Optimal Sizing of Electric Vehicle Charging Stacks Considering a Multiscenario Strategy and User Satisfaction
Abstract
1. Introduction
1.1. Charging Station Sizing
1.2. Intelligent Charging Stack
1.3. QoS at Charging Stations
1.4. Contributions
- An intelligent charging model is proposed based on the charging stack during the charging process, extending the solution to the charging station sizing problem.
- Multiscenario strategies specific for intelligent charging stacks are proposed, i.e., exclusive and shared operational scenarios. The total power of the charging stack is accounted for in the sizing of the charging station.
- A new CS QoS level formula is designed to map the user charging satisfaction to the EV charging satisfaction function. Based on the definitions of three different levels of business models, the corresponding QoS values are obtained.
- Simulation results are presented, showing the relationships among the QoS, the costs of installed EV charging facilities, the total charging stack power and the impact of intelligent charging (in a shared operating scenario) on reducing infrastructure costs during the sizing phase.
2. System Model
2.1. Notations
- Index:
- i
- Index of electric vehicle (EV);
- j
- Index of EV charging facility;
- t
- Index of slot.
- Set:
- E
- Set of simulated EV numbers;
- J
- Set of candidate EV charging facilities for the charging station;
- T
- Set of simulation time slots.
- Variables:
- yi,j,t
- 1 if the charging of the i-th EV is at the j-th EV charging facility at the t-th time slot, and 0 otherwise;
- Nc
- Number of charging station candidates for EV charging facilities;
- yi,j
- 1 if EV i is assigned to EV charging facility j, and 0 otherwise;
- xi,j,t
- 1 if EV i starts charging at EV charging facility j at time slot t, and 0 otherwise;
- ai
- Time slot for EV i to reach charging stations;
- pi,j
- The charging power of EV i at EV charging facility j in the exclusive scenario;
- pi,j,t
- The charging power of EV i at EV charging facility j at time slot t in the shared scenario;
- nj
- The maximum rated charging power provided by the j-th EV charging facility;
- Pfull
- The total power of the charging stack;
- li,j
- Time span required for EV i to complete charging at EV charging facility j;
- fi
- The time slot at which EV i finishes charging at the station;
- εi,t
- 1 if the i-th EV completes charging during the t-th time slot, and 0 otherwise;
- F
- The average satisfaction of the CSs;
- Nc
- The number of EV charging facilities.
- Attributes:
- nj
- EV charging facility j rate;
- Qi
- Charging energy demand for EV i at the CS;
- μ
- The threshold to ensure the charging speed of EVs in charging;
- Fi(fi)
- Charging satisfaction of EV i;
- Expected departure time slot of EV i;
- Maximum acceptable delay time slot for EV i from the expected departure time slot;
- Up
- The additional cost per kW of the charging stack;
- Uc
- The cost per EV charging facility;
- Ucp
- The fixed cost of the charging stack.
2.2. Modeling in an Exclusive Operating Scenario
2.3. Modeling in a Shared Operation Scenario
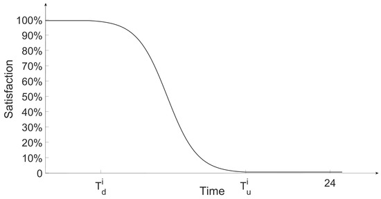
2.4. Service Definition Based on Satisfaction with EV Charging
2.5. Objective
3. Simulation and Results
3.1. Simulation Setup
- Low commercial demand (Q = 0): In this business model, there is no guarantee for when the charging of the electric vehicle is completed. The only guarantee is that each user’s energy needs are met within time frame T.
- Medium commercial demand (Q = 50%): This business model can ensure that the overall satisfaction of charging electric vehicles at the charging station is greater than 50%, which means that the majority of users are satisfied with the service quality of the charging station at 50%, which can also be considered a moderate service level.
- High commercial demand (Q = 90%): In this business model, each arriving EV i should satisfy its energy demand at a time close to its lower limit , which is equivalent to satisfying its charging demand immediately upon arrival at the station. In practice, this is equivalent to expensive customer service.
3.2. Simulation Results and Analysis
3.2.1. Results Analysis in Multiple Scenarios
3.2.2. Results Analysis for Different Business Models
3.2.3. Results Analysis with Different
4. Conclusions
Author Contributions
Funding
Data Availability Statement
Conflicts of Interest
Abbreviations
| CSs | charging stations |
| QoS | quality of service |
| EVs | electric vehicles |
| FCFS | first-come first-service |
| SoC | state of charge |
| EV | electric vehicle |
References
- European Environment Agency. Air Quality in Europe; European Environment Agency: Copenhagen, Denmark, 2020. [Google Scholar]
- International Energy Agency. Global EV Outlook 2023; International Energy Agency: Paris, France, 2023. [Google Scholar]
- Ahmad, F.; Iqbal, A.; Ashraf, I.; Marzband, M.; Khan, I. Optimal location of electric vehicle charging station and its impact on distribution network: A review. Energy Rep. 2022, 8, 2314–2333. [Google Scholar] [CrossRef]
- Ghoderao, R.B.; Balwe, S.R.; Chobe, P.S.; Pardeshi, D.B.; William, P. Smart Charging Station for Electric Vehicle with Different Topologies. In Proceedings of the International Conference on Intelligent Computing and Control Systems, Madurai, India, 25–27 May 2022; pp. 243–246. [Google Scholar]
- Simorgh, H.; Doagou-Mojarrad, H.; Razmi, H.; Gharehpetian, G.B. Cost-based optimal siting and sizing of electric vehicle charging stations considering demand response programmes. IET Gener. Transm. Distrib. 2018, 12, 1712–1720. [Google Scholar] [CrossRef]
- Luo, L.; Gu, W.; Zhou, S.; Huang, H.; Gao, S.; Han, J.; Wu, Z.; Dou, X. Optimal planning of electric vehicle charging stations comprising multi-types of charging facilities. Appl. Energy 2018, 226, 1087–1099. [Google Scholar] [CrossRef]
- Meng, F.; Pei, W.; Zhang, Q.; Zhang, Y.; Ma, B.; Li, L. Research on the capacity of charging stations based on queuing theory and energy storage scheduling optimization sharing strategy. J. Energy Storage 2024, 96, 112673. [Google Scholar] [CrossRef]
- Liu, B.; Pantelidis, T.P.; Tam, S.; Chow, J.Y.J. An electric vehicle charging station access equilibrium model with M/D/C queueing. Int. J. Sustain. Transp. 2023, 17, 228–244. [Google Scholar] [CrossRef]
- Zhao, Z.; Xu, M.; Lee, C.K.M. Capacity Planning for an Electric Vehicle Charging Station Considering Fuzzy Quality of Service and Multiple Charging Options. IEEE Trans. Veh. Technol. 2021, 70, 12529–12541. [Google Scholar] [CrossRef]
- Hayajneh, H.S.; Bani Salim, M.N.; Bashetty, S.; Zhang, X. Optimal planning of battery-powered electric vehicle charging station networks. In Proceedings of the 2019 IEEE Green Technologies Conference (GreenTech), Lafayette, LA, USA, 3–6 April 2019; pp. 1–4. [Google Scholar]
- Khaksari, A.; Tsaousoglou, G.; Makris, P.; Steriotis, K.; Efthymiopoulos, N.; Varvarigos, E. Sizing of electric vehicle charging stations with smart charging capabilities and quality of service requirements. Sustain. Cities Soc. 2021, 70, 102872. [Google Scholar] [CrossRef]
- Wu, W.; Liu, X.; Huang, C. A DC Charging Pile for New Energy Electric Vehicles. J. Electr. Eng. Technol. 2023, 18, 4301–4319. [Google Scholar] [CrossRef]
- Yousuf, A.K.M.; Wang, Z.; Paranjape, R.; Tang, Y. An in-depth exploration of electric vehicle charging station infrastructure: A comprehensive review of challenges, mitigation approaches, and optimization strategies. IEEE Access 2024, 12, 51570–51589. [Google Scholar] [CrossRef]
- Mukherjee, B.; Sossan, F. Optimal planning of single-port and multi-port charging stations for electric vehicles in medium voltage distribution networks. IEEE Trans. Smart Grid 2022, 14, 1135–1147. [Google Scholar] [CrossRef]
- Chen, H.; Hu, Z.; Luo, H.; Qin, J.; Rajagopal, R.; Zhang, H. Design and Planning of a Multiple-Charger Multiple-Port Charging System for PEV Charging Station. IEEE Trans. Smart Grid 2019, 10, 173–183. [Google Scholar] [CrossRef]
- Li, Y.; Pei, W.; Zhang, Q.; Xu, D.; Ma, H. Optimal Layout of Electric Vehicle Charging Station Locations Considering Dynamic Charging Demand. Electronics 2023, 12, 1818. [Google Scholar] [CrossRef]
- Erdogan, N.; Kucuksari, S.; Murphy, J. A multi-objective optimization model for EVSE deployment at workplaces with smart charging strategies and scheduling policies. Energy 2022, 254, 124161. [Google Scholar] [CrossRef]
- Khan, W.; Ahmad, F.; Alam, M.S. Fast EV charging station integration with grid ensuring optimal and quality power exchange. Eng. Sci. Technol. Int. J. 2019, 22, 143–152. [Google Scholar] [CrossRef]
- Luo, Z.; He, F.; Lin, X.; Wu, J.; Li, M. Joint deployment of charging stations and photovoltaic power plants for electric vehicles. Transp. Res. Part Transp. Environ. 2020, 79, 102247. [Google Scholar] [CrossRef]
- Fu, J.; Lin, L.; Gao, X. Comprehensive QoS Analysis of Urban Public Charging Network in Topology and Capacity With Its Application in Optimization. IEEE Access 2020, 8, 53636–53648. [Google Scholar] [CrossRef]
- Ramraj, R.; Pashajavid, E.; Alahakoon, S. Quality of Service and Energy Management of Electric Vehicles: A Review. In Proceedings of the 2021 31st Australasian Universities Power Engineering Conference (AUPEC), Perth, Australia, 26–30 September 2021; pp. 1–6. [Google Scholar]
- Xiao, D.; An, S.; Cai, H.; Wang, J.; Cai, H. An optimization model for electric vehicle charging infrastructure planning considering queuing behavior with finite queue length. J. Energy Storage 2020, 29, 101317. [Google Scholar] [CrossRef]
- Choi, D.; Lim, D. Analysis of the State-Dependent Queueing Model and Its Application to Battery Swapping and Charging Stations. Sustainability 2020, 12, 2343. [Google Scholar] [CrossRef]
- Tao, J.; Huang, D.; Li, D.; Yang, X.; Ling, C. Pricing strategy and charging management for PV-assisted electric vehicle charging station. In Proceedings of the 2018 13th IEEE Conference on Industrial Electronics and Applications (ICIEA), Wuhan, China, 31 May–2 June 2018; pp. 577–581. [Google Scholar]
- Antoun, J.; Kabir, M.E.; Atallah, R.F.; Assi, C. A Data Driven Performance Analysis Approach for Enhancing the QoS of Public Charging Stations. IEEE Trans. Intell. Transp. Syst. 2022, 23, 11116–11125. [Google Scholar] [CrossRef]
- Palani, V.; Gomathi, S.; Aruna, P.; Veeramani, V.P.; Manathunainathan, V. Optimal sizing and smart charging abilities of electric vehicle charging station by considering quality of service using hybrid technique. Energy Sources Part A Recover. Util. Environ. Eff. 2022, 1–17. [Google Scholar] [CrossRef]
- Vandet, C.A.; Rich, J. Optimal placement and sizing of charging infrastructure for EVs under information-sharing. Technol. Forecast. Soc. Chang. 2023, 187, 122205. [Google Scholar] [CrossRef]
- Liu, J.-P.; Zhang, T.-X.; Zhu, J.; Ma, T.-N. Allocation optimization of electric vehicle charging station (EVCS) considering with charging satisfaction and distributed renewables integration. Energy 2018, 164, 560–574. [Google Scholar] [CrossRef]
- Sachan, S.; Deb, S.; Singh, S.N. Different charging infrastructures along with smart charging strategies for electric vehicles. Sustain. Cities Soc. 2020, 60, 102238. [Google Scholar] [CrossRef]
- Hipolito, F.; Vandet, C.A.; Rich, J. Charging, steady-state SoC and energy storage distributions for EV fleets. Appl. Energy 2022, 317, 119065. [Google Scholar] [CrossRef]









| Private Car | Taxi | Minivan | Large Truck | |
|---|---|---|---|---|
| Battery Capacity | 75 kWh | 120 kWh | 170 kWh | 250 kWh |
| Energy consumption rate | 0.35 | 0.40 | 0.55 | 0.85 |
| EV Charging Facility Levels | EV Charging Facility Rate | EV Charging Facility Cost |
|---|---|---|
| level 1 | 2 kw | 1000 $ |
| level 2 | 4 kw | 2000 $ |
| level 3 | 19 kw | 3000 $ |
Disclaimer/Publisher’s Note: The statements, opinions and data contained in all publications are solely those of the individual author(s) and contributor(s) and not of MDPI and/or the editor(s). MDPI and/or the editor(s) disclaim responsibility for any injury to people or property resulting from any ideas, methods, instructions or products referred to in the content. |
© 2024 by the authors. Licensee MDPI, Basel, Switzerland. This article is an open access article distributed under the terms and conditions of the Creative Commons Attribution (CC BY) license (https://creativecommons.org/licenses/by/4.0/).
Share and Cite
Zhou, Y.; Yang, W.; Yang, Z.; Chen, R. Optimal Sizing of Electric Vehicle Charging Stacks Considering a Multiscenario Strategy and User Satisfaction. Electronics 2024, 13, 3176. https://doi.org/10.3390/electronics13163176
Zhou Y, Yang W, Yang Z, Chen R. Optimal Sizing of Electric Vehicle Charging Stacks Considering a Multiscenario Strategy and User Satisfaction. Electronics. 2024; 13(16):3176. https://doi.org/10.3390/electronics13163176
Chicago/Turabian StyleZhou, Yinghong, Weihao Yang, Zhijing Yang, and Ruihan Chen. 2024. "Optimal Sizing of Electric Vehicle Charging Stacks Considering a Multiscenario Strategy and User Satisfaction" Electronics 13, no. 16: 3176. https://doi.org/10.3390/electronics13163176
APA StyleZhou, Y., Yang, W., Yang, Z., & Chen, R. (2024). Optimal Sizing of Electric Vehicle Charging Stacks Considering a Multiscenario Strategy and User Satisfaction. Electronics, 13(16), 3176. https://doi.org/10.3390/electronics13163176

