High-Frequency Magnetic Pulse Generator for Low-Intensity Transcranial Magnetic Stimulation
Abstract
1. Introduction
2. Design of HF Magnetic Pulse Stimulator
2.1. Theory of HF Magnetic Stimulation
2.2. Design of HF Magnetic Pulse Generator
2.3. Simulation of HF Magnetic Pulse Generator
3. Fabrication and Experimental Results
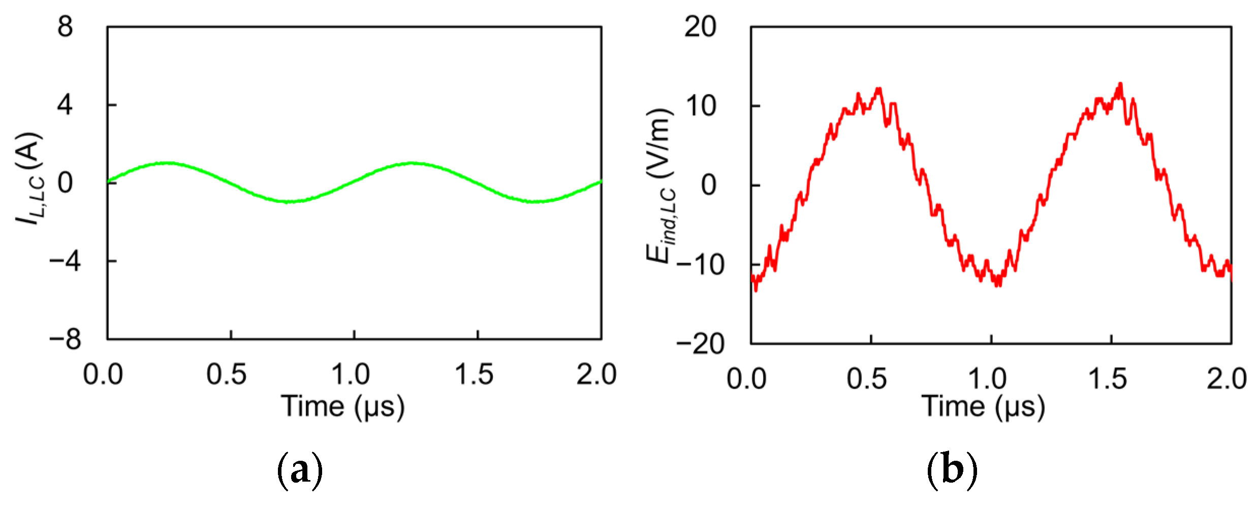
4. Quasi-Resonant LC Load
5. Conclusions
Author Contributions
Funding
Data Availability Statement
Conflicts of Interest
References
- Barker, A.T.; Jalinous, R.; Freeston, I.L. Non-invasive magnetic stimulation of human motor cortex. Lancet 1985, 325, 1106–1107. [Google Scholar] [CrossRef] [PubMed]
- Hoogendam, J.M.; Ramakers, G.M.J.; Di Lazzaro, V. Physiology of repetitive transcranial magnetic stimulation of the human brain. Brain Stimul. 2010, 3, 95–118. [Google Scholar] [CrossRef] [PubMed]
- Huang, Y.Z.; Edwards, M.J.; Rounis, E.; Bhatia, K.P.; Rothwell, J.C. Theta burst stimulation of the human motor cortex. Neuron 2005, 45, 201–206. [Google Scholar] [CrossRef] [PubMed]
- Chung, S.W.; Hoy, K.E.; Fitzgerald, P.B. Theta-burst stimulation: A new form of TMS treatment for depression? Depress. Anxiety 2015, 32, 182–192. [Google Scholar] [CrossRef] [PubMed]
- Mi, T.-M.; Mei, S.-S.; Liang, P.-P.; Gao, L.-L.; Li, K.-C.; Wu, T. Repetitive transcranial magnetic stimulation improves Parkinson’s freezing of gait via normalizing brain connectivity. Npj Park. Dis. 2020, 6, 16. [Google Scholar] [CrossRef] [PubMed]
- Lanza, G.; Ferri, R.; Bella, R.; Pennisi, G.; Cantone, M. Repetitive transcranial magnetic stimulation in primary sleep disorders. Sleep Med. Rev. 2023, 67, 101735. [Google Scholar] [CrossRef]
- Bulteau, S.; Brunelin, J.; Duprat, R.; Bouaziz, N.; Szekely, D.; Giraud, P.; Renoult, L.; Le Bas, P.; Camus, V.; Januel, D. Intermittent theta burst stimulation (iTBS) versus 10 Hz high-frequency repetitive transcranial magnetic stimulation (rTMS) to alleviate treatment-resistant unipolar depression: A randomized controlled trial (THETA-DEP). Brain Stimul. 2022, 15, 870–880. [Google Scholar] [CrossRef] [PubMed]
- Hutton, T.M.; Downar, J.; Rajji, T.K.; Krepel, N.; Vila-Rodriguez, F.; Daskalakis, Z.J.; Blumberger, D.M. Dosing transcranial magnetic stimulation in major depressive disorder: Relations between number of treatment sessions and effectiveness in a large patient registry. Brain Stimul. 2023, 16, 1510–1521. [Google Scholar] [CrossRef] [PubMed]
- Paulus, W.; Peterchev, A.V.; Ridding, M. Transcranial electric and magnetic stimulation: Technique and paradigms. Handb. Clin. Neurol. 2013, 116, 329–342. [Google Scholar]
- Selvaraj, J.; Ganesan, S.; Yoganathan, S.; Palanisamy, P.; Vairamuthu, J. Transcranial magnetic stimulation: Design of a stimulator and a focused coil for the application of small animals. IEEE Trans. Magn. 2018, 54, 1–5. [Google Scholar] [CrossRef]
- Kagan, Z.B.; Chari, A.; Fried, P.J.; Pascual-Leone, A.; Kaye, H.L.; Islam, R. Reduced heat generation during magnetic stimulation of rat sciatic nerve using current waveform truncation. IEEE Trans. Neural Syst. Rehabil. Eng. 2019, 27, 937–946. [Google Scholar] [CrossRef] [PubMed]
- Sorkhabi, M.M.; Zamanian, A.; Soltani, M.; Vosoughi Vahdat, B.; Mosavi, M.R.; Jafari, S.; Shahi, F. Programmable transcranial magnetic stimulation: A modulation approach for the generation of controllable magnetic stimuli. IEEE Trans. Biomed. Eng. 2020, 68, 1847–1858. [Google Scholar] [CrossRef] [PubMed]
- Li, Z.; Guo, F.; Shi, H.; Hu, X.; Yu, S.; Yang, X. Modular pulse synthesizer for transcranial magnetic stimulation with fully adjustable pulse shape and sequence. J. Neural Eng. 2022, 19, 066015. [Google Scholar] [CrossRef] [PubMed]
- Fang, X.; Zhang, Y.; Li, J.; Wang, M.; He, L. An Efficient Pulse Circuit Design for Magnetic Stimulation with Diversified Waveforms and Adjustable Parameters. Sensors 2024, 24, 3839. [Google Scholar] [CrossRef] [PubMed]
- Capone, F.; Dileone, M.; Profice, P.; Pilato, F.; Musumeci, G.; Minicuci, G.; Ranieri, F.; Cioni, B.; Di Lazzaro, V. Does exposure to extremely low frequency magnetic fields produce functional changes in human brain? J. Neural Transm. 2009, 116, 257–265. [Google Scholar] [CrossRef] [PubMed]
- Rohan, M.L.; Parow, A.M.; Stoll, A.L.; Demopulos, C.M.; Friedman, S.; Dager, S.R.; Hennen, J.; Cohen, B.M.; Renshaw, P.F. Rapid mood-elevating effects of low field magnetic stimulation in depression. Biol. Psychiatry 2014, 76, 186–193. [Google Scholar] [CrossRef] [PubMed]
- Khokhar, F.A.; Budelmann, V.; Baron, E.; Navab, N.; Frangi, A.F.; Sotiras, A. Design and demonstration in vitro of a mouse-specific transcranial magnetic stimulation coil. IEEE Trans. Magn. 2021, 57, 1–11. [Google Scholar] [CrossRef]
- Sun, S.; Cho, Y.H.; Lee, S.Y.; Lee, C. Mouse Somatosensory Cortex Stimulation Using Pulse Modulated Transcranial Magnetic Stimulation. J. Korean Inst. Electromagn. Eng. Sci. 2016, 27, 482–485. [Google Scholar] [CrossRef]
- Hussain, I.; Park, S.M.; Shahzad, A.; Hong, S.M.; Looney, D.; Ahn, J. Quantifying physiological biomarkers of a microwave brain stimulation device. Sensors 2021, 21, 1896. [Google Scholar] [CrossRef]
- Zhang, N.; Sun, S.; Li, J.; Wang, M.; Lee, S.Y. Theoretical Analysis and Design of an Innovative Coil Structure for Transcranial Magnetic Stimulation. Appl. Sci. 2021, 11, 1960. [Google Scholar] [CrossRef]
- Gabriel, S.; Lau, R.W.; Gabriel, C. The dielectric properties of biological tissues: II. Measurement in the frequency range 10 Hz to 20 GHz. Phys. Med. Biol. 1996, 41, 2251–2269. [Google Scholar] [CrossRef] [PubMed]
- Taylor, R.; Manack, R. Controlling switch-node ringing in synchronous buck converters. Analog Appl. 2012. Available online: https://www.ti.com/lit/an/slyt464/slyt464.pdf (accessed on 16 July 2024).
- Asbeck, P.M.; Hang, A.; Mirbozorgi, S.A.; Wu, R.; Carrillo, R.E.; Shapiro, M.G.; Poon, A.S.Y. An Efficient Circuit for Pulsed Magnetic Neural Stimulation. IEEE J. Electromagn. RF Microw. Med. Biol. 2023, 7, 258–265. [Google Scholar] [CrossRef]











| Load | Frequency (MHz) | (V) | * (App) | * (Vpp/m) | (W) | (W) | (W) |
|---|---|---|---|---|---|---|---|
| L | 0.1 | 10 | 9.6 | 6.5 | 2.24 | 0.08 | 2.32 |
| L | 1 | 10 | 1.09 | 6.8 | 1.71 | 0.74 | 2.45 |
| LC | 1 | 1.8 | 2.09 | 19.1 | 0.44 | 0.67 | 1.11 |
Disclaimer/Publisher’s Note: The statements, opinions and data contained in all publications are solely those of the individual author(s) and contributor(s) and not of MDPI and/or the editor(s). MDPI and/or the editor(s) disclaim responsibility for any injury to people or property resulting from any ideas, methods, instructions or products referred to in the content. |
© 2024 by the authors. Licensee MDPI, Basel, Switzerland. This article is an open access article distributed under the terms and conditions of the Creative Commons Attribution (CC BY) license (https://creativecommons.org/licenses/by/4.0/).
Share and Cite
Shin, S.; Kim, H.; Jeong, J. High-Frequency Magnetic Pulse Generator for Low-Intensity Transcranial Magnetic Stimulation. Electronics 2024, 13, 3160. https://doi.org/10.3390/electronics13163160
Shin S, Kim H, Jeong J. High-Frequency Magnetic Pulse Generator for Low-Intensity Transcranial Magnetic Stimulation. Electronics. 2024; 13(16):3160. https://doi.org/10.3390/electronics13163160
Chicago/Turabian StyleShin, Seungjae, Hyungeun Kim, and Jinho Jeong. 2024. "High-Frequency Magnetic Pulse Generator for Low-Intensity Transcranial Magnetic Stimulation" Electronics 13, no. 16: 3160. https://doi.org/10.3390/electronics13163160
APA StyleShin, S., Kim, H., & Jeong, J. (2024). High-Frequency Magnetic Pulse Generator for Low-Intensity Transcranial Magnetic Stimulation. Electronics, 13(16), 3160. https://doi.org/10.3390/electronics13163160

