Next Article in Journal
Color Models in the Process of 3D Digitization of an Artwork for Presentation in a VR Environment of an Art Gallery
Next Article in Special Issue
A Study of Occluded Person Re-Identification for Shared Feature Fusion with Pose-Guided and Unsupervised Semantic Segmentation
Previous Article in Journal
Automated Equipment Defect Knowledge Graph Construction for Power Grid Regulation
Previous Article in Special Issue
A Novel Deep Learning Framework Enhanced by Hybrid Optimization Using Dung Beetle and Fick’s Law for Superior Pneumonia Detection
 
 
Font Type:
Arial Georgia Verdana
Font Size:
Aa Aa Aa
Line Spacing:
Column Width:
Background:
Article

Robotic Grasping Detection Algorithm Based on 3D Vision Dual-Stream Encoding Strategy

1
Yunnan Jiaotou Group Yunling Construction Co., Ltd., Kunming 650214, China
2
CAD Research Center, Tongji University, Shanghai 200092, China
3
Department of Geotechnical Engineering, Tongji University, Shanghai 200092, China
*
Author to whom correspondence should be addressed.
These authors contributed equally to this work.
Electronics 2024, 13(22), 4432; https://doi.org/10.3390/electronics13224432
Submission received: 12 October 2024 / Revised: 7 November 2024 / Accepted: 7 November 2024 / Published: 12 November 2024
(This article belongs to the Special Issue Advances in Computer Vision and Deep Learning and Its Applications)

Abstract

The automatic generation of stable robotic grasping postures is crucial for the application of computer vision algorithms in real-world settings. This task becomes especially challenging in complex environments, where accurately identifying the geometric shapes and spatial relationships between objects is essential. To enhance the capture of object pose information in 3D visual scenes, we propose a planar robotic grasping detection algorithm named SU-Grasp, which simultaneously focuses on local regions and long-distance relationships. Built upon a U-shaped network, SU-Grasp introduces a novel dual-stream encoding strategy using the Swin Transformer combined with spatial semantic enhancement. Compared to existing baseline methods, our algorithm achieves superior performance across public datasets, simulation tests, and real-world scenarios, highlighting its robust understanding of complex spatial environments.

1. Introduction

With recent advancements in automation technology, intelligent robots are expanding beyond industrial applications into various fields [1]. Civil engineering robotics, in particular, has become a popular research focus in recent years [2]. Robotic arms can perform numerous automated tasks by extracting object features from visual signals, including rock drilling [3] and construction [4,5,6]. However, traditional robots are typically preprogrammed for fixed assembly line operations, making it challenging for them to adapt to the complex and dynamic environments of construction sites [2]. Developing reliable and efficient grasping algorithms is, thus, essential for advancing the automation capabilities of construction robots.
As more and more deep learning algorithms have been proposed, significant progress has been achieved in learning high-level semantic representations. Deep learning, which minimizes the need for manual feature extraction, has become the mainstream approach for a wide range of visual perception tasks [7,8]. In robotic grasping applications, neural networks model visual signals to effectively learn the spatial representation of each object, enabling the computation of optimal grasping poses for target objects. Based on the type of visual input, existing end-to-end grasping prediction algorithms can be categorized into three main types [9,10]:
(1)
Grasping detection based on 2D image. The most straightforward approach to robotic grasping is adapting object detection models to suit grasping tasks. Established models like YOLO [11] have been widely adapted for robotic grasping, particularly useful when capturing objects with fixed shapes [12,13]. However, 2D vision-based grasping methods rely heavily on simplified physical models and the assumption of a fully observable environment, limiting their applicability.
(2)
Grasping detection based on point cloud segmentation. This approach involves preprocessing the point cloud, extracting features using deep learning, and predicting grasping poses with a specialized detector head. JSIS3D [14], for instance, proposes a parallel point-by-point network structure capable of simultaneously predicting object classes and embedding 3D points into higher-dimensional feature vectors for clustering. TemporalLidarSeg [15] introduces a dense feature encoding framework to address the sparsity of mesh data. However, 3D instance segmentation requires high-precision point cloud data, imposing stringent hardware requirements, which currently restricts its adoption in general robotic arm grasping tasks.
(3)
Grasping posture distribution map prediction based on RGB-D vision. Considering that there are infinite feasible grasping postures for an object, the pixel-level grasp representation method has been proposed in recent years [16,17,18,19]. For an RGB-D input image, these models output a set of predictions for each pixel, including grasp confidence and parameters (e.g., depth, width, and rotation angle). Chalvatzaki et al. [16] apply the U-Net 2D image segmentation algorithm to grasping tasks, capturing local spatial details and high-level semantic features in RGB-D images. Le Tuan Tang et al. [17] propose a method that combines CNN with point-pair-based 6D pose estimation to achieve rapid 3D object recognition. Jin Lei et al. [18] utilize a pose regression module to combine the original image with regions of interest, reducing the search space through translation refinement and rotation prediction.
These approaches still struggle to accurately recognize spatial relationships among various unknown objects in unstructured scenes. Additionally, current 3D vision algorithms often process depth images as grayscale images, concatenating them with RGB channels as input [9,20]. However, significant semantic differences exist between color and depth images: color images primarily represent object appearance, while depth images convey spatial information, such as distance, surface curvature, and orientation. Directly combining these two types of images may compromise the model’s ability to fully interpret their distinct visual semantics.
To address these issues, we propose the SU-Grasp algorithm by improving the traditional U-shaped network. Inspired by Swin-Unet [21], our approach leverages the sliding window self-attention mechanism [22] within a U-network structure for effective multi-scale visual feature extraction. Based on that, we further treat spatial and color information as distinct semantic modalities and design a dual-stream encoding strategy to facilitate cross-modal interaction. Additionally, we introduce the normal vector angle image as a prior feature to enrich spatial semantic representation. An overview of the SU-Grasp structure is shown in Figure 1. Experimental results demonstrate that SU-Grasp outperforms existing baselines in both accuracy and efficiency.
Our contributions are summarized as follows:
  • We propose a novel robotic grasping algorithm, SU-Grasp, based on a dual-stream structure. The image segmentation model Swin-Unet [21] is adapted to encode spatial and color inputs separately, minimizing semantic interference. Additionally, the optimal point for cross-modal information fusion is carefully explored.
  • We introduce the normal vector angle image as a supplementary input to enhance spatial representation. By preprocessing the depth image, a normal vector angle image is generated, providing prior knowledge of the scene’s spatial structure and guiding the model to focus on angular variations along object boundaries.
  • SU-Grasp achieves accuracy rates of 97.9% and 95.1% on the public datasets Cornell and Jacquard, respectively, outperforming existing baseline methods and demonstrating strong spatial comprehension. The results from simulation and real experiments further show that our approach generalizes well to various complex planar grasping scenarios.

2. Related Works

2.1. Deep Learning for Robotic Grasping

Extensive research has been conducted in the field of robotic grasping. While the problem may appear to be simply locating an appropriate grasp point on an object, the actual task involves multiple factors, such as the target object, the object’s shape and physical properties, and the specific gripper used for grasping [20].
Early robotic arm grasping algorithms primarily utilized unimodal inputs. Pinto et al. [23] employed an architecture similar to AlexNet [24], demonstrating that increasing the dataset size improved their CNN’s ability to generalize to new data. Johns et al. [25] utilized simulated depth images to assess the grasp outcome for each predicted grasp pose and selected the optimal grasp by refining the predicted pose using a grasp uncertainty function.
The availability of affordable RGB-D sensors has further facilitated the application of deep learning, allowing for direct feature extraction from multi-modal data to identify object characteristics. Yan et al. [26] developed a point cloud prediction network that generates grasp predictions by first preprocessing the data to extract color, depth, and masked images and then constructing a 3D point cloud of the object, which is fed into a critic network for grasp prediction. Chu et al. [27] reframed orientation regression as a classification task, leveraging CNNs’ high classification accuracy to improve grasp detection results. Kumra et al. [28] proposed a modular solution for grasping novel objects using a generative residual convolutional neural network. This network leverages n-channel input data to produce images that allow for inference of grasp rectangles for each pixel in the image.
The algorithms mentioned above fail to fully utilize the latent spatial semantics in depth images, making it challenging for models to comprehensively handle both color and spatial information. Additionally, CNN-based architectures remain dominant due to their rapid response times, which limits multi-scale feature extraction. Therefore, it is essential to develop an algorithm that maintains fast response times while offering robust comprehension capabilities.

2.2. Modality Fusion for RGB-D Images

In 3D computer vision tasks, RGB images contain rich color and texture information, while depth images emphasize 3D layout and spatial positioning [29]. Effectively combining the complementary information from RGB and depth features for cross-modal feature fusion has been a primary focus in such tasks.
Fu et al. [30] firstly converted the depth map into a three-channel representation and used a shared backbone for six-channel RGB-D feature extraction. Li et al. [31] captured complementary features between RGB and depth cues through an interwoven attention mechanism. Liu et al. [32] extracted saliency maps from various layers by selectively fusing cross-modal features and applying a fusion refinement module. Liang et al. [33] introduced a multi-modal interactive attention unit to filter and enhance cross-modal features along the channel dimension. Feng et al. [34] designed a deep interleaved backbone that transfers information between modality-specific encoders, enabling multi-modal feature fusion at various levels.
Since robotic arm grasp pose prediction requires high response speeds, this paper introduces an innovative adaptation of the traditional U-shaped network by implementing a dual-stream encoder. This design reduces the parameter count and improves computational efficiency while still achieving effective cross-modal fusion of color and spatial information.

3. Swin-Unet-Based Predictive Model for Planar Grasping

This section focuses on enhancing the multi-scale perception capabilities of the grasp prediction model. Swin-Unet [21] is selected as the foundational framework, leveraging its sliding window self-attention mechanism and U-shaped network structure to simultaneously improve the algorithm’s sensitivity to local geometric features and global visual relationships.

3.1. Task Definition

We focus on planar grasping for parallel gripper end-effectors, with the robotic arm constrained to grasp only from a direction perpendicular to the plane. Following [28], we use a distribution graph to represent the predicted grasp posture, denoted as G = Q ,   W ,   Θ     R 3 W H , where Q ,   W , and Θ represent three distribution heatmaps indicating the success probability, grasp width, and rotation angle, respectively, with each pixel serving as the potential grasp center. Therefore, the grasp prediction task can be divided into three subtasks: predicting the grasp center position, grasp rectangle width, and rotation angle.

3.2. Swin-Unet Backbone

Considering the similarities between grasping prediction and image segmentation tasks, we select the medical image segmentation model Swin-Unet [21] as our initial backbone. Swin-Unet is a U-shaped architecture based on the Swin Transformer [22], comprising an encoder, a bottleneck layer, a decoder, and skip connections. The network divides the input image into non-overlapping patches and extracts multi-scale features using an encoder that employs a sliding window attention mechanism. Subsequently, the decoder, equipped with patch expanding layers, performs up-sampling, progressively restoring the spatial resolution of the feature maps to enable pixel-level predictions.
We choose Swin-Unet due to two key designs that make it highly suited for robotic grasping tasks:
  • The Swin Transformer captures low-level features across multiple scales. The encoder connects information across individual image patches. The internal window attention mechanism (W-MSA) captures local information and fine details of graspable objects, while the shifted window attention mechanism (SW-MSA) captures long-range dependencies between more distant pixels.
  • The U-shaped structure enables effective high-level semantic aggregation. To minimize information loss during down-sampling, Swin-Unet uses skip connections to transfer shallow features from the encoder to corresponding decoder layers, aiding the decoder in effectively aggregating high-level semantic information.
Combining these two advantages, Swin-Unet is selected as the backbone for our SU-Grasp model. This architecture enables the simultaneous capture of local details (such as object contours) and long-range relationships (such as spatial connections between different visual elements in cluttered environments) in 3D vision.
However, experiments revealed that Swin-Unet struggles to learn stable grasping poses in 3D visual scenes (see Section 5.3 for details). This may be attributed to two main factors: (1) depth images and RGB color images convey distinct semantic information, making them challenging to encode simultaneously; and (2) Swin-Unet has limitations in comprehending the physical dynamics involved in grasping.
To address these challenges, we modified the original encoder into a dual-stream structure, enabling more efficient fusion of color and depth information. Additionally, we introduced the normal vector angle image as supplementary spatial input, as detailed in Section 4.1.

3.3. Loss Function

In the Swin-Unet decoder, three detection heads (i.e., Q ,   W , and Θ ) are attached in parallel at the output layer. This structure allows for efficient inference, requiring only a single forward pass to determine the optimal grasping pose.
Following the approach in [28,35], we frame grasp pose estimation as a regression problem by establishing a mapping function F : I G ~ , where I denotes the input RGB-D image and G ~ denotes the predicted heatmap of the model outputs ( Q , W , Θ ) . To optimize this mapping, we define the loss function based on minimizing the distance between predictions and target values, as follows:
L = i N m Q , W , Θ w m × G ~ i m L i m 2 ,
where N denotes the sample size, L i denotes ground truth, and w m denotes the weight of each predicted heatmap loss value.
To determine the final grasping posture, we identify the pixel position with the highest grasp confidence in the heatmap Q , defined as G p o s * = a r g m a x p o s Q . Then, we extract the width and angle of the grasp posture from the heatmaps W and Θ at the corresponding position.

4. Dual-Stream Encoding Strategy Based on Spatial Semantic Enhancement

This section mainly focuses on how to improve the multi-modal understanding ability of the original Swin-Unet network for grasping tasks in 3D scenes. First, we introduce the normal vector angle image to extract latent spatial prior knowledge from the depth image. To mitigate semantic interference arising from multi-channel inputs, we transform the encoder of Swin-Unet into a dual-stream structure and develop a modality fusion method for effectively integrating color and spatial information.

4.1. Introduction of Normal Vector Angle Images

To effectively leverage the color and spatial information contained in RGB-D images, we categorize the 3D vision signals into two semantic modalities: color modality and spatial modality. Drawing from the process of how humans grasp objects, we propose that the spatial modality plays two critical roles. First, it aids in establishing the overall position of the target object. Second, it provides local geometric information of the object’s surface, which is crucial for identifying the most stable grasping point and determining the appropriate rotation angle.
Rather than relying on the model to autonomously learn the hidden semantics of the object’s surface orientation, explicitly representing this information through the normal vector angle image may simplify the learning task.
Therefore, we incorporate the normal vector angle image into our network input as prior information. Specifically, for each pixel in the depth image, we calculate the unit surface normal vector Ν ( n x , n y , n z ) and its angles relative to the camera coordinate system’s X Y Z axes. The formulas are as follows:
a x = arccos N ·   x , a y = arccos N ·   y , a z = arccos N ·   z ,
where x 1,0 , 0 , y 0,1 , 0 , z ( 0,0 , 1 ) represent the unit vectors of the X Y Z coordinate axes, respectively. After scaling these angles to a range of 0 to 255, we generate a three-channel normal vector angle image I n r m . This image is then concatenated with the depth image to form the enhanced input for the spatial modality (abbreviated as the DI image).
Since the normal vector angle images for all samples can be precomputed, our model is able to maintain an end-to-end training mode. In the following sections, we will collectively refer to the RGB color images and DI spatial images as RGB-DI images, which will serve as inputs to the model.
Figure 2 displays the grayscale visualization of a sample normal vector angle image, revealing how effectively it highlights changes in object surface orientation. This provides valuable cues for the model in recognizing object shapes and determining the optimal rotation angle for the robotic arm during grasping.

4.2. Dual-Stream Multi-Modal Fusion Encoder

With the addition of the normal vector angle image, the total number of input channels (referred to as the RGB-DI image) increases to seven. Directly feeding this combined input into the original network could result in suboptimal feature fusion, as the data distribution characteristics vary significantly between modalities. The RGB image in the color modality emphasizes object textures and relative positions, while the DI image in the spatial modality primarily highlights changes in geometric shape characteristics.
Therefore, the dual-stream architecture [36] is adopted to leverage the distinct strengths and complementary features of different modalities. As shown in Figure 3, two compact sub-encoders with similar structures are used to separately process color and spatial images. The resulting feature maps are then concatenated and further encoded to facilitate cross-modal interaction.

4.3. Cross-Modal Fusion Strategy

To facilitate cross-modal fusion, we leverage the hierarchical structure of Swin-Unet and innovatively enhance its encoder through a channel-level splicing method [37]. The implementation details of our model SU-Grasp are as follows:
(1)
In the first half of the original Swin-Unet encoder, we set the hyperparameter C (representing the dimension of the embedding vector for each patch) to half of its original value. This structure is then replicated to create two sub-encoders, as indicated by the green dashed boxes in Figure 4b.
(2)
The RGB color image and the DI spatial image are input into their respective sub-encoders, each of which up-samples the features twice using Swin Transformer blocks. The features from the two sub-encoders are then concatenated, restoring the embedding dimension to 4 C , as shown within the blue dashed boxes in Figure 4b.
(3)
The concatenated vector from the previous step includes both color segmentation features and spatial shape features. By sequentially passing through the cross-modal fusion encoder, bottleneck, and decoder, the grasp parameter prediction heatmaps can ultimately be generated.
(4)
Correspondingly, the skip connection module for the two lower levels needs to be adjusted. The outputs from the two sub-encoders are concatenated with the feature map from the deeper level decoder, as illustrated in the following formula:
D n i n = ( E 4 n 1 ,     E 4 n 2 ,     D n 1 o u t )
where D n i n and D n o u t denote the input and output of the nth-level decoder, and E 4 n 1 and E 4 n 2 denote the output of the two sub-encoders corresponding to the nth level decoder for n { 2,3 } .
(5)
Leveraging the hierarchical structure of Swin-Unet, the fusion point for the dual-stream architecture can be adjusted to occur earlier or later in the processing sequence. We conduct experiments to investigate the impact of selecting different fusion points, which are detailed in Section 5.4.
In summary, our SU-Grasp framework employs independent sub-encoders to separately extract multi-scale features from RGB and DI images. Compared to directly inputting seven-channel data, this dual-stream encoding strategy allows for individual extraction of semantic features from each modality, followed by more efficient fusion, enhancing the model’s understanding of the input data. Additionally, this approach reduces the complexity of the algorithm and accelerates training through parallel computing.

5. Experiments

5.1. Datasets

We conduct our experiments using two public datasets, Cornell [38] and Jacquard [39]. The Cornell dataset comprises 885 images featuring 244 common household items, with a total of 8019 grasp frames labeled, including 5110 feasible grasp frames and 2909 infeasible ones. The Jacquard dataset, created by Amaury et al. [39], automated the generation of labeled images for robot grasping by simulating a CAD environment. It contains over 50,000 images across 10,000 object categories along with 1 million machine-annotated grasping labels.
To assess the model’s accuracy on these datasets, a successful grasp is defined by the following conditions:
(1)
The predicted grasp center P ^ ( x ^ , y ^ ) falls within 20 pixels of the labeled center P x , y ;
(2)
The difference between the predicted grab angle and the labeled angle is within 30°;
(3)
The Jaccard coefficient between the predicted grasp box and ground truth needs to be greater than 0.3. The Jaccard coefficient is used to quantify the similarity between two grasping boxes, and it is calculated using the following formula:
J a c c a r d   S ^ ,   S = S ^ S S ^ S ,
where S ^ and S denote the area occupied by the predicted grasp box and ground truth, respectively.

5.2. Implementation Details

The primary objectives of our experiments are to verify the following: (1) whether the Swin Transformer outperforms traditional CNN architectures in terms of grasp accuracy and efficiency, and (2) the effectiveness of the innovations presented in this paper. To evaluate these objectives, we selected several well-performing CNN algorithms from the two datasets as our baseline models. These include the Multi-Modal Grasp Predictor (MMGP) [20], the ResNet50 multi-grasp predictor [27], and GRCNN [28].
We set the embedding vector dimension C to 64, with a patch size of 4 × 4 and a window size of 7. The block depth for each stage of the Swin Transformer is configured to 2, while the number of attention heads is set to 1, 2, 4, 8, 4, 2, and 1, respectively. The learning rate decreases from 10 4 gradually to 10 5 . The dropout rate is set to 0.1 to prevent overfitting. All experiments are conducted using a single NVIDIA RTX 4090 GPU.
For the Cornell dataset experiments, the batch size is set to 32, and the models are trained for 1000 epochs. In contrast, for the Jacquard dataset, the number of epochs is reduced to 500 to save computational time.

5.3. Results Analysis

The accuracy and runtime of each model on the test sets of the two datasets are presented in Table 1.
As shown in Table 1, SU-Grasp achieves the highest accuracy on both datasets compared to the other baselines and significantly outperforms the other models in terms of runtime. This demonstrates that SU-Grasp can deliver faster and more accurate grasp prediction responses. Compared to the baseline models, SU-Grasp’s two-stage encoding structure enables a more efficient execution of the two subtasks: “object localization” and “grasp prediction”. Additionally, it mitigates the data distribution interference between RGB images and depth information. This will directly enhance the model’s inference efficiency while maintaining a smaller parameter count. Such capabilities are essential for practical applications that demand quick responses.
Figure 5 illustrates the training loss variation curves for the SU-Grasp, Swin-Unet, and GRCNN models across both datasets. SU-Grasp consistently demonstrates superior training speed and effectiveness, indicating that the integration of the normal vector angle image and the dual-stream encoder structure significantly enhances the model’s ability to comprehend spatial information in the scene, resulting in improved grasp prediction performance.
Figure 6 presents some prediction results and output heatmaps generated by SU-Grasp. It is evident that SU-Grasp effectively captures the edge variations in objects within the scene and selects optimal grasp postures based on their overall geometric appearance. However, the model exhibits a tendency to overly emphasize object boundaries while neglecting physical principles, which could lead to an imbalance of forces acting on the object during the grasping process.

5.4. Ablation Analysis

To evaluate the impact of the normal vector angle image and the dual-stream encoder structure on accelerating model training, we conduct two ablation experiments using the Cornell dataset.

5.4.1. Ablation of the Normal Vector Angle Image

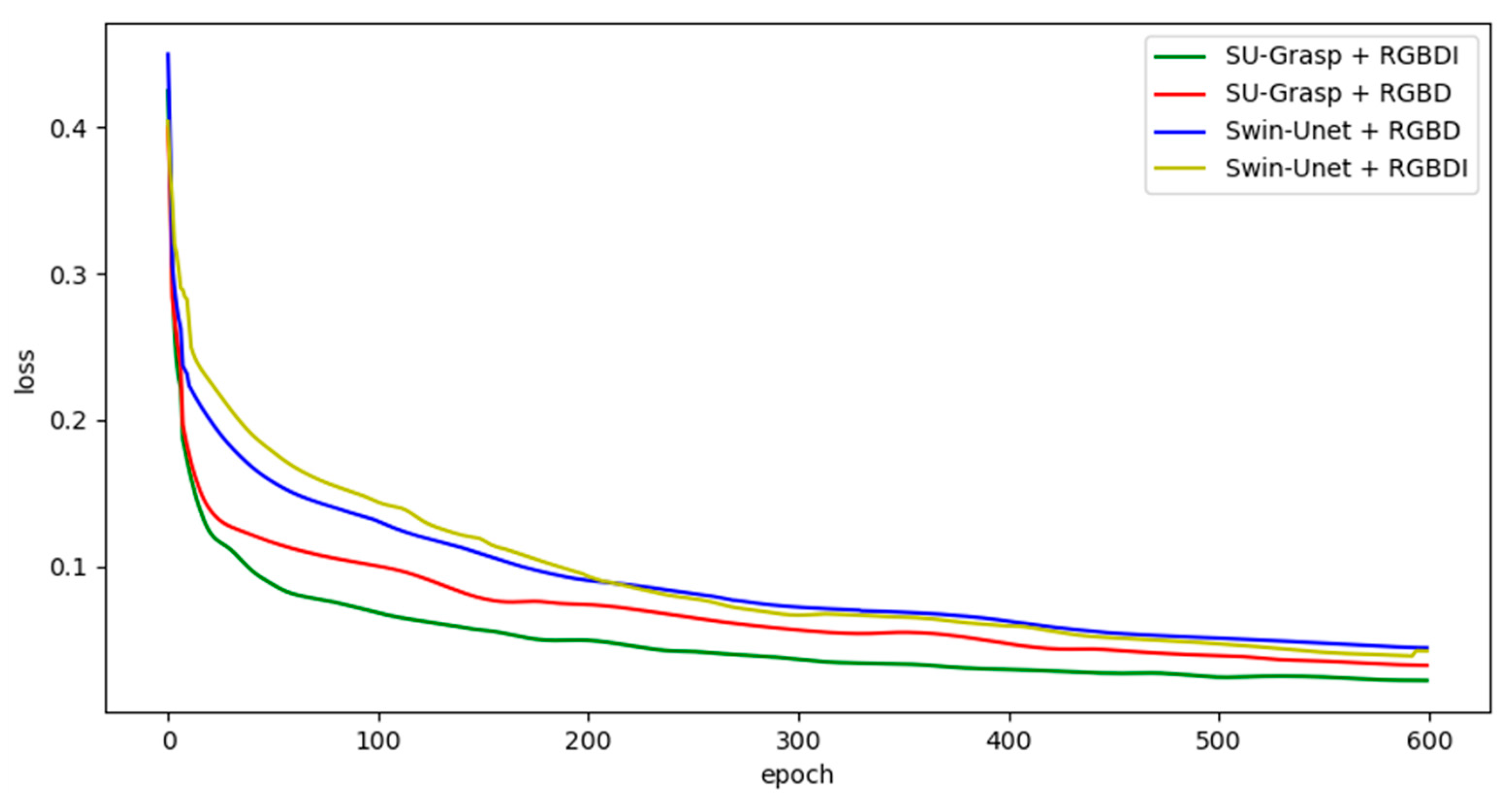
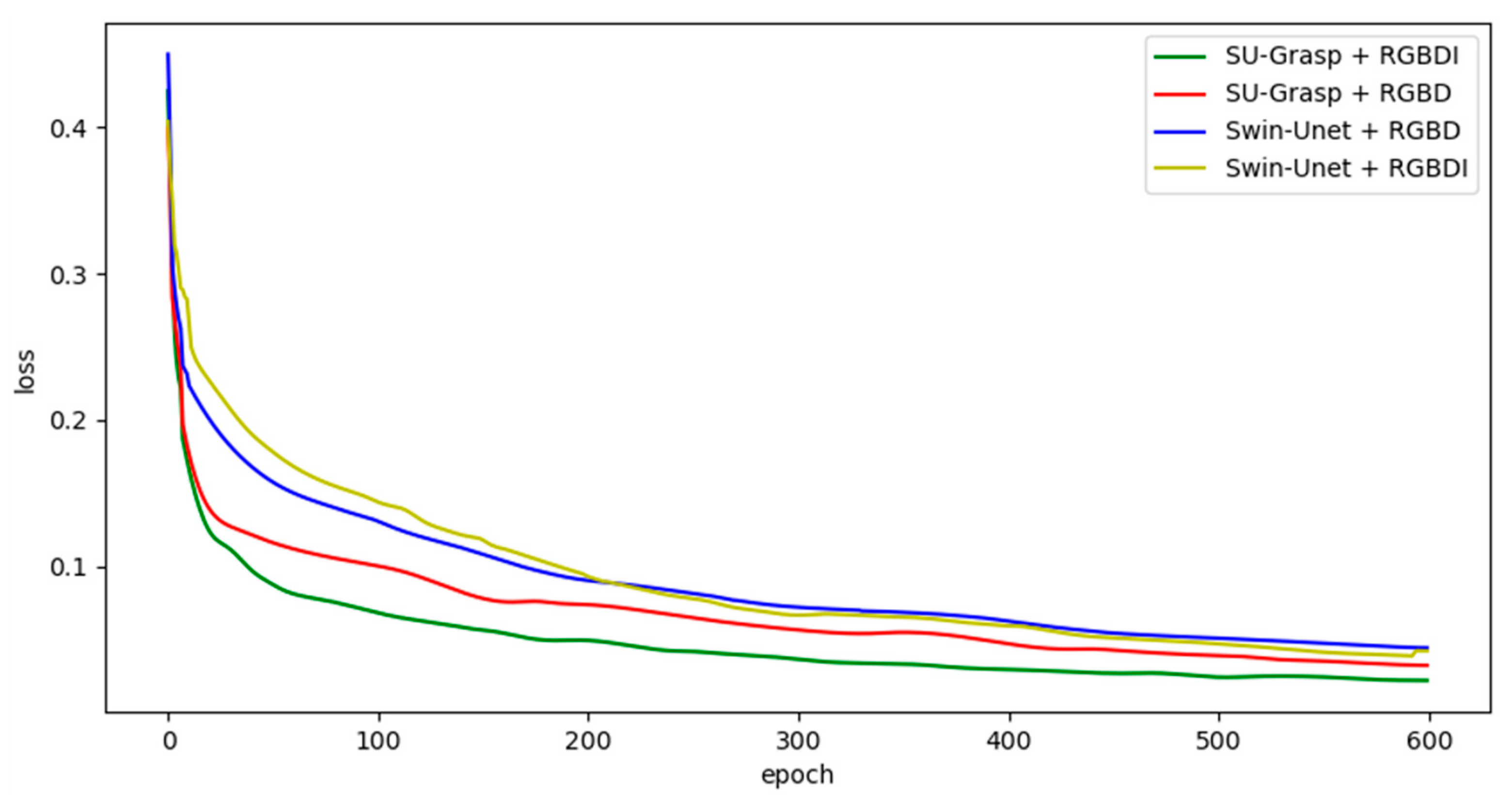
We train Swin-Unet and SU-Grasp using RGB-D and RGB-DI as inputs, respectively. For the training of SU-Grasp with RGB-D, the channel allocation ratio in the dual-stream encoder is adjusted from 1:1 to 3:1. The total loss values for each model were recorded, as illustrated in Figure 7.
From Figure 7, we observe that, when the training data for Swin-Unet are switched from RGB-D to RGB-DI, the loss values exhibit greater fluctuations, negatively impacting the convergence speed of Swin-Unet. In contrast, SU-Grasp demonstrates accelerated convergence when using RGB-DI as input. This indicates that the multi-modal fusion mechanism, supported by the prior information provided by the normal vector angle image, helps the model learn spatial representations more efficiently.
To further investigate the role of normal vector angle images in the training of SU-Grasp, we plot the losses of the three output heatmaps Q , W , Θ when using RGB-D and RGB-DI as inputs in Figure 8.
As can be observed in Figure 8b,c, adding normal vector angle images to the model’s input significantly accelerates the convergence speed of the loss values for grasp width W and angle Θ . This outcome aligns closely with our original design intention: the normal vector angle image provides clearer surface information of objects, which assists the model in identifying an optimal perpendicular cutting plane for stable grasping. As a result, it accelerates the learning process of understanding grasp width W and rotation angle Θ , both of which are closely related to the local geometric information of objects.

5.4.2. Ablation of the Dual-Stream Encoder Structure

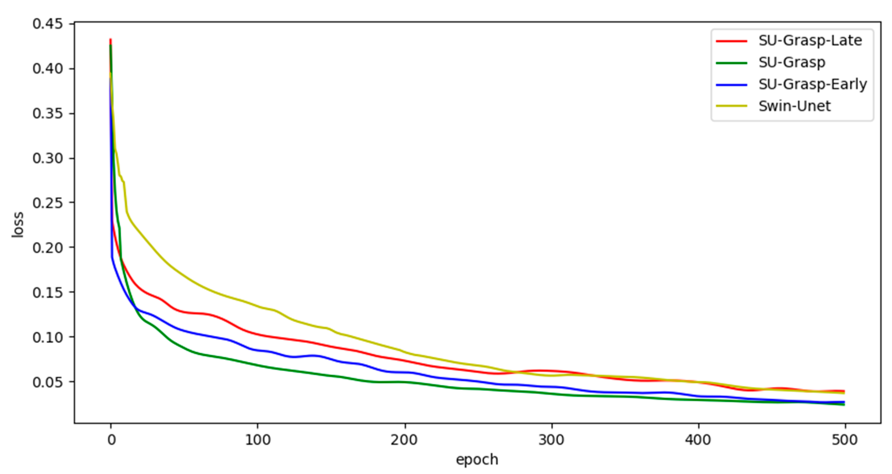
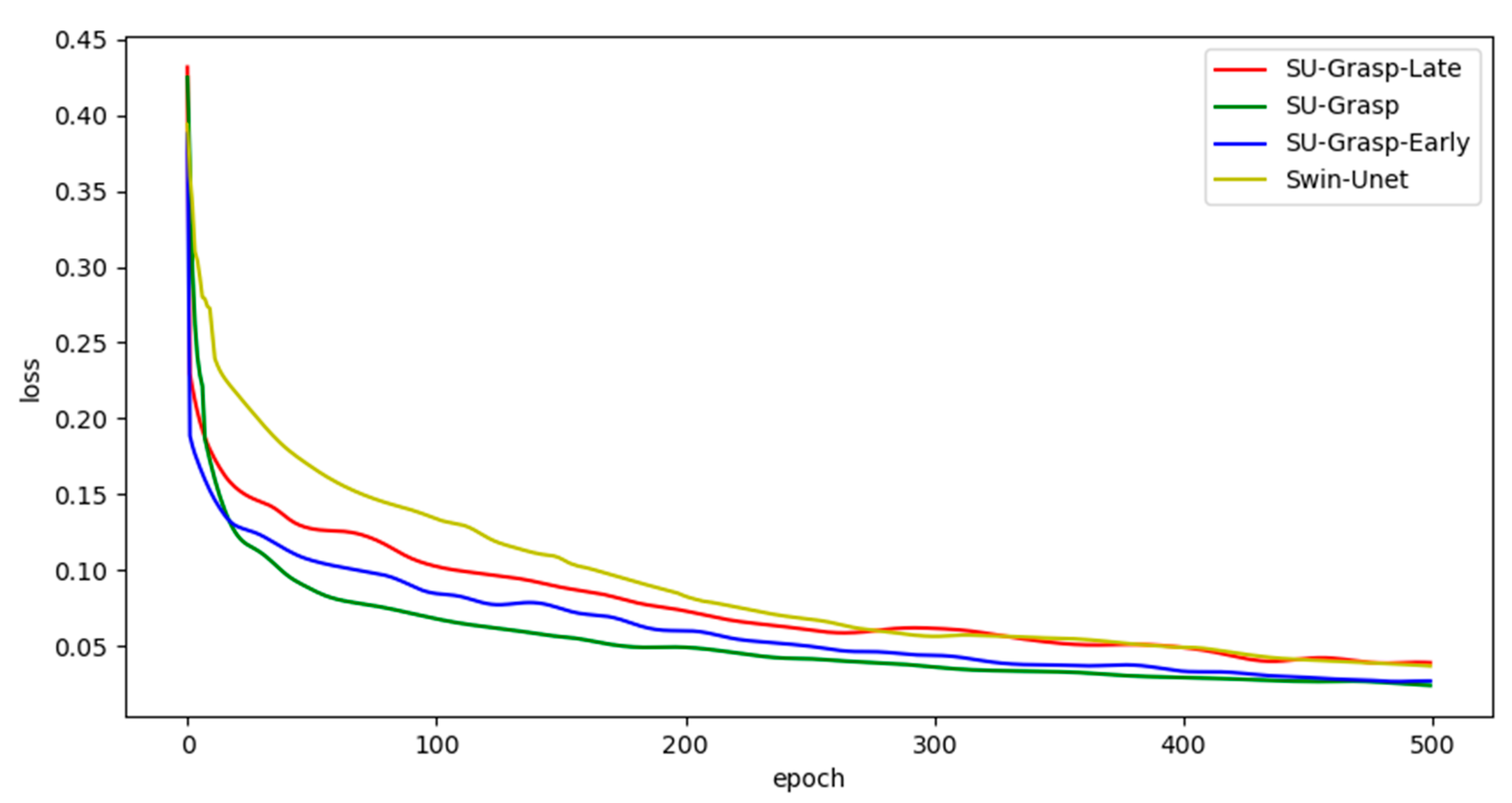
To explore the optimal structure of the dual-stream encoder, we set up four models: (1) the original Swin-Unet, (2) our SU-Grasp, (3) SU-Grasp-Early (where the dual-stream structure is fused early, immediately after the first up-sampling), and (4) SU-Grasp-Late (where the dual-stream structure is fused after all up-sampling is completed, followed directly by the bottleneck module). All four models utilize RGB-DI as input, and the changes in loss values are presented in Figure 9.
In Figure 9, as the fusion point shifts further back—from the input-level early fusion of Swin-Unet to the full-level late fusion of SU-Grasp-Late—the model’s convergence speed initially accelerates but then begins to decelerate. This observation suggests that the position of cross-modal fusion directly influences the effectiveness of the integration. Based on the experimental results, fusion occurring after the second up-sampling proves to be the most effective, which is why it has been selected as the final structure for our model, SU-Grasp.

5.5. Simulation Test

The Cornell and Jacquard datasets are both focused on single-object grasping tasks, which limits the ability to assess algorithms’ robustness and their capacity to understand complex environments that may contain multiple unknown objects. To address this limitation, we designed a simulation environment using PyBullet, as illustrated in Figure 10a.
The simulation test process proceeds as follows. After initializing the simulation environment, a virtual camera captures the RGB-D image. Based on the algorithm’s predictions, the robotic arm is then driven to the corresponding positions to attempt grasping an object in the scene. To evaluate the algorithm’s ability to perceive complex, unstructured environments, several unknown 3D objects are randomly generated, incorporating potential occlusions, tilts, leans, and other intricate states.
Based on our experiments, SU-Grasp achieves an average grasping success rate of 81.3%, which is significantly higher than that of Swin-Unet (69.0%) and GRCNN (72.8%). Figure 10b illustrates some outputs from SU-Grasp during simulation, showcasing its ability to quickly identify object positions even in cluttered scenes.
However, we also observed instances of “contour grasping”, as shown in the fourth image of Figure 10b. This indicates a potential misinterpretation of object boundaries as critical grasping points. This issue may stem from the model’s limited understanding of physical principles, suggesting a need for further improvements.

5.6. Real-World Test

We tested SU-Grasp’s performance in real-world scenarios using a Franka Emika 7-DOF robotic arm and an Intel Realsense D435 depth camera. The grasping process was divided into several main steps: data collection, data preprocessing, network inference, motion planning, robotic arm control, and reset (as illustrated in Figure 11). During data preprocessing, the RANSAC algorithm [40] was employed to process 3D visual signals. Once the grasping parameters were predicted by the network, the MoveIt motion planning framework [41] was used for path planning through inverse kinematics in a simulated environment.
To evaluate grasp success, the end-effector’s force-torque sensor determined if the object was securely gripped. Upon a successful grasp, the robotic arm would remove the object from the workspace; if unsuccessful, it would return to its initial position. When the grasping of an object failed a total of five times, we manually removed the object.
We conducted tests in five different scenarios, involving several randomly arranged stacked objects, including rectangular boxes, measuring tapes, plastic bottles, double-sided tapes, and pencils. The experimental results are presented in Table 2, where “√” indicates a successful grasp and “×” indicates a failure.
Table 2 documents the performance of SU-Grasp and GRCNN in terms of grasp success rate and average number of attempts across different scenarios. The experiments showed that, although both models achieved a success rate of over 80%, SU-Grasp demonstrated greater robustness to environmental challenges, such as stacked occlusions and shadow interference. This allowed for it to more accurately identify an optimal grasp posture for individual objects. In contrast, GRCNN often perceived visually overlapping objects as a single entity, resulting in ineffective object localization.
The experiments also revealed that the success rate for grasping measuring tapes is relatively low, likely due to their small size and smooth surface, which make them prone to slipping during the robotic arm’s grasp. Nonetheless, the model continues to exhibit the tendency noted in Section 5.5, where grasping is centered around the object’s contour points. While this does not affect the grasping of larger objects, like boxes and bottles, more precise grasping predictions are necessary for smaller items like measuring tapes. This indicates that the model still faces challenges in understanding more complex physical knowledge, such as material smoothness and mass distribution.

6. Discussion

In this study, to balance spatial understanding with response speed, we chose to enhance the existing Swin-Unet model rather than adopting the more conventional CNN framework. As demonstrated by the results in Section 5, the integration of normal vector angle images enables the model to rapidly capture the geometric contours of objects and find stable grasping angles efficiently. The dual-stream encoding strategy further leverages the complementary strengths of color and spatial information, allowing for the model to accurately locate each object in complex environments and achieve better generalization performance.
In a broader context, this study offers valuable insights for other complex visual tasks. For instance, similar dual-stream encoding methods could be advantageous in scenarios requiring precise geometric understanding, such as obstacle detection in autonomous driving or assisting with complex procedures in medical settings.
Despite the positive results, this study has certain limitations. First, the model occasionally identifies the boundary contour of an object as the grasp center, likely due to the prevalence of elongated objects in the training set, which may have influenced the model’s interpretation of the ideal grasp center. Additionally, the model encounters difficulty selecting more stable materials as grasp points when handling small, smooth objects, where visual cues and practical experience would typically favor materials with higher friction.
To address these challenges, our future work will focus on incorporating physical knowledge into the model to improve grasp center localization. For example, by employing multi-round prompts to guide large vision-language models (VLMs), we can encourage a finer focus on object geometry and material characteristics.

7. Conclusions

To address the challenge of insufficient spatial understanding in existing robotic grasping detection algorithms, we propose the SU-Grasp model, which integrates a dual-stream encoding strategy based on sliding window attention and spatial semantic enhancement within a U-shaped network architecture. By explicitly incorporating spatial information through the normal vector angle image, our model can better discern the geometric features of objects, thus enhancing its grasping decision-making process.
Our method achieved accuracy rates of 97.9% and 95.1% on the Cornell and Jacquard datasets, respectively, outperforming existing baselines in both accuracy and training efficiency. Moreover, in complex simulated and real-world environments with multiple unknown objects with varying poses and occlusions, SU-Grasp maintained average grasping success rates of 83% and 88%. These results underscore SU-Grasp’s robust spatial understanding and generalization capabilities, enabling robotic arms to effectively adapt to diverse and intricate engineering environments.

Author Contributions

Conceptualization, M.L. and P.W.; Data curation, J.M.; Formal analysis, P.W.; Investigation, P.W.; Methodology, P.W.; Supervision, Y.H.; Validation, H.L.; Visualization, P.W.; Writing—original draft, M.L. and P.W.; Writing—review and editing, M.L., H.L., W.W., and Y.H. All authors have read and agreed to the published version of the manuscript.

Funding

This work was supported by the National Natural Science Foundation of China [42272338, 41827807], Department of Transportation of Zhejiang Province [202213], and Research on Mechanized Supporting Construction Technology for Tunnels [YCIC-YF-2022-03].

Data Availability Statement

The two datasets used in this paper can be found at the following publicly available websites: https://www.kaggle.com/datasets/oneoneliu/cornell-grasp (accessed on 7 February 2024), https://jacquard.liris.cnrs.fr/ (accessed on 15 February 2024).

Conflicts of Interest

Authors Minglin Lei, Hua Lei and Jieyun Ma were employed by the company Yunnan Jiaotou Group Yunling Construction Co., Ltd. The remaining authors declare that the research was conducted in the absence of any commercial or financial relationships that could be construed as a potential conflict of interest.

References

  1. Licardo, J.T.; Domjan, M.; Orehovački, T. Intelligent robotics—A systematic review of emerging technologies and trends. Electronics 2024, 13, 542. [Google Scholar] [CrossRef]
  2. Lee, A.J.; Song, W.; Yu, B.; Choi, D.; Tirtawardhana, C.; Myung, H. Survey of robotics technologies for civil infrastructure inspection. J. Infrastruct. Intell. Resil. 2023, 2, 100018. [Google Scholar] [CrossRef]
  3. Kang, M.; Hua, D.; Guo, X. Review on the influence of complex stratum on the drilling trajectory of the drilling robot. Appl. Sci. 2023, 13, 2532. [Google Scholar] [CrossRef]
  4. Zeng, L.; Guo, S.; Wu, J.; Markert, B. Autonomous mobile construction robots in built environment: A comprehensive review. Dev. Built Environ. 2024, 19, 100484. [Google Scholar] [CrossRef]
  5. Wei, H.-H.; Zhang, Y.; Sun, X.; Chen, J.; Li, S. Intelligent robots and human–robot collaboration in the construction industry: A review. J. Intell. Constr. 2023, 1, 9180002. [Google Scholar] [CrossRef]
  6. Ejidike, C.C.; Mewomo, M.C.; Olawumi, T.O.; Esangbedo, O.P. A Review of the Benefits of Automation and Robotic Application in Building Construction. Comput. Civ. Eng. 2024, 2023, 796–803. [Google Scholar]
  7. Yin, S. Object Detection Based on Deep Learning: A Brief Review. IJLAI Trans. Sci. Eng. 2023, 1, 1–6. [Google Scholar]
  8. Manakitsa, N.; Maraslidis, G.S.; Moysis, L.; Fragulis, G.F. A review of machine learning and deep learning for object detection, semantic segmentation, and human action recognition in machine and robotic vision. Technologies 2024, 12, 15. [Google Scholar] [CrossRef]
  9. Kroemer, O.; Niekum, S.; Konidaris, G. A review of robot learning for manipulation: Challenges, representations, and algorithms. J. Mach. Learn. Res. 2021, 22, 1–82. [Google Scholar]
  10. Zhou, Z.; Wang, C. Review of Research on Robotic Arm Gripping Inspection Methods. In International Workshop of Advanced Manufacturing and Automation; Springer Nature: Singapore, 2022. [Google Scholar]
  11. Redmon, J. You only look once: Unified, real-time object detection. In Proceedings of the IEEE Conference on Computer Vision and Pattern Recognition, Las Vegas, NV, USA, 27–30 June 2016. [Google Scholar]
  12. Rais, V.; Dolezel, P. Object detection for robotic grasping using a cascade of convolutional networks. In Proceedings of the 2023 24th International Conference on Process Control (PC), Strbske Pleso, Slovakia, 6–9 June 2023; pp. 198–202. [Google Scholar]
  13. Farag, M.; Ghafar, A.N.A.; Alsibai, M.H. Alsibai, Real-time robotic grasping and localization using deep learning-based object detection technique. In Proceedings of the 2019 IEEE International Conference on Automatic Control and Intelligent Systems (I2CACIS), Selangor, Malaysia, 29 June 2019; pp. 139–144. [Google Scholar]
  14. Pham, Q.-H.; Nguyen, T.; Hua, B.-S.; Roig, G.; Yeung, S.-K. JSIS3D: Joint semantic-instance segmentation of 3D point clouds with multi-task pointwise networks and multi-value conditional random fields. In Proceedings of the IEEE/CVF Conference on Computer Vision and Pattern Recognition, Long Beach, CA, USA, 15–20 June 2019. [Google Scholar]
  15. Duerr, F.; Pfaller, M.; Weigel, H.; Beyerer, J. Lidar-based recurrent 3d semantic segmentation with temporal memory alignment. In Proceedings of the 2020 International Conference on 3D Vision (3DV), Fukuoka, Japan, 25–28 November 2020. [Google Scholar]
  16. Chalvatzaki, G.; Gkanatsios, N.; Maragos, P.; Peters, J. Orientation attentive robotic grasp synthesis with augmented grasp map representation. arXiv 2020, arXiv:2006.05123. [Google Scholar]
  17. Le, T.-T.; Le, T.-S.; Chen, Y.-R.; Vidal, J.; Lin, C.-Y. 6D pose estimation with combined deep learning and 3D vision techniques for a fast and accurate object grasping. Robot. Auton. Syst. 2021, 141, 103775. [Google Scholar] [CrossRef]
  18. Jin, L.; Wang, X.; He, M.; Wang, J. DRNet: A depth-based regression network for 6D object pose estimation. Sensors 2021, 21, 1692. [Google Scholar] [CrossRef] [PubMed]
  19. Yin, P.; Ye, J.; Lin, G.; Wu, Q. Graph neural network for 6D object pose estimation. Knowl.-Based Syst. 2021, 218, 106839. [Google Scholar] [CrossRef]
  20. Kumra, S.; Kanan, C. Robotic grasp detection using deep convolutional neural networks. In Proceedings of the 2017 IEEE/RSJ International Conference on Intelligent Robots and Systems (IROS), Vancouver, BC, Canada, 24–28 September 2017. [Google Scholar]
  21. Cao, H.; Wang, Y.; Chen, J.; Jiang, D.; Zhang, X.; Tian, Q.; Wang, M. Swin-unet: Unet-like pure transformer for medical image segmentation. In Computer Vision—ECCV 2022 Workshops; European Conference on Computer Vision; Springer Nature: Cham, Switzerland, 2022. [Google Scholar]
  22. Liu, Z.; Lin, Y.; Cao, Y.; Hu, H.; Wei, Y.; Zhang, Z.; Lin, S.; Guo, B. Swin transformer: Hierarchical vision transformer using shifted windows. In Proceedings of the IEEE/CVF International Conference on Computer Vision, Montreal, QC, Canada, 10–17 October 2021. [Google Scholar]
  23. Pinto, L.; Gupta, A. Supersizing self-supervision: Learning to grasp from 50k tries and 700 robot hours. In Proceedings of the 2016 IEEE International Conference on Robotics and Automation (ICRA), Stockholm, Sweden, 16–21 May 2016. [Google Scholar]
  24. Krizhevsky, A.; Sutskever, I.; Hinton, G.E. Imagenet classification with deep convolutional neural networks. Adv. Neural Inf. Process. Syst. 2012, 25, 1097–1105. [Google Scholar] [CrossRef]
  25. Johns, E.; Leutenegger, S.; Davison, A.J. Deep learning a grasp function for grasping under gripper pose uncertainty. In Proceedings of the 2016 IEEE/RSJ International Conference on Intelligent Robots and Systems (IROS), Daejeon, Republic of Korea, 9–14 October 2016. [Google Scholar]
  26. Yan, X.; Khansari, M.; Hsu, J.; Gong, Y.; Bai, Y.; Pirk, S.; Lee, H. Data-efficient learning for sim-to-real robotic grasping using deep point cloud prediction networks. arXiv 2019, arXiv:1906.08989. [Google Scholar]
  27. Chu, F.-J.; Xu, R.; Vela, P.A. Real-world multiobject, multigrasp detection. IEEE Robot. Autom. Lett. 2018, 3, 3355–3362. [Google Scholar] [CrossRef]
  28. Kumra, S.; Joshi, S.; Sahin, F. Antipodal robotic grasping using generative residual convolutional neural network. In Proceedings of the 2020 IEEE/RSJ International Conference on Intelligent Robots and Systems (IROS), Las Vegas, NV, USA, 25–29 October 2020. [Google Scholar]
  29. Hu, X.; Sun, F.; Sun, J.; Wang, F.; Li, H. Cross-modal fusion and progressive decoding network for RGB-D salient object detection. Int. J. Comput. Vis. 2024, 132, 3067–3085. [Google Scholar] [CrossRef]
  30. Fu, K.; Fan, D.-P.; Ji, G.-P.; Zhao, Q. JL-DCF: Joint learning and densely-cooperative fusion framework for RGB-D salient object detection. In Proceedings of the IEEE/CVF conference on computer vision and pattern recognition, Seattle, WA, USA, 14–19 June 2020. [Google Scholar]
  31. Li, C.; Cong, R.; Kwong, S.; Hou, J.; Fu, H.; Zhu, G.; Zhang, D.; Huang, Q. ASIF-Net: Attention steered interweave fusion network for RGB-D salient object detection. IEEE Trans. Cybern. 2020, 51, 88–100. [Google Scholar] [CrossRef]
  32. Liu, D.; Zhang, K.; Chen, Z. Attentive cross-modal fusion network for RGB-D saliency detection. IEEE Trans. Multimed. 2020, 23, 967–981. [Google Scholar] [CrossRef]
  33. Liang, Y.; Qin, G.; Sun, M.; Qin, J.; Yan, J.; Zhang, Z. Multi-modal interactive attention and dual progressive decoding network for RGB-D/T salient object detection. Neurocomputing 2022, 490, 132–145. [Google Scholar] [CrossRef]
  34. Feng, G.; Meng, J.; Zhang, L.; Lu, H. Encoder deep interleaved network with multi-scale aggregation for RGB-D salient object detection. Pattern Recognit. 2022, 128, 108666. [Google Scholar] [CrossRef]
  35. Wang, S.; Zhou, Z.; Kan, Z. When transformer meets robotic grasping: Exploits context for efficient grasp detection. IEEE Robot. Autom. Lett. 2022, 7, 8170–8177. [Google Scholar] [CrossRef]
  36. Mao, M.; Zhang, R.; Zheng, H.; Gao, P.; Ma, T.; Peng, Y.; Ding, E.; Zhang, B.; Han, S. Dual-stream network for visual recognition. Adv. Neural Inf. Process. Syst. 2021, 34, 25346–25358. [Google Scholar]
  37. Simonyan, K.; Zisserman, A. Two-stream convolutional networks for action recognition in videos. Adv. Neural Inf. Process. Syst. 2014, 27, 568–576. [Google Scholar]
  38. Cornell Grasp Dataset. Available online: https://www.kaggle.com/datasets/oneoneliu/cornell-grasp (accessed on 7 February 2024).
  39. Depierre, A.; Dellandréa, E.; Chen, L. Jacquard: A large scale dataset for robotic grasp detection. In Proceedings of the 2018 IEEE/RSJ International Conference on Intelligent Robots and Systems (IROS), Madrid, Spain, 1–5 October 2018. [Google Scholar]
  40. Schnabel, R.; Wahl, R.; Klein, R. Efficient RANSAC for Point-Cloud Shape Detection; Computer Graphics Forum; Blackwell Publishing Ltd.: Oxford, UK, 2007; Volume 26. [Google Scholar]
  41. Chitta, S.; Sucan, I.; Cousins, S. Moveit![ros topics]. IEEE Robot. Autom. Mag. 2012, 19, 18–19. [Google Scholar] [CrossRef]
Figure 1. Structural diagram of the SU-Grasp. We encode the color modality (RGB image) and the spatial modality (depth image and normal vector angle image, abbreviated as DI image) separately, followed by cross-modal fusion. The decoder outputs the grasp confidence and grasp parameters for each pixel. Red boxes in the figure indicate the top three results with the highest confidence.
Figure 1. Structural diagram of the SU-Grasp. We encode the color modality (RGB image) and the spatial modality (depth image and normal vector angle image, abbreviated as DI image) separately, followed by cross-modal fusion. The decoder outputs the grasp confidence and grasp parameters for each pixel. Red boxes in the figure indicate the top three results with the highest confidence.
Electronics 13 04432 g001
Figure 2. Example of each channel in the normal vector angle image.
Figure 2. Example of each channel in the normal vector angle image.
Electronics 13 04432 g002
Figure 3. Overview of the SU-Grasp framework. Firstly, a normal vector angle image is derived from the depth image. A dual-stream encoder based on Swin Transformer is then employed to separately extract multi-scale features for color and spatial information. Finally, a U-shaped structure decodes these features into three pixel-level prediction heatmaps for grasping parameters, specifically representing grasp confidence, grasp width, and rotation angle.
Figure 3. Overview of the SU-Grasp framework. Firstly, a normal vector angle image is derived from the depth image. A dual-stream encoder based on Swin Transformer is then employed to separately extract multi-scale features for color and spatial information. Finally, a U-shaped structure decodes these features into three pixel-level prediction heatmaps for grasping parameters, specifically representing grasp confidence, grasp width, and rotation angle.
Electronics 13 04432 g003
Figure 4. (a) A simplified diagram of the original Swin-Unet. (b) The modified structure featuring a dual-stream cross-modal fusion encoder. This modification can be understood as halving the first part of the original encoder.
Figure 4. (a) A simplified diagram of the original Swin-Unet. (b) The modified structure featuring a dual-stream cross-modal fusion encoder. This modification can be understood as halving the first part of the original encoder.
Electronics 13 04432 g004
Figure 5. Training loss variation curves of three models (SU-Grasp, Swin-Unet, and GRCNN) on the Cornell and Jacquard datasets.
Figure 5. Training loss variation curves of three models (SU-Grasp, Swin-Unet, and GRCNN) on the Cornell and Jacquard datasets.
Electronics 13 04432 g005
Figure 6. Visualization of SU-Grasp’s prediction results and output heatmaps. The blue boxes in (a) represent the predicted poses with the highest success probability. The heatmaps in (b) represent the predicted values of success probability, grasp width, and rotation angle.
Figure 6. Visualization of SU-Grasp’s prediction results and output heatmaps. The blue boxes in (a) represent the predicted poses with the highest success probability. The heatmaps in (b) represent the predicted values of success probability, grasp width, and rotation angle.
Electronics 13 04432 g006
Figure 7. Changes in total loss values in ablation experiment of the normal vector angle image.
Figure 7. Changes in total loss values in ablation experiment of the normal vector angle image.
Electronics 13 04432 g007
Figure 8. Changes in total loss values in ablation experiment of the normal vector angle image.
Figure 8. Changes in total loss values in ablation experiment of the normal vector angle image.
Electronics 13 04432 g008
Figure 9. Changes in total loss values in ablation experiment of the dual-stream encoder structure.
Figure 9. Changes in total loss values in ablation experiment of the dual-stream encoder structure.
Electronics 13 04432 g009
Figure 10. Simulation test results of SU-Grasp.
Figure 10. Simulation test results of SU-Grasp.
Electronics 13 04432 g010
Figure 11. Illustration of grasping tests in real-world scenarios.
Figure 11. Illustration of grasping tests in real-world scenarios.
Electronics 13 04432 g011
Table 1. Model’s performance comparison on Cornell and Jacquard datasets.
Table 1. Model’s performance comparison on Cornell and Jacquard datasets.
ModelCornell DatasetJacquard Dataset
AccuracyRunning Time (ms)AccuracyRunning Time (ms)
MMGP [20]0.872640.83565
ResNet [27]0.957580.85455
GRCNN [28]0.9731220.946124
Swin-Unet [21]0.9681080.944112
SU-Grasp (ours)0.979780.95181
Table 2. Model’s performance comparison in real-world tests.
Table 2. Model’s performance comparison in real-world tests.
Test
ID
Objects in the SceneGrasping Success RateGrasp Attempt Count
GRCNNSU-GraspGRCNNSU-Grasp
1Rectangular Box × 5100% (√ √ √ √ √)100% (√ √ √ √ √)7 (2 2 1 1 1)5 (1 1 1 1 1)
2Rectangular Box × 4, Measuring Tape × 180% (√ √ √ √ ×)80% (√ √ √ √ ×)11 (2 1 2 1 5)9 (1 1 1 1 5)
3Rectangular Box × 2, Plastic Bottle × 2, Double-Sided Tape × 180% (√ √ × √ √ )100% (√ √ √ √ √)13 (2 1 5 3 2)8 (1 1 2 2 2)
4Rectangular Box × 2, Measuring Tape × 2, Pencil × 180% (√ √ × √ √ )80% (√ √ × √ √ )14 (2 2 5 4 1)11 (1 1 5 3 1)
5Pencil × 2, Plastic Bottle × 2, Measuring Tape × 160% (√ √ ××)80% (√ √ √ √ ×)15 (2 1 5 2 5)10 (2 1 1 1 5)
Average80%88%12.08.6
× The red markings in the table indicate that the corresponding object has reached the maximum number of grasping attempts allowed, signifying a failed grasp.
Disclaimer/Publisher’s Note: The statements, opinions and data contained in all publications are solely those of the individual author(s) and contributor(s) and not of MDPI and/or the editor(s). MDPI and/or the editor(s) disclaim responsibility for any injury to people or property resulting from any ideas, methods, instructions or products referred to in the content.

Share and Cite

MDPI and ACS Style

Lei, M.; Wang, P.; Lei, H.; Ma, J.; Wu, W.; Hao, Y. Robotic Grasping Detection Algorithm Based on 3D Vision Dual-Stream Encoding Strategy. Electronics 2024, 13, 4432. https://doi.org/10.3390/electronics13224432

AMA Style

Lei M, Wang P, Lei H, Ma J, Wu W, Hao Y. Robotic Grasping Detection Algorithm Based on 3D Vision Dual-Stream Encoding Strategy. Electronics. 2024; 13(22):4432. https://doi.org/10.3390/electronics13224432

Chicago/Turabian Style

Lei, Minglin, Pandong Wang, Hua Lei, Jieyun Ma, Wei Wu, and Yongtao Hao. 2024. "Robotic Grasping Detection Algorithm Based on 3D Vision Dual-Stream Encoding Strategy" Electronics 13, no. 22: 4432. https://doi.org/10.3390/electronics13224432

APA Style

Lei, M., Wang, P., Lei, H., Ma, J., Wu, W., & Hao, Y. (2024). Robotic Grasping Detection Algorithm Based on 3D Vision Dual-Stream Encoding Strategy. Electronics, 13(22), 4432. https://doi.org/10.3390/electronics13224432

Note that from the first issue of 2016, this journal uses article numbers instead of page numbers. See further details here.

Article Metrics

Back to TopTop