Next Article in Journal
High-Precision Main Shaft Displacement Measurement for Wind Turbines Using an Optimized Position-Sensitive Detector
Next Article in Special Issue
A Fire Detection Method for Aircraft Cargo Compartments Utilizing Radio Frequency Identification Technology and an Improved YOLO Model
Previous Article in Journal
Transient Stability Analysis for Grid-Connected Renewable Power Generation Systems Based on LMI Optimization Modelling
Previous Article in Special Issue
Multi-Stage Optimal Power Control Method for Distribution Network with Photovoltaic and Energy Storage Considering Grouping Cooperation
 
 
Font Type:
Arial Georgia Verdana
Font Size:
Aa Aa Aa
Line Spacing:
Column Width:
Background:
Article

Large-Bandwidth Lithium Niobate Electro-Optic Modulator for Frequency-Division Multiplexing RFID Systems

1
School of Electronic and Information Engineering, Hebei University of Technology, Tianjin 300401, China
2
School of Information Science and Technology, Fudan University, Shanghai 200433, China
3
College of Electronic Information and Automation, Tianjin University of Science and Technology, Tianjin 300457, China
*
Author to whom correspondence should be addressed.
Electronics 2024, 13(24), 5054; https://doi.org/10.3390/electronics13245054
Submission received: 8 November 2024 / Revised: 29 November 2024 / Accepted: 6 December 2024 / Published: 23 December 2024
(This article belongs to the Special Issue RFID Applied to IoT Devices)

Abstract

In the face of increasingly complex application scenarios, there is an urgent need for (Radio Frequency Identification) RFID systems that are capable of accurately identifying microwave signals of different frequency bands. Based on the acumen detection characteristics of microwave signals by lithium niobate electro-optic modulators, applying large-bandwidth thin-film lithium niobate electro-optic modulation to RFID systems can achieve efficient operation across multiple frequency bands. This study discusses, in detail, the design, simulation, fabrication, and testing process of the electro-optic modulator to obtain a high-performance, large-bandwidth lithium niobate electro-optic modulator. By using multilayer lithography techniques to prepare thick traveling-wave electrodes, the problem of irregular cross-sections during the fabrication of thick electrodes has been successfully reduced, improving the stability and controllability of the device. Test results show that the insertion loss of the electro-optic modulator is about 6 dB, the extinction ratio is 36.5 dB, the optical waveguide mode field is 1 μm, the full-band characteristic impedance is 50 Ω, the test bandwidth is 50 GHz, and the half-wave voltage is 1.8 V. Compared with existing optimization schemes, this design not only achieves a large bandwidth and a small half-wave voltage, but also proposes a new fabrication process scheme, optimizing the process and resulting in samples with stable performance.

1. Introduction

In the overall structure of the electro-optic modulator, the laser in the optical waveguide serves as the carrier, and the microwave signal detected and input into the electrodes by the RFID system serves as the modulation signal. When a voltage is applied to the electro-optic crystal, the refractive index of the crystal will change, causing variations in the characteristics of the light wave within the crystal, modulating the phase, amplitude, intensity, and polarization state of the optical signal, thereby accurately obtaining various information of the detected microwave signal.
Under the trend of globalization, concepts such as standardization and universalization have received widespread attention. Facing application scenarios in global supply chain management, asset tracking, traffic monitoring, production line automation, medical equipment management, and other fields, multi-tag, multi-standard, complex, or long-distance scenarios have posed higher requirements for RFID systems. Society urgently needs to design frequency-division multiplexing systems that can accurately identify microwave signals of different frequency bands. Compared to electronic systems, optical systems show significant advantages in multiple dimensions. Applying electro-optic modulators to RFID systems can accurately detect, analyze, and process microwave signals, thus more effectively extracting signal information. To ensure that the RFID system can work efficiently in parallel across multiple frequency bands, the electro-optic modulator in the signal detection part is required to have an extremely high total bandwidth. The wider the bandwidth of the modulator, the smaller the attenuation and distortion of the signal during modulation, and it provides a more extensive frequency-interval bandwidth range to avoid signal crosstalk. How to design a wide-bandwidth electro-optic modulator to meet the urgent needs of current RFID system frequency-division multiplexing has become the focus of research.
The industry mainly adopts electro-optic modulation technology based on silicon photonics, indium phosphide, or lithium niobate materials. Among them, electro-optic modulators based on lithium niobate crystals stand out due to their excellent temperature stability, significant linear electro-optic coefficient, and extremely low material costs resulting from mature wafer fabrication processes [1], making them one of the most promising optical modulators among other variant crystals.
Existing design approaches generally involve reducing the substrate thickness, increasing the electrode thickness, thickening the buffer layer, narrowing the width of the central electrode, adding a shielding plate, and using ridge waveguides to match the phase velocity, thereby improving the device bandwidth. Additionally, in evaluating the performance of lithium niobate electro-optic modulators, bandwidth and half-wave voltage are a pair of mutually contradictory indicators. Simply shortening the electrode length to increase bandwidth will result in an increased half-wave voltage [2], which cannot be compatible with other devices, making the system more complex and deviating from the original intention of small-size design. Improving the phase-velocity matching of the device by modifying the waveguide structure to increase bandwidth requires the use of etching and other processes to fabricate ridge waveguides. This design direction has complex processes and minimal results. How to design an appropriate electrode structure that can improve the device’s bandwidth while retaining a small half-wave voltage has become the most pressing issue today.
From 1995 to 1996, Loni, Minakata, Tonchev, and others not only detailed the advantages of lithium niobate crystals as a substrate but also publicly disclosed the fabrication processes of Ti diffusion and proton exchange for LiNbO3 optical waveguide modulators. The publication of these fabrication processes has provided a complete practical foundation for future research [3,4,5]. The attempts made by researchers to expand bandwidth are shown in Table 1.
The four most-effective design schemes mentioned are as follows: (1) introducing a thick silicon dioxide buffer layer between the electrode and the substrate; (2) using a thick gold electrode as the electrode design scheme; (3) adopting a T-shaped electrode structure for electrode design; and (4) designing the optical waveguide as a ridge waveguide structure. In the studies mentioned above, increasing the bandwidth often accompanies an increase in half-wave voltage [7,9] or an enlargement of the device size [2,10]; alternatively, it remains at the theoretical level without achieving the optimal state in practical fabrication processes [6], or the introduction of ridge waveguides adds etching processes, increasing the difficulty of device fabrication [8,11,12].
Based on this, this paper reports on a thin-film lithium niobate electro-optic modulator applied in frequency-division multiplexing RFID systems. By using a multilayer lithography process to fabricate thick traveling-wave electrodes, it successfully reduces the irregularities in the cross-section that exist when preparing thick electrodes, and the process offers advantages such as stability and controllability. The resulting samples exhibit performance benefits such as a large bandwidth and a small half-wave voltage.

2. Materials and Methods

The lithium niobate electro-optic modulator is greatly limited in bandwidth due to the mismatch between the phase velocity of the radio-frequency electrical signal and the optical signal. In theory, the lithium niobate electro-optic modulator could achieve an infinitely large bandwidth under ideal phase-velocity matching conditions. However, due to practical limitations, one can only strive to reduce the phase-velocity difference between the radio-frequency signal and the optical signal as much as possible, thereby increasing the device bandwidth. Simply increasing the electrode thickness can expand the device bandwidth. Still, due to certain limitations in the photolithography process, the edges of thick electrodes often have rough slopes rather than being vertical. Such errors can cause the half-wave voltage to increase uncontrollably, which significantly reduces the device’s sensitivity and makes it unsuitable for the sensitive and precise identification of microwave signals in RFID systems.
The thin-film lithium niobate electro-optic modulator reported in this paper uses an MZ (Mach–Zehnder) optical waveguide as the optical transmission line and a traveling-wave electrode as the electrical transmission line. From bottom to top, it consists of a 500 μm X-cut lithium niobate substrate layer, a 1.5 μm SiO2 buffer layer, a 1 μm LN (thin-film lithium niobate), and a 500 nm SiO2 buffer layer. The optical waveguide is grown on the LN thin-film layer using a buffered proton-exchange process, and the electrodes are grown on the surface of the LN thin film using a multilayer lithography process. The ground electrodes at both ends are 880 μm and 980 μm, respectively, the center electrode is 9.8 μm, and the spacing between the center electrode and the ground electrodes is 13.35 μm, with the center electrode positioned centrally between the two electrodes. Figure 1 shows the cross-sectional view of the thin-film lithium niobate electro-optic modulator.
Before finalizing the structure, this paper used MATLAB 2019, Comsol 5.6, and HFSS 15.0 to establish mathematical, two-dimensional, and three-dimensional models for detailed analysis of specific structural parameters.
The effective refractive index refers to the equivalent refractive index of electromagnetic waves propagating in a medium. It is a parameter that describes the propagation behavior of electromagnetic waves in a medium, taking into account the relationship between the propagation speed of electromagnetic waves in the medium and the speed of light in a vacuum. When a radio-frequency signal is loaded onto the traveling-wave electrode, the closer the effective refractive index of the resulting electrical signal is to the effective refractive index of light in the optical waveguide (approximately 2.138), the better the phase-velocity matching between the photoelectric signals, and the higher the modulation bandwidth of the modulator. In addition to phase-velocity matching being a vital issue for electro-optic modulators, impedance matching is also not to be neglected. To maximize the efficiency of the transmission line, the characteristic impedance value of the device should be set as close to 50 Ω as possible.
The simulation of the traveling-wave electrode was conducted using the radio-frequency module in the Comsol simulation software. The electrode thicknesses were 1 μm, 3 μm, 5 μm, and 10 μm. The electrode electric field diagrams for these thicknesses are shown in Figure 2.
The colors in the figure range from red to blue, indicating the electric field energy decreases from high to low. It can be seen from the figure that the electric field strength increases with the electrode thickness. When the electrode thickness is insufficient and the spacing is slightly too large, the electric field strength is relatively diffuse and cannot effectively act on the optical waveguide. When the electrode thickness H is 10 μm, the electric field strength is the best, and the electric field is most effectively confined by the electrode.
The data obtained from MATLAB mathematical calculations and HFSS three-dimensional simulations displayed in Figure 3 reveal the impact of electrode thickness, electrode spacing, and center electrode width on the effective refractive index and characteristic impedance.
From the figure above, it can be observed that as the center electrode width and electrode thickness increase, the effective refractive index and characteristic impedance show a trend of decrease. In order to ensure both phase-velocity matching and impedance matching, based on design experience and simulation results, the center electrode width S is designed to be 9.8 µm, and the electrode thickness is selected as H = 10 µm based on the electric field simulation results. As the electrode spacing increases, the effective refractive index and characteristic impedance show a trend of increase, with the characteristic impedance varying significantly with electrode spacing. Considering all factors, the electrode spacing is chosen to be W = 13.35 µm.
The preparation process for the devices used in this paper is divided into two main parts: the MZ optical waveguide preparation, and the multiple-step lithography for fabricating the traveling-wave electrodes, as shown in Figure 4.
The optical waveguide is prepared using the buffered proton-exchange process, with the mask pattern designed as the classic MZ optical waveguide structure.
In the commonly used electrode fabrication processes, the inability to produce regular thick electrodes has been a significant, long-standing issue. To better confine the thick traveling-wave electrode structure, this paper first adopts a multilayer lithography process. The specific process is as follows: 1. On the surface of the sample with the prepared optical waveguide, a layer of silicon dioxide buffer layer is deposited using a sputtering system to serve as the foundational buffer layer for electrode growth. 2. The buffer layer is etched to form the shape of the bottom electrode section, with a transition area left for the introduction of electrical signals. 3. A layer of photoresist is spin-coated onto the etched silicon dioxide buffer layer, which has formed grooves, and then exposed and developed according to the etched pattern. 4. A gold layer, matching the etch depth, is deposited onto the sample to serve as the bottom electrode, which includes the electrical signal introduction area. 5. The photoresist is stripped, and the surface flatness is addressed. 6. Photoresist is reapplied, and a mask is prepared that includes only the electrode’s active region. 7. After exposure and development, an appropriate thickness of gold layer is deposited. 8. The photoresist is stripped, and the surface flatness is addressed. 9. Steps 7 and 8 are repeated, performing multiple overlays until the electrodes reach the designed thickness. The bottommost electrode is confined within the trench formed by etching with silicon dioxide, and only the bottommost electrode is set with a signal introduction area.
In contrast, subsequent electrode layers contain only the functional region. Mask design is a crucial step in the fabrication of optical waveguide devices and is the primary means of transferring design pattern information to the actual prepared samples. The mask design directly determines the performance of the chip [13]. This paper uses the software L-Edit15.0 from the Tanner Tools series for mask design, repeatedly employing different masks for photolithography operations. The mask shapes are designed based on the required geometric shapes and structures while considering factors such as mask resolution, precision, and constraints on geometric shapes to ensure that the mask can accurately define the required shapes and structures. The structure of the bottommost traveling-wave electrode mask used is shown in Figure 5.
During the fabrication process, the partial development effect of the MZ optical waveguide under the microscope is shown in Figure 6. The waveguide edges are smooth, and the shape is precise, meeting the requirements for waveguide preparation.
As shown in Figure 7, under the metallographic microscope and scanning electron microscope, the micro-image of the electrode has precise edges and dimensions that meet the design requirements.
In order to introduce electrical signals to the electrode, a transition region was added during the first layer of photolithography to complete the function of electrical signal introduction. Figure 8 is a top view of the electrical signal introduction area under an optical microscope after the preparation is completed. Measurements under the microscope show that the sample meets the design standards, with the widths of the ground electrodes at both ends being 880 μm and 980 μm, respectively; the width of the center electrode was 9.8 μm, the spacing between the center electrode and the ground electrodes was 13.35 μm, and the electrode thickness was 10 μm.
The prepared chips are generally a sizeable rhombus-shaped piece, which needs to be cut along the marked lines to separate the samples. Under the microscope, the electrodes of the obtained samples can be carefully observed, to determine whether there are breakpoints in the waveguides, blurred edges, sample damage, or other issues. The samples that pass microscopic inspection should be numbered and marked, and then placed in a box for the next test. The samples are shown in Figure 9:
Through the previous design, simulation, and fabrication of the optical waveguides and electrodes in the electro-optic modulator, lithium niobate electro-optic modulators G-1, G-2, and G-3 have been successfully fabricated. To ensure the modulators operate normally, strict testing of their performance will be conducted next.

3. Results

To ensure the parameter stability of the device under extreme environmental conditions, all the following tests are conducted after passing a 72 h high–low temperature cycle test (−80 °C to +130 °C) and a 48 h comprehensive environmental aging test. When conducting tests, it is necessary to ensure the test environment includes maintaining the stability of the light source and the accuracy of the wavelength to obtain accurate optical power measurement results. Be mindful of eliminating interference from ambient light, and take shading measures if necessary. Choose an appropriate optical power meter and testing equipment to ensure their precision and sensitivity meet the testing requirements. During the testing process, handle with care to avoid damaging or contaminating the waveguide.
Additionally, it is necessary to prepare probes in advance for connecting the test chip and the instrument. The probes should have good high-frequency characteristics, including low loss, low crosstalk, and precise contact points. The probes used in this paper have a test frequency range of DC-120 GHz, with an insertion loss of less than 0.9 dB and interference below 36 dB. The probe tips are made of beryllium copper, and the GSG (Ground Electrode-Center Electrode-Ground Electrode) spacing of the tips is adjustable from 50 to 1250 μm.

3.1. Insertion Loss and Extinction Ratio

When testing the insertion loss after the sample is fabricated, the primary sources of loss are the transmission loss of the optical waveguide, coupling loss, and facet loss, as shown in Figure 10.
The insertion loss of the optical waveguide is tested by inputting an optical signal into the waveguide and then measuring the power of the signal after it passes through the waveguide, thereby calculating the insertion loss of the waveguide. In this paper, the simplest and most direct method, the end-face coupling method, is used for testing. A fiber is used to couple the end faces of the waveguide, and then the optical power at the input and output ends is measured. By comparing the power difference between the input and output ends, the insertion loss of the waveguide is calculated.
By switching the output end from the power meter 1 to the extinction ratio tester 2, the extinction ratio data of the sample can be measured simultaneously. The schematic diagram of the testing system is shown in Figure 11.
As shown in Table 2, the insertion loss of the three samples is around 6 dB, which is less than 10 dB, thus meeting the design specifications and production requirements. Among them, sample G-2 has the highest insertion loss, which may be due to random errors in manual measurement and does not affect the overall performance of the device. The extinction ratio is generally expected to be greater than 10 dB. An insufficient extinction ratio may lead to various issues, such as incorrect symbol recognition. The extinction ratios of the samples measured in this paper are all significantly greater than 10 dB, meeting the preparation standards.

3.2. Mode Field Size

In standard rectangular or strip waveguides, the mode field size is usually described by the mode field diameter (MFD); it is typically defined as the diameter at the position where the light intensity drops to 70.7% (1/e2) of the peak intensity. A smaller mode field size usually implies higher light intensity and better mode confinement.
This paper employs near-field scanning technology to test the mode field of the samples. Figure 12 shows the schematic diagram of the near-field scanning technology.
Calibration of the Test System: The test system is calibrated using an optical fiber with a mode field diameter of 6 μm. Due to the distance between the objective lens and the receiver, the final displayed result needs to be multiplied by a coefficient to obtain the value of the mode field. The fiber optic cable with a factory specification of 6 μm is inspected under a microscope, showing a core diameter of 6 μm. The fiber is connected to the light source and the mode field test bench, and the test results show a value of 1.53 for both the X-axis and Y-axis, indicating that the coefficient should be 3.9216.
A chip should be selected and the chip fixture adjusted to an appropriate size. The light source should be replaced with a red light; next, the position of the fiber optic head and the chip should be adjusted until a light path appears in the waveguide and a red light is visible at the other end. The position of the objective lens should be adjusted so that the red light forms a spot on the receiver. Finally, the red light should be replaced with a 1550-nanometer laser and the computer mode field test software should be turned on. The positions of the various components should be adjusted repeatedly to optimize the results.
The mode field of the chip, calculated by multiplying the data from the figure by the system calibration coefficient, is x: 0.2701 × 3.9216 = 1.0592 μm; y: 0.2443 × 3.9216 = 0.9580 μm. The mode field parameters of the other two chips are measured using the same method and are shown in Table 3:
The mode fields of the three samples are almost identical to the set value of 1 μm, with slight differences that may be due to accidental errors such as jitter during the light-transmission testing process. All samples meet the design requirements and can proceed to the next test.

3.3. S-Parameters (Modulation Bandwidth)

The schematic diagram for building the S-parameter test system is shown in Figure 13.
The laser source provides a 1550 nm laser, and the vector network analyzer supplies a broad bandwidth electrical signal to the modulator. Subsequently, the modulated light output is demodulated, and the demodulated signal is connected to the vector network analyzer to obtain the final complete frequency-band S-parameter image.
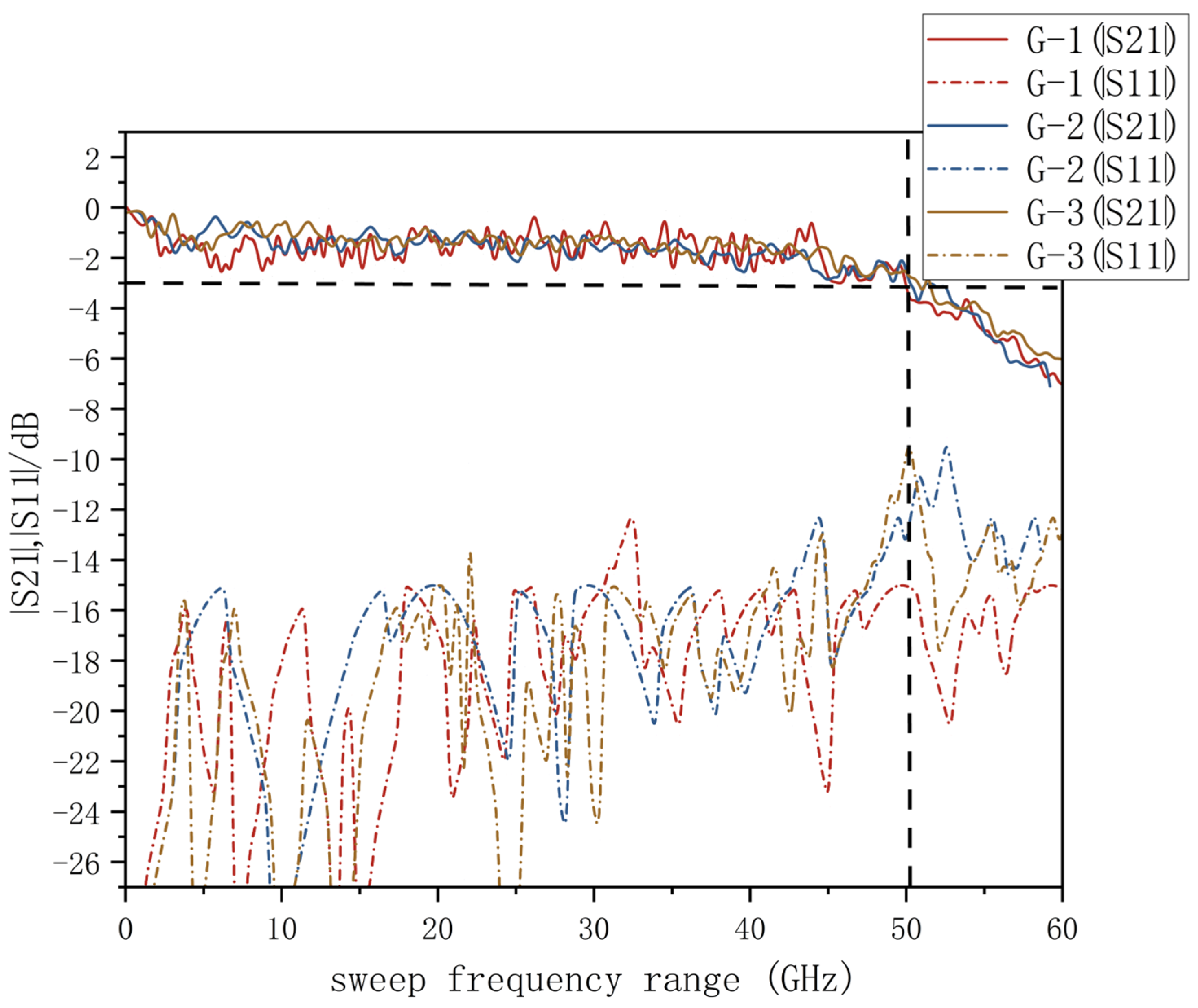
After the system is set up, the testing begins. The probe is dropped repeatedly, and the frequency sweep range of the vector network analyzer is adjusted. The S-parameter image is carefully observed at the moment the system stabilizes, and the data from the best result are recorded to create the image. The S-parameter images of the three samples are shown in Figure 14.
During the G-1 test process, there were multiple occurrences of light interruption. The possible reasons considered are given as follows: (1) The test laboratory is located on the 14th floor, which can easily cause the test bench to vibrate. (2) When adjusting the probe, the stress impact may change the position of the chip, leading to misalignment between the fiber head and the chip, causing light interruption due to external accidental factors. To eliminate the occasional impact of light interruption on the experiment, the solution is to adjust the position of the fiber head and use UV (ultraviolet lamp) glue to bond and fix the fiber head and the chip when the light power is at its maximum.
From the S-parameter results, it can be seen that the S21 curve from the three samples is between 0 and −3 dB, thus within 50 GHz, indicating that the −3 dB bandwidth of the three samples is greater than 50 GHz. During the testing of sample G-1, some issues were encountered. Repeated rework was necessary, and the probe caused some scratches on the electrode surface, leading to significant fluctuations in the S21 curve from sample G-1, but its bandwidth still meets expectations. At the same time, observing the three S11 curves, it can be seen that the |S11|curve from the three samples is greater than 6 dB, which means that the electrical reflection of the samples is sufficiently small, and the voltage standing wave ratio is less than 3.
The data prove that the electro-optic modulator under this structure can achieve large bandwidth modulation, providing a bandwidth foundation for its application in frequency-division multiplexing RFID systems. In addition to bandwidth, the half-wave voltage is also a very important performance parameter for electro-optic modulators.

3.4. Characteristic Impedance

The device characteristic impedance testing system, like the S-parameter testing system, is shown in Figure 13. The preprepared probe must be connected to the alignment stage and the alignment stage adjusted to allow the probe to rest lightly on the electrode. After the system stabilizes, the Smith chart should be read on the vector network analyzer. The results from the figure show that only one green dot is visible at the center of the graph, indicating that the device has good impedance matching across the entire frequency band, stabilizing around 50 Ω. This suggests that the signal-transmission efficiency and quality of the traveling-wave electrode are high. When the impedance of the electrode matches that of other components in the system, it can achieve maximum energy transfer and minimum signal reflection, thereby improving signal stability, transmission rate, and system performance. The quality of the impedance matching of the traveling-wave electrode directly affects the transmission loss and distortion of the signal. This test result indicates that the designed and optimized electro-optic modulator has good operational performance and reliability.

3.5. Half-Wave Voltage

The larger the half-wave voltage, the higher the electric field strength required to modulate the optical signal, which means a higher driving voltage is needed, thus increasing the complexity and power consumption of the circuit. The modulation speed of the electro-optic modulator will also be limited, as an electro-optic modulator with a high half-wave voltage cannot accurately and quickly identify radio frequency signals. The half-wave voltage and bandwidth are inseparable parameters; the bandwidth of the electro-optic modulator is related to its optical response time, and a larger half-wave voltage will lead to a slower optical response time, thus limiting its bandwidth. An excessively large half-wave voltage will also reduce the device’s sensitivity. Under a larger electric field, the electro-optic coefficient of the medium typically becomes nonlinear, leading to nonlinear distortion and reducing the sensitivity of the modulator.
Therefore, while a large half-wave voltage might make the electro-optic modulator easier to implement, it will also bring a series of issues and limitations. Hence, in the design process, it is necessary to enhance other parameters, such as bandwidth, without increasing the half-wave voltage. To test the half-wave voltage of the sample, among the three common methods for testing half-wave voltage—optical communication simulation, frequency-doubling modulation, and extreme value measurement [14,15,16]—the frequency-doubling modulation method was chosen to test the half-wave voltage. The schematic diagram is shown in Figure 15.
Compared to the low precision of the optical communication simulation method and the high stability requirements of the extreme value measurement method for the testing system, the frequency-doubling modulation method is the most feasible scheme for achieving accurate half-wave voltage testing. The basic principle of the frequency-doubling modulation method is to simultaneously load a direct current (DC) voltage and an alternating current (AC) signal. When the DC voltage is adjusted to the value corresponding to the extreme output light intensity, the output AC signal will exhibit frequency-doubling distortion. The difference in the DC voltage at which frequency-doubling distortion occurs is the half-wave voltage.
The operational process is given as follows: Turn on the test system and observe the power meter 1 reading. When the DC voltage is adjusted to the value corresponding to the extreme output light intensity, switch the power meter to a photoelectric detector 2, connect it to an oscilloscope, observe the readings, and record the data.
From the half-wave voltages of the three samples, it can be determined that the half-wave voltages of all three samples are stable within 2 V.

4. Discussion

The overall test results of the three samples are shown in Table 4.
The optical and electrical performance of the three high-frequency thin-film lithium niobate electro-optic modulators has been systematically and comprehensively tested. The test results show that the devices prepared in this paper have an insertion loss of 6 dB, an extinction ratio of 36.5 dB, a waveguide mode field of 1 μm, a characteristic impedance of 50 Ω across the full frequency band, a test bandwidth of 50 GHz, and a half-wave voltage of 1.8 V. A comparison of the samples designed in this paper with the devices currently available in the industry is shown in Table 5.
Compared with other optimized electrode schemes, the thick gold electrode thin-film lithium niobate electro-optic modulator designed in this paper, which uses multilayer lithography techniques, has the characteristics of a large bandwidth and a low half-wave voltage. Other optimization schemes are unable to sufficiently balance the important parameters of bandwidth and half-wave voltage. For example, ref. [11] presents a device with a large bandwidth and a high half-wave voltage and another with a small bandwidth and a low half-wave voltage, making these two sets of data incompatible within a single device. The design proposed in this paper not only achieves a large bandwidth and a small half-wave voltage, but also puts forward a new fabrication process scheme, optimizing the process, meaning that the performance of the three samples obtained is stable.
After in-depth analysis, the electrode process used in this paper can effectively limit the cross-sectional shape, thereby increasing the device bandwidth by increasing the electrode thickness. If the electrode thickness can be further increased, or if the process conditions can be further improved to solve the ridge waveguide fabrication issues, introducing ridge waveguides based on this electrode structure could potentially further enhance device performance.

5. Conclusions

This paper reports on a large bandwidth thin-film lithium niobate electro-optic modulator for frequency-division multiplexing RFID systems. The theoretical relationship between the device structure parameters and the main performance of the device was obtained through finite element simulation methods. After determining the structural parameters of the device, the traditional process flow was optimized, and a multilayer shadow mask process was used to successfully fabricate regular thick electrodes. Ultimately, an electro-optic modulator that can meet the bandwidth requirements of frequency-division multiplexing and sensitively detects radio frequency signals was obtained. Its insertion loss is 6 dB; the extinction ratio is 36.5 dB; the optical waveguide mode field diameter is 1 μm; the characteristic impedance across the full frequency band is 50 Ω; the test bandwidth is 50 GHz; and the half-wave voltage is 1.8 V.
Lithium niobate electro-optic modulators are important optoelectronic devices that play a key role in sensitively reading and processing signals in RFID systems. The key to their future development lies in continuously improving performance, reducing costs, and adapting to increasingly diverse and complex signal processing demands. In the future, lithium niobate electro-optic modulators are expected to achieve larger modulation bandwidths and will place greater emphasis on the integration and miniaturization of optoelectronic devices.

Author Contributions

Conceptualization, W.Z. and X.L.; methodology, W.Z. and X.L.; software, X.L.; validation, X.L. and C.W.; formal analysis, X.L. and Z.G.; investigation, X.L.; resources, W.Z.; data curation, W.Z.; writing—original draft preparation, X.L. and Z.G.; writing—review and editing, W.Z. and C.F.; visualization, X.L.; supervision, W.Z. and C.F.; project administration, W.Z.; funding acquisition, W.Z. All authors have read and agreed to the published version of the manuscript.

Funding

This research received no external funding.

Data Availability Statement

Data are contained within the article.

Conflicts of Interest

The funders had no role in the design of the study; in the collection, analysis, or interpretation of data; in the writing of the manuscript; or in the decision to publish the results.

References

  1. Shang, C.; Tao, S.; Sun, H.; Pan, A.; Zeng, C.; Xia, J. Fully-packaged thin-film lithium niobate electro-optic modulator. Semicond. Optoelectron. 2022, 43, 95. [Google Scholar]
  2. Wu, B.; Jin, X.; Li, D.; Gu, J.; Zhang, K. Broadband low-voltage 15 GHz lithium niobate electro-optic modulator. High Technol. Lett. 1997, 7, 39–42. [Google Scholar]
  3. Loni, A. Optical modulation goes external. Microw. J. 1995, 38, 110–118. [Google Scholar]
  4. Minakata, M.; Goto, M. High efficient z-cut LiNbO3 ridge type optical modulators bulletin of the Research. Inst. Electron. 1996, 31, 53–58. [Google Scholar]
  5. Tonchev, S.; Yordanov, B.; Savatinova, I. Guided-wave Mach-Zehnder modulators fabricated on LiNbO3 via Ti-in diffusion and proton exchange. J. Opt. Commun. 1997, 18, 47–49. [Google Scholar] [CrossRef]
  6. Hopfer, S.; Shani, Y.; Nir, D. A novel, wideband, lithium niobate electrooptic modulator. J. Light. Technol. 1998, 16, 73–77. [Google Scholar] [CrossRef]
  7. Mitomi, O.; Noguchi, K.; Miyazawa, H. Design of ultra-broad-band LiNbO3 optical modulators with Ridge structure. IEEE Trans. Microw. Theory Tech. 1995, 143, 2203–2207. [Google Scholar] [CrossRef]
  8. Noguchi, K.; Mitomi, O.; Miyazawa, H.; Seki, S. A broadband Ti: LiNbO3 optical modulators with a ridge structure. J. Light. Technol. 1995, 13, 1164–1168. [Google Scholar] [CrossRef]
  9. Hui, K.W.; Chiang, K.S.; Wu, B.; Zhang, Z.H. Electrode optimization for high-speed traveling-wave integrated optic modulators. J. Light. Technol. 1998, 12, 232–238. [Google Scholar]
  10. Zhang, B.; Wu, B.; Zhou, W.; Song, Q.; Yi, H.; Peng, J. 40 GHz Lithium Niobate Electro-Optic Modulator. Optoelectron. Lasers 2001, 12, 1199–1201. [Google Scholar]
  11. Noguchi, K.; Miyazawa, H.; Mitomi, O. 40-Gbit/s Ti: LiNbO3 Optical Modulator with a Two-Stage Electrode. IEICE Trans. Electron. 1998, 81, 1316–1320. [Google Scholar]
  12. Noguchi, K.; Mitomi, O.; Miyazawa, H. Millimeter-wave Ti:LiNbO/sub 3/optical modulators. J. Light. Technol. 1998, 16, 615–619. [Google Scholar] [CrossRef]
  13. He, Z.J. Simulation of Optical Communication Apparatus Based on the RSOFT Software. J. Hubei Inst. Natl. 2008, 26, 34–35. [Google Scholar]
  14. Sun, J.; Mou, H.W.; Yang, L.Y.; Zhang, Y. Study on measuring half-wave voltage in electro-optic modulation. Coll. Phys. 2008, 27, 40–43. [Google Scholar]
  15. Guo, M.L.; Han, X.F.; Zhang, M.L. Frequency doubling method for half-wave voltage measurement based on electrooptical modulation. J. Appl. Opt. 2010, 31, 106–109. [Google Scholar]
  16. Oikawa, S.; Kawanishi, T.; Izutsu, M. Measurement of chirp parameters and halfwave voltages of Mach Zehnder-type optical modulators by using a small signal operation. IEEE Photonics Technol. Lett. 2003, 15, 682–684. [Google Scholar] [CrossRef]
Figure 1. Cross-sectional view of the thin-film lithium niobate electro-optic modulator.
Figure 1. Cross-sectional view of the thin-film lithium niobate electro-optic modulator.
Electronics 13 05054 g001
Figure 2. Analysis diagrams of the electric field patterns generated by electrodes with different thicknesses: (a) the electric field pattern for an electrode thickness of 1 μm, (b) 3 μm, (c) 5 μm, and (d) 10 μm.
Figure 2. Analysis diagrams of the electric field patterns generated by electrodes with different thicknesses: (a) the electric field pattern for an electrode thickness of 1 μm, (b) 3 μm, (c) 5 μm, and (d) 10 μm.
Electronics 13 05054 g002
Figure 3. (a) The influence of different electrode structure parameters on the effective refractive index; (b) the impact of different electrode structure parameters on the characteristic impedance.
Figure 3. (a) The influence of different electrode structure parameters on the effective refractive index; (b) the impact of different electrode structure parameters on the characteristic impedance.
Electronics 13 05054 g003
Figure 4. Lithium niobate electro-optic modulator fabrication process diagram.
Figure 4. Lithium niobate electro-optic modulator fabrication process diagram.
Electronics 13 05054 g004
Figure 5. Traveling-wave electrode mask pattern.
Figure 5. Traveling-wave electrode mask pattern.
Electronics 13 05054 g005
Figure 6. Under the microscope, the development effect of MZ optical waveguides.
Figure 6. Under the microscope, the development effect of MZ optical waveguides.
Electronics 13 05054 g006
Figure 7. (a) A top view of the electrode surface under the metallographic microscope; (b) a top view of the electrode surface under the scanning electron microscope.
Figure 7. (a) A top view of the electrode surface under the metallographic microscope; (b) a top view of the electrode surface under the scanning electron microscope.
Electronics 13 05054 g007
Figure 8. (a) The left electrical signal introduction area; (b) the proper electrical signal introduction area.
Figure 8. (a) The left electrical signal introduction area; (b) the proper electrical signal introduction area.
Electronics 13 05054 g008
Figure 9. Photos of the prepared samples, with the left side showing the sample to be tested taken out from the self-adhesive box, and the right side showing the sample stored inside the self-adhesive box.
Figure 9. Photos of the prepared samples, with the left side showing the sample to be tested taken out from the self-adhesive box, and the right side showing the sample stored inside the self-adhesive box.
Electronics 13 05054 g009
Figure 10. Primary sources of insertion loss.
Figure 10. Primary sources of insertion loss.
Electronics 13 05054 g010
Figure 11. Schematic diagram of the insertion loss testing system.
Figure 11. Schematic diagram of the insertion loss testing system.
Electronics 13 05054 g011
Figure 12. Schematic diagram of near-field scanning technology for testing mode field.
Figure 12. Schematic diagram of near-field scanning technology for testing mode field.
Electronics 13 05054 g012
Figure 13. S-parameters test system schematic diagram.
Figure 13. S-parameters test system schematic diagram.
Electronics 13 05054 g013
Figure 14. Test results of S-parameters for G-1, G-2, and G-3.
Figure 14. Test results of S-parameters for G-1, G-2, and G-3.
Electronics 13 05054 g014
Figure 15. Diagram of the half-wave voltage system tested by the frequency-doubling modulation method.
Figure 15. Diagram of the half-wave voltage system tested by the frequency-doubling modulation method.
Electronics 13 05054 g015
Table 1. State of research.
Table 1. State of research.
ReferencesAuthorOptimization Methods3 dB BandwidthVπ
[2]Wu Boyu et al.Thickened electrodes and buffer layers15 GHz5.6 V
[6]Samuel Hopfer et al.Filled floating electrodes and thick buffer layers40 GHz--
[7]Kazuto Noguchi et al.Introducing ridge waveguide structure70 GHz5.1 V
[8]Kazuto Noguchi et al.Introducing ridge waveguide structure30 GHz3.5 V
[9]Kwok Wha Hui et al.Z-cut CPW electrode structure15 GHz14 V
[9]Kwok Wha Hui et al.Z-cut CPW electrode structure3.6 GHz4 V
[10]Zhang Bing et al.T-shaped composite traveling-wave electrode with a copper-clad plate40 GHz6.5 V
Table 2. The insertion loss and extinction ratio parameters of the sample.
Table 2. The insertion loss and extinction ratio parameters of the sample.
Sample NumberInput PowerOutput PowerInsertion LossExtinction Ratio
G-1955 μW254.2 μW5.7 dB36.12 dB
G-2964 μW229.4 μW6.2 dB37.37 dB
G-3960 μW244.3 μW5.9 dB36.53 dB
Table 3. Mode field parameters of the sample.
Table 3. Mode field parameters of the sample.
Sample NumberxyMode Field XMode Field Y
G-10.27010.24431.06 μm0.96 μm
G-20.28420.25681.11 μm1.00 μm
G-30.26110.25351.02 μm0.99 μm
Table 4. The complete test results of the samples and the standard reference range.
Table 4. The complete test results of the samples and the standard reference range.
Performance IndicatorsG-1G-2G-3Reference Range
Insertion loss5.7 dB6.2 dB5.9 dB<8 dB
Extinction ratio36.12 dB37.37 dB36.53 dB>10 dB
Mode field diameter1.06 μm1.11 μm1.02 μm1 μm
Characteristic impedance50 Ω50 Ω50 Ω50 Ω
Bandwidth50 GHz50 GHz50 GHz>10 GHz
Half-wave voltage1.89 V1.76 V1.83 V<3 V
Table 5. The comparison between the samples designed in this paper and the sample parameters provided in the literature.
Table 5. The comparison between the samples designed in this paper and the sample parameters provided in the literature.
ReferencesOptimization Methods3 dB BandwidthVπ
[2]Thickened electrodes and buffer layers15 GHz5.6 V
[6]Filled floating electrodes and thick buffer layers40 GHz--
[7]Introducing ridge waveguide structure70 GHz5.1 V
[8]Introducing ridge waveguide structure30 GHz3.5 V
[9]Z-cut CPW electrode structure15 GHz14 V
[9]Z-cut CPW electrode structure3.6 GHz4 V
[10]T-shaped composite traveling-wave electrode with a copper-clad plate40 GHz6.5 V
This PaperRegular thick electrode50 GHz1.8 V
Disclaimer/Publisher’s Note: The statements, opinions and data contained in all publications are solely those of the individual author(s) and contributor(s) and not of MDPI and/or the editor(s). MDPI and/or the editor(s) disclaim responsibility for any injury to people or property resulting from any ideas, methods, instructions or products referred to in the content.

Share and Cite

MDPI and ACS Style

Luo, X.; Gu, Z.; Wang, C.; Fan, C.; Zhang, W. Large-Bandwidth Lithium Niobate Electro-Optic Modulator for Frequency-Division Multiplexing RFID Systems. Electronics 2024, 13, 5054. https://doi.org/10.3390/electronics13245054

AMA Style

Luo X, Gu Z, Wang C, Fan C, Zhang W. Large-Bandwidth Lithium Niobate Electro-Optic Modulator for Frequency-Division Multiplexing RFID Systems. Electronics. 2024; 13(24):5054. https://doi.org/10.3390/electronics13245054

Chicago/Turabian Style

Luo, Xueting, Zhenqian Gu, Chong Wang, Chao Fan, and Weijia Zhang. 2024. "Large-Bandwidth Lithium Niobate Electro-Optic Modulator for Frequency-Division Multiplexing RFID Systems" Electronics 13, no. 24: 5054. https://doi.org/10.3390/electronics13245054

APA Style

Luo, X., Gu, Z., Wang, C., Fan, C., & Zhang, W. (2024). Large-Bandwidth Lithium Niobate Electro-Optic Modulator for Frequency-Division Multiplexing RFID Systems. Electronics, 13(24), 5054. https://doi.org/10.3390/electronics13245054

Note that from the first issue of 2016, this journal uses article numbers instead of page numbers. See further details here.

Article Metrics

Back to TopTop