Local-Global Spatial-Temporal Graph Convolutional Network for Traffic Flow Forecasting
Abstract
1. Introduction
- A graph attention residual network layer is proposed for capturing global spatial dependencies, and richer information about the spatial semantics of different channels can be learned through residual connections.
- A module based on T-GCN is added for extracting real-time spatial-temporal dependence. The graph convolution of the module can learn the dynamic influence of neighboring roads in the current time step.
- A transformer layer is presented for extracting the global temporal dependence of the traffic flow data. The positional encoding scheme used in the layer enables the included self-attention mechanism to identify the position characteristics of the traffic sequence.
- Experiments of different baseline methods, different hyperparameter settings, and ablation study of model modules are conducted. The experimental results show the accuracy and validation of the proposed model.
2. Related Work
2.1. Traditional Approaches
2.2. Deep Learning Approaches
2.3. Attention Mechanism
3. Problem Definition
4. Methodology
4.1. Global Spatial Dependency Modeling
4.2. Real-Time Local Spatial-Temporal Dependency Modeling
4.2.1. Local Spatial Dependency
4.2.2. Local Temporal Dependency
4.3. Global Temporal Dependency Modeling
4.3.1. Positional Encoding
4.3.2. Multi-Head Self-Attention Mechanism
4.3.3. Normalization Layer and Feed Forward Network Layer
5. Experiments
5.1. Datasets
5.2. Baseline Methods and Evaluation Metrics
5.3. Experimental Settings
5.4. Hyperparameters Analysis
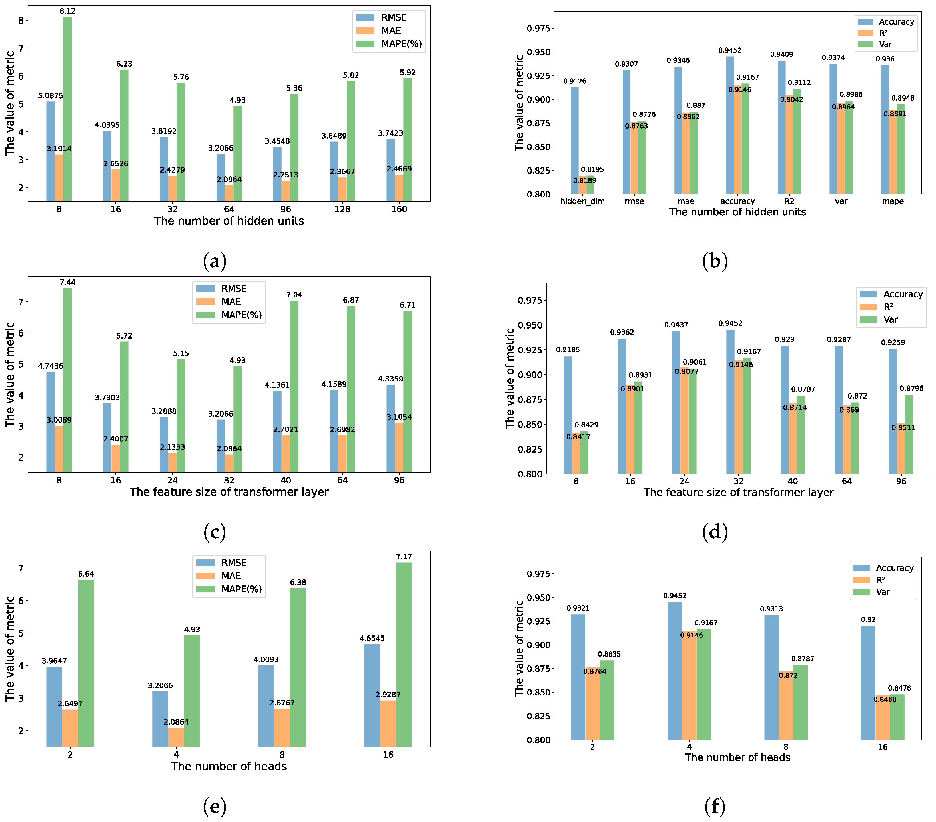
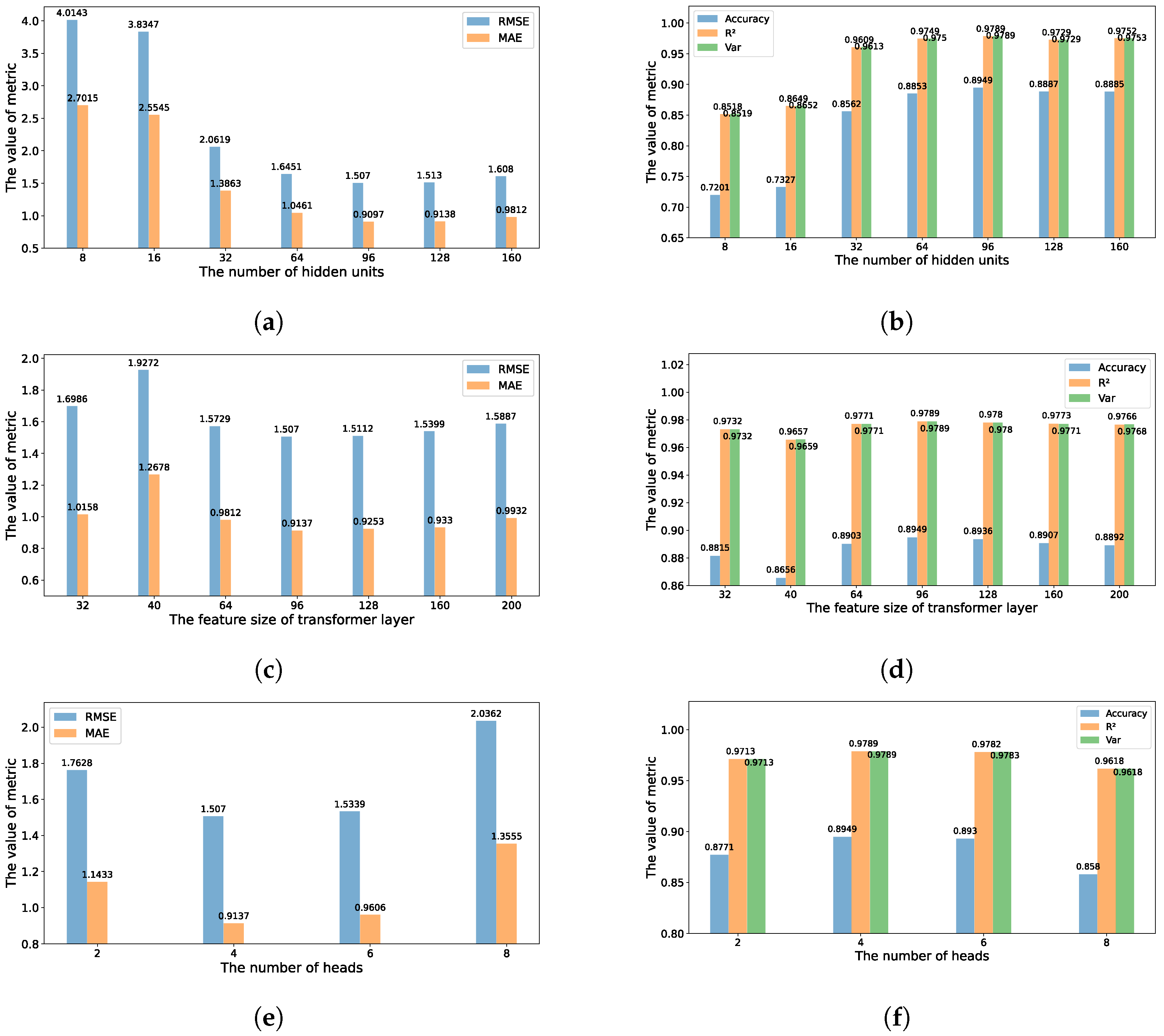
- The number of hidden units. The number of hidden units in a GRU model is a crucial hyperparameter influencing the model’s susceptibility to overfitting. An analysis was conducted by varying the number of hidden units within the range of [8, 16, 32, 64, 96, 128, 160] to examine the impact on the model’s prediction performance. Figure 6a,b and Figure 7a,b show the variation of evaluation metrics with different numbers of hidden units for the Los-loop and SZ-taxi datasets, respectively. It shows that the model prediction performance achieves its best when the number of hidden units in the two datasets is 64 or 96.
- The feature size of the transformer layer. The feature size of the transformer layer represents the feature dimensional information contained in the transformer layer. is set to the values in the range of [8, 16, 24, 32, 40, 64, 96] for the Los-loop dataset and [32, 40, 64, 96, 128, 160, 200] for the SZ-taxi dataset, respectively, to analyze the effects of transformer layers containing different numbers of feature information on prediction performance. Figure 6c,d and Figure 7c,d show the variation of metrics with different feature sizes of the transformer layer on the two datasets, respectively. It shows that the best prediction performance can be obtained with a feature size of the transformer layer of 32 on the Los-loop dataset, and 96 on the SZ-taxi dataset.
- The number of heads. The is also the number of subspaces in the multi-headed attention. To analyze the effects of different numbers of heads on the model’s performance, it is set to 2, 4, 8, and 16. Figure 6e,f and Figure 7e,f show the values of metrics with different numbers of heads on the two datasets. It shows that the best number of attention heads is four.
5.5. Experimental Results
5.6. Ablation Study
- NP_GS: In this variant, the graph attention residual network layer, which is used to capture global spatial dependency, is removed from LGSTGCN.
- NO_LST: This is a variant without T-GCN, which is used to capture real-time local spatial-temporal dependency.
- NO_GT: The transformer layer that can capture global temporal dependence is removed.
- NO_PE: The positional encoding of the transformer layer that can recognize the positional characteristics of the sequence is removed.
- NO_NC: This is a variant exchanging the graph attention residual network layer and T-GCN layer. Its graph convolution operation aggregates neighborhood information only according to static initial neighborhood features, ignoring the dynamic neighborhood features.
- Cross-regional spatial dependency is effective. The LGSTGCN model has a smaller prediction error compared to the NO_GS variant on both datasets. It indicates that cross-regional spatial dependence is effective to increase the prediction performance.
- Real-time local spatial-temporal dependency is significant. As shown in Table 5, for the Los-loop dataset, the forecasting capability of the NO_LST is worse than that of the LGSTGCN model. It means that the lack of local spatial-temporal information can lead to degradation in prediction performance. For the SZ-taxi dataset, the LGSTGCN model has the best performance in both 15 min and 30 min prediction. However, NO_LST is better than LGSTGCN in 60 min prediction. It may be because the correlations between the traffic flow data are reduced as the prediction horizon increases on the one hand. On the other hand, the wrong information at the current time may be learned due to the continuous missing values and noise figures existing in the dataset.
- Global temporal dependency is necessary. The forecasting capability of the NO_GT on the two datasets degrades significantly, which shows that the global temporal dependence module in the LGSTGCN model can improve the forecasting capabilities greatly.
- Positional information is effective. The NO_PE without positional encoding is unable to identify the order between related sequences when processing global temporal information. Thus, it is necessary to consider sequence position information.
- Dynamic neighborhood correlation is important. The NO_NC only aggregates information of neighborhood nodes based on static spatial distance and cannot capture the dynamic features. Thus, the prediction results of the NO_NC are poor. It indicates that it is important to take the influence of neighborhood nodes into account.
5.7. Analysis of Visualization
6. Conclusions
Author Contributions
Funding
Data Availability Statement
Conflicts of Interest
References
- Sepideh Kaffash, A.T.N.; Zhu, J. Big data algorithms and applications in intelligent transportation system: A review and bibliometric analysis. Int. J. Prod. Econ. 2021, 231, 107868. [Google Scholar] [CrossRef]
- Chandra Shit, R. Crowd intelligence for sustainable futuristic intelligent transportation system: A review. IET Intel. Transp. Syst. 2020, 14, 480–494. [Google Scholar] [CrossRef]
- Kong, X.; Wang, K.; Hou, M.; Xia, F.; Karmakar, G.; Li, J. Exploring Human Mobility for Multi-Pattern Passenger Prediction: A Graph Learning Framework. IEEE Trans. Intell. Transp. Syst. 2022, 23, 16148–16160. [Google Scholar] [CrossRef]
- Lv, Z.; Lou, R.; Singh, A.K. AI Empowered Communication Systems for Intelligent Transportation Systems. IEEE Trans. Intell. Transp. Syst. 2021, 22, 4579–4587. [Google Scholar] [CrossRef]
- Hamed, M.M.; Al-Masaeid, H.R.; Said, Z.M.B. Short-Term Prediction of Traffic Volume in Urban Arterials. J. Transp. Eng. 1995, 121, 249–254. [Google Scholar] [CrossRef]
- Xiaoyu, H.; Yisheng, W.; Siyu, H. Short-term Traffic Flow Forecasting based on Two-tier K-nearest Neighbor Algorithm. Proc. Soc. Behav. Sci. 2013, 96, 2529–2536. [Google Scholar] [CrossRef]
- Wu, C.H.; Ho, J.M.; Lee, D. Travel-time prediction with support vector regression. IEEE Trans. Intell. Transp. Syst. 2004, 5, 276–281. [Google Scholar] [CrossRef]
- Yao, H.; Tang, X.; Wei, H.; Zheng, G.; Li, Z. Revisiting Spatial-Temporal Similarity: A Deep Learning Framework for Traffic Prediction. Proc. AAAI Conf. Artif. Intell. 2019, 33, 5668–5675. [Google Scholar] [CrossRef]
- Chen, C.; Liu, Z.; Wan, S.; Luan, J.; Pei, Q. Traffic Flow Prediction Based on Deep Learning in Internet of Vehicles. IEEE Trans. Intell. Transp. Syst. 2021, 22, 3776–3789. [Google Scholar] [CrossRef]
- Gu, Y.; Lu, W.; Xu, X.; Qin, L.; Shao, Z.; Zhang, H. An Improved Bayesian Combination Model for Short-Term Traffic Prediction With Deep Learning. IEEE Trans. Intell. Transp. Syst. 2020, 21, 1332–1342. [Google Scholar] [CrossRef]
- Apostolopoulos, I.D.; Mpesiana, T.A. COVID-19: Automatic detection from X-ray images utilizing transfer learning with convolutional neural networks. Phys. Eng. Sci. Med. 2020, 43, 635–640. [Google Scholar] [CrossRef] [PubMed]
- Liu, Y.; Gu, J.; Goyal, N.; Li, X.; Edunov, S.; Ghazvininejad, M.; Lewis, M.; Zettlemoyer, L. Multilingual Denoising Pre-training for Neural Machine Translation. Trans. Assoc. Comput. Linguist. 2020, 8, 726–742. [Google Scholar] [CrossRef]
- Zhang, Y.; Wang, S.; Chen, B.; Cao, J.; Huang, Z. TrafficGAN: Network-Scale Deep Traffic Prediction With Generative Adversarial Nets. IEEE Trans. Intell. Transp. Syst. 2021, 22, 219–230. [Google Scholar] [CrossRef]
- Liu, Y.; Yu, J.J.Q.; Kang, J.; Niyato, D.; Zhang, S. Privacy-Preserving Traffic Flow Prediction: A Federated Learning Approach. IEEE Internet Things J. 2020, 7, 7751–7763. [Google Scholar] [CrossRef]
- Zhang, K.; Liu, Z.; Zheng, L. Short-Term Prediction of Passenger Demand in Multi-Zone Level: Temporal Convolutional Neural Network With Multi-Task Learning. IEEE Trans. Intell. Transp. Syst. 2020, 21, 1480–1490. [Google Scholar] [CrossRef]
- Cui, Z.; Ke, R.; Pu, Z.; Wang, Y. Stacked bidirectional and unidirectional LSTM recurrent neural network for forecasting network-wide traffic state with missing values. Transp. Res. Part C Emerg. Technol. 2020, 118, 102674. [Google Scholar] [CrossRef]
- Liu, C.; Xiao, Z.; Wang, D.; Wang, L.; Jiang, H.; Chen, H.; Yu, J. Exploiting Spatiotemporal Correlations of Arrive-Stay-Leave Behaviors for Private Car Flow Prediction. IEEE Trans. Netw. Sci. Eng. 2022, 9, 834–847. [Google Scholar] [CrossRef]
- Guo, S.; Lin, Y.; Wan, H.; Li, X.; Cong, G. Learning Dynamics and Heterogeneity of Spatial-Temporal Graph Data for Traffic Forecasting. IEEE Trans. Knowl. Data Eng. 2022, 34, 5415–5428. [Google Scholar] [CrossRef]
- Yu, B.; Yin, H.; Zhu, Z. Spatio-temporal graph convolutional networks: A deep learning framework for traffic forecasting. arXiv 2017, arXiv:1709.04875. [Google Scholar]
- Wu, Z.; Pan, S.; Long, G.; Jiang, J.; Chang, X.; Zhang, C. Connecting the Dots: Multivariate Time Series Forecasting with Graph Neural Networks. In Proceedings of the 26th ACM SIGKDD Conference on Knowledge Discovery and Data Mining, Virtual, 6–10 July 2020; pp. 753–763. [Google Scholar] [CrossRef]
- Zhang, Z.; Li, M.; Lin, X.; Wang, Y.; He, F. Multistep speed prediction on traffic networks: A graph convolutional sequence-to-sequence learning approach with attention mechanism. arXiv 2018, arXiv:1810.10237. [Google Scholar]
- Geng, X.; Li, Y.; Wang, L.; Zhang, L.; Yang, Q.; Ye, J.; Liu, Y. Spatiotemporal Multi-Graph Convolution Network for Ride-Hailing Demand Forecasting. Proc. AAAI Conf. Artif. Intell. 2019, 33, 3656–3663. [Google Scholar] [CrossRef]
- Guo, K.; Hu, Y.; Qian, Z.; Sun, Y.; Gao, J.; Yin, B. Dynamic Graph Convolution Network for Traffic Forecasting Based on Latent Network of Laplace Matrix Estimation. IEEE Trans. Intell. Transp. Syst. 2022, 23, 1009–1018. [Google Scholar] [CrossRef]
- Guo, S.; Lin, Y.; Feng, N.; Song, C.; Wan, H. Attention Based Spatial-Temporal Graph Convolutional Networks for Traffic Flow Forecasting. Proc. AAAI Conf. Artif. Intell. 2019, 33, 922–929. [Google Scholar] [CrossRef]
- Li, Y.; Yu, R.; Shahabi, C.; Liu, Y. Diffusion Convolutional Recurrent Neural Network: Data-Driven Traffic Forecasting. In Proceedings of the International Conference on Learning Representations, ICLR 2018, Vancouver, BC, Canada, 30 April–3 May 2018. [Google Scholar]
- Zhao, L.; Song, Y.; Zhang, C.; Liu, Y.; Wang, P.; Lin, T.; Deng, M.; Li, H. T-GCN: A Temporal Graph Convolutional Network for Traffic Prediction. IEEE Trans. Intell. Transp. Syst. 2020, 21, 3848–3858. [Google Scholar] [CrossRef]
- Cho, K.; Van Merriënboer, B.; Bahdanau, D.; Bengio, Y. On the properties of neural machine translation: Encoder-decoder approaches. arXiv 2014, arXiv:1409.1259. [Google Scholar]
- Yao, H.; Wu, F.; Ke, J.; Tang, X.; Jia, Y.; Lu, S.; Gong, P.; Ye, J.; Chuxing, D.; Li, Z. Deep Multi-View Spatial-Temporal Network for Taxi Demand Prediction. Intl. Conf. Artif. Intell. 2018, 32, 11836. [Google Scholar] [CrossRef]
- Zhang, X.; Huang, C.; Xu, Y.; Xia, L.; Dai, P.; Bo, L.; Zhang, J.; Zheng, Y. Traffic Flow Forecasting with Spatial-Temporal Graph Diffusion Network. Proc. AAAI Conf. Artif. Intell. 2021, 35, 15008–15015. [Google Scholar] [CrossRef]
- Wang, X.; Ma, Y.; Wang, Y.; Jin, W.; Wang, X.; Tang, J.; Jia, C.; Yu, J. Traffic Flow Prediction via Spatial Temporal Graph Neural Network. In Proceedings of the Web Conference, New York, NY, USA, 18 May 2020; pp. 1082–1092. [Google Scholar] [CrossRef]
- Fu, R.; Zhang, Z.; Li, L. Using LSTM and GRU neural network methods for traffic flow prediction. In Proceedings of the 2016 31st Youth Academic Annual Conference of Chinese Association of Automation (YAC), Wuhan, China, 11–13 November 2016; pp. 324–328. [Google Scholar] [CrossRef]
- Wei, G. A Summary of Traffic Flow Forecasting Methods. J. Highw. Transp. Res. Dev. 2004, 21, 82–85. [Google Scholar]
- Ma, X.; Tao, Z.; Wang, Y.; Yu, H.; Wang, Y. Long short-term memory neural network for traffic speed prediction using remote microwave sensor data. Transp. Res. Part C Emerg. Technol. 2015, 54, 187–197. [Google Scholar] [CrossRef]
- Zhang, J.; Zheng, Y.; Qi, D.; Li, R.; Yi, X.; Li, T. Predicting citywide crowd flows using deep spatio-temporal residual networks. Artif. Intell. 2018, 259, 147–166. [Google Scholar] [CrossRef]
- Wang, Y.; Zheng, J.; Du, Y.; Huang, C.; Li, P. Traffic-GGNN: Predicting Traffic Flow via Attentional Spatial-Temporal Gated Graph Neural Networks. IEEE Trans. Intell. Transp. Syst. 2022, 23, 18423–18432. [Google Scholar] [CrossRef]
- Cui, Z.; Henrickson, K.; Ke, R.; Wang, Y. Traffic Graph Convolutional Recurrent Neural Network: A Deep Learning Framework for Network-Scale Traffic Learning and Forecasting. IEEE Trans. Intell. Transp. Syst. 2020, 21, 4883–4894. [Google Scholar] [CrossRef]
- Liu, L.; Chen, J.; Wu, H.; Zhen, J.; Li, G.; Lin, L. Physical-Virtual Collaboration Modeling for Intra- and Inter-Station Metro Ridership Prediction. IEEE Trans. Intell. Transp. Syst. 2022, 23, 3377–3391. [Google Scholar] [CrossRef]
- Zhao, J.; Chen, C.; Liao, C.; Huang, H.; Ma, J.; Pu, H.; Luo, J.; Zhu, T.; Wang, S. 2F-TP: Learning Flexible Spatiotemporal Dependency for Flexible Traffic Prediction. IEEE Trans. Intell. Transp. Syst. 2022, 24, 15379–15391. [Google Scholar] [CrossRef]
- Zhang, X.; Xu, Y.; Shao, Y. Forecasting traffic flow with spatial–temporal convolutional graph attention networks. Neural. Comput. Appl. 2022, 34, 15457–15479. [Google Scholar] [CrossRef]
- Chen, G.; Gu, T.; Lu, J.; Bao, J.A.; Zhou, J. Person Re-Identification via Attention Pyramid. IEEE Trans. Image Process. 2021, 30, 7663–7676. [Google Scholar] [CrossRef]
- Li, J.; Wei, P.; Zheng, N. Nesting spatiotemporal attention networks for action recognition. Neurocomputing 2021, 459, 338–348. [Google Scholar] [CrossRef]
- Bai, J.; Zhu, J.; Song, Y.; Zhao, L.; Hou, Z.; Du, R.; Li, H. A3T-GCN: Attention Temporal Graph Convolutional Network for Traffic Forecasting. ISPRS Int. J. Geoinf. 2021, 10, 485. [Google Scholar] [CrossRef]
- Ye, X.; Fang, S.; Sun, F.; Zhang, C.; Xiang, S. Meta Graph Transformer: A Novel Framework for Spatial–Temporal Traffic Prediction. Neurocomputing 2022, 491, 544–563. [Google Scholar] [CrossRef]
- Xu, M.; Dai, W.; Liu, C.; Gao, X.; Lin, W.; Qi, G.J.; Xiong, H. Spatial-temporal transformer networks for traffic flow forecasting. arXiv 2020, arXiv:2001.02908. [Google Scholar]
- Veličković, P.; Cucurull, G.; Casanova, A.; Romero, A.; Liò, P.; Bengio, Y. Graph Attention Networks. arXiv 2017, arXiv:1710.10903. [Google Scholar] [CrossRef]
- Vaswani, A.; Shazeer, N.; Parmar, N.; Uszkoreit, J.; Jones, L.; Gomez, A.N.; Kaiser, L.u.; Polosukhin, I. Attention is All you Need. arXiv 2017, arXiv:1706.03762. [Google Scholar] [CrossRef]
- Ahmed, M.S.; Cook, A.R. Analysis of freeway traffic time-series data by using Box-Jenkins techniques. Transp. Res. Rec. 1979, 1–9. [Google Scholar]
- Smola, A.J.; Schölkopf, B. A tutorial on support vector regression. Statist. Comput. 2004, 14, 199–222. [Google Scholar] [CrossRef]
- Zhang, Q.; Chang, J.; Meng, G.; Xiang, S.; Pan, C. Spatio-Temporal Graph Structure Learning for Traffic Forecasting. Proc. AAAI Conf. Artif. Intell. 2020, 34, 1177–1185. [Google Scholar] [CrossRef]
- Wu, Z.; Pan, S.; Long, G.; Jiang, J.; Zhang, C. Graph WaveNet for Deep Spatial-Temporal Graph Modeling. arXiv 2019, arXiv:1906.00121. [Google Scholar]
- Chen, W.; Chen, L.; Xie, Y.; Cao, W.; Gao, Y.; Feng, X. Multi-Range Attentive Bicomponent Graph Convolutional Network for Traffic Forecasting. Proc. AAAI Conf. Artif. Intell. 2020, 34, 3529–3536. [Google Scholar] [CrossRef]
- Zheng, C.; Fan, X.; Wang, C.; Qi, J. GMAN: A Graph Multi-Attention Network for Traffic Prediction. Proc. AAAI Conf. Artif. Intell. 2020, 34, 1234–1241. [Google Scholar] [CrossRef]
- Park, C.; Lee, C.; Bahng, H.; Tae, Y.; Jin, S.; Kim, K.; Ko, S.; Choo, J. ST-GRAT: A Novel Spatio-Temporal Graph Attention Networks for Accurately Forecasting Dynamically Changing Road Speed. In Proceedings of the 29th ACM International Conference on Information & Knowledge Management, Virtual, 19–23 October 2020; pp. 1215–1224. [Google Scholar] [CrossRef]
- Oreshkin, B.N.; Amini, A.; Coyle, L.; Coates, M. FC-GAGA: Fully Connected Gated Graph Architecture for Spatio-Temporal Traffic Forecasting. Proc. AAAI Conf. Artif. Intell. 2021, 35, 9233–9241. [Google Scholar] [CrossRef]
- Cai, L.; Janowicz, K.; Mai, G.; Yan, B.; Zhu, R. Traffic transformer: Capturing the continuity and periodicity of time series for traffic forecasting. Trans. GIS 2020, 24, 736–755. [Google Scholar] [CrossRef]
- Li, M.; Zhu, Z. Spatial-Temporal Fusion Graph Neural Networks for Traffic Flow Forecasting. Proc. AAAI Conf. Artif. Intell. 2021, 35, 4189–4196. [Google Scholar] [CrossRef]








| Datasets | Detectors | Steps | Time Range |
|---|---|---|---|
| Los-loop | 207 | 2016 | 3/1/2012–3/7/2012 |
| SZ-taxi | 156 | 2976 | 1/1/2015–1/31/2015 |
| METR-LA | 207 | 34,272 | 3/1/2012–6/30/2012 |
| PEMS-BAY | 325 | 52,116 | 1/1/2017–5/31/2017 |
| Time | Models | Los-Loop | |||||
|---|---|---|---|---|---|---|---|
| RMSE | MAE | Acc | Var | MAPE | |||
| HA | 7.3067 | 3.8782 | 0.8756 | 0.7225 | 0.7225 | 10.40% | |
| ARIMA | 10.0780 | 7.7013 | 0.8272 | * | * | 21.24% | |
| SVR | 6.6993 | 3.5352 | 0.8860 | 0.7667 | 0.7736 | 10.93% | |
| 15 min | GRU | 5.1264 | 3.0194 | 0.9116 | 0.8208 | 0.8219 | 8.16% |
| T-GCN | 5.1062 | 3.2169 | 0.9122 | 0.8229 | 0.8242 | 8.47% | |
| A3T-GCN | 5.0254 | 3.2110 | 0.9126 | 0.8232 | 0.8256 | 8.43% | |
| DCRNN | 5.1023 | 2.8447 | 0.9135 | 0.8596 | 0.8609 | 7.28% | |
| LGSTGCN | 3.2066 | 2.0864 | 0.9452 | 0.9146 | 0.9167 | 4.93% | |
| HA | 7.3067 | 3.8782 | 0.8756 | 0.7225 | 0.7225 | 10.40% | |
| ARIMA | 10.0793 | 7.7015 | 0.8272 | * | * | 21.24% | |
| SVR | 7.4739 | 3.9188 | 0.8727 | 0.7107 | 0.7191 | 12.42% | |
| 30 min | GRU | 6.3616 | 3.7495 | 0.8891 | 0.7038 | 0.7107 | 10.41% |
| T-GCN | 5.9534 | 3.8057 | 0.8961 | 0.7333 | 0.7350 | 10.58% | |
| A3T-GCN | 5.9472 | 3.6894 | 0.8974 | 0.7693 | 0.7713 | 10.26% | |
| DCRNN | 6.2034 | 3.2682 | 0.8948 | 0.7930 | 0.7959 | 9.03% | |
| LGSTGCN | 4.0867 | 2.6296 | 0.9300 | 0.8737 | 0.8752 | 6.51% | |
| HA | 7.3067 | 3.8782 | 0.8756 | 0.7225 | 0.7225 | 10.40% | |
| ARIMA | 10.0811 | 7.7031 | 0.8272 | * | * | 21.26% | |
| SVR | 8.6882 | 4.5724 | 0.8519 | 0.6117 | 0.6246 | 15.03% | |
| 60 min | GRU | 7.8011 | 4.6775 | 0.8635 | 0.5940 | 0.6087 | 13.85% |
| T-GCN | 6.9828 | 4.6541 | 0.8769 | 0.6143 | 0.6227 | 13.13% | |
| A3T-GCN | 6.9438 | 4.3689 | 0.8788 | 0.6546 | 0.6604 | 12.28% | |
| DCRNN | 7.5975 | 3.8723 | 0.8711 | 0.6903 | 0.6940 | 11.25% | |
| LGSTGCN | 5.2326 | 3.4093 | 0.9098 | 0.8171 | 0.8279 | 8.08% | |
| Time | Models | SZ-Taxi | |||||
|---|---|---|---|---|---|---|---|
| RMSE | MAE | Acc | Var | MAPE | |||
| 15 min | HA | 4.2341 | 2.7797 | 0.7049 | 0.8357 | 0.8357 | * |
| ARIMA | 6.8044 | 4.6800 | 0.3787 | * | * | * | |
| SVR | 4.1638 | 2.7060 | 0.7098 | 0.8411 | 0.8420 | * | |
| GRU | 4.1671 | 2.7757 | 0.7096 | 0.8402 | 0.8405 | * | |
| T-GCN | 4.0862 | 2.7857 | 0.7151 | 0.8464 | 0.8468 | * | |
| A3T-GCN | 4.0785 | 2.7545 | 0.7158 | 0.8469 | 0.8470 | * | |
| DCRNN | 4.2325 | 3.0878 | 0.7053 | 0.8366 | 0.8409 | * | |
| LGSTGCN | 1.5070 | 0.9137 | 0.8949 | 0.9789 | 0.9789 | * | |
| 30 min | HA | 4.2341 | 2.7797 | 0.7049 | 0.8357 | 0.8357 | * |
| ARIMA | 6.8043 | 4.6797 | 0.3787 | * | * | * | |
| SVR | 4.2097 | 2.7828 | 0.7066 | 0.8376 | 0.8393 | * | |
| GRU | 4.1198 | 2.8359 | 0.7128 | 0.8439 | 0.8451 | * | |
| T-GCN | 4.1059 | 2.7869 | 0.7137 | 0.8449 | 0.8455 | * | |
| A3T-GCN | 4.0894 | 2.7654 | 0.7158 | 0.8461 | 0.8463 | * | |
| DCRNN | 4.1324 | 2.6218 | 0.7122 | 0.8432 | 0.8432 | * | |
| LGSTGCN | 2.0152 | 1.2896 | 0.8605 | 0.9630 | 0.9631 | * | |
| 60 min | HA | 4.2341 | 2.7797 | 0.7049 | 0.8357 | 0.8357 | * |
| ARIMA | 6.7964 | 4.6757 | 0.3789 | * | * | * | |
| SVR | 4.2738 | 2.8594 | 0.7020 | 0.8326 | 0.8351 | * | |
| GRU | 4.1564 | 2.8675 | 0.7101 | 0.8408 | 0.8421 | * | |
| T-GCN | 4.1207 | 2.7973 | 0.7126 | 0.8435 | 0.8446 | * | |
| A3T-GCN | 4.1123 | 2.7180 | 0.7197 | 0.8443 | 0.8447 | * | |
| DCRNN | 4.3953 | 3.2705 | 0.6939 | 0.8242 | 0.8321 | * | |
| LGSTGCN | 3.8291 | 2.5682 | 0.7329 | 0.8649 | 0.8652 | * | |
| Time | Models | METR-LA | PEMS-BAY | ||||
|---|---|---|---|---|---|---|---|
| RMSE | MAE | MAPE | RMSE | MAE | MAPE | ||
| STGCN | 5.74 | 2.88 | 7.62% | 2.96 | 1.36 | 2.90% | |
| SLCNN | 5.18 | 2.53 | 6.70% | 2.90 | 1.44 | 3.00% | |
| DCRNN | 5.38 | 2.77 | 7.30% | 2.95 | 1.38 | 2.90% | |
| Graph WaveNet | 5.15 | 2.69 | 6.90% | 2.74 | 1.30 | 2.73% | |
| MRA-BGCN | 5.12 | 2.67 | 6.80% | 2.72 | 1.29 | 2.90% | |
| 15 min | GMAN | 5.48 | 2.77 | 7.25% | 2.82 | 1.34 | 2.81% |
| STGRAT | 5.07 | 2.60 | 6.61% | 2.71 | 1.29 | 2.67% | |
| FC-GAGA | 5.34 | 2.75 | 7.25% | 2.86 | 1.36 | 2.87% | |
| TSE-SC | 4.73 | 2.43 | 6.57% | 2.78 | 1.22 | 2.76% | |
| STGNN | 4.99 | 2.62 | 6.55% | 2.43 | 1.17 | 2.34% | |
| STFGNN | 4.73 | 2.57 | 6.51% | 2.33 | 1.16 | 2.41% | |
| LGSTGCN | 3.29 | 1.85 | 3.87% | 1.52 | 1.04 | 1.90% | |
| STGCN | 7.24 | 3.47 | 9.57% | 4.27 | 1.81 | 4.17% | |
| SLCNN | 6.15 | 2.88 | 8.01% | 3.81 | 1.72 | 3.90% | |
| DCRNN | 6.45 | 3.15 | 8.80% | 3.97 | 1.74 | 3.90% | |
| Graph WaveNet | 6.22 | 3.07 | 8.37% | 3.70 | 1.63 | 3.67% | |
| MRA-BGCN | 6.17 | 3.06 | 8.30% | 3.67 | 1.61 | 3.80% | |
| 30 min | GMAN | 6.34 | 3.07 | 8.35% | 3.72 | 1.62 | 3.62% |
| STGRAT | 6.21 | 3.01 | 8.15% | 3.69 | 1.61 | 3.63% | |
| FC-GAGA | 6.30 | 3.10 | 8.57% | 3.80 | 1.68 | 3.80% | |
| TSE-SC | 5.61 | 2.79 | 7.45% | 3.61 | 1.59 | 3.43% | |
| STGNN | 5.88 | 2.98 | 7.77% | 3.27 | 1.46 | 3.09% | |
| STFGNN | 5.46 | 2.83 | 7.46% | 3.02 | 1.39 | 3.02% | |
| LGSTGCN | 4.69 | 2.55 | 7.33% | 2.15 | 1.42 | 2.61% | |
| STGCN | 9.40 | 4.59 | 12.70% | 5.69 | 2.49 | 5.79% | |
| SLCNN | 7.20 | 3.30 | 9.70% | 4.53 | 2.03 | 4.80% | |
| DCRNN | 7.60 | 3.60 | 10.50% | 4.74 | 2.07 | 4.90% | |
| Graph WaveNet | 7.37 | 3.53 | 10.01% | 4.52 | 1.95 | 4.63% | |
| MRA-BGCN | 7.30 | 3.49 | 10.00% | 4.46 | 1.91 | 4.60% | |
| 60 min | GMAN | 7.21 | 3.40 | 9.72% | 4.32 | 1.86 | 4.31% |
| STGRAT | 7.42 | 3.49 | 10.01% | 4.54 | 1.95 | 4.64% | |
| FC-GAGA | 7.31 | 3.51 | 10.14% | 4.52 | 1.97 | 4.67% | |
| TSE-SC | 6.68 | 3.28 | 9.08% | 4.36 | 1.77 | 4.29% | |
| STGNN | 6.94 | 3.49 | 9.69% | 4.20 | 1.83 | 4.15% | |
| STFGNN | 6.40 | 3.18 | 8.81% | 3.74 | 1.66 | 3.77% | |
| LGSTGCN | 7.26 | 4.31 | 10.89% | 4.43 | 2.56 | 4.98% | |
| Time | Models | Los-Loop | |||||
|---|---|---|---|---|---|---|---|
| RMSE | MAE | Acc | Var | MAPE | |||
| 15 min | NO_GS | 3.6489 | 2.3667 | 0.9374 | 0.8964 | 0.8986 | 5.82% |
| NO_LST | 3.8702 | 2.2495 | 0.9335 | 0.8883 | 0.8886 | 5.42% | |
| NO_GT | 4.8423 | 3.0542 | 0.9158 | 0.8029 | 0.8046 | 7.93% | |
| NO_PE | 3.5384 | 2.3052 | 0.9394 | 0.9014 | 0.9052 | 5.44% | |
| NO_NC | 4.3329 | 2.7929 | 0.9256 | 0.8630 | 0.8637 | 6.82% | |
| LGSTGCN | 3.2066 | 2.0864 | 0.9452 | 0.9146 | 0.9167 | 4.93% | |
| 30 min | NO_GS | 4.4182 | 2.8233 | 0.9241 | 0.8605 | 0.8628 | 7.49% |
| NO_LST | 4.8201 | 2.8582 | 0.9171 | 0.8405 | 0.8409 | 7.25% | |
| NO_GT | 5.8756 | 3.6424 | 0.8988 | 0.7768 | 0.7831 | 9.96% | |
| NO_PE | 4.5248 | 2.8730 | 0.9222 | 0.8530 | 0.8540 | 7.06% | |
| NO_NC | 4.6841 | 2.9214 | 0.9194 | 0.8442 | 0.8454 | 7.32% | |
| LGSTGCN | 4.0867 | 2.6296 | 0.9300 | 0.8737 | 0.8752 | 6.51% | |
| 60 min | NO_GS | 6.2143 | 4.1995 | 0.8929 | 0.7483 | 0.7680 | 10.26% |
| NO_LST | 5.9255 | 3.7061 | 0.8978 | 0.7737 | 0.7765 | 9.49% | |
| NO_GT | 6.7056 | 4.2913 | 0.8827 | 0.6787 | 0.6837 | 12.32% | |
| NO_PE | 5.6259 | 3.6492 | 0.9031 | 0.7812 | 0.7858 | 9.49% | |
| NO_NC | 5.4947 | 3.6249 | 0.9055 | 0.7914 | 0.8040 | 8.74% | |
| LGSTGCN | 5.2326 | 3.4093 | 0.9098 | 0.8171 | 0.8279 | 8.08% | |
| Time | Models | SZ-Taxi | |||||
|---|---|---|---|---|---|---|---|
| RMSE | MAE | Acc | Var | MAPE | |||
| 15 min | NO_GS | 2.1439 | 1.4201 | 0.8505 | 0.9575 | 0.9575 | * |
| NO_LST | 2.6827 | 1.6417 | 0.8130 | 0.9339 | 0.9340 | * | |
| NO_GT | 4.0549 | 2.7526 | 0.7173 | 0.8488 | 0.8490 | * | |
| NO_PE | 1.6548 | 1.0631 | 0.8846 | 0.9746 | 0.9746 | * | |
| NO_NC | 2.9412 | 1.9896 | 0.7949 | 0.9204 | 0.9205 | * | |
| LGSTGCN | 1.5070 | 0.9137 | 0.8949 | 0.9789 | 0.9789 | * | |
| 30 min | NO_GS | 2.3694 | 1.5592 | 0.8348 | 0.9482 | 0.9482 | * |
| NO_LST | 2.9076 | 1.7041 | 0.7973 | 0.9224 | 0.9224 | * | |
| NO_GT | 4.1167 | 2.7932 | 0.7130 | 0.8440 | 0.8443 | * | |
| NO_PE | 3.5735 | 2.3970 | 0.7513 | 0.8829 | 0.8835 | * | |
| NO_NC | 3.7193 | 2.4928 | 0.7406 | 0.8727 | 0.8728 | * | |
| LGSTGCN | 2.0152 | 1.2896 | 0.8605 | 0.9630 | 0.9631 | * | |
| 60 min | NO_GS | 3.6902 | 2.4640 | 0.7426 | 0.8745 | 0.8746 | * |
| NO_LST | 3.6877 | 2.3506 | 0.7428 | 0.8749 | 0.8750 | * | |
| NO_GT | 4.1930 | 2.9217 | 0.7075 | 0.8382 | 0.8396 | * | |
| NO_PE | 3.8855 | 2.5758 | 0.7290 | 0.8612 | 0.8614 | * | |
| NO_NC | 3.9767 | 2.6809 | 0.7226 | 0.8545 | 0.8546 | * | |
| LGSTGCN | 3.8291 | 2.5682 | 0.7329 | 0.8649 | 0.8652 | * | |
Disclaimer/Publisher’s Note: The statements, opinions and data contained in all publications are solely those of the individual author(s) and contributor(s) and not of MDPI and/or the editor(s). MDPI and/or the editor(s) disclaim responsibility for any injury to people or property resulting from any ideas, methods, instructions or products referred to in the content. |
© 2024 by the authors. Licensee MDPI, Basel, Switzerland. This article is an open access article distributed under the terms and conditions of the Creative Commons Attribution (CC BY) license (https://creativecommons.org/licenses/by/4.0/).
Share and Cite
Zong, X.; Chen, Z.; Yu, F.; Wei, S. Local-Global Spatial-Temporal Graph Convolutional Network for Traffic Flow Forecasting. Electronics 2024, 13, 636. https://doi.org/10.3390/electronics13030636
Zong X, Chen Z, Yu F, Wei S. Local-Global Spatial-Temporal Graph Convolutional Network for Traffic Flow Forecasting. Electronics. 2024; 13(3):636. https://doi.org/10.3390/electronics13030636
Chicago/Turabian StyleZong, Xinlu, Zhen Chen, Fan Yu, and Siwei Wei. 2024. "Local-Global Spatial-Temporal Graph Convolutional Network for Traffic Flow Forecasting" Electronics 13, no. 3: 636. https://doi.org/10.3390/electronics13030636
APA StyleZong, X., Chen, Z., Yu, F., & Wei, S. (2024). Local-Global Spatial-Temporal Graph Convolutional Network for Traffic Flow Forecasting. Electronics, 13(3), 636. https://doi.org/10.3390/electronics13030636
