Multi-Indicator Fused Resilience Assessment of Power Grids Considering Wind-Photovoltaic Output Uncertainty during Typhoon Disasters
Abstract
1. Introduction
- (1)
- A holistic power grid resilience assessment framework considering renewable energy output uncertainty in the face of extreme typhoon weather is proposed, aiming to effectively analyze the ability of the power grid to withstand natural disasters.
- (2)
- A spatial–temporal uncertainty model of typhoon wind speed is established by utilizing a rolling non-parametric DPGMM based on the actual historical meteorological data of typhoons.
- (3)
- The optimal wind field model and the actual typhoon best track data are leveraged to model the typhoon wind field, thereby obtaining the spatial–temporal contingency set of the power grid.
- (4)
- A comprehensive assessment framework of power grid resilience is constructed by employing the EWM and TOPSIS.
2. Problem Formulation
2.1. Wind Field Model
2.1.1. Key Parameter Estimation
2.1.2. Gradient Layer Typhoon Model
- Batts wind field model [45]
- 2.
- Schloemer wind field model [46]
- 3.
- Jelenianski-II wind field model [47]
- 4.
- Holland wind field model [49]
2.1.3. Boundary Layer Model [52]
2.2. Wind-PV Output Uncertainty Model
2.3. Component Failure Probability Model
2.4. Contingency Set Generation Strategy Considering Time Series
2.5. Optimal Load Shedding Strategy
2.6. Comprehensive Resilience Assessment Framework
3. Solution Strategy
- Input initial system data, geographic location data of the components, historical wind speed data of super typhoon, severe typhoon and severe tropical storm, PV output data, and the typhoon best track data.
- Perform applicability verification using the measured typhoon data to identify and select the optimal wind field models.
- Utilize the typhoon best track data to simulate the wind field within the affected area based on the optimal wind field model to obtain wind speeds at different locations of the components.
- Calculate the spatial–temporal failure probability of the components and employ a quasi-Monte Carlo sampling technique to obtain the spatial–temporal contingency set.
- Construct a spatial–temporally correlated wind-PV joint probability density function based on the rolling DPGMM, and utilize the variational Bayesian inference [54] to solve the model parameters.
- Utilize a Monte Carlo sampling technique to sample the wind-PV joint probability density function and further obtain 10 typical scenarios based on the scenario analysis method.
- Select the wind-PV output scenario as one and the contingency scenario as one to initiate the simulation.
- Check whether the power grid is split and conduct islanding treatment.
- Utilize the optimal load shedding strategy to simulate the current scenario in multiple time periods and obtain the system performance curve.
- Simulate the next wind-PV output scenario, then go to (8) and simulate the next contingency scenario after simulating all wind-PV output scenarios. After completing all contingency scenarios, go to (11).
- Calculate the expected amount of the survived load for all scenarios to obtain multidimensional resilience indicators, and then derive the comprehensive resilience indicator through EWM and TOPSIS methods.
- Output the comprehensive resilience assessment results for the power grid under extreme typhoon weather conditions.
4. Case Study
4.1. The Applicability Verification of the Typhoon Wind Field Model
4.2. Wind-PV Output Uncertainty Model
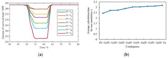
4.3. System Resilience Assessment
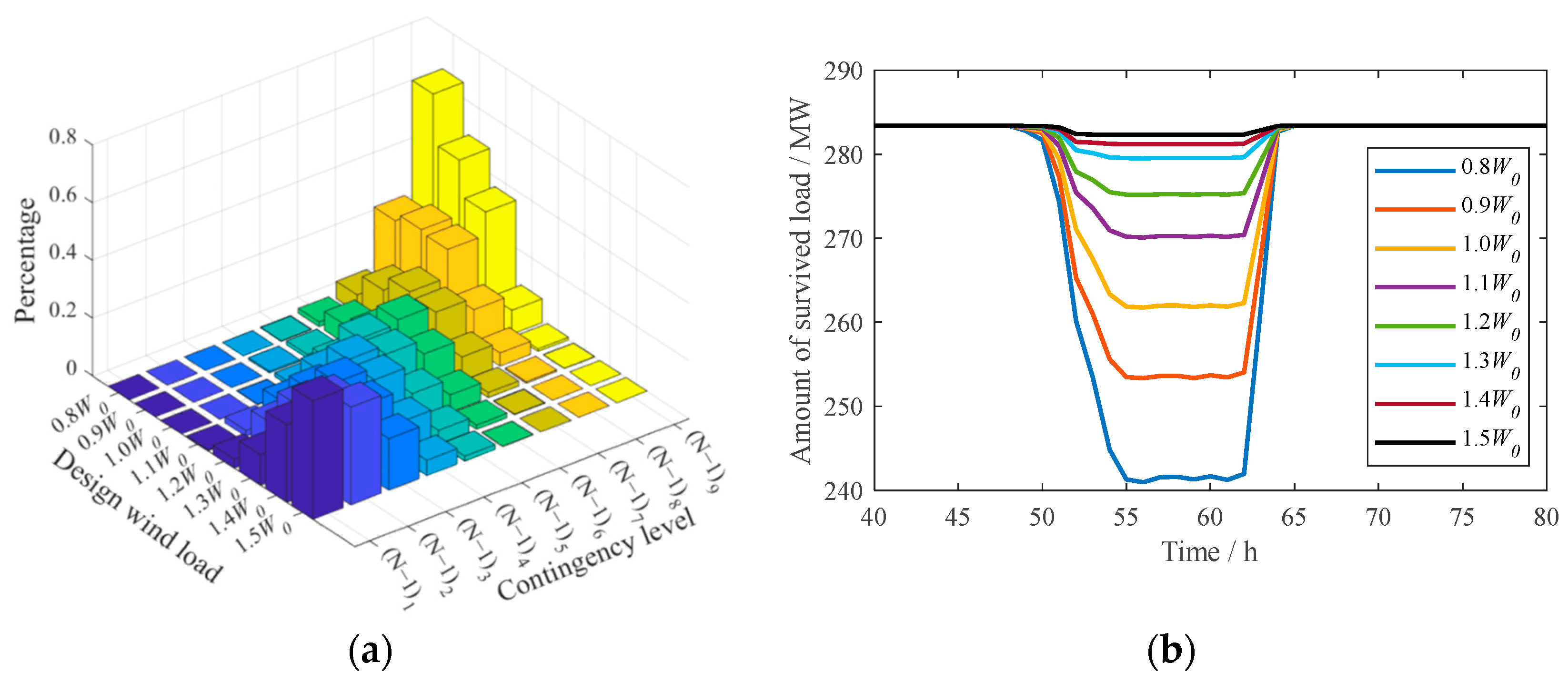
4.4. Impact of Different Design Wind Loads on System Resilience Assessment Results
5. Conclusions
- The parametric typhoon wind field model has high computational efficiency, and the optimal typhoon wind field model and corresponding parameters can be selected by integrating the typhoon reanalysis data in typhoon-prone regions, which is particularly suitable for engineering applications.
- The spatial–temporal failure probability model for components based on the stress–strength interference method, as well as the spatial–temporal contingency set considering time series and recovery time, can effectively capture the spatial–temporal impacts of typhoons on the power grid.
- Extreme typhoon events can lead to (N − 1)k contingencies. The proposed system resilience assessment framework combined with the optimal load shedding strategy considering the load importance is helpful to minimize critical load loss and elucidate the response of the power grid to typhoons with different intensities and multiple contingencies. In addition, the multi-dimensional capabilities of the power grid in the face of extreme typhoon events, such as priority, robustness, rapidity, and sustainability, are evaluated as well.
Author Contributions
Funding
Data Availability Statement
Conflicts of Interest
References
- Che, L.; Khodayar, M.; Shahidehpour, M. Only Connect: Microgrids for Distribution System Restoration. IEEE Power Energy Mag. 2014, 12, 70–81. [Google Scholar] [CrossRef]
- Mahzarnia, M.; Parsa Moghaddam, M.; Siano, P.; Haghifam, M.-R. A Comprehensive Assessment of Power System Resilience to a Hurricane Using a Two-Stage Analytical Approach Incorporating Risk-Based Index. Sustain. Energy Technol. Assess. 2020, 42, 100831. [Google Scholar] [CrossRef]
- Bie, Z.; Lin, C.; Li, G.; Qiu, A. Development and Prospect of Resilient Power System in the Context of Energy Transition. Proc. Chin. Soc. Electr. Eng. 2020, 40, 2735–2745. (In Chinese) [Google Scholar]
- Mlilo, N.; Brown, J.; Ahfock, T. Impact of Intermittent Renewable Energy Generation Penetration on the Power System Networks—A Review. Technol. Econ. Smart Grids Sustain. Energy 2021, 6, 25. [Google Scholar] [CrossRef]
- Xu, L.; Feng, K.; Lin, N.; Perera, A.T.D.; Poor, H.V.; Xie, L.; Ji, C.; Sun, X.A.; Guo, Q.; O’Malley, M. Resilience of Renewable Power Systems under Climate Risks. Nat. Rev. Electr. Eng. 2024, 1, 53–66. [Google Scholar] [CrossRef]
- Jordehi, A.R.; Tabar, V.S.; Mansouri, S.A.; Sheidaei, F.; Ahmarinejad, A.; Pirouzi, S. Two-Stage Stochastic Programming for Scheduling Microgrids with High Wind Penetration Including Fast Demand Response Providers and Fast-Start Generators. Sustain. Energy Grids Netw. 2022, 31, 100694. [Google Scholar] [CrossRef]
- Bie, Z.; Lin, Y.; Li, G.; Li, F. Battling the Extreme: A Study on the Power System Resilience. Proc. IEEE 2017, 105, 1253–1266. [Google Scholar] [CrossRef]
- Craig, M.T.; Wohland, J.; Stoop, L.P.; Kies, A.; Pickering, B.; Bloomfield, H.C.; Browell, J.; De Felice, M.; Dent, C.J.; Deroubaix, A.; et al. Overcoming the Disconnect between Energy System and Climate Modeling. Joule 2022, 6, 1405–1417. [Google Scholar] [CrossRef]
- Liu, Z.; Xu, L.; Lu, Q. Comprehensive Typhoon Hazard Zoning in China Based on Historical Records. Geomat. Nat. Hazards Risk 2024, 15, 2300813. [Google Scholar] [CrossRef]
- Wang, Z.; Wang, Z. A Novel Preventive Islanding Scheme of Power System under Extreme Typhoon Events. Int. J. Electr. Power Energy Syst. 2023, 147, 108857. [Google Scholar] [CrossRef]
- Rong, J.; Zhou, M.; Li, G. Resilience-Oriented Restoration Strategy by Offshore Wind Power Considering Risk. CSEE J. Power Energy Syst. 2023, 9, 2052–2065. [Google Scholar] [CrossRef]
- Tang, W.; Yang, Y.; Li, Y.; Lu, J.; Wu, Q. Investigation on Resilience Assessment and Enhancement for Power Transmission Systems Under Extreme Meteorological Disasters. Proc. Chin. Soc. Electr. Eng. 2020, 40, 2244–2254+2403. (In Chinese) [Google Scholar] [CrossRef]
- Lu, P.; Xu, M.; Sun, A.; Wang, Z.; Zheng, Z. Typhoon Tracks Prediction with ConvLSTM Fused Reanalysis Data. Electronics 2022, 11, 3279. [Google Scholar] [CrossRef]
- Gautam, P.; Piya, P.; Karki, R. Resilience Assessment of Distribution Systems Integrated With Distributed Energy Resources. IEEE Trans. Sustain. Energy 2021, 12, 338–348. [Google Scholar] [CrossRef]
- Gautam, M.; Ben-Idris, M. Optimal Sizing of Movable Energy Resources for Enhanced Resilience in Distribution Systems: A Techno-Economic Analysis. Electronics 2023, 12, 4256. [Google Scholar] [CrossRef]
- Zhang, W.; Shao, C.; Hu, B.; Xie, K.; Siano, P.; Li, M.; Cao, M. Transmission Defense Hardening Against Typhoon Disasters Under Decision-Dependent Uncertainty. IEEE Trans. Power Syst. 2023, 38, 2653–2665. [Google Scholar] [CrossRef]
- Watson, E.B.; Etemadi, A.H. Modeling Electrical Grid Resilience Under Hurricane Wind Conditions With Increased Solar and Wind Power Generation. IEEE Trans. Power Syst. 2020, 35, 929–937. [Google Scholar] [CrossRef]
- Ceferino, L.; Lin, N.; Xi, D. Stochastic Modeling of Solar Irradiance during Hurricanes. Stoch. Environ. Res. Risk Assess. 2022, 36, 2681–2693. [Google Scholar] [CrossRef]
- Zheng, X.; Xie, L.; Lee, K.; Fu, D.; Wu, J. Impact of Climate Simulation Resolutions on Future Energy System Reliability Assessment: A Texas Case Study. iEnergy 2023, 2, 222–230. [Google Scholar] [CrossRef]
- Wang, S.; Foley, A.M.; Chen, N.; Chen, B. Risk-Based Dispatch Strategy for a Power System with High Wind Power Integration Considering Damage Due to Typhoons. Electr. Power Compon. Syst. 2023, 51, 2098–2115. [Google Scholar] [CrossRef]
- Silva, F.T.d.; Baierle, I.C.; Correa, R.G.d.F.; Sellitto, M.A.; Peres, F.A.P.; Kipper, L.M. Open Innovation in Agribusiness: Barriers and Challenges in the Transition to Agriculture 4.0. Sustainability 2023, 15, 8562. [Google Scholar] [CrossRef]
- Gerhardt, V.J.; Mairesse Siluk, J.C.; Baierle, I.C.; Michelin, C. de F. Theoretical Model for Identifying Market Development Indicators. Int. J. Product. Perform. Manag. 2021, 71, 2659–2679. [Google Scholar] [CrossRef]
- Wang, Y.; Yang, Y.; Xu, Q. Reliability Assessment for Integrated Power-Gas Systems Considering Renewable Energy Uncertainty and Cascading Effects. CSEE J. Power Energy Syst. 2023, 9, 1214–1226. [Google Scholar] [CrossRef]
- Pourdaryaei, A.; Shahriari, A.; Mohammadi, M.; Aghamohammadi, M.R.; Karimi, M.; Kauhaniemi, K. A New Approach for Long-Term Stability Estimation Based on Voltage Profile Assessment for a Power Grid. Energies 2023, 16, 2508. [Google Scholar] [CrossRef]
- Zhang, H.; Yuan, H.; Li, G.; Lin, Y. Quantitative Resilience Assessment under a Tri-Stage Framework for Power Systems. Energies 2018, 11, 1427. [Google Scholar] [CrossRef]
- Panteli, M.; Trakas, D.N.; Mancarella, P.; Hatziargyriou, N.D. Power Systems Resilience Assessment: Hardening and Smart Operational Enhancement Strategies. Proc. IEEE 2017, 105, 1202–1213. [Google Scholar] [CrossRef]
- Panteli, M.; Mancarella, P.; Trakas, D.N.; Kyriakides, E.; Hatziargyriou, N.D. Metrics and Quantification of Operational and Infrastructure Resilience in Power Systems. IEEE Trans. Power Syst. 2017, 32, 4732–4742. [Google Scholar] [CrossRef]
- Raoufi, H.; Vahidinasab, V.; Mehran, K. Power Systems Resilience Metrics: A Comprehensive Review of Challenges and Outlook. Sustainability 2020, 12, 9698. [Google Scholar] [CrossRef]
- Zhang, H.; Ma, S.; Ding, T.; Lin, Y.; Shahidehpour, M. Multi-Stage Multi-Zone Defender-Attacker-Defender Model for Optimal Resilience Strategy With Distribution Line Hardening and Energy Storage System Deployment. IEEE Trans. Smart Grid 2021, 12, 1194–1205. [Google Scholar] [CrossRef]
- Nassif, A.B.; Ericson, S.; Abbey, C.; Jeffers, R.; Hotchkiss, E.; Bahramirad, S. Valuing Resilience Benefits of Microgrids for an Interconnected Island Distribution System. Electronics 2022, 11, 4206. [Google Scholar] [CrossRef]
- Yao, D.; Han, J.; Li, Q.; Wang, Q.; Li, C.; Zhang, D.; Li, M.; Tian, C. An Intelligent Risk Forewarning Method for Operation of Power System Considering Multi-Region Extreme Weather Correlation. Electronics 2023, 12, 3487. [Google Scholar] [CrossRef]
- Wen, X.; Wu, T.; Wang, H.; Peng, J.; Jiang, H. A Novel Transient Stability Control Strategy for an AC/MTDC Grid Under N-k Contingency Induced by Typhoon Extreme Weather. IEEE Trans. Power Deliv. 2023, 38, 3441–3454. [Google Scholar] [CrossRef]
- Yang, Y.; Tang, W.; Liu, Y.; Xin, Y.; Wu, Q. Quantitative Resilience Assessment for Power Transmission Systems Under Typhoon Weather. IEEE Access 2018, 6, 40747–40756. [Google Scholar] [CrossRef]
- Amirioun, M.H.; Aminifar, F.; Lesani, H.; Shahidehpour, M. Metrics and Quantitative Framework for Assessing Microgrid Resilience against Windstorms. Int. J. Electr. Power Energy Syst. 2019, 104, 716–723. [Google Scholar] [CrossRef]
- Bajpai, P.; Chanda, S.; Srivastava, A.K. A Novel Metric to Quantify and Enable Resilient Distribution System Using Graph Theory and Choquet Integral. IEEE Trans. Smart Grid 2018, 9, 2918–2929. [Google Scholar] [CrossRef]
- Zhang, G.; Zhang, F.; Wang, X.; Zhang, X. Fast Resilience Assessment of Distribution Systems With a Non-Simulation-Based Method. IEEE Trans. Power Deliv. 2022, 37, 1088–1099. [Google Scholar] [CrossRef]
- Liu, C.; Yu, J.; Zhu, X.; Wang, D.; Guan, X. Global Maximum Flow Based Time-Domain Simulation Method for Evaluating Power System Resilience. Energy Rep. 2023, 9, 532–541. [Google Scholar] [CrossRef]
- Dehghani, A.; Sedighizadeh, M.; Haghjoo, F. Defining a New Index to Compare the Resilience of Different Structures of an Electrical Energy Network. IET Gener. Transm. Distrib. 2023, 17, 875–895. [Google Scholar] [CrossRef]
- Lu, J.; Guo, J.; Jian, Z.; Yang, Y.; Tang, W. Dynamic Assessment of Resilience of Power Transmission Systems in Ice Disasters. In Proceedings of the 2018 International Conference on Power System Technology (POWERCON), Guangzhou, China, 6–8 November 2018; pp. 7–13. [Google Scholar]
- Chang, D.; Amin, S.; Emanuel, K. Modeling and Parameter Estimation of Hurricane Wind Fields with Asymmetry. J. Appl. Meteorol. Climatol. 2020, 59, 687–705. [Google Scholar] [CrossRef]
- Wu, Y.; Dou, S.; Fan, Y.; Yu, S.; Dai, W. Research on the Influential Characteristics of Asymmetric Wind Fields on Typhoon Waves. Front. Mar. Sci. 2023, 10, 1113494. [Google Scholar] [CrossRef]
- Wang, C.; Zhang, H.; Feng, K.; Li, Q. A Simple Gradient Wind Field Model for Translating Tropical Cyclones. Nat. Hazards 2017, 88, 651–658. [Google Scholar] [CrossRef]
- Tian, Z.; Zhang, Y. Numerical Estimation of the Typhoon-Induced Wind and Wave Fields in Taiwan Strait. Ocean. Eng. 2021, 239, 109803. [Google Scholar] [CrossRef]
- Willoughby, H.E.; Rahn, M.E. Parametric Representation of the Primary Hurricane Vortex. Part I: Observations and Evaluation of the Holland (1980) Model. Mon. Weather Rev. 2004, 132, 3033–3048. [Google Scholar] [CrossRef]
- Batts, M.E.; Simiu, E.; Russell, L.R. Hurricane Wind Speeds in the United States. J. Struct. Div. 1980, 106, 2001–2016. [Google Scholar] [CrossRef]
- Mitsuta, Y.; Fujii, T. Analysis and Synthesis of Typhoon Wind Pattern over Japan. Bull. Disaster Prev. Res. Inst. 1987, 37, 169–185. [Google Scholar]
- Jelesnianski, C.; Chen, J.; Shaffer, W. SLOSH: Sea, Lake, and Overland Surges from Hurricanes; US Department of Commerce; National Oceanic and Atmospheric Administration; National Weather Service: Silver Spring, MD, USA, 1992.
- Jelesnianski, C.P. Numerical computations of storm surges without bottom stress. Mon. Weather Rev. 1966, 94, 379–394. [Google Scholar] [CrossRef]
- Holland, G.J. An Analytic Model of the Wind and Pressure Profiles in Hurricanes. Mon. Weather Rev. 1980, 108, 1212–1218. [Google Scholar] [CrossRef]
- Miyazaki, M. Theoretical Investigations of Typhoon Surges along the Japanese Coast (II).: Miyazaki, M., T. Ueno, and S. Unoki, 1962. Oceanogr. Mag., 13 (2): 103–118. Deep. Sea Res. Oceanogr. Abstr. 1963, 10, 347. [Google Scholar] [CrossRef]
- Liu, R.; Ming, J. Comparative analysis of the characteristics of the tropical cyclone sea surface inflow angle and drag coefficient in the Atlantic and the Western Pacific oceans. Chin. J. Geophys. Chin. Ed. 2021, 64, 2579–2589. [Google Scholar] [CrossRef]
- Meng, Y.; Matsui, M.; Hibi, K. A Numerical Study of the Wind Field in a Typhoon Boundary Layer. J. Wind. Eng. Ind. Aerodyn. 1997, 67, 437–448. [Google Scholar] [CrossRef]
- Harper, B.A.; Kepert, J.D.; Ginger, J.D. Guidelines for Converting between Various Wind Averaging Periods in Tropical Cyclone Conditions; WMO/TD-No. 1555; World Meteorological Organization: Geneva, Switzerland, 2010. [Google Scholar]
- Sun, W.; Zamani, M.; Hesamzadeh, M.R.; Zhang, H.-T. Data-Driven Probabilistic Optimal Power Flow With Nonparametric Bayesian Modeling and Inference. IEEE Trans. Smart Grid 2020, 11, 1077–1090. [Google Scholar] [CrossRef]
- Dai, L.; You, D.; Yin, X. Data Driven Robust Energy and Reserve Dispatch Based on a Nonparametric Dirichlet Process Gaussian Mixture Model. Energies 2020, 13, 4642. [Google Scholar] [CrossRef]
- GB 50545-2010; Code for Design of 110–750 kV Overhead Transmission Line. China Planning Press: Beijing, China, 2010.
- IEC 60826:2017; Design Criteria of Overhead Transmission Lines. International Electrotechnical Commission: Geneva, Switzerland, 2017.
- Pakdaman, Z.; Shekari, M.; Zamani, H. Stress-Strength Reliability of a Failure Profile with Components Operating under the Internal Environmental Factors. Int. J. Reliab. Qual. Saf. Eng. 2023, 30, 2350019. [Google Scholar] [CrossRef]
- Zimmerman, R.D.; Murillo-Sánchez, C.E.; Thomas, R.J. MATPOWER: Steady-State Operations, Planning, and Analysis Tools for Power Systems Research and Education. IEEE Trans. Power Syst. 2011, 26, 12–19. [Google Scholar] [CrossRef]
- Cheng, Q.Y. Structure Entropy Weight Method to Confirm the Weight of Evaluating Index. Syst. Eng. Theory Pract. 2010, 30, 1225–1228. [Google Scholar]
- Shih, H.-S.; Shyur, H.-J.; Lee, E.S. An Extension of TOPSIS for Group Decision Making. Math. Comput. Model. 2007, 45, 801–813. [Google Scholar] [CrossRef]
- Zhang, Y.Q.; Xu, Z.; Yu, H.H.; Qiu, Z.X. Study on Practical Probability Density Function of Solar Irradiation in Multi-orientations. Acta Energiae Solaris Sin. 2022, 43, 132–139. (In Chinese) [Google Scholar] [CrossRef]
- Xu, Z.; Hu, X.Y.; Chen, Q.; Qiu, Z.X. Measurement and Study of Solar Energy Resource in Different Orientations. Acta Energiae Solaris Sin. 2016, 37, 891–896. (In Chinese) [Google Scholar]










| Characteristic | Meaning of Indicator | Indicator | Formula |
|---|---|---|---|
| Priority | Extent of disaster impact on critical loads | Critical load shedding ratio | |
| Robustness | Extent of system capacity to withstand disasters | Load shedding area | |
| Maximum amount of load shedding | |||
| Rapidity | Extent of rate of load loss and recovery | Load loss time | |
| Load recovery time | |||
| Sustainability | Duration of the whole power outage | Duration of load shedding |
| Typhoon | Metric | Batts | Schloemer | Jelenianski | Holland |
|---|---|---|---|---|---|
| Mangkhut | RMSE (m/s) | 5.6529 | 3.8228 | 6.9350 | 6.2127 |
| MAX (m/s) | 13.6139 | 7.7891 | 12.9693 | 12.1958 | |
| CORR | 0.8484 | 0.8904 | 0.9596 | 0.8314 | |
| Nida | RMSE (m/s) | 3.8307 | 8.2924 | 4.0466 | 5.3877 |
| MAX (m/s) | 10.3402 | 16.4574 | 12.4107 | 19.2329 | |
| CORR | 0.8244 | 0.8591 | 0.8598 | 0.8952 | |
| Merbok | RMSE (m/s) | 3.9093 | 7.8796 | 5.0239 | 6.5380 |
| MAX (m/s) | 9.7544 | 15.3631 | 11.7101 | 15.6131 | |
| CORR | 0.6300 | 0.6530 | 0.7648 | 0.7739 |
| Number | Line Number | Failure Probability |
|---|---|---|
| 1 | 22 | 0.3294 |
| 2 | 30 | 0.3066 |
| 3 | 23 | 0.2895 |
| 4 | 25 | 0.2734 |
| 5 | 19 | 0.2727 |
| 6 | 24 | 0.2726 |
| 7 | 15 | 0.2592 |
| 8 | 1 | 0.2540 |
| 9 | 18 | 0.2516 |
| 10 | 4 | 0.2493 |
| Typhoon Condition | R1 | R2 (MW·h) | R3 (MW) | R4 (h) | R5 (h) | R6 (h) | CRI |
|---|---|---|---|---|---|---|---|
| Typhoon Mangkhut | 1.7969 | 235.8329 | 21.6249 | 7 | 3 | 16 | 0.3826 |
| Typhoon Nida | 1.8595 | 60.4766 | 4.9567 | 5 | 3 | 17 | 0.4267 |
| Typhoon Merbok | 1 | 0 | 0 | 10 | 0 | 0 | 1 |
| Wind Load (kN) | (N − 1)1 | (N − 1)2 | (N − 1)3 | (N − 1)4 | (N − 1)5 | (N − 1)6 | (N − 1)7 | (N − 1)8 | (N − 1)9 | CRI |
|---|---|---|---|---|---|---|---|---|---|---|
| 0.8 W0 | 0 | 0 | 0 | 0 | 0.0021 | 0.0165 | 0.0599 | 0.2665 | 0.6550 | 0.1554 |
| 0.9 W0 | 0 | 0 | 0 | 0.0059 | 0.0138 | 0.0648 | 0.1356 | 0.2947 | 0.4853 | 0.2405 |
| W0 | 0 | 0 | 0.0018 | 0.0132 | 0.0475 | 0.0991 | 0.1887 | 0.2851 | 0.3646 | 0.2749 |
| 1.1 W0 | 0.0051 | 0.0205 | 0.0660 | 0.1222 | 0.1874 | 0.2026 | 0.1774 | 0.1357 | 0.0831 | 0.3276 |
| 1.2 W0 | 0.0311 | 0.1025 | 0.1710 | 0.2243 | 0.1924 | 0.1428 | 0.0819 | 0.0452 | 0.0089 | 0.3517 |
| 1.3 W0 | 0.1054 | 0.2252 | 0.2558 | 0.2136 | 0.1153 | 0.0603 | 0.0178 | 0.0054 | 0.0012 | 0.3942 |
| 1.4 W0 | 0.2687 | 0.3055 | 0.2346 | 0.1265 | 0.0473 | 0.0153 | 0.0022 | 0 | 0 | 0.4009 |
| 1.5 W0 | 0.4106 | 0.3385 | 0.1788 | 0.0534 | 0.0171 | 0.0015 | 0 | 0 | 0 | 0.4164 |
Disclaimer/Publisher’s Note: The statements, opinions and data contained in all publications are solely those of the individual author(s) and contributor(s) and not of MDPI and/or the editor(s). MDPI and/or the editor(s) disclaim responsibility for any injury to people or property resulting from any ideas, methods, instructions or products referred to in the content. |
© 2024 by the authors. Licensee MDPI, Basel, Switzerland. This article is an open access article distributed under the terms and conditions of the Creative Commons Attribution (CC BY) license (https://creativecommons.org/licenses/by/4.0/).
Share and Cite
Wang, W.; Shi, L.; Qiu, Z. Multi-Indicator Fused Resilience Assessment of Power Grids Considering Wind-Photovoltaic Output Uncertainty during Typhoon Disasters. Electronics 2024, 13, 745. https://doi.org/10.3390/electronics13040745
Wang W, Shi L, Qiu Z. Multi-Indicator Fused Resilience Assessment of Power Grids Considering Wind-Photovoltaic Output Uncertainty during Typhoon Disasters. Electronics. 2024; 13(4):745. https://doi.org/10.3390/electronics13040745
Chicago/Turabian StyleWang, Wanlin, Libao Shi, and Zongxu Qiu. 2024. "Multi-Indicator Fused Resilience Assessment of Power Grids Considering Wind-Photovoltaic Output Uncertainty during Typhoon Disasters" Electronics 13, no. 4: 745. https://doi.org/10.3390/electronics13040745
APA StyleWang, W., Shi, L., & Qiu, Z. (2024). Multi-Indicator Fused Resilience Assessment of Power Grids Considering Wind-Photovoltaic Output Uncertainty during Typhoon Disasters. Electronics, 13(4), 745. https://doi.org/10.3390/electronics13040745

