Next Article in Journal
Modeling, System Identification, and Control of a Railway Running Gear with Independently Rotating Wheels on a Scaled Test Rig
Previous Article in Journal
Tensor Core-Adapted Sparse Matrix Multiplication for Accelerating Sparse Deep Neural Networks
 
 
Due to scheduled maintenance work on our servers, there may be short service disruptions on this website between 11:00 and 12:00 CEST on March 28th.
Font Type:
Arial Georgia Verdana
Font Size:
Aa Aa Aa
Line Spacing:
Column Width:
Background:
Article

Design of a Dual-Band Filter Based on the Band Gap Waveguide

School of Electronic Engineering, Beijing University of Posts and Telecommunications, Beijing 100876, China
*
Author to whom correspondence should be addressed.
Electronics 2024, 13(20), 3982; https://doi.org/10.3390/electronics13203982
Submission received: 20 August 2024 / Revised: 6 October 2024 / Accepted: 9 October 2024 / Published: 10 October 2024

Abstract

In this paper, the design of a dual-band filter based on the band gap waveguide (BGW) is presented. In the low-frequency band, the TE201 mode rectangular waveguide cavity resonator was used to design the bandpass filter, which significantly reduces the impact of the high-frequency transmission line (TL). In the high-frequency band, a TE101 mode cavity resonator based on the gap waveguide (GW) structure was used to design the high-frequency band filter. A lower insertion loss can be achieved with the use of all-metal structure. A dual-band filter prototype was fabricated to verify its performance. According to the measurement results, the insertion loss is less than 1.3 dB and the return loss is better than 14 dB in the frequency range of 5.92–6.06 GHz; and the insertion loss is less than 1.77 dB and the return loss is better than 15 dB in the frequency range of 80.6–86.2 GHz. The frequency ratio is as large as 13.9, and because the high-frequency band filter is embedded in the cavity resonator of the low-frequency band filter, it saves space to a certain extent and realizes the integrated design of the dual-band filter, which is of great significance for the improvement of the performance of the dual-band communication system in higher-frequency bands.

1. Introduction

The communication system across microwave bands and millimeter-wave (mm wave) bands is a key technology that combines high-rate communication with high reliability and is widely used in base station backhauls and satellite communications. Benefiting from rich spectrum resources in mm wave bands, this system can effectively solve the problem of communication rate limitation caused by spectrum resource constraints in microwave frequency bands [1,2]. For example, the E band (71–86 GHz) can provide 2 × 5 GHz of available bandwidth for ultrahigh-capacity communications [3]. In addition, this system can also exploit the stability characteristics of microwave channels to avoid the limitations of mm wave communications, such as attenuations by atmospheric gases, rain, hydrometeors, and other unfavorable propagation conditions. Particularly in high-speed and long-distance application scenarios, these unfavorable factors have a major impact on the stability of the links. As a result, the study of dual-band communication systems and devices has become a major research topic in recent years [4,5].
For dual-band communication systems across microwave bands and mm wave bands, the design of the dual-band filter can significantly reduce RF interferences and is of great importance to enhancing the performance of the whole communication system. As an important component in the system, the dual-band filter across microwave bands and mm wave bands should have the characteristics of large frequency ratio, compactness, and low loss.
In order to realize the large frequency ratio of dual-band filters used in dual-band communication systems, one direct approach is to design two separate single-band filters, each dedicated to one of the passbands, and then connect them to the front-end RF channel and the back-end antenna. For low-band microwave filters, microstrip lines (MSLs) [6,7] or the substrate-integrated waveguide (SIW) [8] are usually used for design, but both of them suffer from high dielectric loss and low power-handling capacity. On the other hand, high-frequency-band mm wave filters are generally designed in the form of air-filled structures, including waveguide structures [9,10,11], gap waveguide (GW) structures [12,13,14], etc. Among these structures, the waveguide structure needs to ensure good electrical contacts and is usually a closed structure, which leads to poor ductility in the design, while the GW structure does not need perfect electrical contacts and has certain design flexibility.
Furthermore, dual-band filters based on multi-mode resonators have been used for dual-band operations. By loading stubs onto various basic resonators, such as ring resonators [15], stepped-impedance resonators [16,17], and cross-shaped resonators [18], compact multi-mode resonators can be realized. However, this method has difficulties in constructing dual-band filters with large frequency ratios.
In recent years, mode composite transmission lines (MCTLs) have been proposed. Examples include the mode composite waveguide (MCW) [19], the dual-mode composite microstrip line (DMC-MSL) [20], the mode composite coplanar waveguide (MCCPW) [21], and the mode composite substrate integrated coaxial line (MCSICL) [22]. By combining different propagation modes, MCTLs are able to achieve good performance at both microwave and mm wave frequencies, so dual-band filters based on MCTLs have also been proposed. The dual-band filter based on the MCCPW has a frequency ratio of 21.2 [23], the dual-band multi-channel filter based on the mode composite MSL has a frequency ratio of 6.67 [24], and the dual-band integrated filter based on the MCSICL has a frequency ratio of 23.16 [25]. Although they can operate at large frequency ratios, they suffer from relatively high insertion losses and low power-handling capacities in the mm-wave frequency band due to the substrate-based structures. When the frequency is higher, there are greater challenges in terms of manufacturing and insertion losses. The dual-band filter using a structure-shared mode-composite (SSMC) cavity [26] has a lower insertion loss in high-frequency bands and a higher rate of reuse of the low-band geometry, but the frequency ratio of 4.7 is not as large as that presented in [23,25].
In this paper, the design of a dual-band filter based on the band gap waveguide (BGW) is presented [27]. The all-metal structure eliminates dielectric loss, resulting in a lower insertion loss at higher frequencies. The microwave band channel has a center frequency of 6 GHz and a bandwidth of 114 MHz, the mm wave band channel has a center frequency of 83.5 GHz and a bandwidth of 5 GHz, and the frequency ratio is as large as 13.9. Both the low-frequency and high-frequency bands satisfy the requirements of the center frequencies and channel bandwidths of ITU bands, making the proposed dual-band filter applicable to dual-band wireless links in base station backhauls across microwave and mm wave frequencies. The comprehensive processes of the design, fabrication, and measurement of the filter are proposed. In detail, the design principles for both the high-frequency band and the low-frequency band filters are analyzed. The measurement procedures through standard testing interfaces are also discussed.

2. Design Principles

The design is based on the BGW [27], in which the low-frequency band is an electromagnetic band gap (EBG) embedded structure with excitation from the metallic waveguide, while the high-frequency band is a GW structure with excitation in the center channel of the periodic metal pins. The configuration and electric field distributions of the BGW are presented in Figure 1 and Figure 2, respectively. Employing the stop band of the EBG, the high-frequency band propagates the quasi-TE10 mode, operating as a groove GW. Using the passband of the EBG, the low-frequency band propagates the dominant TE10-like mode, with the electric field concentrated around the EBG structures. This phenomenon does not affect the signal transmission; however, it does affect the resonant frequency of the cavity resonator of the low-frequency band filter. Hence, the first higher-order mode (TE20-like mode) is used for the low-frequency band filter, and it will be discussed later.
For the design of the dual-band filter based on the BGW, the GW structure is used for the high-frequency band and an EBG-embedded structure is used for the low-frequency band. Since the high-frequency band filter is designed to be embedded inside the low-frequency band filter, the structure of the low-frequency band filter has no influence on the performance of the high-frequency band filter, so the high-frequency band filter should be designed first.

2.1. Design of the High-Frequency Band Filter

In order to design high-performance filters and reduce the requirement to modify the transmission line (TL) structures, the use of redundant structures must be minimized. Therefore, a fifth-order Chebyshev-type topology is utilized for high-frequency band filter design, which achieves the filtering response by connecting multiple cavity resonators in series to form a passband. The topology and physical structure of the filter, which has five cavity resonators (1–5) surrounded by periodic metal pins, are shown in Figure 3. The resonators are coupled to each other using metal ridges of variable heights (ht) and fixed lengths (lt), and the coupling coefficient between adjacent cavity resonators is Mij (i, j = S, 1, 2, 3, 4, 5, L), where S is the source and L is the load.
The physical structure and dimensions of the cavity resonator unit are shown in Figure 4. The periodic metal pins have a width of s, a periodic interval of g, a height of h, and an air gap of ga from the upper metallic layer, and the length and width of the cavity resonator formed from them are l and a, respectively.
The filter was designed using the TE101 mode, and the cavity resonator of the GW structure can be approximated as a rectangular waveguide cavity resonator, which can be estimated based on the resonant frequency equation:
f c = c 2 ( 1 a ) 2 + ( 1 l ) 2
where c is the velocity of light. However, the GW structure is not a closed structure in the full sense, the exact resonant frequency still needs to be designed by parameter scanning. In this design, software high-frequency structure simulator (HFSS) is used for eigenmode analysis and resonant frequency solutions. In addition, in order to facilitate the transition to a standard rectangular waveguide interface to complete the final fabrication and measurement process, the parameter a is set as the width of a standard WR12 rectangular waveguide (3.1 mm), so that only the length of the cavity resonator (l) needs to be analyzed. The influence of the parameter l on the resonant frequency f c is shown in Figure 5. As the length of the cavity resonator increases, the resonant frequency becomes lower.
The coupling coefficient between the cavities and the loaded quality factor was then designed. Specifically, the coupling coefficient is an index used to measure the degree of coupling between adjacent cavity resonators. The adjacent cavity resonators will produce coupling effects by adding specific structures, which makes the resonant frequency shift and generates the passband, so the coupling coefficient mainly plays a role in the passband bandwidth characteristics of the filter, and it can be calculated as
m = | f 2 2 f 1 2 f 2 2 + f 1 2 |
where f 1 and f 2 are the resonant frequencies after the introduction of the coupling structure, and the process is also carried out for eigenmode solutions.
The quality factor of the filter characterizes the steepness of the transition band of the bandpass filter, and the higher the value, the better the stability and frequency selectivity of the filter, but also the higher the insertion loss in the passband, so it mainly affects the insertion and return loss characteristics of the filter. It can be calculated from the group delay as
Q e   = π f 0   t 2
where t is the maximum value of group delay and f 0   is the corresponding frequency. The procedure performs a single-port network simulation of the cavity and excitation ports, and then solves the group delay characteristics.
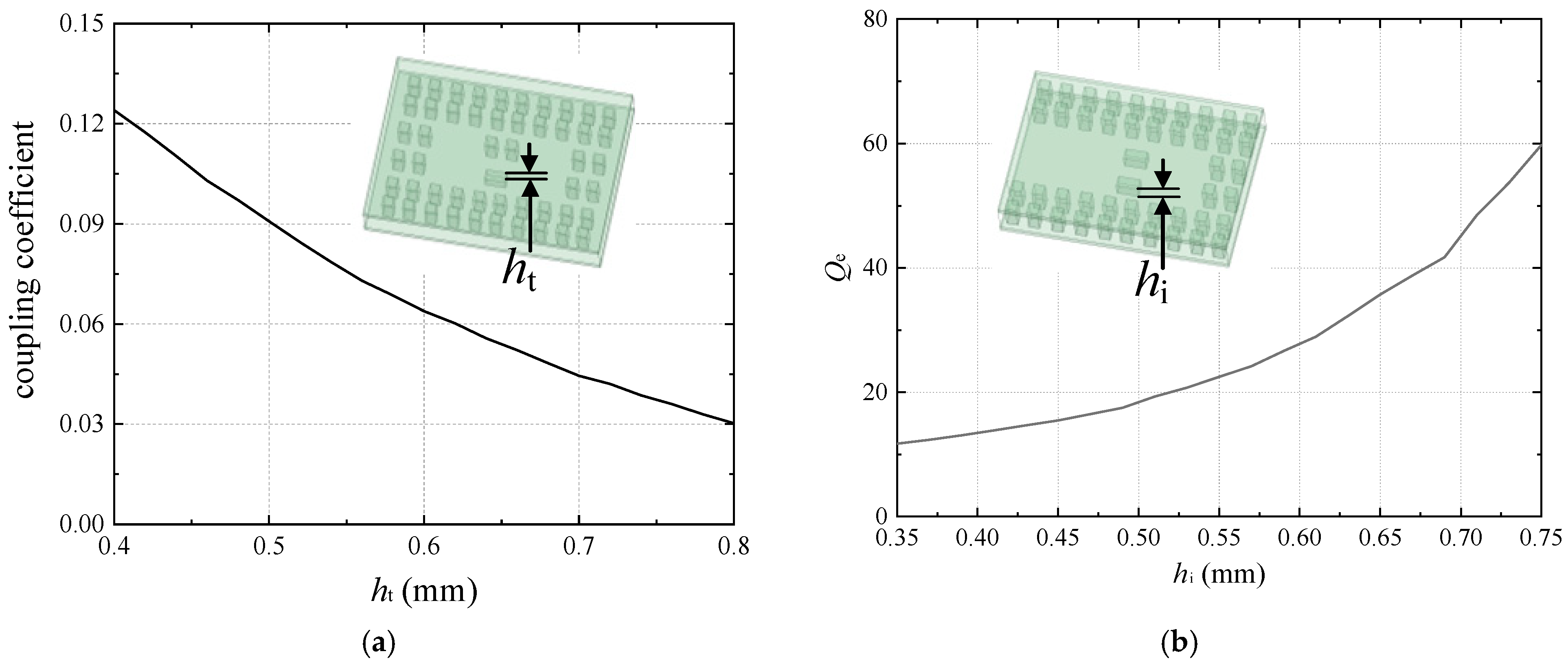
Finally, the heights of each coupling structure were simulated, and the results are given in Figure 6. As the height of the coupling ridge between adjacent cavities increases, more energy is blocked, resulting in poorer coupling efficiency between adjacent cavities, so the coupling coefficient decreases. The quality factor Qe is the frequency selectivity of the filter. As the height of the input–output coupling ridge increases, the filter becomes more selective and Qe increases, while the reflection coefficient becomes worse and the fluctuation of the transmission coefficient increases.
A return loss better than −20 dB and a passband from 81 to 86 GHz are set as the targets for design, and the coupling matrix synthesis of these targets is performed using Computer Simulation Technology (CST) and other software. The coupling parameters can be derived as follows: m12 = m45 = 0.051, m23 = m34 = 0.038, mS1 = m5L = 0.0607, Qe = 16.245. Subsequently, the coupling coefficient and quality factor are optimized by HFSS. Finally, simulations and optimizations of the filter are performed by HFSS. The simulation results are shown in Figure 7. The filter has a passband of 81–86 GHz, a return loss better than 18 dB, and an insertion loss of less than 0.6 dB in the passband.

2.2. Design of the Low-Frequency Band Filter

According to the characteristics of the BGW, the periodic metal pins will not have much effect on the propagation of electromagnetic waves in the low-frequency band. However, in the process of filter design, the insertion of metal pins will significantly affect the resonant frequency of the cavity resonator, which in turn will affect the filter performance, i.e., the insertion of the high-frequency band filter will increase the design difficulty for the low-frequency band filter.
In order to reduce the influence and simplify the design, the TE201 resonant mode was selected for filter design. The electric field distribution of the BGW propagating TE20 mode at 6 GHz is simulated by HFSS, two modes are set for the ports, and only mode 2 (the first higher-order mode of the TE20 mode) is excited. As shown in Figure 8, the periodic metal pins are located in the edge position of the electric field, which has less influence on the TE20 mode, and therefore has less influence on the resonant frequency of the TE201 mode cavity resonator, which is composed of these pins.
Based on the above analysis, the design of a Chebyshev-type bandpass filter can be achieved using third-order TE201 mode cavity resonators. The structure of the low-frequency band filter embedded with the high-frequency band filter is shown in Figure 9. The low-frequency band filter consists of three TE201 mode cavity resonators with windows at the edges to realize the coupling of adjacent cavity resonators, and the filter is centrally symmetric. At the same time, the high-frequency band filter is embedded in the second cavity resonator of the low-frequency band to complete the dual-band filter design.
Since the low-frequency band filter is an air-filled structure and its size is much larger than that of the high-frequency band filter, the design of the low-frequency band filter will not affect the performance of the high-frequency band filter. The subsequent design targets are as follows: the return loss should be better than −20 dB, the center frequency is 6 GHz, the bandwidth is 114 MHz, and the coupling parameters can be obtained as m12 = m23 = 0.0196, mS1 = m3L = 0.0205, Qe = 51.205. In addition, since the center-feeding method is not able to couple the TE201 mode inside the cavity resonator, the offset-feeding method is adopted, in which the feeding waveguide has a certain offset (o) from the center position.
The effects of the coupling width (w12) on the coupling coefficient and Qe are shown in Figure 10. The coupling coefficient increases as the coupling width (w12) between adjacent cavity resonators increases, and Qe decreases as the input coupling width (wi) increases.
The design of the low-frequency band filter can be completed by selecting a suitable coupling width, followed by optimizations. The simulation results are shown in Figure 11. The filter has a passband range of 5.93–6.09 GHz, a return loss better than 20 dB, and good electrical performance.

3. Fabrication and Measurement

The final structure and dimensions of the dual-band bandpass filter are shown in Figure 12a–c, in which Port_1 and Port_2 are the input and output ports for the high-frequency band filter fed by the standard WR12 rectangular waveguide. Port_3 and Port_4 are the input and output ports for the low-frequency band filter fed by the standard WR159 rectangular waveguide. In order to meet the fabrication and testing requirements, it is necessary to convert the output ports of the filter to the standard interfaces. As shown in Figure 12d, the metal step is used to change the propagation direction of the wave and realize the high-frequency band transition from the filter to the vertical standard WR12 rectangular waveguide. As shown in Figure 12e, the waveguide steps are used to gradually match the impedance between the filter and the standard WR159 rectangular waveguide.
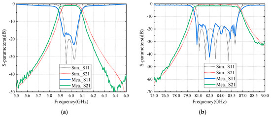
The overall structure was simulated and optimized to determine the final dimensions, as shown in Table 1. The chamfers involved in the structure are all 1 mm. The simulation model in Figure 12a was simulated using HFSS, with copper set as the material, and radiation boundaries set for the air box. For the simulation of the low-frequency band, the center frequency is 6 GHz, the frequency range is 5.5–6.5 GHz, the frequency step is 2 MHz, and the simulation time is 2 min 25 s. For the simulation of the high-frequency band, the center frequency is 83.5 GHz, the frequency range is 75–90 GHz, the frequency step is 20 MHz, and the simulation time is 45 min 42 s. The prototype was then processed, as shown in Figure 13. It is divided into three layers. The top layer is the WR12 rectangular waveguide, the middle layer is the metallic plate with the waveguide transition, the bottom layer is the cavity of the dual-band filter, and standard waveguide flanges are attached to the corresponding ports. The fabricated prototype and test scenario are shown in Figure 14. The Ceyear3672E vector network analyzer was used for the measurement. Two transition structures from the rectangular waveguide to the coaxial were used to match the coaxial interface in the low-frequency band. Two E-plane waveguide bends and 3644 N extenders were used for the high-frequency measurement. The measurement results are shown in Figure 15. The filter has an insertion loss of less than 1.3 dB and a return loss better than 14 dB in the frequency range of 5.92–6.06 GHz; and the insertion loss is less than 1.77 dB and the return loss is better than 15 dB in the frequency range of 80.6–86.2 GHz. In this study, the low-frequency L6 band and high-frequency E band are combined using a dual-band filter, so the proposed dual-band filter is suitable for dual-band wireless links in base station backhauls across microwave and mm wave frequencies. By using these two distant frequency bands for wireless backhauls, we take advantage of the stability of the microwave band and the high capacity of the mm wave band, realizing a more reliable link. Additionally, the proposed method is also applicable to other ITU bands for dual-band wireless backhauls, such as the 7, 8, 11, 13, 15, and 18 GHz bands, making it easy to realize the combination of microwave and mm wave backhauls.
The comparison between the proposed dual-band filter and other reported filters is shown in Table 2. The dual-band filter proposed in this paper uses the BGW to achieve a large frequency ratio while achieving a higher operating frequency. The mm wave channel has a lower insertion loss, which makes it more adaptable to high-frequency communication scenarios than other structures.

4. Conclusions

In this paper, a novel dual-band filter based on the BGW is proposed. The low-frequency channel (L6 band) and high-frequency channel (E band) are combined using a dual-band filter, making the filter applicable to dual-band wireless links in base station backhauls across microwave and mm wave frequencies. The TE201 mode cavity resonator was used for the design of the low-frequency band filter, which is not sensitive to the horizontal center structure of the cavity, thus facilitating the embedding of the high-frequency band filter. In addition, a fifth-order Chebyshev bandpass filter was designed based on the GW structure in the BGW and embedded in the horizontal center of the low-frequency band filter. Finally, the transition structure was designed and added to the filter, followed by fabrication and measurement. The insertion loss is less than 1.3 dB and the return loss is better than 14 dB in the frequency range of 5.92–6.06 GHz; and the insertion loss is less than 1.77 dB and the return loss is better than 15 dB in the frequency range of 80.6–86.2 GHz. The dual-band filter has good electrical performance and is suitable for dual-band communication systems.

Author Contributions

Conceptualization, S.L. and Y.Y.; methodology, S.L.; formal analysis, S.L.; investigation, X.C. and J.Y.; writing—original draft preparation, S.L.; writing—review and editing, Y.Y. and X.C. All authors have read and agreed to the published version of the manuscript.

Funding

This research received no external funding.

Data Availability Statement

Data is contained within the article.

Conflicts of Interest

The authors declare no conflicts of interest.

References

  1. Pi, Z.; Khan, F. An introduction to millimeter-wave mobile broadband systems. IEEE Commun. Mag. 2011, 49, 101–107. [Google Scholar] [CrossRef]
  2. Jiang, H.; Wang, C.; Xiu, T.; Wang, D.; Hu, S.; Zhan, X.; Yu, J.; Chen, X.; Yao, Y. High speed wireless communication system at W-band. In Proceedings of the 2019 International Conference on Microwave and Millimeter Wave Technology (ICMMT), Guangzhou, China, 19–22 May 2019. [Google Scholar]
  3. Jiang, H.; Yao, Y.; Xiu, T.; Cheng, X.; Wang, C.; Yu, J.; Chen, X. E-band high aperture efficiency reflector antenna with adjustable beamwidth. Int. J. RF Microw. Comput. Aided Eng. 2021, 31, e22817. [Google Scholar] [CrossRef]
  4. Islam, S.; Zada, M.; Yoo, H. Low-Pass Filter Based Integrated 5G Smartphone Antenna for Sub-6-GHz and Mm-Wave Bands. IEEE Trans. Antennas Propag. 2021, 69, 5424–5436. [Google Scholar] [CrossRef]
  5. Wang, S.; Rebeiz, G.M. Dual-Band 28- and 39-GHz Phased Arrays for Multistandard 5G Applications. IEEE Trans. Microw. Theory Tech. 2023, 71, 339–349. [Google Scholar] [CrossRef]
  6. Sandhu, M.Y.; Jasinski, M.; Lamecki, A.; Gómez-García, R.; Mrozowski, M. Frequency-Variant Double-Zero Single-Pole Reactive Coupling Networks for Coupled-Resonator Microwave Bandpass Filters. IEEE Trans. Microw. Theory Tech. 2024, 72, 321–339. [Google Scholar] [CrossRef]
  7. Mul, M.; Jasinski, M.; Lamecki, A.; Gómez-García, R.; Mrozowski, M. Inline Microwave Filters With N + 1 Transmission Zeros Generated by Frequency-Variant Couplings: Coupling-Matrix-Based Synthesis and Design. IEEE Trans. Circuits Syst. II Exp. Briefs 2022, 69, 824–828. [Google Scholar] [CrossRef]
  8. Jones, T.R.; Daneshmand, M. Miniaturized Folded Ridged Half-Mode and Quarter-Mode Substrate Integrated Waveguides for Filter Design. IEEE Trans. Microw. Theory Tech. 2019, 67, 3414–3426. [Google Scholar] [CrossRef]
  9. Bastioli, S.; Snyder, R.V. Stubbed Waveguide Cavity Filters. IEEE Trans. Microw. Theory Tech. 2019, 67, 5049–5060. [Google Scholar] [CrossRef]
  10. Payapulli, R.; Zhu, L.; Shin, S.H.; Stanley, M.; Ridler, N.M.; Lucyszyn, S. Polymer-Based 3-D Printed 140 to 220 GHz Metal Waveguide Thru Lines, Twist and Filters. IEEE Access 2023, 11, 32272–32295. [Google Scholar] [CrossRef]
  11. Wu, Y.; Zhang, C.; Lu, R.; Hong, J. A High-Selectivity D-Band Mixed-Mode Filter Based on the Coupled Overmode Cavities. IEEE Trans. Microw. Theory Tech. 2020, 68, 2331–2342. [Google Scholar] [CrossRef]
  12. Xiu, T.; Yao, Y.; Jiang, H.; Cheng, X.; Wang, C.; Wang, B.; Yu, J.; Chen, X. Design of a Compact and Low-Loss E-Band Filter Based on Multilayer Groove Gap Waveguide. IEEE Microw. Wireless Compon. Lett. 2021, 31, 1211–1214. [Google Scholar] [CrossRef]
  13. Shi, Y.; Zhang, J.; Zhou, M.; Feng, W.; Cao, B.; Che, W. Miniaturized W-Band Gap Waveguide Bandpass Filter Using the MEMS Technique for Both Waveguide and Surface Mounted Packaging. IEEE Trans. Circuits Syst. II Exp. Briefs 2019, 66, 938–942. [Google Scholar] [CrossRef]
  14. Rezaee, M.; Zaman, A.U. Groove Gap Waveguide Filter Based on Horizontally Polarized Resonators for V-Band Applications. IEEE Trans. Microw. Theory Tech. 2020, 68, 2601–2609. [Google Scholar] [CrossRef]
  15. Shi, J.; Lin, L.; Chen, J.X.; Chu, H.; Wu, X. Dual-Band Bandpass Filter With Wide Stopband Using One Stepped-Impedance Ring Resonator With Shorted Stubs. IEEE Microw. Wireless Compon. Lett. 2014, 24, 442–444. [Google Scholar] [CrossRef]
  16. Xu, J.; Wu, W.; Miao, C. Compact Microstrip Dual-/Tri-/Quad-Band Bandpass Filter Using Open Stubs Loaded Shorted Stepped-Impedance Resonator. IEEE Trans. Microw. Theory Tech. 2013, 61, 3187–3199. [Google Scholar] [CrossRef]
  17. Jiang, W.; Shen, W.; Wang, T.; Huang, Y.M.; Peng, Y.; Wang, G. Compact Dual-Band Filter Using Open/Short Stub Loaded Stepped Impedance Resonators (OSLSIRs/SSLSIRs). IEEE Microw. Wireless Compon. Lett. 2016, 26, 672–674. [Google Scholar] [CrossRef]
  18. Bi, X.K.; Cheng, T.; Cheong, P.; Ho, S.K.; Tam, K.W. Design of Dual-Band Bandpass Filters With Fixed and Reconfigurable Bandwidths Based on Terminated Cross-Shaped Resonators. IEEE Trans. Circuits Syst. II Exp. Briefs 2019, 66, 317–321. [Google Scholar] [CrossRef]
  19. Guo, J.; Djerafi, T.; Wu, K. Mode Composite Waveguide. IEEE Trans. Microw. Theory Tech. 2016, 64, 3187–3197. [Google Scholar] [CrossRef]
  20. Li, Y.; Wang, J. Dual-Band Leaky-Wave Antenna Based on Dual- Mode Composite Microstrip Line for Microwave and Millimeter-Wave Applications. IEEE Trans. Antennas Propag. 2018, 66, 1660–1668. [Google Scholar] [CrossRef]
  21. Su, Y.; Lin, X.Q.; Yu, J.W.; Fan, Y. Mode Composite Coplanar Waveguide. IEEE Access 2019, 7, 109278–109288. [Google Scholar] [CrossRef]
  22. Zhu, Y.; Li, X.C.; Mao, J.F. Mode Composite Substrate Integrated Coaxial Line Based on Substrate Integrated Coaxial Line and Periodic L-Shaped SSPP Structure. IEEE Trans. Compon. Packag. Manuf. Technol. 2023, 13, 528–536. [Google Scholar] [CrossRef]
  23. Su, Y.; Fan, Y.; Lin, X.Q.; Wu, K. Single-Layer Mode Composite Coplanar Waveguide Dual-Band Filter With Large Frequency Ratio. IEEE Trans. Microw. Theory Tech. 2020, 68, 2320–2330. [Google Scholar] [CrossRef]
  24. Yang, S.; Xu, J.; Yu, Z.; Zhou, J.; Hong, W. A Structure Reuse Method for Realizing Large Frequency Ratio Dual-Band Multi-Channel Integrated Filters. IEEE Trans. Circuits Syst. II Exp. Briefs 2022, 69, 2101–2105. [Google Scholar] [CrossRef]
  25. Zhu, Y.; Li, X. A Large Frequency Ratio Dual-Band Integrated Bandpass Filter Based on MCSICL Structure. Electronics 2024, 13, 754. [Google Scholar] [CrossRef]
  26. Hu, C.; Li, Y.; Wang, J. A Large-Frequency-Ratio Multichannel Bandpass Filter Based on Structure-Shared Mode-Composite Air-Filled Cavity Resonators. IEEE Trans. Microw. Theory Tech. 2024, 72, 3650–3661. [Google Scholar] [CrossRef]
  27. Cheng, X.; Liu, Z.; Yao, Y.; Yu, T.; Yu, J.; Chen, X. Novel Band Gap Waveguide for Low-Loss and Dual Band Applications. IEEE Trans. Microw. Theory Tech. 2022, 70, 2610–2621. [Google Scholar] [CrossRef]
Figure 1. Configuration of the BGW.
Figure 1. Configuration of the BGW.
Electronics 13 03982 g001
Figure 2. Electric field distributions of the BGW. (a) Low-frequency band; (b) high-frequency band.
Figure 2. Electric field distributions of the BGW. (a) Low-frequency band; (b) high-frequency band.
Electronics 13 03982 g002
Figure 3. The topology and physical structure of the fifth-order bandpass filter.
Figure 3. The topology and physical structure of the fifth-order bandpass filter.
Electronics 13 03982 g003
Figure 4. Physical structure and dimensions of the cavity resonator unit.
Figure 4. Physical structure and dimensions of the cavity resonator unit.
Electronics 13 03982 g004
Figure 5. Effects of l on the resonant frequency f c .
Figure 5. Effects of l on the resonant frequency f c .
Electronics 13 03982 g005
Figure 6. (a) Effects of ht on the coupling coefficient; (b) effects of hi on Qe.
Figure 6. (a) Effects of ht on the coupling coefficient; (b) effects of hi on Qe.
Electronics 13 03982 g006
Figure 7. Simulation results of the high-frequency band filter.
Figure 7. Simulation results of the high-frequency band filter.
Electronics 13 03982 g007
Figure 8. The electric field distribution of the BGW propagating TE20 mode.
Figure 8. The electric field distribution of the BGW propagating TE20 mode.
Electronics 13 03982 g008
Figure 9. The structure of the dual-band filter.
Figure 9. The structure of the dual-band filter.
Electronics 13 03982 g009
Figure 10. The effects of the coupling width on (a) the coupling coefficient; (b) Qe.
Figure 10. The effects of the coupling width on (a) the coupling coefficient; (b) Qe.
Electronics 13 03982 g010
Figure 11. Simulation results of the low-frequency band filter.
Figure 11. Simulation results of the low-frequency band filter.
Electronics 13 03982 g011
Figure 12. (a) Overall structure of the dual-band filter; (b) structure and dimensions of the low-frequency band filter; (c) structure and dimensions of the high-frequency band filter; (d) structure and dimensions of the high-frequency band transition from the filter to the standard WR12 rectangular waveguide; (e) structure and dimensions of the low-frequency band transition from the filter to the standard WR159 rectangular waveguide.
Figure 12. (a) Overall structure of the dual-band filter; (b) structure and dimensions of the low-frequency band filter; (c) structure and dimensions of the high-frequency band filter; (d) structure and dimensions of the high-frequency band transition from the filter to the standard WR12 rectangular waveguide; (e) structure and dimensions of the low-frequency band transition from the filter to the standard WR159 rectangular waveguide.
Electronics 13 03982 g012
Figure 13. The fabrication model of the dual-band filter.
Figure 13. The fabrication model of the dual-band filter.
Electronics 13 03982 g013
Figure 14. The fabricated prototype and test scenario.
Figure 14. The fabricated prototype and test scenario.
Electronics 13 03982 g014
Figure 15. The simulated and measured results of the dual-band filter: (a) in the low-frequency band; (b) in the high-frequency band.
Figure 15. The simulated and measured results of the dual-band filter: (a) in the low-frequency band; (b) in the high-frequency band.
Electronics 13 03982 g015
Table 1. Final dimensions of the dual-band filter (values in millimeters).
Table 1. Final dimensions of the dual-band filter (values in millimeters).
Parameterl1_ll2_lw_lwi_lota_lb_l
Value38.5541.361.317.3121.240.38620.193
Parameterabl1l2l3h1h2hi
Value3.11.552.0611.9561.9370.70.90.62
Parametergshgalc1lc2lc3hc1
Value0.80.410.40.50.50.60.24
Parameterhc2hc3lewclt1lt2ht1ht2
Value0.60.8480.42.314142.710
Table 2. Comparison of the proposed and other reported dual-band filters.
Table 2. Comparison of the proposed and other reported dual-band filters.
ReferenceTL TypeCenter Frequency (GHz)3 dB FBW
(%)
Insertion Loss
(dB)
Frequency Ratio (f2/f1)
[23]-1MCCPW3.5/35.5~25/5.70.8/2.110.01
[23]-2MCCPW3.5/35~25/5.70.8/1.210
[23]-3MCCPW1.65/35~55/5.70.6/1.821.2
[24]-1MCTL4.2/2858/10.70.6/2.76.67
[24]-2MCTL4.2/2658/7.70.95/3.86.19
[26]SSMC5.8/271.9/2&2.30.9/0.6&0.74.7
This workBGW6/83.51.9/6.71.3/1.7713.9
Disclaimer/Publisher’s Note: The statements, opinions and data contained in all publications are solely those of the individual author(s) and contributor(s) and not of MDPI and/or the editor(s). MDPI and/or the editor(s) disclaim responsibility for any injury to people or property resulting from any ideas, methods, instructions or products referred to in the content.

Share and Cite

MDPI and ACS Style

Li, S.; Yao, Y.; Cheng, X.; Yu, J. Design of a Dual-Band Filter Based on the Band Gap Waveguide. Electronics 2024, 13, 3982. https://doi.org/10.3390/electronics13203982

AMA Style

Li S, Yao Y, Cheng X, Yu J. Design of a Dual-Band Filter Based on the Band Gap Waveguide. Electronics. 2024; 13(20):3982. https://doi.org/10.3390/electronics13203982

Chicago/Turabian Style

Li, Shaohang, Yuan Yao, Xiaohe Cheng, and Junsheng Yu. 2024. "Design of a Dual-Band Filter Based on the Band Gap Waveguide" Electronics 13, no. 20: 3982. https://doi.org/10.3390/electronics13203982

APA Style

Li, S., Yao, Y., Cheng, X., & Yu, J. (2024). Design of a Dual-Band Filter Based on the Band Gap Waveguide. Electronics, 13(20), 3982. https://doi.org/10.3390/electronics13203982

Note that from the first issue of 2016, this journal uses article numbers instead of page numbers. See further details here.

Article Metrics

Back to TopTop