Design of a PID Controller for Microbial Fuel Cells Using Improved Particle Swarm Optimization
Abstract
1. Introduction
- (1)
- This paper proposes the method of using a PID controller to achieve stable output voltage in an MFC. As far as we know, there are few references about PID controllers applicable to MFCs.
- (2)
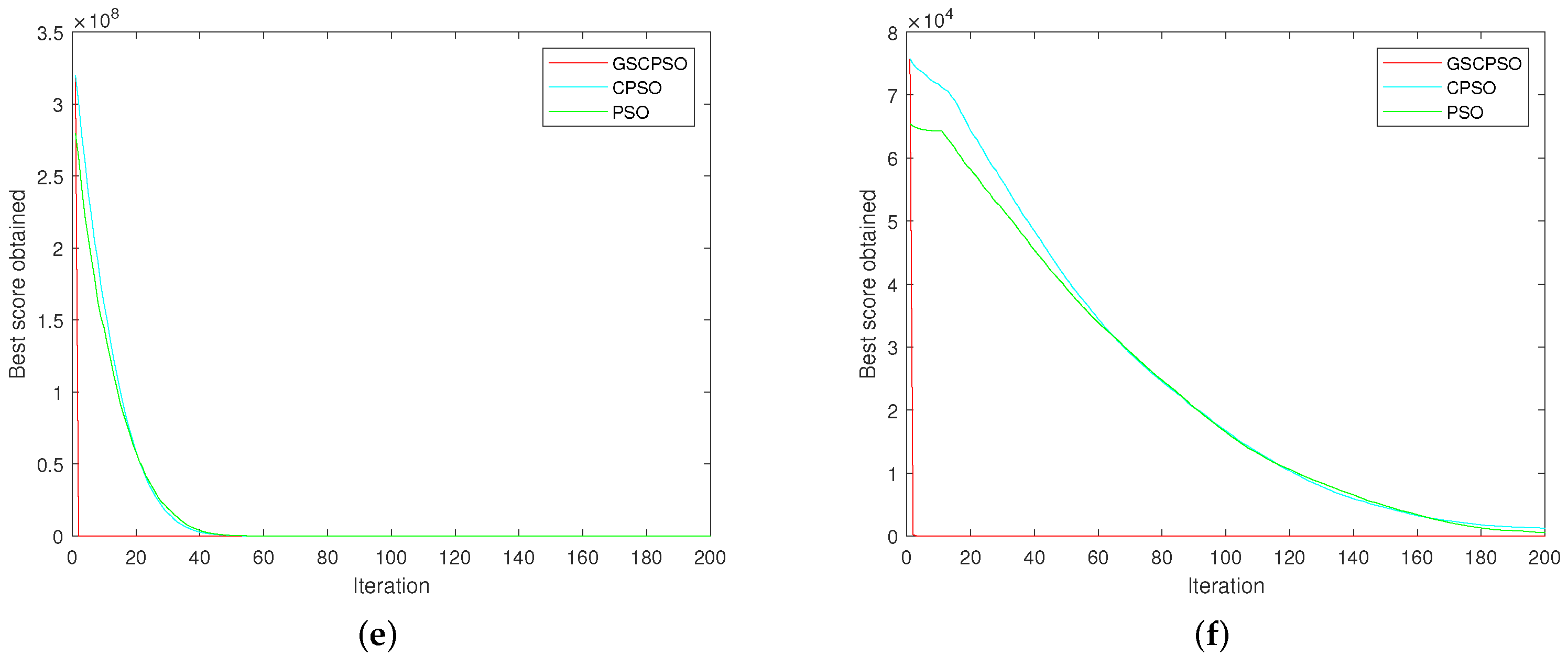
- To address the issue of slow convergence speed in PSO, this paper combines Circle chaotic mapping and the Golden Sine Strategy with the PSO algorithm, proposing an improved PSO algorithm named GSCPSO. The algorithm is tested on 12 benchmark functions, and performance evaluations are conducted. The test results indicate that the GSCPSO algorithm has faster convergence speed and stronger robustness.
- (3)
- To verify the ability of GSCPSO to solve practical application problems, we compare the GSCPSO-PID controller with SMC, FSMC, backstepping control, PSO-PID, and CPSO-PID. The results show that the GSCPSO-PID controller has a faster convergence speed and smaller overshoot in the MFC.
2. Model Formulation and PID Control
2.1. Control-Oriented Mathematical Mode of MFC
2.2. PID Controller
3. PID Controller Parameter Adjustment Based on the Improved Particle Swarm Optimization Algorithm
3.1. Particle Swarm Optimization Algorithm
3.2. Algorithm Improvement Strategies
3.2.1. Introduction of Population Initialization for Circle Mapping
3.2.2. Golden Sine Strategy
3.2.3. The Implementation Steps for Improving the Algorithm
3.3. Solution Representation
4. Experiments and Results Analysis
4.1. Simulation Experiment and Comparative Analysis of Optimization Algorithms
4.2. Simulation Experiment and Comparative Analysis of the MFC Control Problem
5. Conclusions
Author Contributions
Funding
Data Availability Statement
Conflicts of Interest
References
- Ponomarenko, T.; Nevskaya, M.; Jonek-Kowalska, I. Mineral resource depletion assessment: Alternatives, problems, results. Sustainability 2021, 13, 862. [Google Scholar] [CrossRef]
- Huang, Y. Destruction process and restoration countermeasures of the ecological environment of a comprehensive geological structure. Earth Sci. Res. J. 2020, 24, 429–437. [Google Scholar] [CrossRef]
- Qi, W.; Liu, J.; Christofides, P.D. Distributed supervisory predictive control of distributed wind and solar energy systems. IEEE Trans. Control Syst. Technol. 2012, 21, 504–512. [Google Scholar] [CrossRef]
- Kongnam, C.; Nuchprayoon, S. A particle swarm optimization for wind energy control problem. Renew. Energy 2010, 35, 2431–2438. [Google Scholar] [CrossRef]
- Åström, K.J.; Furuta, K. Swinging up a pendulum by energy control. Automatica 2000, 36, 287–295. [Google Scholar] [CrossRef]
- Lai, B.; Yi, P.; Sui, Y.; Zhang, Q. Energy distribution in EV energy network under energy shortage. Neurocomputing 2021, 444, 179–188. [Google Scholar] [CrossRef]
- Xu, F.; Cao, F.Q.; Kong, Q.; Zhou, L.L.; Yuan, Q.; Zhu, Y.J.; Wang, Q. Electricity production and evolution of microbial community in the constructed wetland-microbial fuel cell. Chem. Eng. J. 2018, 339, 479–486. [Google Scholar] [CrossRef]
- Rinaldi, A.; Mecheri, B.; Garavaglia, V.; Licoccia, S.; Di Nardo, P.; Traversa, E. Engineering materials and biology to boost performance of microbial fuel cells: A critical review. Energy Environ. Sci. 2008, 1, 417–429. [Google Scholar] [CrossRef]
- Logan, B.E.; Hamelers, B.; Rozendal, R.; Schröder, U.; Keller, J.; Freguia, S.; Aelterman, P.; Verstraete, W.; Rabaey, K. Microbial fuel cells: Methodology and technology. Environ. Sci. Technol. 2006, 40, 5181–5192. [Google Scholar] [CrossRef]
- Mohan, S.V.; Velvizhi, G.; Modestra, J.A.; Srikanth, S. Microbial fuel cell: Critical factors regulating bio-catalyzed electrochemical process and recent advancements. Renew. Sustain. Energy Rev. 2014, 40, 779–797. [Google Scholar] [CrossRef]
- Tee, P.F.; Abdullah, M.O.; Tan, I.A.; Amin, M.A.; Nolasco-Hipolito, C.; Bujang, K. Effects of temperature on wastewater treatment in an affordable microbial fuel cell-adsorption hybrid system. J. Environ. Chem. Eng. 2017, 5, 178–188. [Google Scholar] [CrossRef]
- Patel, R.; Deb, D. Nonlinear adaptive control of microbial fuel cell with two species in a single chamber. J. Power Sources 2019, 434, 226739. [Google Scholar] [CrossRef]
- Premier, G.C.; Kim, J.R.; Michie, I.; Dinsdale, R.M.; Guwy, A.J. Automatic control of load increases power and efficiency in a microbial fuel cell. J. Power Sources 2011, 196, 2013–2019. [Google Scholar] [CrossRef]
- Ma, F.; Ouyang, T.; Cheng, Y.; Zhu, B.; Ji, P. Non-fragile guaranteed cost control of microbial fuel cells. ISA Trans. 2023, 143, 398–408. [Google Scholar] [CrossRef]
- Patel, R.; Deb, D. Parametrized control-oriented mathematical model and adaptive backstepping control of a single chamber single population microbial fuel cell. J. Power Sources 2018, 396, 599–605. [Google Scholar] [CrossRef]
- Boghani, H.C.; Michie, I.; Dinsdale, R.M.; Guwy, A.J.; Premier, G.C. Control of microbial fuel cell voltage using a gain scheduling control strategy. J. Power Sources 2016, 322, 106–115. [Google Scholar] [CrossRef]
- Nemitallah, M.; Nabhan, M.; Alowaifeer, M.; Haeruman, A.; Alzahrani, F.; Habib, M.; Elshafei, M.; Abouheaf, M.; Aliyu, M.; Alfarraj, M. Artificial intelligence for control and optimization of boilers’ performance and emissions: A review. J. Clean. Prod. 2023, 417, 138109. [Google Scholar] [CrossRef]
- Kiliçarslan, S. PSO+ GWO: A hybrid particle swarm optimization and Grey Wolf optimization based Algorithm for fine-tuning hyper-parameters of convolutional neural networks for Cardiovascular Disease Detection. J. Ambient. Intell. Humaniz. Comput. 2023, 14, 87–97. [Google Scholar] [CrossRef]
- Gad, A.G. Particle swarm optimization algorithm and its applications: A systematic review. Arch. Comput. Methods Eng. 2022, 29, 2531–2561. [Google Scholar] [CrossRef]
- Jain, M.; Saihjpal, V.; Singh, N.; Singh, S.B. An overview of variants and advancements of PSO algorithm. Appl. Sci. 2022, 12, 8392. [Google Scholar] [CrossRef]
- Shakhatreh, H.; Khreishah, A.; Alsarhan, A.; Khalil, I.; Sawalmeh, A.; Othman, N.S. Efficient 3D placement of a UAV using particle swarm optimization. In Proceedings of the 2017 8th International Conference on Information and Communication Systems (ICICS), Irbid, Jordan, 4–6 April 2017; IEEE: Piscataway, NJ, USA, 2017; pp. 258–263. [Google Scholar]
- Roberge, V.; Tarbouchi, M.; Labonté, G. Comparison of parallel genetic algorithm and particle swarm optimization for real-time UAV path planning. IEEE Trans. Ind. Inform. 2012, 9, 132–141. [Google Scholar] [CrossRef]
- Ghamry, K.A.; Kamel, M.A.; Zhang, Y. Multiple UAVs in forest fire fighting mission using particle swarm optimization. In Proceedings of the 2017 International Conference on Unmanned Aircraft Systems (ICUAS), Miami, FL, USA, 13–16 June 2017; IEEE: Piscataway, NJ, USA, 2017; pp. 1404–1409. [Google Scholar]
- Fu, Y.; Ding, M.; Zhou, C.; Hu, H. Route planning for unmanned aerial vehicle (UAV) on the sea using hybrid differential evolution and quantum-behaved particle swarm optimization. IEEE Trans. Syst. Man Cybern. Syst. 2013, 43, 1451–1465. [Google Scholar] [CrossRef]
- Zaky, M.S. A self-tuning PI controller for the speed control of electrical motor drives. Electr. Power Syst. Res. 2015, 119, 293–303. [Google Scholar] [CrossRef]
- Bennett, S. Development of the PID controller. IEEE Control Syst. Mag. 1993, 13, 58–62. [Google Scholar] [CrossRef]
- Eberhart, R.; Kennedy, J. A new optimizer using particle swarm theory. In Proceedings of the MHS’95. Proceedings of the Sixth International Symposium on Micro Machine and Human Science, Nagoya, Japan, 4–6 October 1995; IEEE: Piscataway, NJ, USA, 1995; pp. 39–43. [Google Scholar]
- Chikushi, R.T.M.; de Barros, R.S.M.; da Silva, M.G.N.M.; Maciel, B.I.F. Using spectral entropy and bernoulli map to handle concept drift. Expert Syst. Appl. 2021, 167, 114114. [Google Scholar] [CrossRef]
- Bao, B.; Rong, K.; Li, H.; Li, K.; Hua, Z.; Zhang, X. Memristor-coupled logistic hyperchaotic map. IEEE Trans. Circuits Syst. II Express Briefs 2021, 68, 2992–2996. [Google Scholar] [CrossRef]
- Manikandan, V.; Raj, V.; Janakiraman, S.; Sivaraman, R.; Amirtharajan, R. Let wavelet authenticate and tent-map encrypt: A sacred connect against a secret nexus. Soft Comput. 2024, 28, 6839–6853. [Google Scholar] [CrossRef]
- Lian, L.; Ji, P.; OuYang, T.; Ma, F.; Xu, S.; Gao, C.; Liu, J. Fuzzy integral sliding mode control based on microbial fuel cell. Complexity 2021, 2021, 6670039. [Google Scholar] [CrossRef]
- Ouyang, T.; Ma, F.; Zhu, B.; Ji, P.; Lian, L. Fuzzy Sliding Mode Control for Microbial Fuel Cells. Machines 2022, 10, 320. [Google Scholar] [CrossRef]








| Function | Benchmark Function | Range | |
|---|---|---|---|
| F1 | Sphere Function | [−100, 100] | 0 |
| F2 | Schwefel’s Problem 2.22 | [−10, 10] | 0 |
| F3 | Schwefel’s Problem 1.2 | [−100, 100] | 0 |
| F4 | Schwefel’s Problem 2.21 | [−100, 100] | 0 |
| F5 | Generalized Rosenbrock’s Function | [−30, 30] | 0 |
| F6 | Step Function | [−100, 100] | 0 |
| F7 | Quartic Function, i.e., Noise | [−1.28, 1.28] | 0 |
| F8 | Generalized Schwefel’s Problem 2.26 | [−500, 500] | −12,569.5 |
| F9 | Generalized Rastrigin’s Function | [−5.12, 5.12] | 0 |
| F10 | Ackley’s Function | [−32, 32] | 0 |
| F11 | Generalized Penalized Function 1 | [−50, 50] | 0 |
| F12 | Generalized Penalized Function 2 | [−50, 50] | 0 |
| Function | F1 | F2 | F3 | ||||
| Algorithm | MEAN | STD | MEAN | STD | MEAN | STD | |
| PSO | 1.3 × 103 | 4.4 × 102 | 1.1 × 101 | 2.0 × 100 | 1.8 × 103 | 6.8 × 103 | |
| CPSO | 2.1 × 103 | 1.3 × 103 | 9.0 × 100 | 2.0 × 100 | 4.8 × 103 | 2.2 × 103 | |
| GSCPSO | 4.1 × 10−19 | 2.2 × 10−18 | 1.9 × 10−9 | 3.1 × 10−9 | 1.7 × 10−18 | 5.3 × 10−18 | |
| Function | F4 | F5 | F6 | ||||
| Algorithm | MEAN | STD | MEAN | STD | MEAN | STD | |
| PSO | 9.0 × 100 | 1.6 × 100 | 5.9 × 103 | 3.9 × 103 | 1.4 × 103 | 5.5 × 102 | |
| CPSO | 1.1 × 101 | 2.0 × 100 | 6.4 × 103 | 4.6 × 103 | 2.1 × 103 | 7.1 × 102 | |
| GSCPSO | 5.0 × 10−11 | 4.1 × 10−11 | 4.2 × 103 | 5.3 × 103 | 1.6 × 103 | 4.5 × 102 | |
| Function | F7 | F8 | F9 | ||||
| Algorithm | MEAN | STD | MEAN | STD | MEAN | STD | |
| PSO | 1.3 × 100 | 4.0 × 10−1 | −2.5 × 103 | 4.6 × 102 | 9.5 × 101 | 1.9 × 101 | |
| CPSO | 2.0 × 10−1 | 1.0 × 10−1 | −1.3 × 103 | 2.3 × 102 | 1.3 × 102 | 2.5 × 101 | |
| GSCPSO | 2.4 × 10−3 | 8.0 × 10−3 | −1.2 × 105 | 2.0 × 103 | 0 | 0 | |
| Function | F10 | F11 | F12 | ||||
| Algorithm | MEAN | STD | MEAN | STD | MEAN | STD | |
| PSO | 8.8 × 101 | 1.8 × 100 | 5.8 × 100 | 1.6 × 100 | 2.3 × 101 | 1.5 × 101 | |
| CPSO | 1.3 × 102 | 2.1 × 101 | 1.3 × 100 | 1.8 × 101 | 5.4 × 101 | 4.3 × 101 | |
| GSCPSO | 1.8 × 10−10 | 1.5 × 10−10 | 0 | 0 | 1.5 × 103 | 8.0 × 103 | |
| Type of Controller | |||
|---|---|---|---|
| PSO-PID | 1 | 0 | 83.0349 |
| CPSO-PID | 2.5962 | 0.00978 | 190 |
| GSCPSO-PID | 1 | 0 | 24.3139 |
| Symbol | Description | Typical Value | Unit |
|---|---|---|---|
| Maximum substrate utilization | 3.6 | ||
| Half-saturation constant | 32.4 | mg/L | |
| The maximum growth rate of microorganisms | 0.4 | ||
| b | Endogenous decay coefficient | 0.084 | |
| Initial substrate concentration value | 60 | mg/L |
| Method | Overshoot | Rise Time (s) | Settling Time (s) | Peak Time (s) | Steady-State Error | Chattering |
|---|---|---|---|---|---|---|
| GSCPSO-PID | 6.57% | 7.95 | 43.5895 | 15.68 | 0.061 | No |
| CPSO-PID | 7.61% | 8.2589 | 51.5895 | 16.5 | 0.089 | No |
| PSO-PID | 8.37% | 8.6415 | 56.7212 | 16.752 | 0.0744 | No |
| SMC [31] | 1.15% | 7.59 | 21.5298 | 13.3 | 0.5107 | Yes |
| FSMC [32] | 9.07% | 23.5362 | 21.7891 | 25.11 | 0.1907 | Yes |
| BC [15] | 79.22% | 64.1925 | 88.8889 | 29.34 | 0.018 | No |
Disclaimer/Publisher’s Note: The statements, opinions and data contained in all publications are solely those of the individual author(s) and contributor(s) and not of MDPI and/or the editor(s). MDPI and/or the editor(s) disclaim responsibility for any injury to people or property resulting from any ideas, methods, instructions or products referred to in the content. |
© 2024 by the authors. Licensee MDPI, Basel, Switzerland. This article is an open access article distributed under the terms and conditions of the Creative Commons Attribution (CC BY) license (https://creativecommons.org/licenses/by/4.0/).
Share and Cite
Wang, C.; Zhu, B.; Ma, F.; Sun, J. Design of a PID Controller for Microbial Fuel Cells Using Improved Particle Swarm Optimization. Electronics 2024, 13, 3381. https://doi.org/10.3390/electronics13173381
Wang C, Zhu B, Ma F, Sun J. Design of a PID Controller for Microbial Fuel Cells Using Improved Particle Swarm Optimization. Electronics. 2024; 13(17):3381. https://doi.org/10.3390/electronics13173381
Chicago/Turabian StyleWang, Chenlong, Baolong Zhu, Fengying Ma, and Jiahao Sun. 2024. "Design of a PID Controller for Microbial Fuel Cells Using Improved Particle Swarm Optimization" Electronics 13, no. 17: 3381. https://doi.org/10.3390/electronics13173381
APA StyleWang, C., Zhu, B., Ma, F., & Sun, J. (2024). Design of a PID Controller for Microbial Fuel Cells Using Improved Particle Swarm Optimization. Electronics, 13(17), 3381. https://doi.org/10.3390/electronics13173381

