Transient Synchronization Stability Analysis and Enhancement Control for Power Self-Synchronization Control Converters
Abstract
1. Introduction
2. System Description and Dynamic Modeling
2.1. System Description
2.2. Control Loop
2.3. Stability Analysis of PSSC-VSC in Stiff Grids
3. Transient Synchronization Stability Analysis of PSSC-VSC
3.1. Dynamic Model of PSSC-VSC
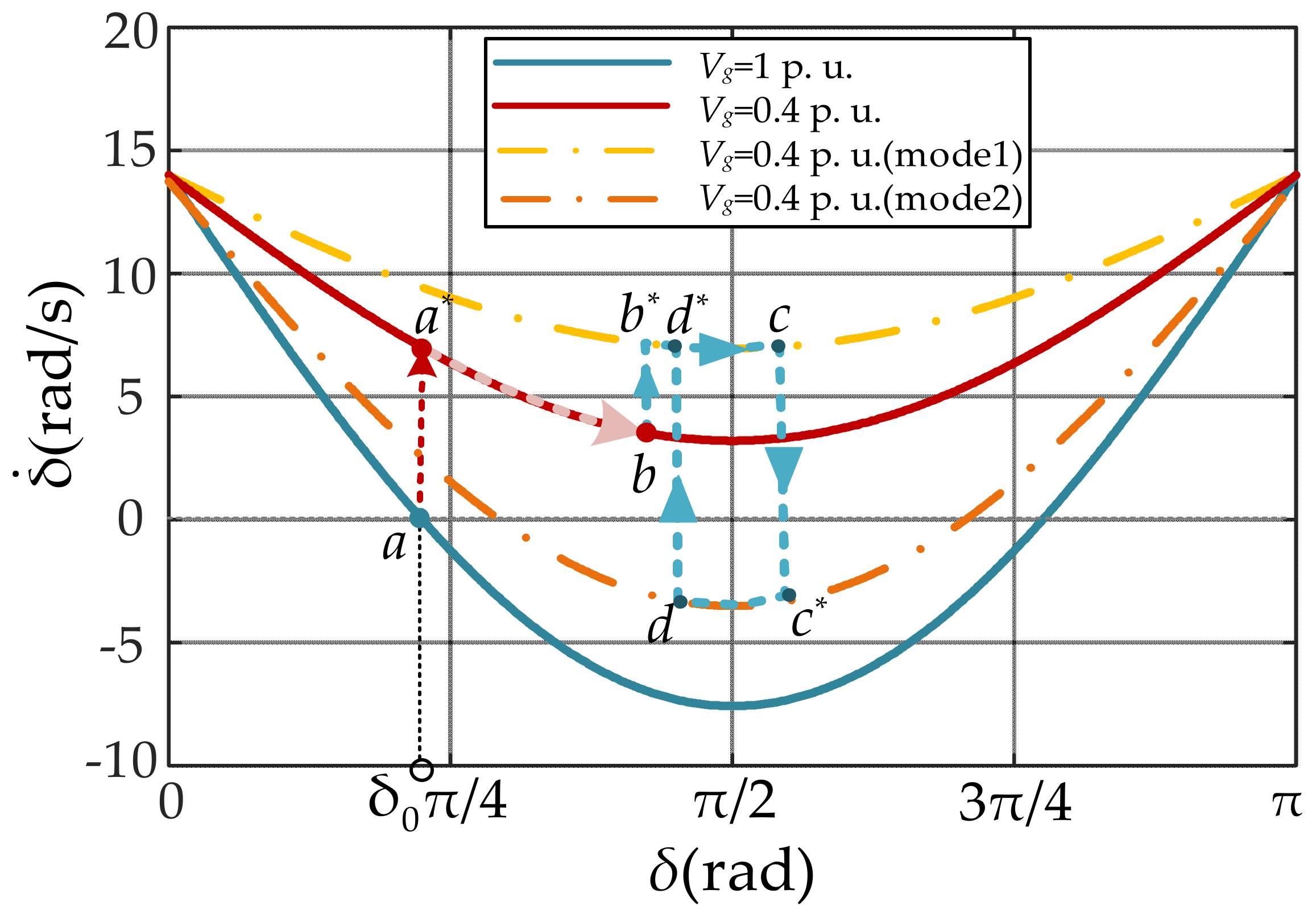
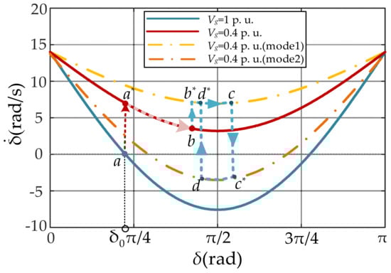
3.2. Dynamic Response of Power Angle for PSSC-VSC
4. Transient Stability Enhancement for PSSC-VSC
4.1. Transient Stability Enhancement Control Scheme
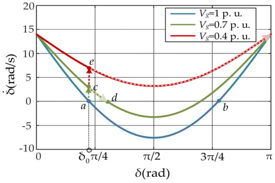
4.2. Dynamic Response of Power Angle for PSSC-VSC Adopting TSEC
5. Experimental Verification
5.1. Dynamic Response of Power Angle for PSSC-VSC during Fault
5.2. Verification of PSSC-TSEC Inverter during Symmetrical Fault
5.3. Verification of PSSC-TSEC Inverter during Asymmetrical Fault
6. Conclusions
- (1)
- Although the PSSC-based VSC can keep the small signal stable in SCR ranges from 1 to ∞, it still faces the problem of the loss of synchronization with the grid during faults.
- (2)
- A large-signal model is established and it is found that the imbalance between the output active power and the reference active power causes the transient instability of the PSSC-based VSC.
- (3)
- The dynamic behavior of the power angle is elucidated. Since the large-signal model of the PSSC-based VSC is equipped with a first-order nature, there is no overshot in the power angle response.
- (4)
- To keep the PSSC-based VSC synchronized with the grid during faults, transient stability enhancement control is adopted which obviously keeps the PSSC-VSC synchronizing with the grid with an arbitrary SCR during the fault.
- (5)
- The PSSC-based VSC integrating TSEC scheme has a broad application perspective. It is simple to set the software and the structure of essential controller does not need to vary during the fault. Most importantly, the proposed controller is still effective in both ultra-strong and ultra-weak grids.
- (6)
- The inverter controlled by PSSC-TSEC can maintain synchronization with the grid in both symmetrical and asymmetrical faults.
Author Contributions
Funding
Data Availability Statement
Conflicts of Interest
Correction Statement
Abbreviations
| Lf | filter inductor |
| Lg | grid inductor |
| vi | VSC output voltage |
| vPCC | PCC voltage |
| vg | grid voltage |
| vdc | dc voltage |
| iLabc | VSC output current |
| vdqref | voltage reference of inner control loop |
| vodqref, voref | modulated voltage in dq-frame and in stationary frame |
| edq | output of integrator in current control loop |
| ω0 | grid frequency |
| Kp | P-f controller coefficient |
| Pe | instantaneous active power |
| Pref | reference active power |
| δ | power angle |
| PMAX | maximum transmissible active power |
| Pν | virtual orthogonal active power |
| equivalent reference power | |
| KUL | upper limit of Pe/Pv |
| KLL | lower limit of Pe/Pv |
| VSC | voltage source converter |
| SG | synchronous generator |
| PLL | phase-locked loop |
| SCR | short circuit ratio |
| PSC | power synchronization control |
| VSG | virtual synchronous generator |
| PSSC | power self-synchronization control |
| PCC | Point of Common Coupling |
| EAC | equal area criterion |
| SEP | stable equilibrium point |
| VOP | virtual orthogonal power |
| TSEC | transient stability enhancement control |
References
- Wang, X.; Taul, M.G.; Wu, H.; Liao, Y.; Blaabjerg, F.; Harnefors, L. Grid-synchronization stability of converter-based resources—An overview. IEEE Open. J. Ind. Appl. 2020, 1, 115–134. [Google Scholar] [CrossRef]
- Zhang, H.; Xiang, W.; Lin, W.; Wen, J. Grid Forming Converters in Renewable Energy Sources Dominated Power Grid: Control Strategy, Stability, Application, and Challenges. J. Mod. Power Syst. Clean Energy 2021, 9, 1239–1256. [Google Scholar] [CrossRef]
- Zhou, J.Z.; Ding, H.; Fan, S.; Zhang, Y.; Gole, A.M. Impact of short-circuit ratio and phase-locked-loop parameters on the small-signal behavior of a VSC-HVDC converter. IEEE Trans. Power Deliv. 2014, 29, 2287–2296. [Google Scholar] [CrossRef]
- Wang, X.; Blaabjerg, F. Harmonic stability in power electronic based power systems: Concept, modeling, and analysis. IEEE Trans. Smart Grid. 2019, 10, 2858–2870. [Google Scholar] [CrossRef]
- Wang, X.; Harnefors, L.; Blaabjerg, F. A unified impedance model of grid-connected voltage-source converters. IEEE Trans. Power Electron. 2018, 33, 1775–1787. [Google Scholar] [CrossRef]
- Elkhatib, M.E.; Du, W.; Lasseter, R.H. Evaluation of inverter-based grid frequency support using frequency-watt and grid-forming PV inverters. In Proceedings of the 2018 IEEE Power & Energy Society General Meeting (PESGM), Portland, OR, USA, 5–9 August 2018; pp. 1–5. [Google Scholar]
- Rodriguez, P.; Citro, C.; Candela, I.; Rocabert, J.; Rodriguez, P. Flexible grid connection and islanding of SPC-based PV power converters. IEEE Trans. Ind. Appl. 2018, 54, 2690–2702. [Google Scholar] [CrossRef]
- Zhang, L.; Harnefors, L.; Nee, H.-P. Power-synchronization control of grid-connected voltage-source converters. IEEE Trans. Power Syst. 2010, 25, 809–820. [Google Scholar] [CrossRef]
- Rosso, R.; Wang, X.; Liserre, M.; Lu, X.; Engelken, S. Grid-forming converters: Control approaches, grid-synchronization, and future trends—A review. IEEE Open J. Ind. Appl. 2021, 2, 93–109. [Google Scholar] [CrossRef]
- Johnson, B.B.; Sinha, M.; Ainsworth, N.G.; Dörfler, F.; Dhople, S.V. Synthesizing virtual oscillators to control islanded inverters. IEEE Trans. Power Electron. 2016, 31, 6002–6015. [Google Scholar] [CrossRef]
- Rocabert, J.; Luna, A.; Blaabjerg, F.; Rodriguez, P. Control of power converters in AC microgrids. IEEE Trans. Power Electron. 2012, 27, 4734–4749. [Google Scholar] [CrossRef]
- Milano, F.; Dörfler, F.; Hug, G.; Hill, D.J.; Verbić, G. Foundations and challenges of low-inertia systems. In Proceedings of the 2018 Power Systems Computation Conference (PSCC), Dublin, Ireland, 11–15 June 2018; pp. 1–25. [Google Scholar]
- De Brabandere, K.; Bolsens, B.; Van Den Keybus, J.; Woyte, A.; Driesen, J.; Belmans, R. A voltage and frequency droop control method for parallel inverters. IEEE Trans. Power Electron. 2007, 22, 1107–1115. [Google Scholar] [CrossRef]
- Huang, L.; Xin, H.; Wang, Z. Damping low-frequency oscillations through VSC-HVDC stations operated as virtual synchronous machines. IEEE Trans. Power Electron. 2018, 34, 5803–5818. [Google Scholar] [CrossRef]
- Liao, Y.; Wang, X.; Liu, F.; Xin, K.; Liu, Y. Sub-synchronous control interaction in grid-forming VSCs with droop control. In Proceedings of the 2019 4th IEEE Workshop on the Electronic Grid (eGRID), Xiamen, China, 11–14 November 2019; pp. 1–6. [Google Scholar]
- Li, X.; Hu, Y.; Shao, Y.; Chen, G. Mechanism analysis and suppression strategies of power oscillation for virtual synchronous generator. In Proceedings of the IECON 2017-43rd Annual Conference of the IEEE Industrial Electronics Society, Beijing, China, 29 October–1 November 2017; pp. 4955–4960. [Google Scholar]
- Denis, G.; Prevost, T.; Panciatici, P.; Kestelyn, X.; Colas, F.; Guillaud, X. Improving robustness against grid stiffness, with internal control of an AC voltage controlled VSC. In Proceedings of the 2016 IEEE Power and Energy Society General Meeting (PESGM), Boston, MA, USA, 17–21 July 2016; pp. 1–5. [Google Scholar]
- Li, M.; Zhang, X.; Yang, Y.; Cao, P. The grid impedance adaptation dual mode control strategy in weak grid. In Proceedings of the 2018 International Power Electronics Conference (IPEC-Niigata 2018-ECCE Asia), Niigata, Japan, 20–24 May 2018. [Google Scholar]
- Harnefors, L.; Kukkola, J.; Routimo, M.; Hinkkanen, M.; Wang, X. A universal controller for grid-connected voltage-source converters. IEEE J. Emerg. Sel. Topics Power Electron. 2021, 9, 5661–5670. [Google Scholar] [CrossRef]
- Harnefors, L.; Schweizer, M.; Kukkola, J.; Routimo, M.; Hinkkanen, M.; Wang, X. Generic PLL-based grid-forming control. IEEE Trans. Power Electron. 2022, 37, 1201–1204. [Google Scholar] [CrossRef]
- Zhao, F.; Wang, X.; Zhou, Z.; Sun, Y.; Harnefors, L.; Zhu, T. Robust grid-forming control with active susceptance. IEEE Trans. Power Electron. 2022, 38, 2872–2877. [Google Scholar] [CrossRef]
- Wang, P.; Ma, J.; Zhang, R.; Wang, S.; Liu, T.; Wu, Z.; Wang, R. Power Self-Synchronization Control of Grid-Forming Voltage-Source Converters Against a Wide Range of Short-Circuit Ratio. IEEE Trans. Power Electron. 2023, 38, 15419–15432. [Google Scholar] [CrossRef]
- Strogatz, S.H. Nonlinear Dynamics and Chaos with Student Solutions Manual: With Applications to Physics, Biology, Chemistry, and Engineering; CRC Press: Boca Raton, FL, USA, 2018. [Google Scholar]
- Shuai, Z.; Shen, C.; Liu, X.; Li, Z.; Shen, Z.J. Transient Angle Stability of Virtual Synchronous Generators Using Lyapunov’s Direct Method. IEEE Trans. Smart Grid 2018, 10, 4648–4661. [Google Scholar] [CrossRef]
- Li, X.; Tian, Z.; Zha, X.; Sun, P.; Hu, Y.; Huang, M.; Sun, J. Nonlinear Modeling and Stability Analysis of Grid-Tied Paralleled-Converters Systems Based on the Proposed Dual-Iterative Equal Area Criterion. IEEE Trans. Power Electron. 2023, 38, 7746–7759. [Google Scholar] [CrossRef]
- Pan, D.; Wang, X.; Liu, F.; Shi, R. Transient stability of voltage-source converters with grid-forming control: A design-oriented study. IEEE J. Emerg. Sel. Topics Power Electron. 2020, 8, 1019–1033. [Google Scholar] [CrossRef]
- Wu, H.; Wang, X. Design-Oriented Transient Stability Analysis of Grid-Connected Converters With Power Synchronization Control. IEEE Trans. Ind. Electron. 2019, 66, 6473–6482. [Google Scholar] [CrossRef]
- Yuan, H.; Yuan, X.; Hu, J. Modeling of grid-connected VSCs for power system small-signal stability analysis in DC-link voltage control timescale. IEEE Trans. Power Syst. 2017, 32, 3981–3991. [Google Scholar] [CrossRef]
- Yang, D.; Wang, X.; Blaabjerg, F. Fast power control for VSCs to enhance the synchronization stability in ultra-weak grid. In Proceedings of the 2018 IEEE Power & Energy Society General Meeting (PESGM), Portland, OR, USA, 5–9 August 2018; pp. 1–6. [Google Scholar]
- Sun, R.; Ma, J.; Yang, W.; Wang, S.; Liu, T. Transient synchronization stability control for LVRT with power angle estimation. IEEE Trans. Power Electron. 2021, 36, 10981–10985. [Google Scholar] [CrossRef]















| Controller | Strategy | Features |
|---|---|---|
| The dual-mode controller | Current source mode in the stiff grid; voltage source mode in the weak grid |
|
| The universal controller | Using PSC as a guide to design a grid-following controller |
|
| The robust grid-forming controller | An active susceptance loop is added |
|
| The PSSC controller + TSEC controller | The modulation voltage approximates the VSC output voltage |
|
| Symbol | Value | Symbol | Value | Symbol | Value |
|---|---|---|---|---|---|
| f0 | 50 Hz | Lf | 4 mH | Pref | 10 kW |
| Vdc | 750 V | Vg | 311 V | Kp | 0.0002 |
| Lg | 20 mH | Vi | 311 V | KLL | −0.75 |
Disclaimer/Publisher’s Note: The statements, opinions and data contained in all publications are solely those of the individual author(s) and contributor(s) and not of MDPI and/or the editor(s). MDPI and/or the editor(s) disclaim responsibility for any injury to people or property resulting from any ideas, methods, instructions or products referred to in the content. |
© 2024 by the authors. Licensee MDPI, Basel, Switzerland. This article is an open access article distributed under the terms and conditions of the Creative Commons Attribution (CC BY) license (https://creativecommons.org/licenses/by/4.0/).
Share and Cite
Shi, H.; Shi, P.; Zhou, B.; Wang, X.; Zeng, X.; Ma, J. Transient Synchronization Stability Analysis and Enhancement Control for Power Self-Synchronization Control Converters. Electronics 2024, 13, 3416. https://doi.org/10.3390/electronics13173416
Shi H, Shi P, Zhou B, Wang X, Zeng X, Ma J. Transient Synchronization Stability Analysis and Enhancement Control for Power Self-Synchronization Control Converters. Electronics. 2024; 13(17):3416. https://doi.org/10.3390/electronics13173416
Chicago/Turabian StyleShi, Huabo, Peng Shi, Bo Zhou, Xi Wang, Xueyang Zeng, and Junpeng Ma. 2024. "Transient Synchronization Stability Analysis and Enhancement Control for Power Self-Synchronization Control Converters" Electronics 13, no. 17: 3416. https://doi.org/10.3390/electronics13173416
APA StyleShi, H., Shi, P., Zhou, B., Wang, X., Zeng, X., & Ma, J. (2024). Transient Synchronization Stability Analysis and Enhancement Control for Power Self-Synchronization Control Converters. Electronics, 13(17), 3416. https://doi.org/10.3390/electronics13173416
