Transformer-Based Spatiotemporal Graph Diffusion Convolution Network for Traffic Flow Forecasting
Abstract
1. Introduction
2. Related Work
2.1. Traffic Forecasting
2.2. Spatiotemporal Graph Neural Network
3. Problem Definition
4. Methodology
4.1. Input Layer
4.2. Spatiotemporal Block
4.2.1. Spatial Feature Learning Module
4.2.2. Time Sequences Learning Module
4.3. Prediction Layer
5. Experimental Analysis
5.1. The Experimental Environment as Well as the Dataset
5.2. Model Evaluation Metrics
5.3. Hyperparameter Settings
5.4. Experimental Results
5.4.1. Baseline Models
- HA [6]: models traffic flow changes over different time periods.
- ARIMA [7]: combines autoregression and moving average techniques for time sequence data forecasting.
- VAR [8]: captures the correlation in traffic flow sequences.
- LSTM [36]: effective in modeling long-term dependencies in sequence data.
- STGCN [40]: applies graph convolution to traffic prediction challenges.
- DCRNN [39]: dynamically models traffic flow using diffusion processes and directed graphs.
- Graph WaveNet [41]: integrates adaptive graph convolution and dilated causal convolution to handle spatial dependencies across different scales.
- ASTGCN(r) [46]: integrates graph convolution and standard convolution with a spatiotemporal attention mechanism.
- STG2Seq [27]: simulates spatiotemporal correlation using a gated residual GCN module.
- STSGCN [42]: designed to capture heterogeneity in local spatiotemporal graphs using multiple modules.
- STGODE [44]: uses tensor-based ordinary differential equations (ODEs) to model spatiotemporal dynamics.
- Z-GCNETs [43]: integrates an innovative time-sensitive zigzag topological layer into time-conditioned GCNs.
- Traffic Transformer [49]: utilizes the Transformer model to capture temporal dependencies.
- DSTAGNN [50]: extracts dynamic temporal dependencies from receptive field features via multi-scale gated convolutions.
5.4.2. TSGDC Performance Analysis
5.4.3. Visualization of Experiments
5.4.4. Hyperparametric Learning
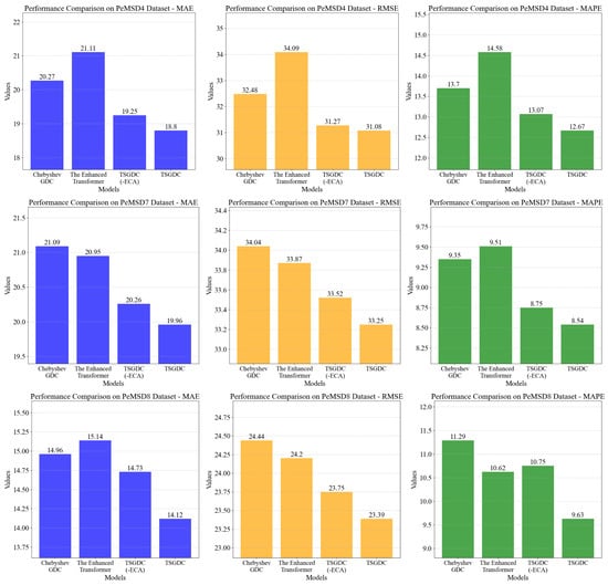
5.4.5. Ablation Analysis
- Chebyshev GDC: removing the Enhanced Transformer.
- The Enhanced Transformer: eliminating the Chebyshev Graph Diffusion Convolution operation.
- TSGDC(-ECA): removing the auxiliary network ECA.
6. Conclusions
Author Contributions
Funding
Data Availability Statement
Conflicts of Interest
References
- Zhang, J.; Wang, F.Y.; Wang, K.; Lin, W.H.; Xu, X.; Chen, C. Data-driven intelligent transportation systems: A survey. IEEE Trans. Intell. Transp. Syst. 2011, 12, 1624–1639. [Google Scholar] [CrossRef]
- Kang, L.; Chen, R.S.; Xiong, N.; Chen, Y.C.; Hu, Y.X.; Chen, C.M. Selecting hyper-parameters of Gaussian process regression based on non-inertial particle swarm optimization in Internet of Things. IEEE Access 2019, 7, 59504–59513. [Google Scholar] [CrossRef]
- Tedjopurnomo, D.A.; Bao, Z.; Zheng, B.; Choudhury, F.M.; Qin, A.K. A survey on modern deep neural network for traffic prediction: Trends, methods and challenges. IEEE Trans. Knowl. Data Eng. 2020, 34, 1544–1561. [Google Scholar] [CrossRef]
- Smith, B.L.; Demetsky, M.J. Traffic flow forecasting: Comparison of modeling approaches. J. Transp. Eng. 1997, 123, 261–266. [Google Scholar] [CrossRef]
- Li, L.; Lin, W.H.; Liu, H. Type-2 Fuzzy Logic Approach for Short-Term Traffic Forecasting. In IEE Proceedings—Intelligent Transport Systems; IET: London, UK, 2006; Volume 153, pp. 33–40. [Google Scholar]
- Hamilton, J.D. Time Series Analysis; Princeton University Press: Princeton, NJ, USA, 2020. [Google Scholar]
- Kumar, S.V.; Vanajakshi, L. Short-term traffic flow prediction using seasonal ARIMA model with limited input data. Eur. Transp. Res. Rev. 2015, 7, 1–9. [Google Scholar] [CrossRef]
- Zivot, E.; Wang, J. Vector Autoregressive Models for Multivariate Time Series. In Modeling Financial Time Series with S-PLUS®; Springer: Berlin/Heidelberg, Germany, 2006; pp. 385–429. [Google Scholar]
- Jeong, Y.S.; Byon, Y.J.; Castro-Neto, M.M.; Easa, S.M. Supervised weighting-online learning algorithm for short-term traffic flow prediction. IEEE Trans. Intell. Transp. Syst. 2013, 14, 1700–1707. [Google Scholar] [CrossRef]
- Zhan, A.; Du, F.; Chen, Z.; Yin, G.; Wang, M.; Zhang, Y. A traffic flow forecasting method based on the GA-SVR. J. High Speed Netw. 2022, 28, 97–106. [Google Scholar] [CrossRef]
- Van Lint, J.; Van Hinsbergen, C. Short-term traffic and travel time prediction models. Artif. Intell. Appl. Crit. Transp. Issues 2012, 22, 22–41. [Google Scholar]
- Yan, L.; Zou, F.; Guo, R.; Gao, L.; Zhou, K.; Wang, C. Feature aggregating hashing for image copy detection. World Wide Web 2016, 19, 217–229. [Google Scholar] [CrossRef]
- Liu, Y.; Fan, B.; Xiang, S.; Pan, C. Relation-Shape Convolutional Neural Network for Point Cloud Analysis. In Proceedings of the IEEE/CVF Conference on Computer Vision and Pattern Recognition, Long Beach, CA, USA, 15–20 June 2019; pp. 8895–8904. [Google Scholar]
- Beck, D.; Haffari, G.; Cohn, T. Graph-to-sequence learning using gated graph neural networks. arXiv 2018, arXiv:1806.09835. [Google Scholar]
- Hu, W.J.; Fan, J.; Du, Y.X.; Li, B.S.; Xiong, N.; Bekkering, E. MDFC–ResNet: An agricultural IoT system to accurately recognize crop diseases. IEEE Access 2020, 8, 115287–115298. [Google Scholar] [CrossRef]
- Williams, R.J.; Zipser, D. A learning algorithm for continually running fully recurrent neural networks. Neural Comput. 1989, 1, 270–280. [Google Scholar] [CrossRef]
- Hochreiter, S.; Schmidhuber, J. Long short-term memory. Neural Comput. 1997, 9, 1735–1780. [Google Scholar] [CrossRef]
- Chung, J.; Gulcehre, C.; Cho, K.; Bengio, Y. Empirical evaluation of gated recurrent neural networks on sequence modeling. arXiv 2014, arXiv:1412.3555. [Google Scholar]
- Mehdi, M.Z.; Kammoun, H.M.; Benayed, N.G.; Sellami, D.; Masmoudi, A.D. Entropy-based traffic flow labeling for CNN-based traffic congestion prediction from meta-parameters. IEEE Access 2022, 10, 16123–16133. [Google Scholar] [CrossRef]
- Wang, C.; Wu, P.; Yan, L.; Ye, Z.; Chen, H.; Ling, H. Image classification based on principal component analysis optimized generative adversarial networks. Multimed. Tools Appl. 2021, 80, 9687–9701. [Google Scholar] [CrossRef]
- Kipf, T.N.; Welling, M. Semi-supervised classification with graph convolutional networks. arXiv 2016, arXiv:1609.02907. [Google Scholar]
- Li, Z.; Xiong, G.; Chen, Y.; Lv, Y.; Hu, B.; Zhu, F.; Wang, F.Y. A Hybrid Deep Learning Approach with GCN and LSTM for Traffic Flow Prediction. In Proceedings of the 2019 IEEE Intelligent Transportation Systems Conference (ITSC), Auckland, New Zealand, 27–30 October 2019; pp. 1929–1933. [Google Scholar]
- Zhao, L.; Song, Y.; Zhang, C.; Liu, Y.; Wang, P.; Lin, T.; Deng, M.; Li, H. T-gcn: A temporal graph convolutional network for traffic prediction. IEEE Trans. Intell. Transp. Syst. 2019, 21, 3848–3858. [Google Scholar] [CrossRef]
- Zhang, T.; Ding, W.; Chen, T.; Wang, Z.; Chen, J. A graph convolutional method for traffic flow prediction in highway network. Wirel. Commun. Mob. Comput. 2021, 2021, 1997212. [Google Scholar] [CrossRef]
- Zuo, J.; Zeitouni, K.; Taher, Y.; Garcia-Rodriguez, S. Graph convolutional networks for traffic forecasting with missing values. Data Min. Knowl. Discov. 2023, 37, 913–947. [Google Scholar] [CrossRef]
- Gupta, A.; Maurya, M.K.; Goyal, N.; Chaurasiya, V.K. ISTGCN: Integrated spatio-temporal modeling for traffic prediction using traffic graph convolution network. Appl. Intell. 2023, 53, 29153–29168. [Google Scholar] [CrossRef]
- Bai, L.; Yao, L.; Kanhere, S.; Wang, X.; Sheng, Q. Stg2seq: Spatial-temporal graph to sequence model for multi-step passenger demand forecasting. arXiv 2019, arXiv:1905.10069. [Google Scholar]
- Wang, C.; Wang, L.; Wei, S.; Sun, Y.; Liu, B.; Yan, L. STN-GCN: Spatial and Temporal Normalization Graph Convolutional Neural Networks for Traffic Flow Forecasting. Electronics 2023, 12, 3158. [Google Scholar] [CrossRef]
- Huang, Z.; Wu, G.; Wang, L. Webly-supervised semantic segmentation via curriculum learning. Comput. Vis. Image Underst. 2023, 236, 103810. [Google Scholar] [CrossRef]
- Seong, S.; Cha, J. Domain Word Extension Using Curriculum Learning. Sensors 2023, 23, 3064. [Google Scholar] [CrossRef]
- Zhang, Z.; Wei, S.; Xi, L.; Wang, C. GaitMGL: Multi-Scale Temporal Dimension and Global–Local Feature Fusion for Gait Recognition. Electronics 2024, 13, 257. [Google Scholar] [CrossRef]
- Wang, Q.; Wu, B.; Zhu, P.; Li, P.; Zuo, W.; Hu, Q. ECA-Net: Efficient Channel Attention for Deep Convolutional Neural Networks. In Proceedings of the IEEE/CVF Conference on Computer Vision and Pattern Recognition, Seattle, WA, USA, 13–19 June 2020; pp. 11534–11542. [Google Scholar]
- Gasteiger, J.; Weißenberger, S.; Günnemann, S. Diffusion improves graph learning. Adv. Neural Inf. Process. Syst. 2019, 32. [Google Scholar]
- Wu, H.; Xu, J.; Wang, J.; Long, M. Autoformer: Decomposition transformers with auto-correlation for long-term series forecasting. Adv. Neural Inf. Process. Syst. 2021, 34, 22419–22430. [Google Scholar]
- Xiangxue, W.; Lunhui, X.; Kaixun, C. Data-driven short-term forecasting for urban road network traffic based on data processing and LSTM-RNN. Arab. J. Sci. Eng. 2019, 44, 3043–3060. [Google Scholar] [CrossRef]
- Yang, D.; Chen, K.; Yang, M.; Zhao, X. Urban rail transit passenger flow forecast based on LSTM with enhanced long-term features. IET Intell. Transp. Syst. 2019, 13, 1475–1482. [Google Scholar] [CrossRef]
- Ma, C.; Zhao, Y.; Dai, G.; Xu, X.; Wong, S.C. A novel STFSA-CNN-GRU hybrid model for short-term traffic speed prediction. IEEE Trans. Intell. Transp. Syst. 2022, 24, 3728–3737. [Google Scholar] [CrossRef]
- Du, S.; Li, T.; Yang, Y.; Wang, H.; Xie, P.; Hong, S. A sequence-to-sequence spatial-temporal attention learning model for urban traffic flow prediction. J. Comput. Res. Dev. 2020, 57, 1715–1728. [Google Scholar]
- Li, Y.; Yu, R.; Shahabi, C.; Liu, Y. Diffusion convolutional recurrent neural network: Data-driven traffic forecasting. arXiv 2017, arXiv:1707.01926. [Google Scholar]
- Chaolong, L.; Zhen, C.; Wenming, Z.; Chunyan, X.; Jian, Y. Spatio-Temporal Graph Convolution for Skeleton Based Action Recognition. In Proceedings of the Thirty-Second AAAI Conference on Artificial Intelligence, New Orleans, LA, USA, 2–7 February 2018; Volume 2. [Google Scholar]
- Wu, Z.; Pan, S.; Long, G.; Jiang, J.; Zhang, C. Graph wavenet for deep spatial-temporal graph modeling. arXiv 2019, arXiv:1906.00121. [Google Scholar]
- Song, C.; Lin, Y.; Guo, S.; Wan, H. Spatial-Temporal Synchronous Graph Convolutional Networks: A New Framework for Spatial-Temporal Network Data Forecasting. In Proceedings of the AAAI Conference on Artificial Intelligence, New York, NY, USA, 7–12 February 2020; Volume 34, pp. 914–921. [Google Scholar]
- Chen, Y.; Segovia, I.; Gel, Y.R. Z-GCNETs: Time Zigzags at Graph Convolutional Networks for TIME Series Forecasting. In Proceedings of the 38th International Conference on Machine Learning, PMLR, Virtual, 18–24 July 2021; pp. 1684–1694. [Google Scholar]
- Fang, Z.; Long, Q.; Song, G.; Xie, K. Spatial-Temporal Graph Ode Networks for Traffic Flow Forecasting. In Proceedings of the 27th ACM SIGKDD Conference on Knowledge Discovery & Data Mining, Virtual Event Singapore, 14–18 August 2021; pp. 364–373. [Google Scholar]
- Zhang, Q.; Li, C.; Su, F.; Li, Y. Spatio-Temporal Residual Graph Attention Network for Traffic Flow Forecasting. IEEE Internet Things J. 2023, 10, 11518–11532. [Google Scholar] [CrossRef]
- Guo, S.; Lin, Y.; Feng, N.; Song, C.; Wan, H. Attention Based Spatial-Temporal Graph Convolutional Networks for Traffic Flow Forecasting. In Proceedings of the AAAI Conference on Artificial Intelligence, Honolulu, HI, USA, 27 January–1 February 2019; Volume 33, pp. 922–929. [Google Scholar]
- Zheng, C.; Fan, X.; Wang, C.; Qi, J. Gman: A Graph Multi-Attention Network for Traffic Prediction. In Proceedings of the AAAI Conference on Artificial Intelligence, New York, NY, USA, 7–12 February 2020; Volume 34, pp. 1234–1241. [Google Scholar]
- Feng, A.; Tassiulas, L. Adaptive Graph Spatial-Temporal Transformer Network for Traffic Forecasting. In Proceedings of the 31st ACM International Conference on Information & Knowledge Management, Atlanta, GA, USA, 17–21 October 2022; pp. 3933–3937. [Google Scholar]
- Yan, H.; Ma, X.; Pu, Z. Learning dynamic and hierarchical traffic spatiotemporal features with transformer. IEEE Trans. Intell. Transp. Syst. 2021, 23, 22386–22399. [Google Scholar] [CrossRef]
- Lan, S.; Ma, Y.; Huang, W.; Wang, W.; Yang, H.; Li, P. Dstagnn: Dynamic Spatial-Temporal Aware Graph Neural Network for Traffic Flow Forecasting. In Proceedings of the International Conference on Machine Learning, PMLR, Baltimore, MD, USA, 17–23 July 2022; pp. 11906–11917. [Google Scholar]










| Datasets | Nodes | Collection Time | Data Shape |
|---|---|---|---|
| PeMSD4 | 307 | 2018/01/01–2018/02/28 | (307, 16,992, 3) |
| PeMSD7 | 883 | 2017/05/01–2017/08/31 | (883, 28,224, 3) |
| PeMSD8 | 170 | 2016/07/01–2016/08/31 | (170, 17,856, 3) |
| Model | PeMSD4 | PeMSD7 | PeMSD8 | ||||||
|---|---|---|---|---|---|---|---|---|---|
| MAE | RMSE | MAPE | MAE | RMSE | MAPE | MAE | RMSE | MAPE | |
| HA | 28.22 | 41.85 | 19.99% | 45.12 | 65.64 | 24.51% | 23.08 | 34.18 | 14.52% |
| ARIMA | 33.73 | 48.80 | 24.18% | 38.17 | 59.27 | 19.46% | 31.09 | 44.32 | 22.73% |
| VAR | 23.75 | 36.66 | 18.09% | 50.22 | 75.63 | 32.22% | 23.46 | 36.33 | 15.42% |
| LSTM | 27.14 | 41.59 | 18.20% | 29.32 | 44.39 | 13.30% | 22.20 | 34.06 | 14.20% |
| STGCN | 22.70 | 35.55 | 14.59% | 25.33 | 39.34 | 11.21% | 18.02 | 27.83 | 11.40% |
| DCRNN | 24.70 | 38.12 | 17.12% | 25.22 | 38.61 | 11.82% | 17.86 | 27.83 | 11.45% |
| Graph WaveNet | 25.45 | 39.70 | 17.29% | 26.39 | 41.50 | 11.97% | 19.13 | 31.05 | 12.68% |
| ASTGCN(r) | 22.93 | 35.22 | 16.56% | 24.01 | 37.87 | 10.73% | 18.61 | 28.16 | 13.08% |
| STG2Seq | 25.20 | 38.48 | 18.77% | 32.77 | 47.16 | 20.16% | 20.17 | 30.71 | 17.32% |
| STSGCN | 21.19 | 33.65 | 13.90% | 24.26 | 39.03 | 10.21% | 17.13 | 26.80 | 10.96% |
| STGODE | 20.84 | 32.82 | 13.77% | 22.59 | 37.54 | 10.14% | 16.81 | 25.97 | 10.62% |
| Z-GCNETs | 20.84 | 32.82 | 13.77% | 21.77 | 35.17 | 9.25% | 16.81 | 25.97 | 10.62% |
| Traffic Transformer | 21.10 | 31.46 | 15.13% | 22.07 | 34.21 | 10.12% | 16.79 | 25.11 | 11.41% |
| DSTAGNN | 19.30 | 31.46 | 12.70% | 21.42 | 34.51 | 9.01% | 15.67 | 24.77 | 9.94% |
| TSGDC | 18.80 | 31.08 | 12.67% | 19.96 | 33.25 | 8.54% | 14.12 | 23.39 | 9.63% |
Disclaimer/Publisher’s Note: The statements, opinions and data contained in all publications are solely those of the individual author(s) and contributor(s) and not of MDPI and/or the editor(s). MDPI and/or the editor(s) disclaim responsibility for any injury to people or property resulting from any ideas, methods, instructions or products referred to in the content. |
© 2024 by the authors. Licensee MDPI, Basel, Switzerland. This article is an open access article distributed under the terms and conditions of the Creative Commons Attribution (CC BY) license (https://creativecommons.org/licenses/by/4.0/).
Share and Cite
Wei, S.; Yang, Y.; Liu, D.; Deng, K.; Wang, C. Transformer-Based Spatiotemporal Graph Diffusion Convolution Network for Traffic Flow Forecasting. Electronics 2024, 13, 3151. https://doi.org/10.3390/electronics13163151
Wei S, Yang Y, Liu D, Deng K, Wang C. Transformer-Based Spatiotemporal Graph Diffusion Convolution Network for Traffic Flow Forecasting. Electronics. 2024; 13(16):3151. https://doi.org/10.3390/electronics13163151
Chicago/Turabian StyleWei, Siwei, Yang Yang, Donghua Liu, Ke Deng, and Chunzhi Wang. 2024. "Transformer-Based Spatiotemporal Graph Diffusion Convolution Network for Traffic Flow Forecasting" Electronics 13, no. 16: 3151. https://doi.org/10.3390/electronics13163151
APA StyleWei, S., Yang, Y., Liu, D., Deng, K., & Wang, C. (2024). Transformer-Based Spatiotemporal Graph Diffusion Convolution Network for Traffic Flow Forecasting. Electronics, 13(16), 3151. https://doi.org/10.3390/electronics13163151

