An Analog MP3 Compression Psychoacoustic Model Implemented on a Field-Programmable Analog Array
Abstract
1. Introducing Psychoacoustic MP3 Compression
2. SoC FPAA Overview
3. Exponential Spectrum Analyzer
4. Computing the Psychoacoustic Model
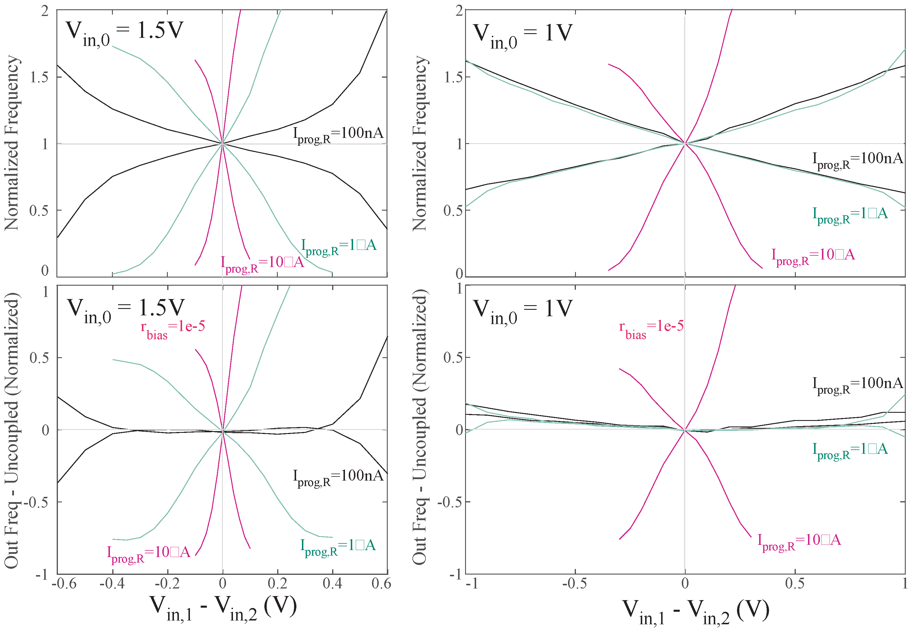
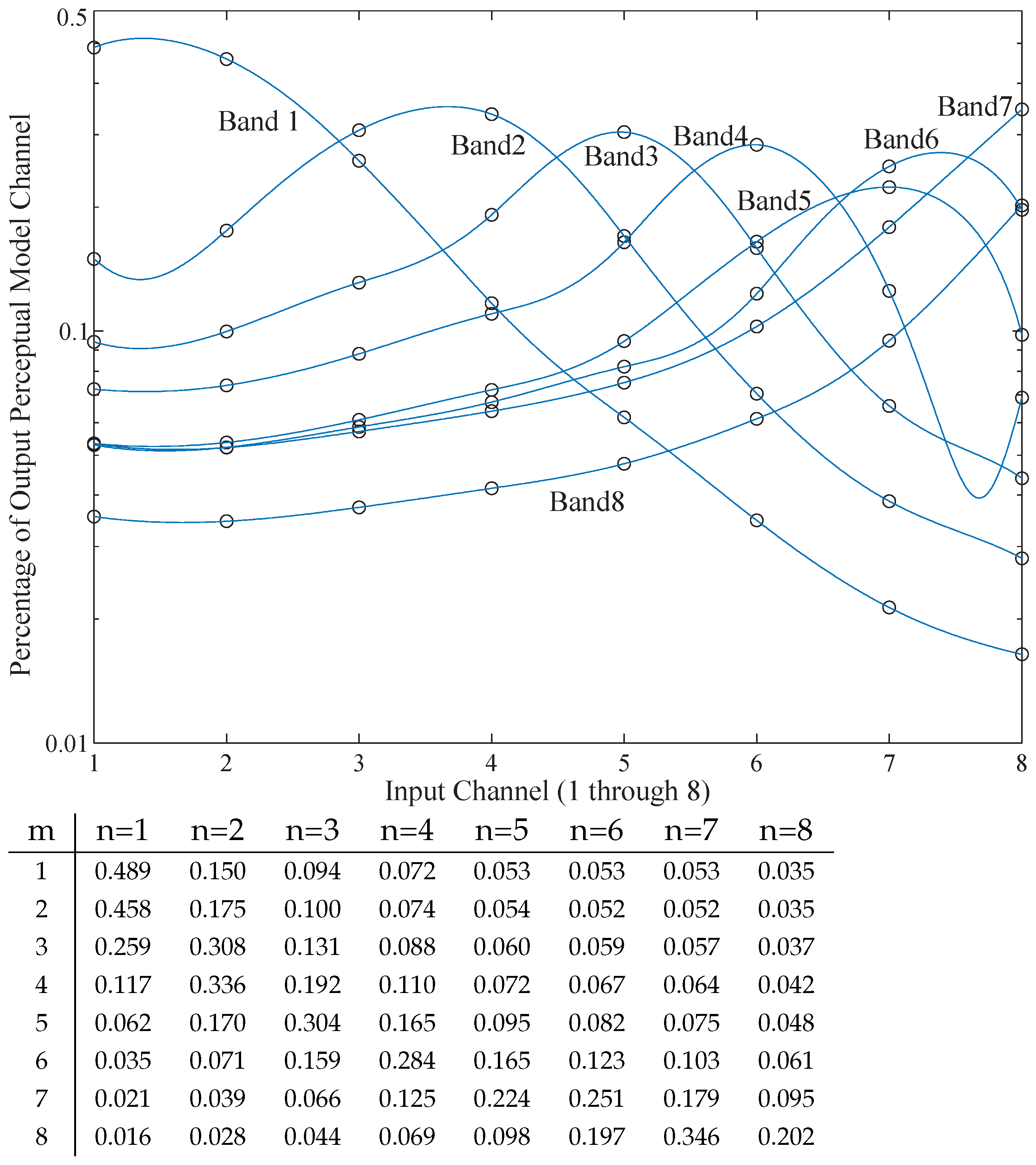
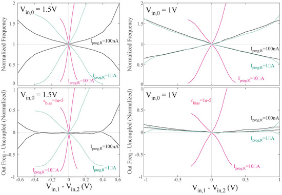
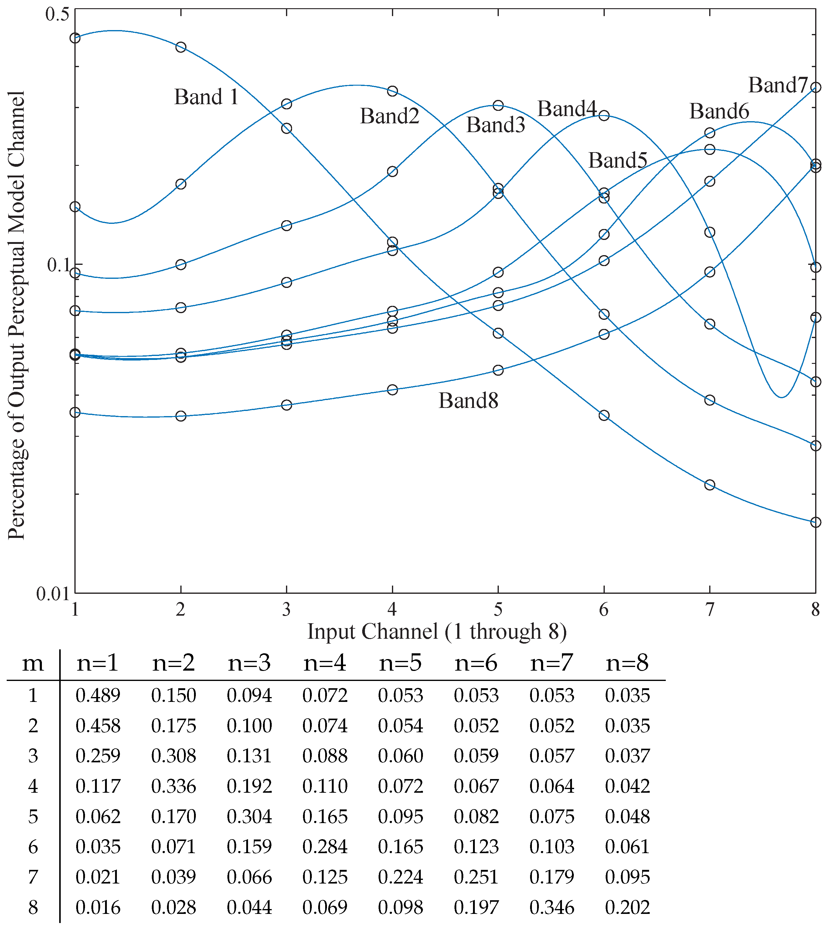
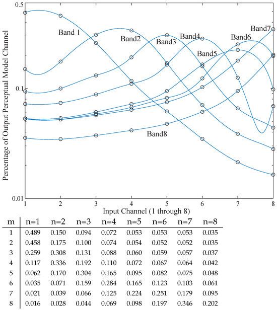
4.1. Spectral Masking Computed as a Spatial HPF
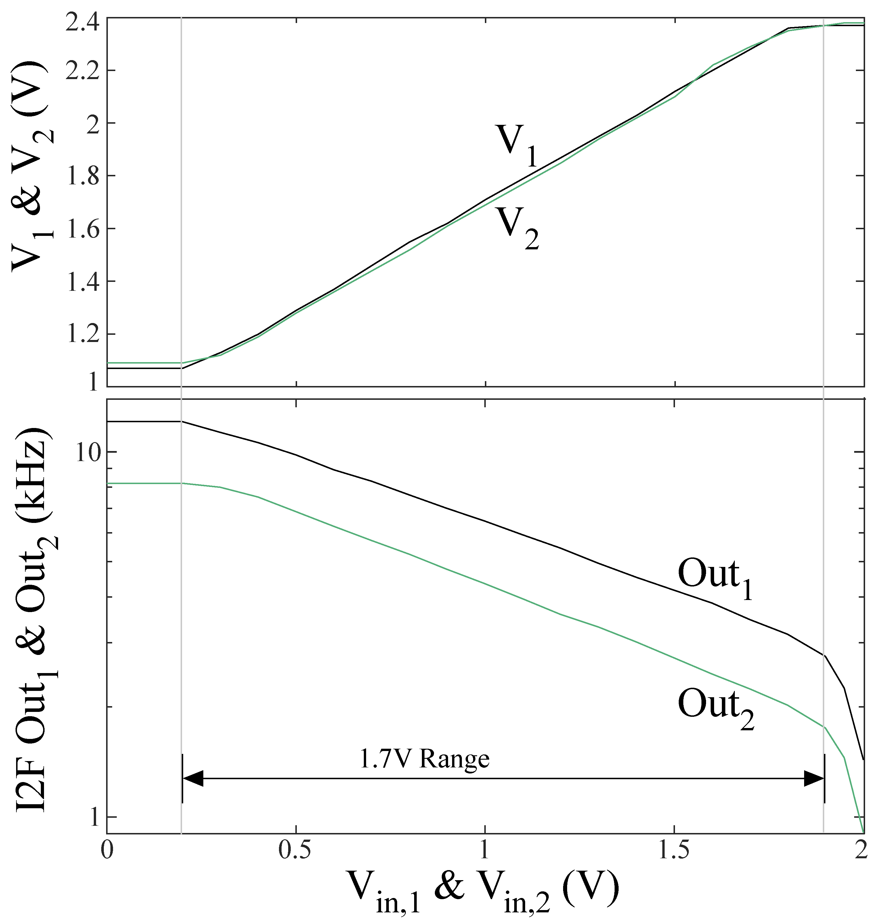
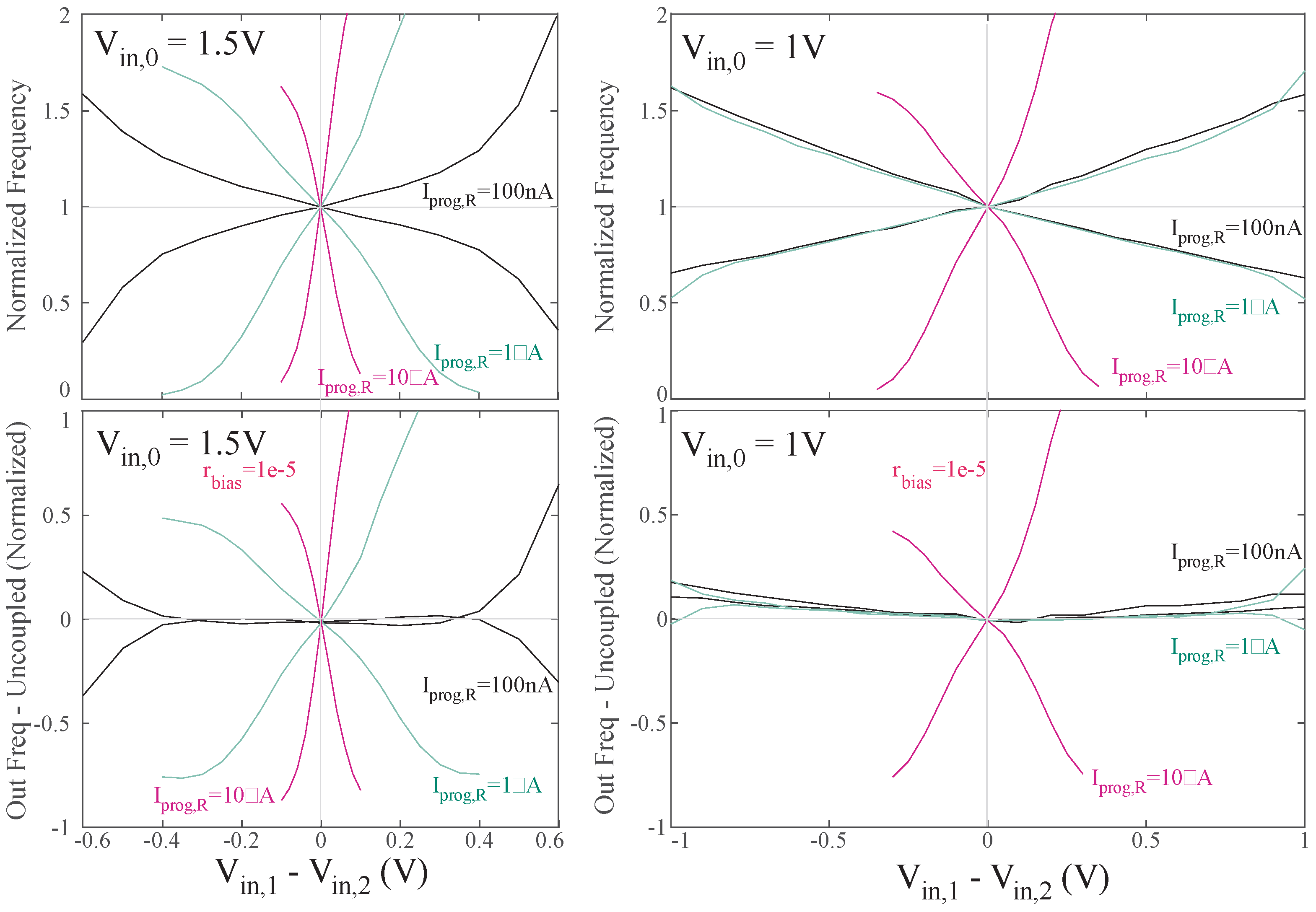
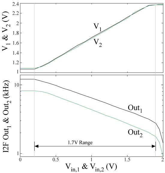
4.2. Current-to-Frequency Converter (I2F)
5. Digital Output Encoding for Bit-Rate Determination
6. Summary and Discussion
Author Contributions
Funding
Data Availability Statement
Acknowledgments
Conflicts of Interest
References
- Jayant, N.; Johnston, J.J.; Safranek, R. Signal compression based on models of human perception. Proc. IEEE 1993, 81, 1385–1422. [Google Scholar] [CrossRef]
- McCandless, M. The MP3 revolution. IEEE Intell. Syst. Their Appl. 1999, 14, 8–9. [Google Scholar] [CrossRef]
- Leach, W.M. Basic Principles of Sound. In Introduction to Electroacoustics and Audio Amplifier Design; Kendall Hunt Publishing Company: Dubuque, IA, USA, 2003; pp. 1–12. [Google Scholar]
- Musmann, H. Genesis of the MP3 audio coding standard. IEEE Trans. Consum. Electron. 2006, 52, 1043–1049. [Google Scholar] [CrossRef]
- Standard ISO 226:2003; Acoustics–Normal Equal-Loudness-Level Contours. International Organization for Standardization: Geneva, Switzerland, 2003.
- Bazyar, M.; Sudirman, R. A Robust Data Embedding Method for MPEG Layer III Audio Steganography. Int. J. Secur. Its Appl. 2015, 9, 317–327. [Google Scholar] [CrossRef][Green Version]
- Hong, S.; Park, B.; Song, Y.; See, H.; Kim, J.; Lee, H.; Kim, D.; Song, M. A full accuracy MPEG1 audio layer 3 (MP3) decoder with internal data converters. In Proceedings of the IEEE 2000 Custom Integrated Circuits Conference, Orlando, FL, USA, 21–24 May 2000; pp. 563–566. [Google Scholar]
- Hong, S.; Kim, D.; Song, M. A low power full accuracy MPEG1 audio layer III (MP3) decoder with on-chip data converters. IEEE Trans. Consum. Electron. 2000, 46, 903–906. [Google Scholar] [CrossRef]
- Tsai, T.H.; Wang, C.K.; Liu, C.N. Low power techniques for MP3 audio decoder using subband cut-off approach. In Proceedings of the IEEE Workshop on Signal Processing Systems Design and Implementation, Suzhou, China, 28–30 May 2005. [Google Scholar]
- Dai, X.; Wagh, M.D. An MDCT Hardware Accelerator for MP3 Audio. In Proceedings of the 2008 Symposium on Application Specific Processors, Anaheim, CA, USA, 8–9 June 2008; pp. 121–125. [Google Scholar]
- Malik, P.; Ufnal, M.; Luczyk, A.W.; Balaz, M.; Pleskacz, W.A. MDCT/IMDCT low power implementations in 90 nm CMOS technology for MP3 audio. In Proceedings of the 2009 12th International Symposium on Design and Diagnostics of ElectronicCircuits & Systems, Liberec, Czech Republic, 15–17 April 2009; pp. 144–147. [Google Scholar]
- Kim, H.S.; Kim, S.H.; Chung, K.S.; Han, T.H. Low power implementation of MDCT/IMDCT for MP3 audio decoder. In Proceedings of the 2010 International SoC Design Conference, Las Vegas, NV, USA, 27–29 September 2010; pp. 143–146. [Google Scholar]
- Jeong, H.; Kim, J.; kyung Cho, W. Low-power multiplierless DCT architecture using image correlation. IEEE Trans. Consum. Electron. 2004, 50, 262–267. [Google Scholar] [CrossRef]
- Birkl, B.; Hooser, B.; Janssens, M.; Lenke, F.; Vorisek, V. Design integration, DFT, and verification methodology for an MPEG 1/2 audio layer 3 (MP3) SoC device. In Proceedings of the IEEE 2002 Custom Integrated Circuits Conference (Cat. No. 02CH37285), Orlando, FL, USA, 15 May 2002; pp. 303–306. [Google Scholar]
- VLSI Solution. MP3/OGG Vorbis Encoder and Audio Codec Circuit; Version 1.31; VLSI Solution: Tampere, Finland, 2017. [Google Scholar]
- Brandenburg, K.; Bosi, M. Overview of MPEG Audio: Current and Future Standards for Low Bit-Rate Audio Coding. J. Audio Eng. Soc 1997, 45, 4–21. [Google Scholar]
- Brandenburg, K. Low bitrate audio coding-state-of-the-art, challenges and future directions. In Proceedings of the International Conference on Signal Processing, Beijing, China, 21–25 August 2000; Volume 1, pp. 1–4. [Google Scholar]
- Baumgarte, F. Improved audio coding using a psychoacoustic model based on a cochlear filter bank. IEEE Trans. Speech Audio Process. 2002, 10, 495–503. [Google Scholar] [CrossRef]
- Mead, C. Analog VLSI and Neural Systems; Addison-Wesley: Wokingham, UK, 1989. [Google Scholar]
- Hasler, J. Large-Scale Field Programmable Analog Arrays. Proc. IEEE 2020, 108, 1283–1302. [Google Scholar] [CrossRef]
- Suh, S.; Basu, A.; Schlottmann, C.; Hasler.; Barry, J.R. Low-Power Discrete Fourier Transform for OFDM: A Programmable Analog Approach. IEEE TCAS I 2011, 58, 290–298. [Google Scholar] [CrossRef]
- García Moreno, D.; Del Barrio, A.A.; Botella, G.; Hasler, J. A Cluster of FPAAs to Recognize Images Using Neural Networks. IEEE Trans. Circuits Syst. II Express Briefs 2021, 68, 3391–3395. [Google Scholar]
- Twigg, C.; Hasler. A Large-Scale Reconfigurable Analog Signal Processor (RASP). In Proceedings of the IEEE CICC, San Jose, CA, USA, 10–13 September 2006. [Google Scholar]
- Hasler, J.O.; Natarajan, A. An Open-Source ToolSet for FPAA Design. WOSET 2020, 5, 2020. [Google Scholar]
- George, S.; Kim, S.; Shah, S.; Hasler, J.; Collins, M.; Adil, F.; R, W.; Nease, S.; Ramakrishnan, S. A Programmable and Configurable Mixed-Mode FPAA SoC. IEEE Trans. VLSI 2016, 24, 2253–2261. [Google Scholar] [CrossRef]
- Hasler, J.; Kim, S.; Adil, F. Scaling Floating-Gate Devices Predicting Behavior for Programmable and Configurable Circuits and Systems. J. Low Power Electron. Appl. 2016, 6, 13. [Google Scholar] [CrossRef]
- Graham, D.W.; Hasler; Chawla, R.; Smith, P.D. A Low-Power Programmable Bandpass Filter Section for Higher Order Filter Applications. IEEE Trans. Circuits Syst. I Regul. Pap. 2007, 54, 1165–1176. [Google Scholar] [CrossRef]
- Shah, S.; Hasler, J. Low power speech detector on a FPAA. In Proceedings of the 2017 IEEE International Symposium on Circuits and Systems (ISCAS), Baltimore, MD, USA, 28–31 May 2017; pp. 1–4. [Google Scholar] [CrossRef]
- Shah, S.; Toreyin, H.; Hasler, J.; Natarajan, A. Temperature Sensitivity and Compensation on a Reconfigurable Platform. IEEE Trans. Very Large Scale Integr. (VLSI) Syst. 2018, 26, 604–607. [Google Scholar] [CrossRef]
- Lazzaro, J.; Ryckebusch, S.; Mahowald, M.; Mead, C.A. Winner-Take-All Networks of O(N) Complexity. In Proceedings of the Advances in Neural Information Processing Systems; Touretzky, D., Ed.; Morgan-Kaufmann: Burlington, MA, USA, 1988; Volume 1. [Google Scholar]
- Boahen, K.A.; Andreou, A.G. A Contrast Sensitive Silicon Retina with Reciprocal Synapses. In Proceedings of the Advances in Neural Information Processing Systems; Moody, J., Hanson, S., Lippmann, R., Eds.; Morgan-Kaufmann: Burlington, MA, USA, 1991; Volume 4. [Google Scholar]
- Smith, P.; Hasler. A programmable diffuser circuit based on floating-gate devices. In Proceedings of the IEEE MWSCAS, Tulsa, OK, USA, 4–7 August 2002; Volume 1, pp. 1–291. [Google Scholar]
- Dunn, C.; Sandler, M. Psychoacoustically Optimal Sigma-Delta Modulation. J. Audio Eng. Soc 1997, 45, 212–223. [Google Scholar]
- Hasler, J.; Shah, S. An SoC FPAA Based Programmable, Ladder-Filter Based, Linear-Phase Analog Filter. IEEE Trans. Circuits Syst. I Regul. Pap. 2021, 68, 592–602. [Google Scholar] [CrossRef]
- Schlottmann, C.; Hasler. A highly dense, low power, programmable analog vector-matrix multiplier: The FPAA implementation. IEEE J. Emerg. CAS 2011, 1, 403–411. [Google Scholar] [CrossRef]
- Kurniawati, E.; Lau, C.; Premkumar, B.; Absar, J.; George, S. New implementation techniques of an efficient MPEG advanced audio coder. IEEE Trans. Consum. Electron. 2004, 50, 655–665. [Google Scholar] [CrossRef]
- Tsai, T.H.; Huang, S.W.; Chen, L.G. Design of a low power psycho-acoustic model co-processor for MPEG-2/4 AAC LC stereo encoder. In Proceedings of the 2003 IEEE International Symposium on Circuits and Systems (ISCAS), Bangkok, Thailand, 25–28 May 200; Volume 2.
- Tsai, T.H.; Huang, S.W.; Wang, Y.W. Architecture design of MDCT-based psychoacoustic model co-processor in MPEG advanced audio coding. In Proceedings of the 2004 IEEE International Symposium on Circuits and Systems (ISCAS), Vancouver, BC, Canada, 23–26 May 2004; Volume 2, pp. 2–761. [Google Scholar]
- Kim, S.Y.; Oh, H.O.; Lee, K.S.; Kim, K.S.; Youn, D.H.; Lee, J.Y. A real-time implementation of the MPEG-2 audio encoder. IEEE Trans. Consum. Electron. 1997, 43, 593–597. [Google Scholar]
- Tsai, T.H.; Huang, S.W.; Wang, Y.W. An accelerated pshchoacoustic model chip design for MPEG 2/4 AAC audio. In Proceedings of the Cellular Neural Networks and Their Applications, Hsinchu, Taiwan, 28–30 May 2005; pp. 245–248. [Google Scholar]
- Hasler, J. The Rise of SoC FPAA Devices. In Proceedings of the CICC, Newport Beach, CA, USA, 24–27 April 2022. [Google Scholar]
- Ige, A.; Yang, L.; Yang, H.; Hasler, J.; Hao, C. Analog System High-level Synthesis for Energy-Efficient Reconfigurable Computing. J. Low Power Electron. Appl. 2023; in Press. [Google Scholar]












Disclaimer/Publisher’s Note: The statements, opinions and data contained in all publications are solely those of the individual author(s) and contributor(s) and not of MDPI and/or the editor(s). MDPI and/or the editor(s) disclaim responsibility for any injury to people or property resulting from any ideas, methods, instructions or products referred to in the content. |
© 2024 by the authors. Licensee MDPI, Basel, Switzerland. This article is an open access article distributed under the terms and conditions of the Creative Commons Attribution (CC BY) license (https://creativecommons.org/licenses/by/4.0/).
Share and Cite
Liu, L.; Hasler, J.; Mathews, P. An Analog MP3 Compression Psychoacoustic Model Implemented on a Field-Programmable Analog Array. Electronics 2024, 13, 2691. https://doi.org/10.3390/electronics13142691
Liu L, Hasler J, Mathews P. An Analog MP3 Compression Psychoacoustic Model Implemented on a Field-Programmable Analog Array. Electronics. 2024; 13(14):2691. https://doi.org/10.3390/electronics13142691
Chicago/Turabian StyleLiu, Lenno, Jennifer Hasler, and Pranav Mathews. 2024. "An Analog MP3 Compression Psychoacoustic Model Implemented on a Field-Programmable Analog Array" Electronics 13, no. 14: 2691. https://doi.org/10.3390/electronics13142691
APA StyleLiu, L., Hasler, J., & Mathews, P. (2024). An Analog MP3 Compression Psychoacoustic Model Implemented on a Field-Programmable Analog Array. Electronics, 13(14), 2691. https://doi.org/10.3390/electronics13142691

