Research on Predictive Speed Control Scheme for Surface-Mounted Permanent Magnet Servo Systems
Abstract
1. Introduction
2. Deadbeat Predictive Speed Control
2.1. DPSC Controller Design
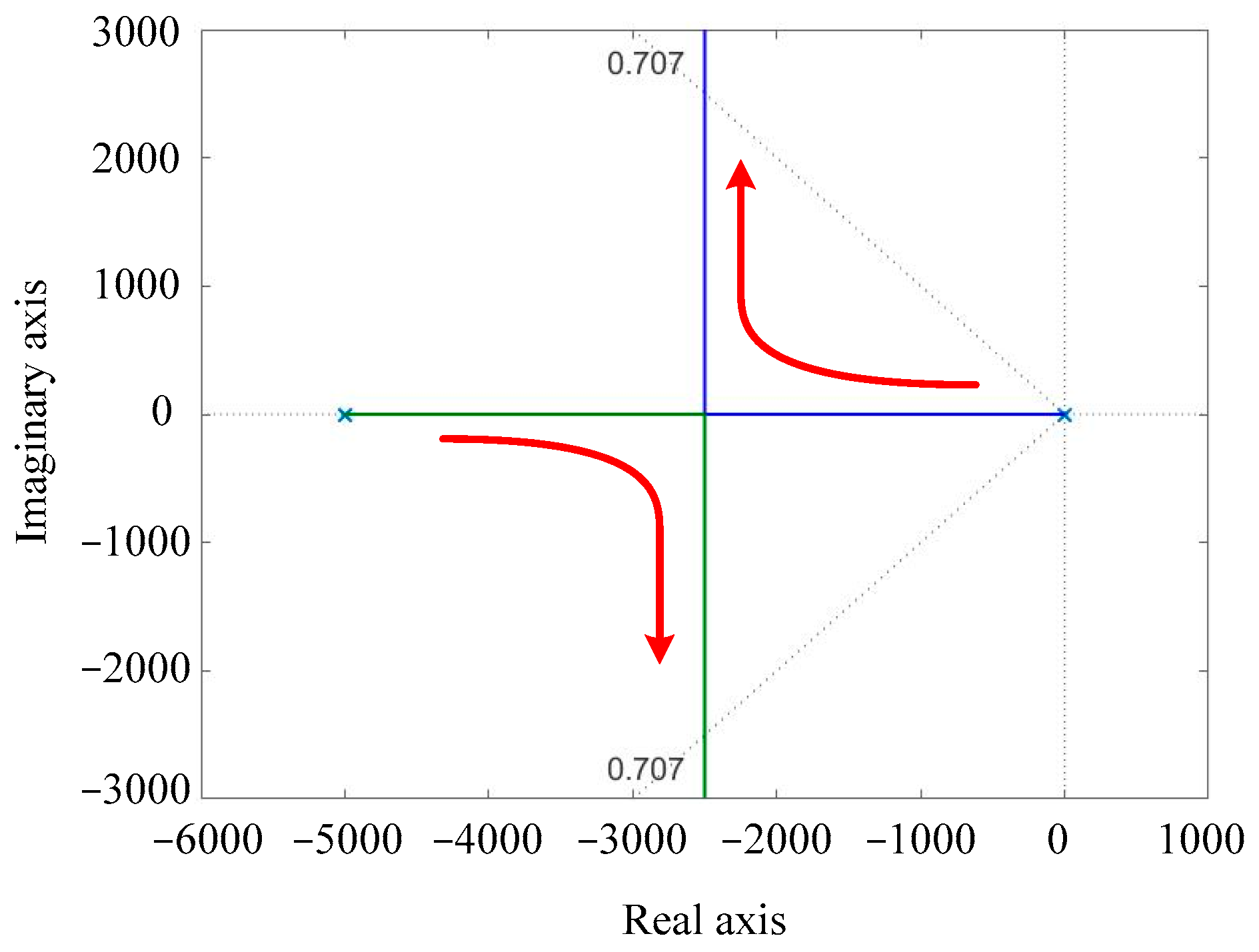
2.2. Determination of Control Parameters
3. Control Performance Analysis
3.1. Comparison of Control Performance
3.2. Parameter Mismatch Impact
4. ESMO Torque Observer
4.1. The Observer Design
4.2. Principle of System Control
5. Experimental Research
5.1. Observer Performance Analysis
5.2. Dynamic Response Analysis
5.3. Disturbance Rejection Performance Analysis
6. Conclusions
- The inertia error and torque error have corresponding effects on the deadbeat predictive speed control. Specifically, the current error of the predictive control output increases with the increase of the inertia error and torque error, but is more significantly influenced by torque error, being more sensitive to it.
- The designed ESMO observer can rapidly and accurately observe the load torque, with a fast dynamic response to track load changes and small steady-state error. The observation accuracy is 94.37%, which can provide disturbance compensation for speed control.
- The DPSC control method with an ESMO observer can effectively improve the system’s dynamic response and disturbance rejection performance. Compared to conventional PI control, the speed step response time is reduced from 0.675 s to 0.650 s, and when subjected to a load disturbance of 0.4 Nm, the speed fluctuation and settling time decrease from 9 rpm and 1.7 s to 6 rpm and 0.5 s, respectively.
- The method proposed in this article has significant theoretical significance for improving the control performance of an SPMSM speed system and can be applied to control scenarios with fast speed response requirements, such as industrial robots, CNC machine tools, and electric vehicles.
Author Contributions
Funding
Data Availability Statement
Acknowledgments
Conflicts of Interest
References
- Qiu, Z.; Chen, Y.; Kang, Y.; Liu, X.; Gu, F. Investigation into periodic signal-based dithering modulations for suppression sideband vibro-acoustics in PMSM used by electric vehicles. IEEE Trans. Energy Convers. 2020, 36, 1787–1796. [Google Scholar] [CrossRef]
- Sun, Y.; Yang, M.; Wang, B.; Chen, Y.; Xu, D. Precise position control based on resonant controller and second-order sliding mode observer for PMSM-driven feed servo system. IEEE Trans. Transp. Electrif. 2022, 9, 196–209. [Google Scholar] [CrossRef]
- Zhao, T.; Wu, S.; Cui, S. Multiphase PMSM with asymmetric windings for more electric aircraft. IEEE Trans. Transp. Electrif. 2020, 6, 1592–1602. [Google Scholar] [CrossRef]
- Fang, S.; Wang, Y.; Wang, W.; Chen, Y.; Chen, Y. Design of permanent magnet synchronous motor servo system based on improved particle swarm optimization. IEEE Trans. Power Electron. 2021, 37, 5833–5846. [Google Scholar] [CrossRef]
- Wu, J.; Zhang, J.; Nie, B.; Liu, Y.; He, X. Adaptive control of PMSM servo system for steering-by-wire system with disturbances observation. IEEE Trans. Transp. Electrif. 2021, 8, 2015–2028. [Google Scholar] [CrossRef]
- Wang, Y.; Feng, Y.; Zhang, X.; Liang, J. A new reaching law for antidisturbance sliding-mode control of PMSM speed regulation system. IEEE Trans. Power Electron. 2019, 35, 4117–4126. [Google Scholar] [CrossRef]
- Xu, W.; Junejo, A.K.; Liu, Y.; Hussien, M.G.; Zhu, J. An efficient antidisturbance sliding-mode speed control method for PMSM drive systems. IEEE Trans. Power Electron. 2020, 36, 6879–6891. [Google Scholar] [CrossRef]
- Vadivel, R.; Joo, Y.H. Reliable fuzzy H∞ control for permanent magnet synchronous motor against stochastic actuator faults. IEEE Trans. Syst. Man Cybern. Syst. 2019, 51, 2232–2245. [Google Scholar] [CrossRef]
- Mani, P.; Rajan, R.; Shanmugam, L.; Joo, Y.H. Adaptive fractional fuzzy integral sliding mode control for PMSM model. IEEE Trans. Fuzzy Syst. 2018, 27, 1674–1686. [Google Scholar] [CrossRef]
- Gao, S.; Wei, Y.; Zhang, D.; Qi, H.; Wei, Y.; Yang, Z. Model-free hybrid parallel predictive speed control based on ultralocal model of PMSM for electric vehicles. IEEE Trans. Ind. Electron. 2022, 69, 9739–9748. [Google Scholar] [CrossRef]
- Li, Z.; Wang, F.; Ke, D.; Li, J.; Zhang, W. Robust continuous model predictive speed and current control for PMSM with adaptive integral sliding-mode approach. IEEE Trans. Power Electron. 2021, 36, 14398–14408. [Google Scholar] [CrossRef]
- Nguyen, T.T.; Tran, H.N.; Nguyen, T.H.; Jeon, J.W. Recurrent neural network-based robust adaptive model predictive speed control for PMSM with parameter mismatch. IEEE Trans. Ind. Electron. 2022, 70, 6219–6228. [Google Scholar] [CrossRef]
- Hang, J.; Shu, X.; Ding, S.; Huang, Y. Robust open-circuit fault diagnosis for PMSM drives using wavelet convolutional neural network with small samples of normalized current vector trajectory graph. IEEE Trans. Ind. Electron. 2023, 70, 7653–7663. [Google Scholar] [CrossRef]
- He, L.; Wang, F.; Wang, J.; Rodríguez, J. Zynq implemented Luenberger disturbance observer based predictive control scheme for PMSM drives. IEEE Trans. Power Electron. 2019, 35, 1770–1778. [Google Scholar] [CrossRef]
- Li, S.; Xu, Y.; Zhang, W.; Zou, J. Robust deadbeat predictive direct speed control for PMSM with dual second-order sliding-mode disturbance observers and sensitivity analysis. IEEE Trans. Power Electron. 2023, 38, 8310–8326. [Google Scholar] [CrossRef]
- Kawai, H.; Zhang, Z.; Kennel, R.; Doki, S. Direct speed control based on finite control set model predictive control with voltage smoother. IEEE Trans. Ind. Electron. 2022, 70, 2363–2372. [Google Scholar] [CrossRef]
- Zhang, X.; He, Y. Direct voltage-selection based model predictive direct speed control for PMSM drives without weighting factor. IEEE Trans. Power Electron. 2018, 34, 7838–7851. [Google Scholar] [CrossRef]
- Wang, Z.; Chai, J.; Xiang, X.; Sun, X.; Lu, H. A novel online parameter identification algorithm designed for deadbeat current control of the permanent-magnet synchronous motor. IEEE Trans. Ind. Appl. 2021, 58, 2029–2041. [Google Scholar] [CrossRef]
- Feng, G.; Lai, C.; Tan, X.; Wang, B.; Kar, N.C. Optimal current modeling and identification for fast and efficient torque ripple minimization of PMSM using theoretical and experimental models. IEEE Trans. Ind. Electron. 2020, 68, 11806–11816. [Google Scholar] [CrossRef]
- Liu, H.; Lin, W.; Liu, Z.; Buccella, C.; Cecati, C. Model predictive current control with model-aid extended state observer compensation for PMSM drive. IEEE Trans. Power Electron. 2022, 38, 3152–3162. [Google Scholar] [CrossRef]
- Wang, F.; He, L. FPGA-based predictive speed control for PMSM system using integral sliding-mode disturbance observer. IEEE Trans. Ind. Electron. 2020, 68, 972–981. [Google Scholar] [CrossRef]
- Gao, F.; Yin, Z.; Li, L.; Li, T.; Liu, J. Gaussian noise suppression in deadbeat predictive current control of permanent magnet synchronous motors based on augmented fading Kalman filter. IEEE Trans. Energy Convers. 2022, 38, 1410–1420. [Google Scholar] [CrossRef]
- Alma, Y.A.; Gustavo, M.-G.; Jorge, R. Nested High Order Sliding Mode Controller with Back-EMF Sliding Mode Observer for a Brushless Direct Current Motor. Electronics 2020, 9, 1041. [Google Scholar] [CrossRef]
- Du, S.; Liu, Y.; Wang, Y.; Li, Y.; Yan, Z. Research on a Permanent Magnet Synchronous Motor Sensorless Anti-Disturbance Control Strategy Based on an Improved Sliding Mode Observer. Electronics 2023, 12, 4188. [Google Scholar] [CrossRef]
- Yao, G.; Gao, J.; Lei, J.; Han, S.; Xiao, Y. Design of Fractional-Order Non-Singular Terminal Sliding Mode Observer Sensorless System for Surface-Mounted Permanent Magnet Synchronous Motor. Electronics 2024, 13, 1601. [Google Scholar] [CrossRef]
- Tang, P.; Dai, Y.; Li, Z. Unified Predictive Current Control of PMSMs with Parameter Uncertainty. Electronics 2019, 8, 1534. [Google Scholar] [CrossRef]
- Zhu, Y.; Tao, B.; Xiao, M.; Yang, G.; Zhang, X.; Lu, K. Luenberger Position Observer Based on Deadbeat-Current Predictive Control for Sensorless PMSM. Electronics 2020, 9, 1325. [Google Scholar] [CrossRef]
- Mohamed, A.; Christoph, H.; Ralph, K. Robust Predictive Control Scheme for Permanent-Magnet Synchronous Generators Based Modern Wind Turbines. Electronics 2021, 10, 1596. [Google Scholar] [CrossRef]
- Zhang, X.; Cheng, Y.; Zhao, Z.; He, Y. Robust Model Predictive Direct Speed Control for SPMSM Drives Based on Full Parameter Disturbances and Load Observer. IEEE Trans. Power Electron. 2020, 35, 8361–8373. [Google Scholar] [CrossRef]
- Yang, L.; Li, H.; Huang, J.; Zhang, Z.; Zhao, H. Model Predictive Direct Speed Control with Novel Cost Function for SMPMSM Drives. IEEE Trans. Power Electron. 2022, 37, 9586–9596. [Google Scholar] [CrossRef]
- Yim, J.; You, S.; Lee, Y.; Kim, W. Chattering attenuation disturbance observer for sliding mode control: Application to permanent magnet synchronous motors. IEEE Trans. Ind. Electron. 2022, 70, 5161–5170. [Google Scholar] [CrossRef]
- Kashif, M.; Singh, B. Modified active-power MRAS based adaptive control with reduced sensors for PMSM operated solar water pump. IEEE Trans. Energy Convers. 2022, 38, 38–52. [Google Scholar] [CrossRef]
- Lu, W.; Tang, B.; Ji, K.; Lu, K.; Wang, D.; Yu, Z. A new load adaptive identification method based on an improved sliding mode observer for PMSM position servo system. IEEE Trans. Power Electron. 2020, 36, 3211–3223. [Google Scholar] [CrossRef]


















| Parameters | Value | Parameters | Value |
|---|---|---|---|
| Rated power (kW) | 3 | Stator inductance (mH) | 23.1 |
| Rated torque (Nm) | 5 | Stator resistance (Ω) | 1.386 |
| Rated speed (rpm) | 1500 | Rotational inertia (kg·m2) | 2.34 × 10−3 |
| Rated current (A) | 5 | Friction coefficient (N·s/m) | 3.01 × 10−3 |
| Number of pole pairs | 2 |
| Control Method | Settling Time | Fluctuate Error |
|---|---|---|
| PI | 0.675 s | 4 rpm |
| PI + ESMO | 0.675 s | 3 rpm |
| DPSC + ESMO | 0.65 s | 2 rpm |
| Control Method | Overshoot | Settling Time |
|---|---|---|
| PI | 9 rpm | 1.7 s |
| PI + ESMO | 9 rpm | 0.9 s |
| DPSC + ESMO | 6 rpm | 0.5 s |
| Control Method | Overshoot | Settling Time |
|---|---|---|
| PI | 12 rpm | 2.4 s |
| PI + ESMO | 9 rpm | 1.4 s |
| DPSC + ESMO | 7 rpm | 0.7 s |
Disclaimer/Publisher’s Note: The statements, opinions and data contained in all publications are solely those of the individual author(s) and contributor(s) and not of MDPI and/or the editor(s). MDPI and/or the editor(s) disclaim responsibility for any injury to people or property resulting from any ideas, methods, instructions or products referred to in the content. |
© 2024 by the authors. Licensee MDPI, Basel, Switzerland. This article is an open access article distributed under the terms and conditions of the Creative Commons Attribution (CC BY) license (https://creativecommons.org/licenses/by/4.0/).
Share and Cite
Song, Z.; Zhou, W.; Mo, Y. Research on Predictive Speed Control Scheme for Surface-Mounted Permanent Magnet Servo Systems. Electronics 2024, 13, 3421. https://doi.org/10.3390/electronics13173421
Song Z, Zhou W, Mo Y. Research on Predictive Speed Control Scheme for Surface-Mounted Permanent Magnet Servo Systems. Electronics. 2024; 13(17):3421. https://doi.org/10.3390/electronics13173421
Chicago/Turabian StyleSong, Zhe, Weihong Zhou, and Yu Mo. 2024. "Research on Predictive Speed Control Scheme for Surface-Mounted Permanent Magnet Servo Systems" Electronics 13, no. 17: 3421. https://doi.org/10.3390/electronics13173421
APA StyleSong, Z., Zhou, W., & Mo, Y. (2024). Research on Predictive Speed Control Scheme for Surface-Mounted Permanent Magnet Servo Systems. Electronics, 13(17), 3421. https://doi.org/10.3390/electronics13173421
