | 10 dBi |
| Vertical angle | |
| Side lobe level | Vertical dB: Horizontal dB |
| Side lobe level0 | dB |
| Actions (tilt) | 0°–15°: Granularity 1° |
| Simulation time | 10 s |
| Confidence level | 95% |
| No. of independent runs | 77 |
Disclaimer/Publisher’s Note: The statements, opinions and data contained in all publications are solely those of the individual author(s) and contributor(s) and not of MDPI and/or the editor(s). MDPI and/or the editor(s) disclaim responsibility for any injury to people or property resulting from any ideas, methods, instructions or products referred to in the content. |
© 2024 by the authors. Licensee MDPI, Basel, Switzerland. This article is an open access article distributed under the terms and conditions of the Creative Commons Attribution (CC BY) license (https://creativecommons.org/licenses/by/4.0/).
Share and Cite
Cinemre, I.; Mehmood, K.; Kralevska, K.; Mahmoodi, T. Gradient-Based Optimization for Intent Conflict Resolution. Electronics 2024, 13, 864. https://doi.org/10.3390/electronics13050864
Cinemre I, Mehmood K, Kralevska K, Mahmoodi T. Gradient-Based Optimization for Intent Conflict Resolution. Electronics. 2024; 13(5):864. https://doi.org/10.3390/electronics13050864
Chicago/Turabian StyleCinemre, Idris, Kashif Mehmood, Katina Kralevska, and Toktam Mahmoodi. 2024. "Gradient-Based Optimization for Intent Conflict Resolution" Electronics 13, no. 5: 864. https://doi.org/10.3390/electronics13050864
APA StyleCinemre, I., Mehmood, K., Kralevska, K., & Mahmoodi, T. (2024). Gradient-Based Optimization for Intent Conflict Resolution. Electronics, 13(5), 864. https://doi.org/10.3390/electronics13050864


