Abstract
The future generation of mobile networks envision Artificial Intelligence (AI) and the Internet of Things (IoT) as key enabling technologies that will foster the emergence of sophisticated use cases, with the industrial sector being one to benefit the most. This survey reviews related works in this field, with a particular focus on the specific role of network softwarization. Furthermore, the survey delves into their context and trends, categorizing works into several types and comparing them based on their contribution to the advancement of the state of the art. Since our analysis yields a lack of integrated practical implementations and a potential desynchronization with current standards, we finalize our study with a summary of challenges and future research ideas.
1. Introduction
The concept of Beyond 5G (B5G), alongside the sixth generation of cellular networks (6G), centers on the recognition of Internet of Things (IoT) and Artificial Intelligence (AI) as fundamental technologies, as asserted by Letaief et al. [1]. The broad interlinking of devices at the network periphery, as underscored by Kong et al. [2], is anticipated to amplify the overall intelligence of the network. Consequently, a seamless amalgamation of computing and networking components will ensue, giving rise to a continuum termed edge-to-cloud, cloud-to-thing, or simply, the cloud continuum, delineated by Gkonis et al. [3].
Among the vertical sectors involved in future 6G networks, the industrial-smart factory sector is driving many of the diverse key use cases [4,5,6], bolstered by forums like 5G Alliance for Connected Industries and Automation (5G-ACIA) [7]. The progression within the industrial sector, particularly in Industry 4.0 and beyond, holds significant promise. Precision plays a pivotal role in industrial processes, influenced by factors such as safety requirements, while communication reliability becomes paramount, particularly given the obstacles posed by substantial metal components. The incorporation of AI-enabled Industrial IoT (IIoT) emerges as a potential enhancement in this context, as examined by Cabrini et al. [8].
However, despite the potential benefits, these IIoT networks feature a plethora of heterogeneous IoT elements, posing challenges for automation. Moreover, the establishment of standards and practical implementation in such environments still lacks specificity. Many current research endeavors heavily rely on conceptual scenarios and simulations, often lacking adequate empirical validation for their proposed solutions [9]. In this scenario, Software-Defined Networking (SDN) coupled with Network Function Virtualization (NFV), and together with cloudification and distributed computing [10], have emerged as crucial enabling technologies of softwarized networking, poised to streamline that variety of devices, especially within IIoT environments, facilitating a holistic integration of AI and Machine Learning (ML) in data-centric network deployments.
Therefore, this survey reviews works related to Industry 4.0 and beyond, focusing on the integration of AI and IIoT, leveraging softwarization technologies (SDN, NFV, and edge and cloud computing), towards the implementation of emerging communication standards like 6G. By incorporating insights from these studies, our analysis gains a deeper understanding of current trends, challenges, and opportunities in these fields, which will be outlined at the end of our survey.
More specifically, Section 2 summarizes basic definitions, reviews similar surveys, and highlights our contributions. Afterward, in Section 3, we detail the methodology followed to look for related works and illustrate their trends to have a chronological overview of their importance. The survey is implemented in Section 4, in which works are categorized using the classification studied in the previous section. Finally, in Section 5, we discuss trends from our survey and future challenges, and we draw conclusions in Section 6.
2. Definitions, Related Work, and Contribution of this Survey
2.1. Introduction
To highlight the contributions of our survey, we first provide short fundamental definitions of technologies, which serve as a subsequent point of reference in our survey. Afterward, we offer a succinct overview of pertinent surveys and reviews, beginning with the most generalized and earliest and progressing towards the latest and more tailored to the field of this article.
For that overview, all works are condensed in Table 1 and Table 2, organized according to the following parameters and sorted by publication year:
Table 1.
Summary of related surveys and reviews (1/2).
Table 2.
Summary of related surveys and reviews (2/2).
- Article: Authors and reference.
- Year: Publication year.
- Venue: Venue type in which the work was published (conference, journal, book, etc.), as well as quality indicators associated with the year of publication, if applicable (e.g., Journal Impact Factor (JIF) from Clarivate’s Journal Citation Reports (JCR) or Scimago Journal & Country Rank (SJR)).
- Description: Concise overview of the contributions of the research work.
- Relevance: Overall relevance to the topic studied in our survey, considering the percentage covered for AI, IIoT, and network softwarization, as well as its comprehensiveness (from 0 to 3 stars, being 3 the highest score).
Finally, after the basic definitions and analysis of related works (that is, related surveys), we summarize the key contributions of our survey, which will serve as a departing point for the actual survey, performed in Section 4.
2.2. Technology Definitions
Before delving into the analysis of related works and presenting our survey, this subsection briefly defines key technologies for the three topics involved in it: AI/ML, IIoT, and network softwarization:
- AI refers to the simulation of human intelligence processes by machines, particularly computer systems. These processes include learning (the acquisition of information and rules for using the information), reasoning (using rules to reach approximate or definite conclusions), and self-correction.
- ML is a subset of AI that enables computer systems to learn from data patterns and make decisions without being explicitly programmed. ML algorithms use statistical techniques to allow computers to improve their performance on a specific task as they are exposed to more data over time.
- IoT refers to the network of interconnected devices embedded with sensors, software, and other technologies that enable them to collect and exchange data over the Internet. IoT devices span various sectors, including consumer electronics, healthcare, transportation, and smart homes, and enable remote monitoring, automation, and control of physical objects.
- IIoT is a subset of the broader IoT ecosystem focused on connecting industrial devices and machinery to improve efficiency, productivity, and safety in sectors such as manufacturing, energy, agriculture, and logistics. IIoT applications include predictive maintenance, asset tracking, supply chain optimization, and remote monitoring of industrial processes.
- SDN is an approach to networking that abstracts the control plane from the data plane, allowing network administrators to dynamically adjust network configuration via software applications. SDN separates the network’s control logic from the underlying routers and switches, enabling centralized management and programmability of network resources.
- NFV is a network architecture concept that involves decoupling network functions, such as firewalls, load balancers, and intrusion detection systems, from proprietary hardware appliances and running them as software on virtual machines or containers. NFV aims to increase network agility, scalability, and cost-effectiveness by leveraging standard IT virtualization techniques.
- Edge Computing is a distributed computing paradigm that brings computation and data storage closer to the source of data generation, i.e., the “edge” of the network. By processing data locally, near the devices or sensors that produce it, edge computing reduces latency, bandwidth usage, and reliance on centralized data centers. This enables real-time processing and analysis of data, making it ideal for applications requiring low latency or offline operation.
- Multi-access Edge Computing (MEC) is an edge-computing architecture from the fifth generation of mobile technologies (5G), B5G and 6G that brings computation and data storage closer to the network edge, typically within the Radio Access Network (RAN) or Central Office (CO). By processing data locally rather than in centralized data centers, MEC reduces latency, enhances real-time application performance, and enables new use cases for mobile and IoT applications.
2.3. Analysis of Related Works
In our examination of the current state of the art, one of the earliest works, by Rajnai et al. [11], offers initial insights into Industry 4.0, the impacts of AI, and employment effects. Meanwhile, Ehrlich et al. [12] present one of the pioneering surveys to highlight SDN as a crucial facilitator for future industrial network management. Similarly, Patel et al. [13] are among the first to present use cases demonstrating the integration of AI and data for smart manufacturing.
Following in time, in the realm of AI and generally in industry, King et al. [14] investigate expert perspectives on AI’s application in industry, while Niewiadomski et al. [15] augment these insights by analyzing the maturity of IT tools within the AI domain. Additionally, Smyth et al. [18] conduct a comprehensive review of AI utilization within the supply chain sector. Fornasiero et al. [19] provide a concise overview of AI and big data applications within the process industry, encompassing sectors such as cement, chemicals, and steel production. In a related domain, Regona et al. [32] conduct a survey on AI’s utilization within the construction industry. Furthermore, Emaminejad et al. [33] evaluate trust levels in AI implementation within the Architecture, Engineering & Construction (AEC) industry. Similarly, Nabizadeh et al. [36] delve into this area, with a focus on human-centered AI applications within the AEC industry.
Focusing more specifically on Industry 4.0 and beyond, Yangüez et al. [20] conduct an analysis of AI utilization specifically within the Latin American region. Highlighting a potential challenge, Luley et al. [37] suggest that Small and Medium-sized Enterprise (SMEs) may face limitations in data collection, which could impact the implementation of AI-driven architectures for their industrial operations. Exploring diverse applications, Babu et al. [21] explore various potential uses of AI within the context of Industry 4.0, including the integration of chatbots. Another example of applications in industry is the use of Augmented Reality (AR)-assisted Digital Twin (DTs) surveyed by Yin et al. [35], which also includes the potential use of AI. Examining maturity models, Dphil et al. [22] delve into the application of AI for Industry 4.0, proposing a capability maturity level model. In the context of quality management, Quadir et al. [29] review AI techniques for quality prediction within the framework of Industry 4.0. Tambare et al. [30] investigate the advantages of a data-driven approach to Industry 4.0, leveraging technologies such as AI, IoT, and edge computing for enhanced quality management. Terziyan et al. [31] emphasize the significance of explainable AI within the context of Industry 4.0. Rane et al. [38] propose ChatGPT as a potential tool to enhance human-machine interaction within AI-driven industries. Offering a broad perspective, Yang et al. [16] conduct a comprehensive review of industrial AI systems, presenting both challenges and opportunities. They identify five enabling technologies pertinent to the field: data, analytics, platform, operations, and human-machine interaction. In a focused study, Wan et al. [23] deliver an extensive overview of AI’s role in customized manufacturing, including the categorization of AI types and presenting a case study of architectural design (AIaCM) for customized manufacturing. Bousdekis et al. [24] conduct an analysis of AI and big data applications within Industry 4.0, accompanied by a case study focusing on the steel industry. Shifting the focus to future industrial paradigms, El-Brawany et al. [39] review the utilization of AI for prognostics in Industry 5.0, aiming to anticipate potential failures and maintenance needs. Meanwhile, Huang et al. [25] undertake a comprehensive survey of AI-driven implementation in Digital Twins within the context of Industry 4.0. In relation to sustainability, Fraga-Lamas et al. [26] argue that while edge AI has the potential to enhance sustainability in Industry 5.0, its current impact is limited. They provide various insights and propose future research directions to realize green IIoT environments.
Including softwarized networks or SDN in industry, while fewer surveys are available, Urrea et al. [27] investigate the application of SDN for IIoT, including an analysis of potential SDN controllers, or Raspberry Pi (Raspberry Pi (RPi)) as an IIoT platform. Additionally, Beshley et al. [34] identify key enabling technologies for digital transformation, listing IoT and SDN separately and highlighting the industrial sector as a potential beneficiary of these technologies.
Finally, in the intersection of AI and softwarized networks (like 5G and 6G) within the IIoT domain, Yang et al. [17] explore the advantages of combining SDN with AI for smart manufacturing in Industry 4.0. They propose an architectural design and discuss future challenges and opportunities. Expanding the technological landscape, Ghildiyal et al. [40] offer insights into the role of 6G communication in facilitating advancements in Industry 4.0 and beyond. Exploring applications, Mahmood et al. [28] review diverse AIML algorithms for wireless networks, and specifically towards 6G, including the implementation of smart facilities like IIoT. Similarly, Chi et al. [41] undertake a review of network automation technologies for IIoT, encompassing AI and SDN, toward the realization of Industry 5.0 based on 6G infrastructure. Jiang et al. [42] highlight how AI-enabled SDN technologies enhance the security and functionality of IIoT systems, contributing to a more robust industrial ecosystem. Walia et al. [44] review the specific case of resource management leveraging AI in fog and edge-computing environments, including IIoT. Rezaee et al. [45] also review algorithms for fog offloading and task management leveraging AI, SDN, and including IIoT as a use-case scenario. Finally, Alanhdi et al. [46] survey the integration of AI and blockchain for edge-computing frameworks in different domains, including Industry 4.0 among them.
2.4. Contributions of Our Survey
From our analysis of related surveys, we observe that most of them only cover some parts of the three topics of our survey (AI, IIoT, and network softwarization), hence partially covering the scope of our survey, but not completely. Additionally, many of the surveys are focused either on very specific case studies from industry or research ideas from academia and are not implemented in real testbeds. More specifically, we could state that the closest works to our survey are Yang et al. [17], Chi et al. [41], and Jiang et al. [42]. However, the first one strictly focuses on big data, the second does not consider network softwarization (only IoT as the use case of 5G), and the third one is specific for security applications.
Accordingly, the main contributions of our survey are:
- To the best of our knowledge, it is the first survey that analyzes works integrating AI and IoT (as envisioned by 6G) for the implementation of softwarized industrial networks.
- We analyze and classify these works in diverse categories and according to related use cases in 6G.
- We measure the contributions of each work in terms of feasibility in real environments (considering the type of implementation and evaluation, as well as available open-source code of their solutions).
- We compare all analyzed works with current architectures defined by Standards Development Organization (SDOs) and sketch future challenges and research trends.
3. Survey Methodology and Statistics
To conduct a comprehensive analysis of the current state of the art, we scrutinized related works by leveraging diverse resources, including Google Scholar. Our focus was primarily on articles published within the last decade, particularly those containing any of the following keywords or combinations thereof, relevant to the emerging trends in smart industrial networks: far/extreme edge, cloud continuum, IIoT, AI, AI industry, Industry 4.0 and beyond, SDN industry and SDN–IoT.
Figure 1 depicts the trend of keywords in relation to our investigation, illustrating the emergence of these keywords, particularly from 2020. We can also observe a clear growing peak for the cloud continuum, a generally increasing trend for AI-related topics, and a stable tendency for the rest, although far and extreme edge and SDN industry seem to be declining, probably because the cloud continuum keyword has supplanted them.
Figure 1.
Trend of keywords in relation to AI-empowered softwarized IIoT networks since 2014.
It is crucial to emphasize that this trend only reflects the popularity of certain keywords in research. Consequently, a decrease in the number of keywords may indicate the maturity of certain technologies, which have now been integrated into the industry ecosystem. Consequently, associated research in these areas may decline. For instance, taking the case of SDN, according to Gartner’s projections, the SD-WAN market surpassed $5 billion by the end of 2023, with a market penetration of 60 percent, and anticipates a sustained expansion of the market [47,48]. Therefore, even though SDN remains a foundational technology, it might not be prominently featured in Figure 1.
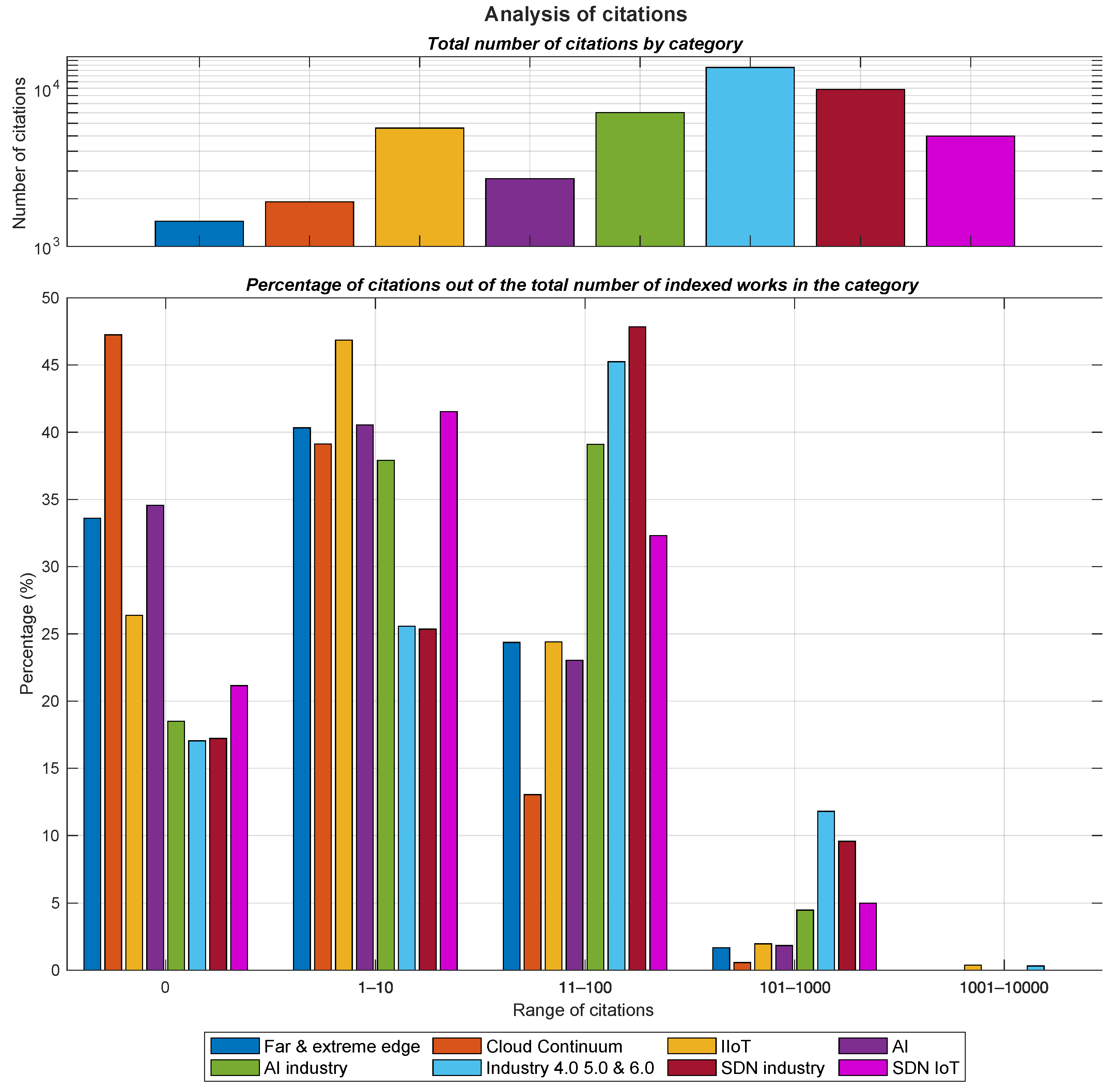
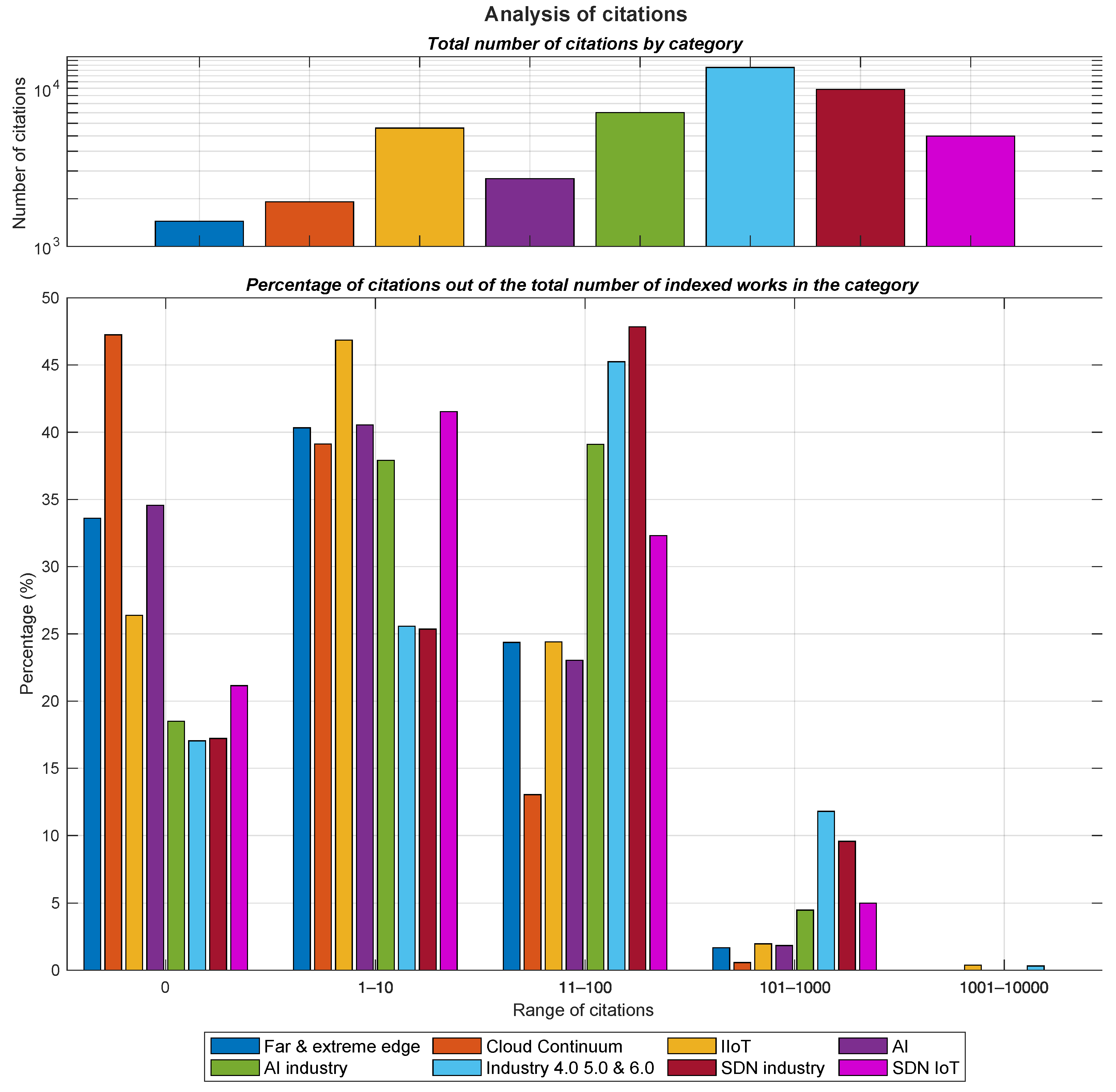
Additionally, we have represented the distribution of citations among these articles in Figure 2. It is divided into two subgraphs representing, from top to bottom, the total number of citations in the category and the distribution of citations in each category. For example, according to Figure 1, Industry 4.0 and beyond has been an established topic since 2020, so there are quite a few papers. This makes it the most cited category, with a total of about 14,000 citations, as the top half of Figure 2 shows. In addition, focusing on the bottom half of Figure 2, 12% of the papers have between 101 and 1000 citations, and 1% have between 1001 and 10,000 citations, so there are relevant papers in this area that are highly cited. Conversely, the field of cloud continuum, despite being the category with the most indexed papers, has garnered fewer citations, possibly due to its significant growth in recent years. This visualization underscores the influence of these publications, particularly highlighting the importance of research in the realm of IIoT.
Figure 2.
Analysis of citations illustrating the total number of citations by category (top) and articles with a certain amount (range) of citations, classified per keyword (bottom).
As a third step, we have compiled all the words from the titles of the analyzed articles and generated a word cloud, as illustrated in Figure 3. This word cloud represents the most frequently repeated words in the titles of the articles referenced with the previous keywords, with industry emerging as the most common term. Additionally, the word cloud reveals additional keywords related to our analysis, including security, sustainability, blockchain, manufacturing, management, energy, adoption and architecture.
Figure 3.
Word cloud created with the titles of analyzed works.
Finally, based on the previous examination, we categorized all works in diverse prevalent topics, namely reconfiguration (which encompasses all works in relation to network management and control flexibility), energy, Time-Sensitive Networking (TSN), DT, Cyber-Physical System (CPS), security, data and information management, whose trends are illustrated in Figure 4 (steadily increasing since 2017, with a small decrease in 2023 and 2024, probably of works still to be published). We organized our survey into these seven categories, with one section dedicated to each of them. Within these sections, we selected the most relevant works from the indexed papers for our analysis (those that covered the three topics: AI, IIoT, and network softwarization), which are the papers analyzed in our survey. In addition, we included two sections on case studies and PhD/MSc theses, bringing the total number of sections to nine. These are described in detail in the following section.
Figure 4.
Trend of categories as classified in our analysis.
4. A Survey on AI-Empowered Softwarized IIoT
In the ensuing sections, we examine various interconnected research articles, classified into the following categories (as defined in Section 3): reconfiguration solutions (network management and control flexibility, as a key feature of softwarized networks), energy-related solutions, TSN-related solutions, DT-related solutions, human-related and CPSs, security-related solutions, and data-related solutions (Certain works encompass multiple categories; hence, we have categorized them according to the primary field they address.). Additionally, at the end of this section, we highlight relevant case studies and PhD/MSc theses pertaining to the topic addressed in this survey.
For each of these sections, all works are encapsulated in an initial table akin to the one for surveys and reviews, featuring the following parameters:
- Article: Authors and reference.
- Year: Publication year.
- Description: Concise overview of the contributions of the research work.
- Evaluation and Tools: Noteworthy facets of the evaluation and tools utilized in the solution/proposal.
- Contribution: Overall contribution to the state of the art, considering diverse parameters such as quality of evaluation or implementation feasibility (from 0 to 3 stars, being 3 the highest score).
Regarding the last parameter (Contribution), it was calculated based on the following criteria (with a minimum of 0.5 stars and a maximum of 3 stars even if surpassed):
- Implementation type (i.e., to what extent the proposal had a practical design for industry or not):
- –
- 0.5 stars—Analytical study.
- –
- 1.0 stars—Simulation.
- –
- 1.5 stars—Emulation.
- –
- 2.0 stars—Practical/real environment.
- Additional parameters:
- –
- Two or more of the previous implementation steps have been developed (for example, simulation and real environment to demonstrate coherence in results).
- –
- +0.5 stars—The proposal is compared with other works.
- –
- +0.5 stars—The evaluation is thorough and tests various scenarios and/or an adequate number of repetitions are performed.
- –
- +0.5 stars—The proposal has the code of the implementation published openly and accessible.
- –
- +0.5 stars—Any other remarkable aspect in comparison with works of the same category.
4.1. Reconfiguration, Network Management and Control Flexibility
This subsection begins with an analysis of proposals based on SDN, moves on to those rooted in AI, and culminates with an exploration of how these two technologies are integrated into comprehensive end-to-end reconfiguration solutions. In addition, we have compiled and summarized all related work in Table 3 and Table 4 for easy reference.
Table 3.
Summary of related works about reconfiguration (1/2).
Table 4.
Summary of related works about reconfiguration (2/2).
Focusing on SDN-based proposals, Li et al. [49] introduce an innovative approach to address the growing demand for efficient data exchange in Industry 4.0 and IIoT environments. By leveraging SDN and edge computing, they propose a solution that categorizes data streams into ordinary and emergent streams, each with tailored strategies to meet varying latency requirements. In low-deadline scenarios, a coarse-grained transmission path algorithm identifies paths within the hierarchical IoT infrastructure. This is followed by selecting optimal routing paths based on factors such as time deadlines, traffic load balancing, and energy consumption using the Path Difference Degree (PDD) metric. In high-deadline situations, a fine-grained transmission scheme, including an adaptive power method, is utilized to achieve low latency. Through simulation in MATLAB, the proposed approach is validated, demonstrating superior performance compared to traditional methods across metrics such as average time delay, goodput, throughput, and download time. This research contributes significantly to the field by providing a promising solution for effectively managing diverse data flows in IIoT networks, therefore reducing strain on backbone infrastructure and facilitating the realization of efficient smart factory and Industry 4.0 systems. Another example is Govindaraj et al. [50], who take advantage of the flexibility of network management provided by SDN to investigate the feasibility of surveillance and technical assistance systems for IIoT in combination with the edge-computing paradigm for future factory automation systems. Unlike previous research focusing on multimedia or automotive applications, this paper highlights the relevance of European Commission (EC) and SDN in industrial settings, presenting two prominent industrial use cases: proactive system surveillance and intelligent technical assistance. The paper outlines challenges and suggests solutions for implementing these applications with EC and SDN, while also pinpointing future research directions in factory automation. This includes emphasizing context-based information selection, dynamic resource allocation, and addressing safety concerns.
Similarly, Yang et al. [56] also introduce a reference architecture for SDN-based edge computing in Industry 4.0 environments, termed Software-Defined Cloud Manufacturing (SDCM). Their work explores future industrial trends and incorporates software-defined networking concepts to propose the SDCM model, emphasizing real-time response, reconfiguration, and operations in manufacturing systems. The proposed reference architecture comprises six layers: abstractions, gateways, Software-Defined Virtual Entities (SDVE), software-defined network, manufacturing services, and manufacturing applications. SDN enables flexible reconfiguration and effective scheduling of network resources to enhance resource utilization and meet industrial demands. SDCM integrates emerging technologies to drive innovation across R&D, design, production, logistics, and operations, facilitating a shift towards intelligent, productive, and sustainable industries. Future research will focus on standardization, collaborative models, AI algorithms, and prototype system implementation for SDCM. Bedhief et al. [51] also propose a self-adaptive SDN-based architecture for IIoT and Industry 4.0 applications, but relying on a fog computing architecture, instead of an edge computing. Their proposal aims to enhance operational efficiency and productivity in industrial settings by integrating SDN and fog computing. Unlike the SDCM model, which emphasizes edge computing, this approach highlights the utilization of fog computing to address similar industrial challenges. The paper offers a flexible and scalable solution to meet the diverse requirements of IIoT applications, such as reliability, scalability, and low latency. It presents deployment scenarios for dynamically managing fog nodes and evaluates their performance in terms of latency and throughput through simulation. The results demonstrate the effectiveness of locally deployed fog nodes in reducing latency. Furthermore, the paper outlines ongoing work to enhance the proposed framework by incorporating AI and ML methodologies to increase autonomous management intelligence and explores the possibility of replacing SDN equipment in fog nodes with controller instances.
Additionally, Zemrane et al. [55] focus specifically on the benefits of SDN for the IIoT. It delves into the realm of smart cities, emphasizing the evolution of various sectors and the interconnectedness of IoT ecosystems. Focusing particularly on the latest iteration of industry, IoT Smart Factories Ecosystems. The paper highlights the pivotal role of digitalization in industrial processes, facilitated by sensor data collection, network communication, and actuator-driven responses, culminating in the production of smart products. By integrating Software-Defined Technology, the authors propose a novel architecture termed the Software-Defined Internet of Thing Smart Factories Ecosystem, aiming to enhance communication, reduce network resource consumption, and optimize energy usage in data centers. Reddy et al. [57] also take advantage of the benefits offered by SDN to solve specific challenges in IoT networks, such as handling critical traffic. Their work discusses the configuration of devices in the network to establish appropriate topology and routing tables within the SDN controller. Additionally, the chapter outlines the process of integrating various sensors into motes to collect information, store it in the cloud, or feed it into a feedback system for environmental regulation. By separating the control plane from the data plane in the border router using OpenWRT and employing SDN with tools like Open Network Operating System (ONOS) and Open vSwitch (OVS), the authors aim to reduce latency for critical traffic. In contrast to the previous work, the authors have implemented a testbed architecture to demonstrate the efficacy of their solution, showing reduced latency for critical traffic compared to traditional methods. However, the proof of concept does not incorporate any AI-related aspects. The chapter concludes by highlighting the importance of SDN technology in efficiently routing critical traffic in IoT networks and outlines future directions for enhancing security and implementing algorithms in the SDN controller.
Setting aside solutions primarily tailored for IoT-exclusive networks, Okwuibe et al. [58] provide an architecture that combines SDN, MEC, and container orchestration technologies within the domain of IIoT applications. By developing a practical testbed framework, the authors delve into the intricacies of reactive MEC service migration facilitated by Kubernetes, a container orchestration platform, to manage a video streaming application. They conduct real-time assessments of latency, jitter, and service disruptions, providing empirical evidence of the system’s performance. Moreover, in contrast to prior studies, the authors have publicly released the source code on Github [73]. Their investigation not only underscores the operational benefits of integrating SDN, MEC, and container orchestration but also sheds light on the energy trade-offs associated with containerization. Notably, the authors envision future enhancements, including the implementation of preemptive MEC application migration models driven by ML algorithms. Additionally, they discuss the potential integration of visual AI applications to augment industrial control and automation systems, therefore emphasizing the practicality and scalability of their proposed solution, substantiated by a real testbed environment. This comprehensive examination not only contributes to the theoretical understanding of IIoT frameworks but also provides valuable insights for the development of robust and efficient industrial applications in the future.
Josbert et al. [60,61] focus on resilience for Software-Defined Industrial Networks (SDIN), introducing a novel approach based on Mixed Fast Resilience (MFR) to address the challenge of balancing restoration and protection mechanisms in network failure recovery scenarios. This method optimizes recovery time and end-to-end latency without compromising network performance under normal conditions. The architecture of SDIN resilience consists of an infrastructure layer encompassing gateways, field devices, and industrial backhaul networks, a control layer with dual controllers for managing switches and routing policies, and an application layer housing resilience and industrial applications. Through a simulated testbed using Mininet and OpenDaylight (ODL), they evaluate the MFR method’s effectiveness, demonstrating significant improvements in failure recovery time, packet loss, and end-to-end latency. Notably, in the extended work, they conduct a real testbed utilizing Raspberry Pi gateways for IIoT sensors, ODL as the controller, and Mininet for backhaul emulation, emphasizing the practical applicability of their proposed solution in industrial settings. Precisely, Alam et al. [69] also focus on reconfiguration techniques in IIoT networks by providing programmable edge network architecture. They emphasize the need for dynamic service provisioning at resource-constrained edge devices, and their solution provides an architecture that includes programmable layers for reconfiguring sensor/actuator networks and application services, with the lower layer handling communication parameters, a middle layer featuring an SDN controller for dynamic programming, and a top layer implementing a priority forwarding mechanism for SDN core communication. In contrast to the approach by Josbert et al., Alam et al.’s work introduces a focus on dynamic service provisioning and reconfiguration at the edge, highlighting the programmability of their architecture to adapt to changing network conditions. The contributions include a reconfigurable edge architecture, a Quality of Service (QoS)-aware data forwarding mechanism, and a task programming approach to mitigate latency issues during offloading. Performance evaluation through simulations and a testbed demonstrates significant improvements in actuation latency and energy efficiency compared to existing solutions, validating the effectiveness of the proposed architecture. The experimental testbed setup replicates an industrial automation scenario involving motion and ultrasonic sensors, demonstrating real-world applicability. Concluding remarks emphasize the architecture’s suitability for various applications involving sensor and actuator operations and outline future directions, including fault handling and learning-based techniques for QoS-aware decision-making.
Regarding AI-based solutions, Bonada et al. [52] discuss the application of AI and ML solutions to enhance industrial process monitoring and optimization within the framework of Industry 4.0. They highlight Industry 4.0’s data-driven nature enabled by CPS, hybrid Internet of Things architectures, and big data analytics, emphasizing their competitive advantages in productivity, quality, and efficiency. Specifically, the focus is on Overall Equipment Efficiency (OEE) as a Key Performance Indicator (KPI) in manufacturing, considering its three components: availability, quality, and performance. The paper explores various AI and ML solutions that can significantly impact OEE, illustrating their effectiveness through real use cases and research project results. Conclusively, the authors underscore the importance of leveraging available process data to enhance predictive capabilities and provide insights for process improvement, with a particular emphasis on predictive maintenance, virtual sensor solutions, predictive quality algorithms, and case-based reasoning for cycle time optimization. They anticipate further advancements in OEE through emerging AI trends and technologies, such as Reinforcement Learning (RL) approaches, Deep Learning (DL) for image processing, and collaborative human-AI systems, positioning them as crucial for the progression towards Industry 5.0. In contrast, Mezair et al. [64] also utilize the Industry 4.0 paradigm in terms of addressing the existing limitations in fault detection algorithms for 6G-enabled industrial networks. They propose an advanced DL framework for fault diagnosis, combining Long Short-Term Memory (LSTM), Convolutional Neural Networks (CNN), and graph CNN to handle heterogeneous data formats, such as images, videos, time series, and graphs, aiming to output accurate fault diagnoses using all available information. Additionally, they introduce a branch-and-bound optimization strategy for hyperparameter tuning, intelligently exploring the hyperparameters space to enhance efficiency. While both papers contribute to Industry 4.0 advancements, Mezair et al.’s work specifically addresses the need for more effective fault detection algorithms, offering a comprehensive solution capable of outperforming state-of-the-art methods in terms of detection rate, running time, and energy consumption. Moreover, their framework’s ability to handle heterogeneous data with a single computational device presents a more sustainable fault detection approach for 6G-enabled Industry 4.0 applications.
Continuing with the Industry 4.0 paradigm, Aminabadi et al. [65] introduce a novel in-line and fully automated closed-loop process control system for the injection molding process. The system, compliant with Industry 4.0 standards, integrates fully automated in-line measurements, in-line data analysis, and an AI control system utilizing the Open Platform Communications Unified Architecture (OPC UA) communication protocol. They leverage DL models, including the ResNet-18 convolutional neural network, to evaluate the surface quality of injection molded parts and predict quality features such as weight, surface quality, and dimensional properties using data from various sensors. Through a heuristic model predictive control method, the control system adjusts machine parameters during production to ensure specified part quality features are met. Their experiments demonstrate successful control of surface quality and linear dimensions, highlighting the potential for further refinement and expansion into multi-objective process control in future research. Similarly, Rojek et al. [66] also contribute to control systems but in the context of medical devices. They integrate AI into the quality inspection process, increasing efficiency and adaptability, aligning with the overarching goals of Industry 4.0. While both studies underscore the transformative potential of AI/ML techniques in optimizing manufacturing processes, Aminabadi et al.’s work specifically addresses closed-loop process control in injection molding, providing a comprehensive solution for real-time quality monitoring and control. In contrast, Rojek et al. focus on quality inspection in medical device manufacturing, emphasizing the importance of integrating AI for efficient and adaptable quality control processes. These studies collectively highlight the significance of real-time monitoring, predictive analytics, and automated decision-making to ensure product quality and operational excellence in the era of Industry 4.0.
Also, in the context of Industry 4.0 but focusing on maintenance tasks, Patel et al. [70] present a scalable platform aimed at predictive maintenance solutions. Their proposed AI software architecture stack facilitates the development of various AI applications, including anomaly detection, failure pattern analysis, and asset health prediction, for many industrial assets. In contrast to Aminabadi et al.’s work on closed-loop process control and Rojek et al.’s focus on quality inspection, Patel et al. address the critical aspect of predictive maintenance in Industry 4.0. Their platform offers a comprehensive solution for leveraging AI techniques to predict asset failures and optimize maintenance schedules, contributing to improved operational efficiency and reduced downtime. The AI Model Factory’s layered architecture comprises bottom layers leveraging existing open-source libraries like MLFlow and Ray for scalable model training, while the middle layers, including the Model Factory runtime and core, contribute significantly to system development, through a demonstration of an Asset Health Forecasting Application, which predicts the future health of assets using historical data. The end user initiates the application by providing input data organized in S3-compatible COS buckets or a local file system and application-specific parameters like asset ID, timestamp, input feature, output target, and prediction window size. Once executed, the end user can track the process’s progress and receive detailed reports on project status, validation metrics, and more. Finally, the trained models can be deployed to ML model server platforms, with current support for IBM Watson Machine Learning. Patel et al.’s work addresses the growing demand for predictive maintenance solutions in Industry 4.0, offering a scalable and adaptable platform that integrates seamlessly into existing industrial infrastructures.
In terms of AI solutions applied to 5G environments and beyond, Mohamed et al. [53] propose an interdisciplinary approach that integrates wireless sensor networks with ML-enabled industrial plants to develop reasoning ability, termed as the sixth sense technology. They focus precisely on fault detection and prediction in 5G wireless communications. The proposed system architecture comprises vertical-specific components overlaid by a 5G communication network, with modules including holistic system models, resilient network communication, ML-based fault detection and prediction, adaptive decision-making framework, and virtual reality visualization. While their work addresses fault detection and prediction in 5G wireless communications, it does not specifically emphasize the inadequacies of existing 5G networks in facilitating Internet of Everything (IoE) applications or the transition towards 6G wireless systems. In contrast, Padhi et al. [62] identify the current inadequacies of 5G networks to facilitate IoE applications, prompting extensive global research efforts toward the development of 6G wireless systems. With the advent of the fifth industrial revolution, IoE is transitioning into increasingly complex Industrial IoE (IIoE) projects, presenting new opportunities and challenges across industries. Through an exhaustive literature review, the study presents a novel theoretical framework for the 6G-enabled IIoE (hereafter referred to as 6GIIoE) system, identifying priority areas, challenges, and relevant applications. A sequential methodology is employed to explore various adaptive approaches, providing a solid foundation for future research in 6GIIoE system development. Key contributions include the creation of a comprehensive theoretical framework for the 6GIIoE system and the identification of future research directions in this field. Although the study acknowledges some limitations, such as the lack of empirical testing of the proposed theoretical model, it lays the groundwork for further investigation into 6GIIoE and its implications in industrial settings, thus advancing knowledge in the domain of emerging wireless technologies and industrial applications. While Padhi et al.’s work does not directly address fault detection and prediction in 5G wireless communications like Mohamed et al., it fills the gap by providing a comprehensive theoretical framework for the development and deployment of 6G-enabled IIoE systems, thus contributing to the advancement of industrial wireless communication technologies.
With respect to the application of AI to new networking paradigms such as MEC, Gong et al. [67] delve into the realm of intelligent MEC augmented with Deep Reinforcement Learning (DRL) for the forthcoming era of 6G-enabled IIoT. They elucidate the impending transition of 6G networks towards connected intelligence, particularly in the context of IIoT encompassing sensors, controllers, and actuators. While their work focuses on optimizing task scheduling and resource allocation for diverse applicationsthrough MEC services integration, it does not explicitly address the evaluation of AI-based platforms or the deployment of AI services on industrial edge devices. In contrast, Eichelberger et al. [71] also work with edge-computing applications in an industrial context. They evaluate the performance of an AI-based platform, named IIP-Ecosphere, to facilitate flexible AI deployment on industrial edge devices by employing a highly configurable low-code approach. Through experiments conducted on an industrial demonstrator, the authors evaluated the impact of deploying AI from a central server to the edge. While their work focuses on assessing the performance of AI inference on industrial edge devices and the integration of AI services into existing production environments, it does not specifically delve into the optimization of task scheduling and resource allocation in MEC-enabled IIoT systems. While both studies contribute to the advancement of edge-computing applications in industrial contexts, Gong et al.’s work focuses on optimizing task scheduling and resource allocation through MEC integration, while Eichelberger et al. evaluate the performance and integration of AI-based platforms on industrial edge devices, providing insights into the deployment challenges and optimizations required for efficient AI execution in industrial environments.
AI is also used in combination with new decentralized technologies, such as blockchain. Qu et al. [54] introduce a novel blockchain-based Federated Learning (FL) framework, termed D2C (Decentralized Paradigm for Big Data-Driven Cognitive Computing), tailored for Industry 4.0 applications. The framework combines FL and blockchain technologies to address challenges such as privacy concerns, data efficiency, and protection against poisoning attacks. FL mitigates the issue of “data islands” by enabling privacy-preserving and efficient processing, while blockchain ensures a decentralized and secure environment resistant to attacks. The integration of these technologies accelerates convergence, enhances verification processes, and facilitates member selection. Evaluation results demonstrate the effectiveness of the D2C platform in comparison to existing models, showcasing improvements in computational processing efficiency for intelligent manufacturing. Future research aims to optimize performance metrics and develop a reward system to incentivize the participation of public devices in the industry. A comprehensive overview of the transformative role of DL in Industry 4.0 is provided in Agrawal et al. [43]. They highlight the pivotal role of Industry 4.0 in transforming manufacturing by integrating data acquisition, analysis, and modeling to create intelligent production ecosystems. DL, as a critical component of AI, is instrumental in this transformation, facilitating real-time monitoring, predictive maintenance, adaptable production, and enhanced customization. The paper discusses various DL techniques, including Autoencoders, CNN, Recurrent Neural Networks (RNNs), Generative Adversarial Network (GAN), and DRL, elucidating their functions and applications in manufacturing domains such as predictive maintenance, quality control, and resource optimization. Despite its transformative potential, implementing DL in manufacturing poses challenges such as data quality and quantity, model interpretability, computation demands, and scalability. To address these challenges, future research directions include explainable AI, FL, edge computing, and collaborative robotics. The integration of DL with Industry 4.0 is poised to revolutionize manufacturing practices, fostering adaptive, efficient, and data-driven production ecosystems despite the challenges posed by data quality, interpretability, and scalability. This paper complements Qu et al.’s study by focusing on the utilization of DL techniques specifically in the manufacturing domain, emphasizing its role in predictive maintenance, quality control, and resource optimization, while the first paper addresses the integration of AI with decentralized technologies like FL and blockchain to tackle privacy concerns and enhance data efficiency in Industry 4.0 applications.
Finally, the integration of SDN and AI for reconfiguration purposes has also been a notable and interesting topic for analysis. Yang et al. [17] propose iCMfg, a novel edge-cloud collaborative architecture for Industry 4.0 manufacturing, which combines AI and SDN. The architecture can autonomously ingest real-time data in a plug-and-play manner and make intelligent decisions. It also provides real-time control panels to quickly monitor the quality of operations and resource consumption, providing a collaborative edge-cloud infrastructure that is adaptable to different processing speeds and workloads. However, it only proposes the idea without providing any test or proof of concept. In addition, some challenges need to be addressed prior to its development, such as the definition of standards to enable inter-machine or inter-factory communication and other open issues, such as security risks that will arise due to the flexibility and openness of the proposal. While Yang et al.’s work focused more on proposing an architecture in the edge-cloud, the following work focuses more on 5G networks. Papagianni et al. [59] highlight the potential of 5G networks, which uses SDN, to drive new vertical industry-led applications through the 5Growth project. Their architecture employs AI using a closed-loop ML to improve the monitoring services and the orchestration mechanisms. They provide the theoretical design of the architecture and perform a proof-of-concept test by virtualizing the architecture monitoring module with Docker. Wan et al. [23] also present their own AI-driven smart factory architecture, AIaCM, which integrates intelligent devices with a flexible manufacturing line to enhance the global manufacturing process. It focuses on the role of AI as a key enabling technology for smart factories that accelerate the manufacturing process in production lines through dynamic reconfiguration and self-organizing scheduling, which, in conjunction with cloud/edge-computing paradigms, provides a potential solution for customized manufacturing. They present a theoretical case study of their AIaCM framework, a candy-wrapping production line. They propose the use of smart devices and an industrial communication network to enable the remote operation and control of the production line. Through the cloud computing paradigm, customers can interact with the production line and modify the production according to the customers’ preferences. In addition, big data using AI is provided for preventive maintenance, improving the overall operation of the factory.
Some proposals offer more realistic and less theoretical architectures, such as Rahman et al. [63], which introduces EdgeSDN-I4COVID, a framework architecture designed to enhance the management of IIoT networks in the context of Industry 4.0, particularly during the COVID-19 pandemic. The architecture leverages SDN and NFV to ensure efficient control of IoT sensor data, with the goal of facilitating contactless operations and maintaining uninterrupted industrial ecosystems. Furthermore, they envision the possibility of AI or ML techniques. They emulate a scenario with the Mininet-Wi-Fi software in topologies composed of more than 45 nodes and measure throughput, response times, and packet loss rates, comparing them with traditional models. Also, Ji et al. [68] presents an SDN/NFV framework for dynamic, AI-enabled network slicing orchestration aimed at minimizing deployment costs while ensuring efficient operation in the IIoT. The role of SDN and NFV in achieving centralized optimization and configuration of network parameters is critical to address the latency and network scale requirements, which, combined with the network slicing system, represents a significant advancement for smart factories in the IIoT paradigm. The study confirms the effectiveness of the proposed network slicing algorithms in the context of IIoT by simulating their network slicing orchestration paradigm in Matlab. They also emulate an intelligent manufacturing testbed using Open-Source MANO (OSM), OpenStak, Ryu, and OVS, verifying the feasibility of the solution.
Other authors such as Mahmood et al. [72] introduce a functional architecture specifically designed for future 6G IIoT networks, emphasizing the integration of special-purpose functionalities and advanced technologies, for which, while not explicitly mentioning SDN, they leverage it. The proposal incorporates ML and AI algorithms along with auxiliary functions to predict traffic arrivals, track channel conditions, and manage interference within the network, addressing the complex requirements of IIoT applications. However, they only provide a theoretical example of use in an industrial scenario.
4.2. Energy Efficiency and Optimization
First, we summarize all related works in Table 5.
Table 5.
Summary of related works about energy efficiency.
Sodhro et al. [74] present an AI-based framework aiming to improve Quality of Experience (QoE) in the optimization of 6G industrial networks. This framework combines networks, wearable technology, QoE measurement tools, high-definition displays, and feedback analyzing/reporting mechanisms. It adaptively monitors and adjusts variables to minimize the usage of resources. To tackle the challenge of dynamic mobile IoT nodes, they propose a mobility management solution powered by ML that enhances energy efficiency while improving QoE and QoS. Their approach underlines the importance of optimizing resources by balancing risks and criticalities, assessed through indicators such as latency and risk analysis.
In exploring IIoT within 6G infrastructures, Mukherjee et al. [75] develop a strategy that employs data mining and cluster analysis. This strategy aims to control scattered sensor nodes effectively, optimizing the allocation of resources and reducing energy use. It incorporates the Distance Vector (DV)-Hop algorithm to increase the prediction precision of management agents’ placements within clusters. Furthermore, the use of CNN and Gaussian Copula theory improves the accuracy of observational data and the examination of data interdependencies, which aids in sophisticated energy and resource management.
Almuntasheri et al. [77] introduce the Routing Decisions Through Energy-Cost Estimation (RDEC), a protocol designed to enhance energy efficiency and balance loads across industrial networks. This protocol is initiated by thoroughly mapping the network structure and identifying viable communication routes. It assesses energy expenses associated with each route and selects the most energy-efficient path based on the energy needed for distance transmission and the average usage by nodes in transit, therefore optimizing energy consumption.
Lastly, Jiang et al. [76] propose an innovative strategy for routing optimization in adaptable wireless networks, with a focus on energy efficiency. Their strategy integrates a mathematical optimization model with AI methodologies, revising link weights to reflect energy use and bandwidth needs. An intelligent routing algorithm discerns the most energy-efficient routes, enabling dynamic resource management to lower energy use and enhance service quality. This study highlights the critical role of AI and ML in the efficient administration of networks, envisaging the future of 6G and beyond in terms of industrial network sustainability and performance.
4.3. Time-Sensitive IIoT
First, we summarize all related works in Table 6.
Table 6.
Summary of related works about TSNs.
Zeng et al. [78] unveil a strategy aimed at amplifying QoS within industrial settings through the deployment of a Software-Defined Industrial Ethernet (SDIE) network, distinguished by its novel use of time slots. This methodology involves allocating specific time intervals to diverse traffic types, therefore ensuring prioritization of real-time critical traffic over less imperative communications. The adoption of SDIE enables a more agile and adaptive management of network resources, allowing dynamic modifications in response to the evolving demands of real-time industrial applications, a hallmark of the Industry 4.0 revolution.
Progressing from this premise, Balasubramanian et al. [79] propose a SDN architecture designed to refine network management in environments where time-sensitivity is paramount, such as in IIoT contexts. This architecture addresses the essential requirements for accurate time synchronization and management, critical for delivering real-time data. Leveraging the SDN framework, which effectively separates the control and data planes, this approach ensures centralized and flexible control over network devices, offering a scalable and adaptable framework well suited to multifaceted demands of IIoT environments.
Extending these insights, Bulbu et al. [80] present the implementation of a SDN architecture tailored for the self-configuration of time-sensitive IoT networks. This initiative aims to enhance network management in scenarios where time synchronization and precision are crucial. The strategy involves segregating the control plane from the data plane, enabling centralized and programmable control over network devices. The introduction of SDN-based self-configuration empowers enactment of specific QoS policies to guarantee timely and reliable data delivery, particularly for real-time applications within industrial contexts. Moreover, the inherent flexibility of this architecture allows for network to adjust to dynamic demands and environmental changes adeptly, therefore elevating efficiency and responsiveness of real-time network operations, albeit with a generalized focus not confined solely to industrial networks.
4.4. Digital Twinning in IIoT
This section encompasses a comprehensive review of extant literature pertinent to the utilization of AI for the enhancement of SDN networks to augment the performance of Virtual Reality (VR)/Mixed Reality (MR) solutions within IIoT environments that are predicated on DTs. Existing related works are summarized in Table 7.
Table 7.
Summary of related works about DTs.
Xu et al. [81] acknowledge DTs as an intrinsic component of 6G-enabled IIoT. They assert that the integration of AI/ML is essential for advancing automation. Consequently, they propose a DRL architecture to manage appropriately the existing control, communication, and computing resources. Following previous work, Guo et al. [82] also advocate for a DRL-based approach in the context of DT within 6G-enabled IIoT. However, they enhance their approach by incorporating D2D communication. This augmentation accounts for the limitations of IoT devices at the edge using an FL approach. Following the same line, Zhou et al. [85] also presents an innovative solution for resource-constrained Mobile Augmented Reality (MAR) devices, leveraging edge-device collaboration. It proposes a scheme where an edge server constructs and updates a 3D map using camera frames from an MAR device, minimizing uncertainty in device pose tracking. To address dynamic uplink data rates and user pose changes, a Bayes-adaptive Markov decision process problem is formulated, and a DT-based approach is proposed. The DT captures time-varying uplink data rates for effective 3D map management, while a model-based reinforcement learning algorithm adapts to these dynamics. Later, Friederich et al. [83] focus on a specific use case related to manufacturing systems. Hence, they emphasize the critical role of data-driven development in constructing simulation models for Industry 4.0. They argue that manual configurations of ML models, which necessitate constant adjustments, are insufficient. To address this, they investigate a potential framework applied to their use case.
Finally, Tang et al. [84] propose the utilization of MR alongside AI to seamlessly integrate digital and physical realms in DT for Industry 4.0, but focusing on the cloud and edge features that can be implemented as NFV functions.
4.5. Human Interfaces and Cybernetics in IIoT
This section provides an analysis of existing works relevant to the application of AI in the optimization of SDN networks, with the aim of improving Industrial CPS (ICPS). A summary of these related works is presented in Table 8.
Table 8.
Summary of related works about human interaction and CPSs.
First, Villalonga et al. [86] address the domain of CPS, specifically focusing on ICPS. They propose a cloud-based solution for implementing CPS, which relies on two RL techniques. This approach is tested in a real-world industrial deployment. Later, Mantravadi et al. [87] extend the discussion specifically to human-machine interaction. Hence, they emphasize the advantages of employing chatbots as user-friendly interfaces for Manufacturing Executing System (MES) within the context of Industry 4.0. This indirect utilization of AI contributes to enhancing the overall user experience. Previous work is enhanced by Singh et al. [88] that take a novel approach by combining AI and SDN technology. Their objective is to facilitate human-robot collaboration, with a specific focus on enhancing human safety within Industry 4.0 environments. Rather than replacing humans, this work envisions AI a tool to augment their capabilities. Finally, Degallier-Rochat et al. [89] continue the sentiment that AI should complement human abilities rather than supplant them. Their perspective aligns with the idea that AI’s role in Industry 4.0 should be supportive, enhancing human decision-making and productivity.
4.6. Security Aspects in IIoT
First, we summarize all related works in Table 9.
Table 9.
Summary of related works about security.
One of the approaches to improve security in softwarized IIoT networks based on AI is leveraged on SDN, and we survey some of the papers. Their main difference is that each article focuses on some aspect related to security. Tsuchiya et al. [90] implement and test an SDN-based firewall based on a Trema SDN controller and OVS for Industry 4.0 environments. Radu et al. [91] propose SDN to protect IIoT, considering that CPSs face potential new threat. They also propose SDN-based manufacturing testbed (that will deployed) and a cybersecurity ontology to be used for the network design stages. They sketch a framework for SDN-based cybersecurity-resilience protection mechanisms for IIoT. Holik et al. [92] propose softwarized networks to improve industrial networks, but they have to face some security threats, so they devise and implement an Industrial Network Protection System with more advanced traffic handling, such as an application layer inspection, traffic mirroring (for detailed offline inspection) and QoS traffic control by setting or modifying Differentiated Services Code Point (DSCP) values. They also propose automated filtering with AI. They implement it with an ONOS SDN controller.
Blockchain is a popular technique that is used in this field, as we can see in some of the next articles. The differences between them are related to how they study some parts or threats regarding security in softwarized IIoT. Rahman et al. [93] present a proposal to improve the security of Industry 4.0 based on distributed blockchain and softwarized networks implemented with SDN. They also perform an architecture performance evaluation with Mininet. Masood et al. [95] leverage blockchain to benefit the security of a fault-tolerant control of Industry 4.0. They devise a framework based on two functionalities of blockchain data integrity and smart contract. They implement an Intrusion Detection System trained with an Artificial Neural Network (ANN). Then, they test with a simulation of the framework against two threat models. Alcaraz et al. [96] propose a layered protection framework for 6G-enabled IIoT environments to protect the 6G ecosystem and consider the goals of Industry 5.0. Rahman et al. [97] propose blockchain and AI to improve security in the edge server of Industry 4.0. They implemented an AI algorithm and made a blockchain performance evaluation. Zainudin et al. [94] study a FL approach for Distributed Denial of Service (DDoS) attack classification based on local SDN controller that command an IIoT network. They implement an algorithm that applies a filter-based Pearson correlation coefficient and achieves great accuracy. Czeczot et al. [98] analyze the role of AI techniques, such as ML and DL, in predicting IIoT security threats on Industry 5.0.
Finally, Hajlaoui et al. [99] research the use of blockchain with AI methods to improve security on Industrial IoT 4.0. They train and generate ML models for threat detection. They protect these models by embedding them on the blockchain. The models are used by intelligent devices to protect them against cyberthreats. They evaluate their framework with the dataset called ToN IoT designed for IoT and IIoT that contains nine types of threats. Their solution reduces overhead compared with previous detection methods.
4.7. Data and Information Management Aspects in IIoT
First, we summarize all related works in Table 10.
Table 10.
Summary of related works about data/information management.
Based on the assumption that the development of AI-based applications follows a pattern of selection and composition, Schuh et al. [100] derived a nomenclature for the AI technology spectrum to facilitate the discussion on this topic. They analyzed all the existing literature on applications in the context of AI to develop a framework based on clusters of terms and characteristics that allow for the classification of future developments in the field. This framework is expected to be key for the detection of selection and composition patterns for future AI-based deployments.
Mattioli et al. [102] highlighted that data/information is a key ingredient for most data-driven AI applications. AI can help achieve a more holistic approach that would allow the implementation of a continuous approach addressing products/services but also processes or any other factors in an outcome-based approach in terms of information management. In this context, assessing the Information Quality (IQ) in terms of accuracy, timeliness, precision, reliability, completeness, relevancy, and so on is, therefore, one of the core aspects of AI. They conclude that the key point is to focus more on the outcome (quality in use oriented) and not only on the quality of the input (e.g., training dataset for ML). Moreover, the overall quality of the output must be widely considered.
In the context of Industry 4.0 automation and 6G, Pokhrel [103] identifies the need for learning from data streams that drive the convergence of AI and 6G. He develops a novel Semantic Communication (SC) framework based on the FL and Asynchronous Advantage Actor Critic (A3C) networks and discusses its potential along with transfer learning to address most of the new difficulties anticipated in 6G for industrial communication networks. The proposed framework has been evaluated with extensive simulation results.
Other problems related to 6G application of AI are highlighted by Zhang et al. [104]. They state that data compression is considered to be indispensable for 6G to achieve efficient data transmissions, increase spectrum efficiency, and reduce system latency. They show how the combination of encoding, deep compressed sensing, dual prediction, model compression, and distributed model update can help reduce the amount of data to be transmitted over IIoT networks. Accordingly, they propose a learning-based data compression scheme in an edge-cloud collaborative framework and conduct a case study by simulation. They showed that their learning-based data transmission methods can effectively reduce the volume of the transmitted data.
As an example of a different application field, Wiedau et al. [101] stated that current AI methods can often be ineffective in the process industry, usually due to insufficient data availability. Data exchange using classic data file formats (PDF, XML, CSV) is a good step in the right direction, but the state of the art and future technology should and will be data exchange between software platforms using direct data exchange to improve process optimization using AI methods. They showed that there is no single standard that meets all current requirements to effectively apply AI methods in the process industry in the areas of process optimization, process engineering, and plant maintenance. New standardization is needed in data exchange platforms, considering both the platform and the data view to promote data availability and integration in the field.
4.8. Related Case Studies
First, we summarize all related works in Table 11.
Table 11.
Summary of related works about case studies.
In this section, we have focused on case studies related to diverse uses of AI-driven industry in different countries on three continents. For instance, Sasiain et al. [105] present a sophisticated framework that combines NFV and SDN technologies within the scope of Industry 4.0. This framework, denoted as SN4I, is based on an ONOS network infrastructure and employs virtual services orchestrated by OpenStack and ONOS under the management of OSM. Moreover, SN4I encompasses a Wireless Sensor Network (WSN) for the surveillance of environmental variables, therefore supporting IIoT applications through the utilization of protocols, including IEEE 802.15.4, 6LoWPAN, and Routing Protocol for Low-Power and Lossy Networks (RPL). To ensure the integrity of service isolation, which is crucial for the preservation of data confidentiality and the prevention of performance degradation, the infrastructure employs virtual local area network (VLAN) segmentation alongside specific policy enactment within the ONOS controller.
Another study conducted by Patalas-Maliszewska et al. [106] presents a novel model for evaluating automation levels within manufacturing enterprises in the context of Industry 4.0. Utilizing AI and ANN, this model delineates business processes augmented by Information Technology (IT) systems specifically within the Maintenance Department. It establishes key effectiveness indicators to measure the performance of these processes and executes empirical investigations across Polish manufacturing firms. The collected data supports the development of an ANN-based classification model, which enables the precise and automated determination of automation levels, therefore assisting in the recognition of potential enhancement opportunities.
Additionally, Liang et al. [107] present a three-stage production process for the AI-driven manufacturing industry. This process involves AI technology development, application, and upgrade, driving income, intelligence indices, and production efficiency. Additionally, AI integrated into the process enhances efficiency, reduces costs, and monitors pollutant emissions. They use a three-stage interactive network DEA model to analyze efficiency, considering data generation and reuse at each stage. Furthermore, they conduct a case study on AI-driven low-carbon manufacturing production in 30 provinces in China, utilizing specific indicators collected from various statistical sources.
Finally, Ktari et al. [108] introduce a DL-based methodology encapsulated within a software framework. This framework provides symbolic and schematic representations of a computer system’s components, their interconnections, and interactions. The methodology encompasses three primary components: the display unit, the image processing unit, and the data storage unit for the water supplier. To address water consumption effectively, the researchers employ a hybrid model that detects, computes, and aims to reduce usage, all while acknowledging technological and infrastructural limitations. The employed image processing engine encompasses techniques for identifying water meter number contours, extracting these numbers, and calculating monthly usage. Integration of the Yolo object detection model with a mobile application is achieved through training and testing on the Darknet neural network. Furthermore, this study outlines a method for meter number extraction in the mobile application, utilizing OCR Tesseract for character recognition.
4.9. PhD/MSc Theses
Finally, in this section, we briefly overview the three related theses found in relation to the objectives of this paper.
De Coninck [109] devises the integration of the IoT in the manufacturing process is a key enabler, as it delivers the necessary information for context-aware assistance of people, machines, and robots active on the production floor in the execution of their tasks. With manufacturing moving to high-mix, low-volume production with high cycle rates, factory CPSs must be able to flexibly accommodate changing production floor configurations. Agile manufacturing thus requires a CPS software design that adheres to the principles of modularity, service orientation, and decentralization. Sensors, actuators, factory robots, and cloud-hosted components should be dynamically discovered as services that can be combined to realize distributed CPS applications. This work presents the design and implementation of a middleware solution allowing developers to build CPSs comprised of services communicating through well-defined service interfaces. It deploys an optimized component runtime on sensor gateways, robots, and the (edge) cloud that abstracts the deployment and communication between these components. The middleware dynamically discovers attached robots and sensors and exposes these as a service to other components. One key feature of the middleware is the advanced support for components that make use of ANNs. ANNs can generalize system input and are very well suited to discovering data patterns and take similar decisions in similar conditions. This is important in realistic environments, where various factors may impact the fidelity of sensor data, such as light conditions, noise based on time of the day, etc. These deep neural networks are very useful at both sensing and actuation endpoints of CPSs, e.g., for image classification, speech recognition, and visuomotor robotic control. Finally, a preliminary proof of concept was used for illustration purposes. Unfortunately, no particular study of available networking frameworks was conducted.
While De Coninck devises the integration of IoT in manufacturing processes, emphasizing the importance of context-aware assistance and the principles of modularity, service orientation, and decentralization in CPS software design, Loorpuu [110] works on facilitating the adoption of AI-based Predictive Maintenance Technology (PdM) in the manufacturing industry. The main problems highlighted in this research can be reduced to the following three relevant barriers: business case building for PdM; trust in AI-based PdM (lack of trust in big data analytical results) and data management for PdM (the challenge of collecting the data, utilizing it and making sense of it), in order to develop a best practices reference checklist for predictive maintenance project implementation that supports organizations by illustrating and bringing awareness to best practices that other organizations have been following during PdM implementation. The results were qualitatively validated by an expert panel. As with the previous work, it does not analyze the networking side of the picture.
Finally, Ravishankara [111] thesis tries to identify and address the current challenges associated with validating the AI software used in autonomous vehicles. Data-related issues, model-related issues, and security-related issues were identified as the main threats. Of these, this work mainly focuses on data-related issues. To address these issues, a framework and evaluation metrics were proposed and tested via experimentation. Based on the results of the experiments, a recommendation was made to improve the type of approval or safety assessment process.
5. Discussion: Research Trends and Open Challenges
Following the analysis detailed in Section 4, the following sections explore the key open challenges and research opportunities within the realm of AI-driven softwarized IIoT networks, including future 6G environments. Each challenge is thoroughly addressed in its own section, accompanied by an examination of potential research and development avenues associated with it.
5.1. Use Cases and Standards from Industry
Our investigation underscores a notable gap in effectively integrating academic solutions into practical environments or real-world specifications. Many existing studies predominantly rely on simulation, often without a qualitative assessment of the implications when implemented in actual platforms or standards. This gap consequently reduces the potential impact on industrial solutions. The challenge stems from the necessity of merging expertise from both computer science and computer networks to leverage AI in IIoT. This often results in either highly conceptual proposals, where AI expertise dominates, or overly simplistic AI models, where networking knowledge takes precedence.
Therefore, our recommendations encompass the following aspects:
- Research works concentrating on AI-enabled softwarized network environments (and not exclusively IIoT) should incorporate a final section that discusses recent platforms or standardization efforts, highlighting the feasibility of integration. For instance, in the specific case of 6G, as highlighted in the introduction, European Telecommunications Standards Institute (ETSI)’s MEC [112] and constrained MEC (cMEC) [113], as well as 3rd Generation Partnership Project (3GPP)’s EdgeApp [114] and SideLink [115] should be considered.
- Open-source communities can play a pivotal role as intermediaries between academic research and standards by developing small proof-of-concept projects, offering comprehensive documentation, and establishing mailing lists to facilitate a smooth learning curve for newcomers whenever feasible. Encouraging this collaborative effort is essential, particularly with support from relevant industries, including the Linux Foundation, with which both the Open Networking Foundation (ONF) [116] and ETSI [117] have recently affiliated.
5.2. Leveraging Real Infrastructures and Testbeds
In relation to the previous aspect, it is worth noting that many current research ideas, regardless of whether they address industry aspects, often overlook the implications of implementing their concepts in real infrastructures and testbeds. This oversight can limit the potential benefits of the idea, as it may prove to be non-scalable or entail high implementation costs in practice.
Therefore, our recommendations encompass the following aspects:
- Research works should, at a minimum, incorporate an analysis, if not an implementation, of their associated ideas on real hardware. Moreover, if infrastructure is unavailable, platforms such as IoT-Lab [118] or SLICES [119] are recommended as alternatives.
- Programmable hardware for Unmanned Aerial Vehicle (UAVs) or Automated Guided Vehicle (AGVs) (which represent common devices in IIoT scenarios) is not widespread, particularly in scenarios where performance is critical. Additionally, common AR/VR frameworks often present challenges for modification, functioning akin to proprietary hardware (for instance, Meta Quest headsets lack provisions for additional communication interfaces or the ability to distribute computational tasks). Consequently, further research efforts are necessary in this field.
- Additionally, it is also relevant to consider existing legacy and proprietary devices when designing AI-empowered IIoT networks. For instance, it is crucial to seamlessly integrate wired and wireless communication links. For that reason, all techniques and protocols need to embrace this diversity in their design principles, and following a progressive hybrid SDN [120] deployment might be desirable.
5.3. Model Training and Generation of Synthetic Network Traces
Although the integration of AI/ML in IIoT environments presents clear advantages, many techniques require input data, usually labeled, for model training. While utilizing publicly available repositories [121] is a possibility, they are scarce. Furthermore, each IIoT environment typically has unique characteristics, which presents challenges in training models with external data.
Consequently, the collection and harmonization of data, as mentioned earlier, along with the generation of synthetic network traces, emerge as potential solutions to facilitate model training. The synthesis of datasets has become essential in training ML and deep learning models, especially across various domains such as communication networks. This procedure relies heavily on GANs, an artificial intelligence model introduced in 2014 [122]. In the realm of communication networks, GANs plays a crucial role in advancing model training and performance by improving the quality and diversity of datasets [123]. In particular, the synthesis of high-fidelity network traces has attracted significant attention [124].
Therefore, our recommendations encompass the following aspects:
- Promoting the creation of new datasets and their public availability is paramount. Platforms like the Softwarized Network Data Zoo [121] or Kaggle’s datasets [125] offer valuable resources in this regard. While numerous editorials advocate for these datasets, additional incentives within academia are required to encourage researchers to share their datasets.
- Further exploration of GANs for diverse IIoT environments could significantly contribute to the implementation of AI-enabled scenarios.
6. Conclusions
In this survey, we have comprehensively revised the state of the art in relation to AI-empowered softwarized IIoT networks as a pivotal use case of future 6G deployments. First, we have provided basic definitions and set up the context and motivation, by analyzing related works. Subsequently, we have established a methodology for the study performed in our survey, and afterward, we have classified all works in the main driving categories following our examination. For each category, we summarized and compared these works both in text and with summary tables, particularly checking their contributions in the realm of advancing the state of the art of this 6G vertical sector.
Our study yields a relevant lack of integrated solutions, implementing practical scenarios leveraging AI and IoT for industrial environments. In general, many of the proposals are either very theoretical for AI or based on very simplified scenarios for AI when using simulation frameworks or platforms in relation to IoT, which limits the validation of results. Furthermore, none of the works reflect design ideas from standardization efforts such as 3GPP, which depletes their contributions. Since we are aware that this is a complex task (mixing expertise from industry and academia), the last section of this survey provides a final guide of potential ideas and recommendations that we hope serve as inspiration for future research efforts in the field.
Author Contributions
Conceptualization, E.R. and D.C.; methodology, E.R. and D.L.-P.; investigation, E.R., D.C., D.L.-P., J.A.-H., J.A.C., J.M.A. and I.M.-Y.; resources, E.R., J.A.C. and I.M.-Y.; papers searching and selecting, E.R. and D.L.-P.; writing-original draft preparation, E.R., D.C., D.L.-P., J.A.-H., J.A.C., J.M.A. and I.M.-Y.; writing—review and editing, E.R., D.C. and D.L.-P.; visualization, D.C. and D.L.-P.; supervision, E.R.; project administration, E.R., J.A.C. and I.M.-Y.; funding acquisition, E.R., J.A.C. and I.M.-Y. All authors have read and agreed to the published version of the manuscript.
Funding
This work was funded by grants from Universidad de Alcalá through “Contratos Predoctorales de Formación de Personal Investigador - FPI-UAH 2022” and “Ayudas para la Recualificación del Sistema Universitario”, from Comunidad de Madrid through project MistLETOE (CM/JIN/2021-006), by projects ONENESS (PID2020-116361RA-I00) and ADMINISTER (TED2021-131301B-I00) of the Spanish Ministry of Science and Innovation, and by the Spanish Ministry of Economic Affairs and Digital Transformation and the European Union-NextGenerationEU through the UNICO 5G I+D 6G-DATADRIVEN-02 project coordinated by Universidad Carlos III de Madrid.
Data Availability Statement
Data are contained within the article.
Conflicts of Interest
The authors declare no conflict of interest. The funders had no role in the design of the study; in the collection, analyses, or interpretation of data; in the writing of the manuscript, or in the decision to publish the results.
Abbreviations
The following abbreviations are used in this manuscript:
| 3GPP | 3rd Generation Partnership Project |
| 5G | the fifth generation of mobile technologies |
| 5G-ACIA | 5G Alliance for Connected Industries and Automation |
| 5G-PPP | 5G Infrastructure Public Private Partnership |
| 6G | the sixth generation of cellular networks |
| 6G-IA | 6G Smart Networks and Services Industry Association |
| A3C | Asynchronous Advantage Actor Critic |
| AEC | Architecture, Engineering and Construction |
| AGV | Automated Guided Vehicle |
| AI | Artificial Intelligence |
| ANN | Artificial Neural Network |
| AR | Augmented Reality |
| B5G | Beyond 5G |
| BMv2 | Behavioral Model version 2 |
| BOFUSS | Basic OpenFlow Software Switch |
| cMEC | constrained MEC |
| CNN | Convolutional Neural Networks |
| CPS | Cyber-Physical System |
| D2D | Device-to-Device |
| DDoS | Distributed Denial of Service |
| DL | Deep Learning |
| DRL | Deep Reinforcement Learning |
| DSCP | Differentiated Services Code Point |
| DT | Digital Twin |
| DV | Distance Vector |
| E2E | end-to-end |
| EC | European Commission |
| ENI | Experiential Networked Intelligence |
| ETSI | European Telecommunications Standards Institute |
| FL | Federated Learning |
| GAN | Generative Adversarial Network |
| ICPS | Industrial CPS |
| IIoE | Industrial IoE |
| IIoT | Industrial IoT |
| IoE | Internet of Everything |
| IoT | Internet of Things |
| IQ | Information Quality |
| ISAC | Integrated Sensing And Communications |
| ISG | Industry Specification Group |
| IT | Information Technology |
| JCR | Journal Citation Reports |
| JIF | Journal Impact Factor |
| KPI | Key Performance Indicator |
| KVI | Key Value Indicator |
| LEO | Low Earth Orbit |
| LF | Linux Foundation |
| LLDP | Link Layer Discovery Protocol |
| LLN | Low-power and Lossy Network |
| LSTM | Long Short-Term Memory |
| MAR | Mobile Augmented Reality |
| MEC | Multi-access Edge Computing |
| MES | Manufacturing Executing System |
| MFR | Mixed Fast Resilience |
| ML | Machine Learning |
| MMM | ML-based Mobility Management |
| MR | Mixed Reality |
| NFV | Network Function Virtualization |
| NR | New Radio |
| NTN | Non-Terrestrial Networks |
| ODL | OpenDaylight |
| OEE | Overall Equipment Efficiency |
| OF | OpenFlow |
| ONF | Open Networking Foundation |
| ONOS | Open Network Operating System |
| OPC UA | Open Platform Communications Unified Architecture |
| OSM | Open-Source MANO |
| OVS | Open vSwitch |
| P4 | Programming Protocol-Independent Packet Processors |
| PDD | Path Difference Degree |
| PdM | Predictive Maintenance Technology |
| QoE | Quality of Experience |
| QoS | Quality of Service |
| RDEC | Routing Decisions Through Energy-Cost Estimation |
| RL | Reinforcement Learning |
| RNNs | Recurrent Neural Networks |
| RPi | Raspberry Pi |
| RPL | Routing Protocol for Low-Power and Lossy Networks |
| RTT | Round-Trip Time |
| SC | Semantic Communication |
| SDCM | Software-Defined Cloud Manufacturing |
| SDIE | Software-Defined Industrial Ethernet |
| SDIN | Software-Defined Industrial Networks |
| SDN | Software-Defined Networking |
| SDO | Standards Development Organization |
| SDVE | Software-Defined Virtual Entities |
| SJR | Scimago Journal and Country Rank |
| SLICES | Scientific Large-Scale Infrastructure for Computing/Communication Experimental Studies |
| SME | Small and Medium-sized Enterprise |
| TSN | Time-Sensitive Networking |
| UAV | Unmanned Aerial Vehicle |
| UE | User Equipment |
| VLAN | virtual local area network |
| VM | Virtual Machine |
| VR | Virtual Reality |
| WSN | Wireless Sensor Network |
| XR | eXtended Reality |
References
- Letaief, K.B.; Chen, W.; Shi, Y.; Zhang, J.; Zhang, Y.J.A. The Roadmap to 6G: AI Empowered Wireless Networks. IEEE Commun. Mag. 2019, 57, 84–90. [Google Scholar] [CrossRef]
- Kong, L.; Tan, J.; Huang, J.; Chen, G.; Wang, S.; Jin, X.; Zeng, P.; Khan, M.; Das, S.K. Edge-Computing-Driven Internet of Things: A Survey. ACM Comput. Surv. 2022, 55, 174. [Google Scholar] [CrossRef]
- Gkonis, P.; Giannopoulos, A.; Trakadas, P.; Masip-Bruin, X.; D’Andria, F. A Survey on IoT-Edge-Cloud Continuum Systems: Status, Challenges, Use Cases, and Open Issues. Future Internet 2023, 15, 383. [Google Scholar] [CrossRef]
- 5G-ACIA. Key 5G Use Cases and Requirements. 5G-ACIA White Paper; 5G-ACIA: Frankfurt am Main, Germany, 2023. [Google Scholar]
- one6G Association. 6G & Robotics. 2023. Available online: https://one6g.org/download/2991/ (accessed on 1 April 2024).
- HEXA-X-II. Deliverable D1.2—6G Use Cases and Requirements. 2024. Available online: https://hexa-x-ii.eu/wp-content/uploads/2024/01/Hexa-X-II_D1.2.pdf (accessed on 1 April 2024).
- 5G-ACIA. 5G Alliance for Connected Industries and Automation. Available online: https://5g-acia.org/ (accessed on 1 April 2024).
- Cabrini, F.H.; Valiante Filho, F.; Rito, P.; Barros Filho, A.; Sargento, S.; Venâncio Neto, A.; Kofuji, S.T. Enabling the Industrial Internet of Things to Cloud Continuum in a Real City Environment. Sensors 2021, 21, 7707. [Google Scholar] [CrossRef] [PubMed]
- Rojas, E.; Carrascal, D.; Lopez-Pajares, D.; Manso, N.; Arco, J.M. Towards AI-enabled Cloud Continuum for IIoT: Challenges and Opportunities. In Proceedings of the 2024 International Conference on Artificial Intelligence, Computer, Data Sciences and Applications (ACDSA), Victoria, Seychelles, 1–2 February 2024; pp. 1–6. [Google Scholar] [CrossRef]
- 6G-IA. Key Strategies for 6G Smart Networks and Services. 2023. Available online: https://6g-ia.eu/wp-content/uploads/2023/10/6g-ia-position-paper_2023_final.pdf (accessed on 1 April 2024).
- Rajnai, Z.; Kocsis, I. Labor market risks of industry 4.0, digitization, robots and AI. In Proceedings of the 2017 IEEE 15th International Symposium on Intelligent Systems and Informatics (SISY), Subotica, Serbia, 14–16 September 2017; pp. 000343–000346. [Google Scholar] [CrossRef]
- Ehrlich, M.; Krummacker, D.; Fischer, C.; Guillaume, R.; Perez Olaya, S.S.; Frimpong, A.; de Meer, H.; Wollschlaeger, M.; Schotten, H.D.; Jasperneite, J. Software-Defined Networking as an Enabler for Future Industrial Network Management. In Proceedings of the 2018 IEEE 23rd International Conference on Emerging Technologies and Factory Automation (ETFA), Torino, Italy, 4–7 September 2018; Volume 1, pp. 1109–1112. [Google Scholar] [CrossRef]
- Patel, P.; Ali, M.I.; Sheth, A. From Raw Data to Smart Manufacturing: AI and Semantic Web of Things for Industry 4.0. IEEE Intell. Syst. 2018, 33, 79–86. [Google Scholar] [CrossRef]
- King, T.M.; Arbon, J.; Santiago, D.; Adamo, D.; Chin, W.; Shanmugam, R. AI for Testing Today and Tomorrow: Industry Perspectives. In Proceedings of the 2019 IEEE International Conference On Artificial Intelligence Testing (AITest), Newark, CA, USA, 4–9 April 2019; pp. 81–88. [Google Scholar] [CrossRef]
- Niewiadomski, P.; Stachowiak, A.; Pawlak, N. Knowledge on IT Tools Based on AI Maturity—Industry 4.0 Perspective. Procedia Manuf. 2019, 39, 574–582, 25th International Conference on Production Research Manufacturing Innovation: Cyber Physical Manufacturing August 9–14, 2019|Chicago, Illinois (USA). [Google Scholar] [CrossRef]
- Peres, R.S.; Jia, X.; Lee, J.; Sun, K.; Colombo, A.W.; Barata, J. Industrial Artificial Intelligence in Industry 4.0—Systematic Review, Challenges and Outlook. IEEE Access 2020, 8, 220121–220139. [Google Scholar] [CrossRef]
- Yang, C.; Lan, S.; Wang, L.; Shen, W.; Huang, G.G.Q. Big Data Driven Edge-Cloud Collaboration Architecture for Cloud Manufacturing: A Software Defined Perspective. IEEE Access 2020, 8, 45938–45950. [Google Scholar] [CrossRef]
- Smyth, C.; Dennehy, D.; Fosso-Wamba, S. A Review of AI in the Supply Chain Industry: Preliminary Findings. In Proceedings of the Responsible AI and Analytics for an Ethical and Inclusive Digitized Society: 20th IFIP WG 6.11 Conference on e-Business, e-Services and e-Society, I3E 2021, Galway, Ireland, 1–3 September 2021; Proceedings 20. Springer: Berlin/Heidelberg, Germany, 2021; pp. 454–466. [Google Scholar]
- Fornasiero, R.; Nettleton, D.F.; Kiebler, L.; Martinez de Yuso, A.; De Marco, C.E. AI and BD in process industry: A literature review with an operational perspective. In Proceedings of the IFIP International Conference on Advances in Production Management Systems, Nantes, France, 5–9 September 2021; Springer: Berlin/Heidelberg, Germany, 2021; pp. 576–585. [Google Scholar]
- Yangüez Cervantes, N.; Zapata-Jaramillo, C.M. Artificial Intelligence and Industry 4.0 Across the Continent: How AI and 4.0 are Addressed by Region. In Radical Solutions for Digital Transformation in Latin American Universities: Artificial Intelligence and Technology 4.0 in Higher Education; Springer: Berlin/Heidelberg, Germany, 2021; pp. 157–177. [Google Scholar]
- Babu Loganathan, G. Recent Scope for AI in the Food Production Industry Leading to the Fourth Industrial Revolution. Webology 2021, 18, 1066–1080. [Google Scholar]
- Dphil, A.V.; DIng, J.H.C.P. Industry 4.0—Artificial Intelligence (AI) contribution to capability maturity. In Proceedings of the International Annual Conference of the American Society for Engineering Management. American Society for Engineering Management (ASEM), Online, 27–30 October 2021; pp. 1–10. [Google Scholar]
- Wan, J.; Li, X.; Dai, H.N.; Kusiak, A.; Martínez-García, M.; Li, D. Artificial-Intelligence-Driven Customized Manufacturing Factory: Key Technologies, Applications, and Challenges. Proc. IEEE 2021, 109, 377–398. [Google Scholar] [CrossRef]
- Bousdekis, A.; Mentzas, G. Enterprise Integration and Interoperability for big data-driven processes in the Frame of Industry 4.0. Front. Big Data 2021, 4, 644651. [Google Scholar] [CrossRef]
- Huang, Z.; Shen, Y.; Li, J.; Fey, M.; Brecher, C. A Survey on AI-Driven Digital Twins in Industry 4.0: Smart Manufacturing and Advanced Robotics. Sensors 2021, 21, 6340. [Google Scholar] [CrossRef] [PubMed]
- Fraga-Lamas, P.; Lopes, S.I.; Fernández-Caramés, T.M. Green IoT and Edge AI as Key Technological Enablers for a Sustainable Digital Transition towards a Smart Circular Economy: An Industry 5.0 Use Case. Sensors 2021, 21, 5745. [Google Scholar] [CrossRef] [PubMed]
- Urrea, C.; Benítez, D. Software-Defined Networking Solutions, Architecture and Controllers for the Industrial Internet of Things: A Review. Sensors 2021, 21, 6585. [Google Scholar] [CrossRef] [PubMed]
- Mahmood, M.R.; Matin, M.A.; Sarigiannidis, P.; Goudos, S.K. A Comprehensive Review on Artificial Intelligence/Machine Learning Algorithms for Empowering the Future IoT Toward 6G Era. IEEE Access 2022, 10, 87535–87562. [Google Scholar] [CrossRef]
- Md, A.Q.; Jha, K.; Haneef, S.; Sivaraman, A.K.; Tee, K.F. A Review on Data-Driven Quality Prediction in the Production Process with Machine Learning for Industry 4.0. Processes 2022, 10, 1966. [Google Scholar] [CrossRef]
- Tambare, P.; Meshram, C.; Lee, C.C.; Ramteke, R.J.; Imoize, A.L. Performance Measurement System and Quality Management in Data-Driven Industry 4.0: A Review. Sensors 2022, 22, 224. [Google Scholar] [CrossRef]
- Terziyan, V.; Vitko, O. Explainable AI for Industry 4.0: Semantic Representation of Deep Learning Models. Procedia Computer Science 2022, 200, 216–226, 3rd International Conference on Industry 4.0 and Smart Manufacturing. [Google Scholar] [CrossRef]
- Regona, M.; Yigitcanlar, T.; Xia, B.; Li, R.Y.M. Opportunities and Adoption Challenges of AI in the Construction Industry: A PRISMA Review. J. Open Innov. Technol. Mark. Complex. 2022, 8, 45. [Google Scholar] [CrossRef]
- Emaminejad, N.; Akhavian, R. Trustworthy AI and robotics: Implications for the AEC industry. Autom. Constr. 2022, 139, 104298. [Google Scholar] [CrossRef]
- Beshley, M.; Klymash, M.; Scherm, I.; Beshley, H.; Shkoropad, Y. Emerging Network Technologies for Digital Transformation: 5G/6G, IoT, SDN/IBN, Cloud Computing, and Blockchain. In Proceedings of the IEEE lnternational Conference on Advanced Trends in Radioelectronics, Telecommunications and Computer Engineering, Lviv-Slavske, Ukraine, 22–26 February 2022; Springer: Berlin/Heidelberg, Germany, 2022; pp. 1–20. [Google Scholar]
- Yin, Y.; Zheng, P.; Li, C.; Wang, L. A state-of-the-art survey on Augmented Reality-assisted Digital Twin for futuristic human-centric industry transformation. Robot. Comput.-Integr. Manuf. 2023, 81, 102515. [Google Scholar] [CrossRef]
- Nabizadeh Rafsanjani, H.; Nabizadeh, A.H. Towards human-centered artificial intelligence (AI) in architecture, engineering, and construction (AEC) industry. Comput. Hum. Behav. Rep. 2023, 11, 100319. [Google Scholar] [CrossRef]
- Luley, P.P.; Deriu, J.M.; Yan, P.; Schatte, G.A.; Stadelmann, T. From Concept to Implementation: The Data-Centric Development Process for AI in Industry. In Proceedings of the 2023 10th IEEE Swiss Conference on Data Science (SDS), Zurich, Switzerland, 22–23 June 2023; pp. 73–76. [Google Scholar] [CrossRef]
- Rane, N. ChatGPT and Similar Generative Artificial Intelligence (AI) for Smart Industry: Role, challenges and opportunities for industry 4.0, industry 5.0 and society 5.0. Challenges Oppor. Ind. 2023, 4, 4603234. [Google Scholar] [CrossRef]
- El-Brawany, M.A.; Adel Ibrahim, D.; Elminir, H.K.; Elattar, H.M.; Ramadan, E. Artificial intelligence-based data-driven prognostics in industry: A survey. Comput. Ind. Eng. 2023, 184, 109605. [Google Scholar] [CrossRef]
- Ghildiyal, Y.; Singh, R.; Alkhayyat, A.; Gehlot, A.; Malik, P.; Sharma, R.; Akram, S.V.; Alkwai, L.M. An imperative role of 6G communication with perspective of industry 4.0: Challenges and research directions. Sustain. Energy Technol. Assessments 2023, 56, 103047. [Google Scholar] [CrossRef]
- Chi, H.R.; Wu, C.K.; Huang, N.F.; Tsang, K.F.; Radwan, A. A Survey of Network Automation for Industrial Internet-of-Things Toward Industry 5.0. IEEE Trans. Ind. Inform. 2023, 19, 2065–2077. [Google Scholar] [CrossRef]
- Jiang, J.; Lin, C.; Han, G.; Abu-Mahfouz, A.M.; Shah, S.B.H.; Martínez-García, M. How AI-enabled SDN technologies improve the security and functionality of industrial IoT network: Architectures, enabling technologies, and opportunities. Digit. Commun. Netw. 2023, 9, 1351–1362. [Google Scholar] [CrossRef]
- Agrawal, K.; Nargund, N. Deep Learning in Industry 4.0: Transforming Manufacturing Through Data-Driven Innovation. In Proceedings of the International Conference on Distributed Computing and Intelligent Technology, Bhubaneswar, India, 17–20 February 2024; Springer: Berlin/Heidelberg, Germany, 2024; pp. 222–236. [Google Scholar]
- Walia, G.K.; Kumar, M.; Gill, S.S. AI-Empowered Fog/Edge Resource Management for IoT Applications: A Comprehensive Review, Research Challenges, and Future Perspectives. IEEE Commun. Surv. Tutor. 2024, 26, 619–669. [Google Scholar] [CrossRef]
- Rezaee, M.R.; Abdul Hamid, N.A.W.; Hussin, M.; Zukarnain, Z.A. Fog Offloading and Task Management in IoT-Fog-Cloud Environment: Review of Algorithms, Networks, and SDN Application. IEEE Access 2024, 12, 39058–39080. [Google Scholar] [CrossRef]
- Alanhdi, A.; Toka, L. A Survey on Integrating Edge Computing With AI and Blockchain in Maritime Domain, Aerial Systems, IoT, and Industry 4.0. IEEE Access 2024, 12, 28684–28709. [Google Scholar] [CrossRef]
- Gartner. Gartner Magic Quadrant for SD-WAN. 2023. Available online: https://www.gartner.com/en/documents/4785231 (accessed on 1 April 2024).
- SDxCentral. 6 SASE and SD-WAN Trends to Watch. 2024. Available online: https://www.sdxcentral.com/articles/feature/6-sase-and-sd-wan-trends-to-watch (accessed on 1 April 2024).
- Li, X.; Li, D.; Wan, J.; Liu, C.; Imran, M. Adaptive Transmission Optimization in SDN-Based Industrial Internet of Things With Edge Computing. IEEE Internet Things J. 2018, 5, 1351–1360. [Google Scholar] [CrossRef]
- Govindaraj, K.; Grewe, D.; Artemenko, A.; Kirstaedter, A. Towards Zero Factory Downtime: Edge Computing and SDN as Enabling Technologies. In Proceedings of the 2018 14th International Conference on Wireless and Mobile Computing, Networking and Communications (WiMob), Limassol, Cyprus, 15–17 October 2018; pp. 285–290. [Google Scholar] [CrossRef]
- Bedhief, I.; Foschini, L.; Bellavista, P.; Kassar, M.; Aguili, T. Toward Self-Adaptive Software Defined Fog Networking Architecture for IIoT and Industry 4.0. In Proceedings of the 2019 IEEE 24th International Workshop on Computer Aided Modeling and Design of Communication Links and Networks (CAMAD), Limassol, Cyprus, 11–13 September 2019; pp. 1–5. [Google Scholar] [CrossRef]
- Bonada, F.; Echeverria, L.; Domingo, X.; Anzaldi, G. AI for improving the overall equipment efficiency in manufacturing industry. In New Trends in the Use of Artificial Intelligence for the Industry 4.0; IntechOpen: London, UK, 2020; p. 79. [Google Scholar]
- Mohamed, A.; Ruan, H.; Abdelwahab, M.H.H.; Dorneanu, B.; Xiao, P.; Arellano-Garcia, H.; Gao, Y.; Tafazolli, R. An Inter-Disciplinary Modelling Approach in Industrial 5G/6G and Machine Learning Era. In Proceedings of the 2020 IEEE International Conference on Communications Workshops (ICC Workshops), Online, 7–11 June 2020; pp. 1–6. [Google Scholar] [CrossRef]
- Qu, Y.; Pokhrel, S.R.; Garg, S.; Gao, L.; Xiang, Y. A Blockchained Federated Learning Framework for Cognitive Computing in Industry 4.0 Networks. IEEE Trans. Ind. Inform. 2021, 17, 2964–2973. [Google Scholar] [CrossRef]
- Zemrane, H.; Abbou, A.N.; Baddi, Y.; Hasbi, A. Internet of Things Smart Factories Ecosystem based on SDN. Procedia Comput. Sci. 2020, 175, 723–729, The 2nd International Workshop on Emerging Networks and Communications (IWENC). [Google Scholar] [CrossRef]
- Yang, C.; Lan, S.; Shen, W.; Wang, L.; Huang, G.Q. Software-defined Cloud Manufacturing with Edge Computing for Industry 4.0. In Proceedings of the 2020 International Wireless Communications and Mobile Computing (IWCMC), Limassol, Cyprus, 15–19 June 2020; pp. 1618–1623. [Google Scholar] [CrossRef]
- Reddy, V.; Venkatesh, K. Role of software-defined network in industry 4.0. In Internet of Things for Industry 4.0: Design, Challenges and Solutions; Springer: Berlin/Heidelberg, Germany, 2020; pp. 197–218. [Google Scholar]
- Okwuibe, J.; Haavisto, J.; Harjula, E.; Ahmad, I.; Ylianttila, M. SDN Enhanced Resource Orchestration of Containerized Edge Applications for Industrial IoT. IEEE Access 2020, 8, 229117–229131. [Google Scholar] [CrossRef]
- Papagianni, C.; Mangues-Bafalluy, J.; Bermudez, P.; Barmpounakis, S.; De Vleeschauwer, D.; Brenes, J.; Zeydan, E.; Casetti, C.; Guimarães, C.; Murillo, P.; et al. 5Growth: AI-driven 5G for Automation in Vertical Industries. In Proceedings of the 2020 European Conference on Networks and Communications (EuCNC), Dubrovnik, Croatia, 115–18 June 2020; pp. 17–22. [Google Scholar] [CrossRef]
- Josbert, N.N.; Ping, W.; Wei, M.; Rafiq, A. Solution for Industrial Networks: Resilience-based SDN Technology. In Proceedings of the 2021 IEEE 2nd International Conference on Big Data, Artificial Intelligence and Internet of Things Engineering (ICBAIE), Nanchang, China, 26–28 March 2021; pp. 392–400. [Google Scholar] [CrossRef]
- Josbert, N.N.; Ping, W.; Wei, M.; Li, Y. Industrial Networks Driven by SDN Technology for Dynamic Fast Resilience. Information 2021, 12, 420. [Google Scholar] [CrossRef]
- Padhi, P.K.; Charrua-Santos, F. 6G Enabled Industrial Internet of Everything: Towards a Theoretical Framework. Appl. Syst. Innov. 2021, 4, 11. [Google Scholar] [CrossRef]
- Rahman, A.; Chakraborty, C.; Anwar, A.; Karim, M.R.; Islam, M.J.; Kundu, D.; Rahman, Z.; Band, S.S. SDN–IoT empowered intelligent framework for industry 4.0 applications during COVID-19 pandemic. Clust. Comput. 2021, 2351–2368. [Google Scholar] [CrossRef] [PubMed]
- Mezair, T.; Djenouri, Y.; Belhadi, A.; Srivastava, G.; Lin, J.C.W. A sustainable deep learning framework for fault detection in 6G Industry 4.0 heterogeneous data environments. Comput. Commun. 2022, 187, 164–171. [Google Scholar] [CrossRef]
- Aminabadi, S.S.; Tabatabai, P.; Steiner, A.; Gruber, D.P.; Friesenbichler, W.; Habersohn, C.; Berger-Weber, G. Industry 4.0 In-Line AI Quality Control of Plastic Injection Molded Parts. Polymers 2022, 14, 3551. [Google Scholar] [CrossRef] [PubMed]
- Rojek, I.; Dostatni, E.; Kopowski, J.; Macko, M.; Mikołajewski, D. AI-Based Support System for Monitoring the Quality of a Product within Industry 4.0 Paradigm. Sensors 2022, 22, 8107. [Google Scholar] [CrossRef]
- Gong, Y.; Yao, H.; Wang, J.; Li, M.; Guo, S. Edge Intelligence-driven Joint Offloading and Resource Allocation for Future 6G Industrial Internet of Things. IEEE Trans. Netw. Sci. Eng. 2022; early access. [Google Scholar] [CrossRef]
- Ji, L.; He, S.; Wu, W.; Gu, C.; Bi, J.; Shi, Z. Dynamic Network Slicing Orchestration for Remote Adaptation and Configuration in Industrial IoT. IEEE Trans. Ind. Inform. 2022, 18, 4297–4307. [Google Scholar] [CrossRef]
- Alam, M.; Ahmed, N.; Matam, R.; Mukherjee, M.; Barbhuiya, F.A. SDN-Based Reconfigurable Edge Network Architecture for Industrial Internet of Things. IEEE Internet Things J. 2023, 10, 16494–16503. [Google Scholar] [CrossRef]
- Patel, D.; Lin, S.; Shah, D.; Jayaraman, S.; Ploennigs, J.; Bhamidipati, A.; Kalagnanam, J. AI model factory: Scaling AI for industry 4.0. applications. In Proceedings of the AAAI Conference on Artificial Intelligence, Washinghton, DC, USA, 7–14 February 2023; Volume 37, pp. 16467–16469. [Google Scholar]
- Eichelberger, H.; Palmer, G.; Niederée, C. Developing an AI-enabled Industry 4.0 platform-Performance experiences on deploying AI onto an industrial edge device. Softwaretechnik-Trends 2023, 43, 35–37. [Google Scholar]
- Mahmood, N.H.; Berardinelli, G.; Khatib, E.J.; Hashemi, R.; De Lima, C.; Latva-aho, M. A Functional Architecture for 6G Special-Purpose Industrial IoT Networks. IEEE Trans. Ind. Inform. 2023, 19, 2530–2540. [Google Scholar] [CrossRef]
- Okwuibe. GitHub Repository Handover2019okwuibe. 2020. Available online: https://github.com/jhvst/handover2019okwuibe (accessed on 1 April 2024).
- Sodhro, A.H.; Zahid, N.; Wang, L.; Pirbhulal, S.; Ouzrout, Y.; Sekhari Seklouli, A.; Lira Neto, A.V.; Macêdo, A.R.L.d.; Albuquerque, V.H.C.d. Toward ML-Based Energy-Efficient Mechanism for 6G Enabled Industrial Network in Box Systems. IEEE Trans. Ind. Inform. 2021, 17, 7185–7192. [Google Scholar] [CrossRef]
- Mukherjee, A.; Goswami, P.; Khan, M.A.; Manman, L.; Yang, L.; Pillai, P. Energy-Efficient Resource Allocation Strategy in Massive IoT for Industrial 6G Applications. IEEE Internet Things J. 2021, 8, 5194–5201. [Google Scholar] [CrossRef]
- Jiang, D.; Wang, Z.; Wang, W.; Lv, Z.; Choo, K.K.R. AI-Assisted Energy-Efficient and Intelligent Routing for Reconfigurable Wireless Networks. IEEE Trans. Netw. Sci. Eng. 2022, 9, 78–88. [Google Scholar] [CrossRef]
- Almuntasheri, S.A.; Alenazi, M.J.F. RDEC: Routing Decisions Through Energy-Cost Estimation for IIoT and IWSNs in SDN-Managed Industry 4.0. IEEE Access 2023, 11, 144244–144257. [Google Scholar] [CrossRef]
- Zeng, P.; Wang, Z.; Jia, Z.; Kong, L.; Li, D.; Jin, X. Time-slotted software-defined Industrial Ethernet for real-time Quality of Service in Industry 4.0. Future Gener. Comput. Syst. 2019, 99, 1–10. [Google Scholar] [CrossRef]
- Balasubramanian, V.; Aloqaily, M.; Reisslein, M. An SDN architecture for time sensitive industrial IoT. Comput. Netw. 2021, 186, 107739. [Google Scholar] [CrossRef]
- Bülbül, N.S.; Ergenç, D.; Fischer, M. SDN-based Self-Configuration for Time-Sensitive IoT Networks. In Proceedings of the 2021 IEEE 46th Conference on Local Computer Networks (LCN), Online, 4–7 October 2021; pp. 73–80. [Google Scholar] [CrossRef]
- Xu, H.; Wu, J.; Li, J.; Lin, X. Deep-Reinforcement-Learning-Based Cybertwin Architecture for 6G IIoT: An Integrated Design of Control, Communication, and Computing. IEEE Internet Things J. 2021, 8, 16337–16348. [Google Scholar] [CrossRef]
- Guo, Q.; Tang, F.; Kato, N. Federated Reinforcement Learning-Based Resource Allocation for D2D-Aided Digital Twin Edge Networks in 6G Industrial IoT. IEEE Trans. Ind. Inform. 2023, 19, 7228–7236. [Google Scholar] [CrossRef]
- Friederich, J.; Francis, D.P.; Lazarova-Molnar, S.; Mohamed, N. A framework for data-driven digital twins of smart manufacturing systems. Comput. Ind. 2022, 136, 103586. [Google Scholar] [CrossRef]
- Tang, Y.M.; Kuo, W.T.; Lee, C. Real-time Mixed Reality (MR) and Artificial Intelligence (AI) object recognition integration for digital twin in Industry 4.0. Internet Things 2023, 23, 100753. [Google Scholar] [CrossRef]
- Zhou, C.; Gao, J.; Li, M.; Cheng, N.; Shen, X.; Zhuang, W. Digital Twin-Based 3D Map Management for Edge-Assisted Device Pose Tracking in Mobile AR. IEEE Internet Things J. 2024, 17812–17826. [Google Scholar] [CrossRef]
- Villalonga, A.; Beruvides, G.; Castaño, F.; Haber, R.E. Cloud-Based Industrial Cyber–Physical System for Data-Driven Reasoning: A Review and Use Case on an Industry 4.0 Pilot Line. IEEE Trans. Ind. Inform. 2020, 16, 5975–5984. [Google Scholar] [CrossRef]
- Mantravadi, S.; Jansson, A.D.; Møller, C. User-Friendly MES Interfaces: Recommendations for an AI-Based Chatbot Assistance in Industry 4.0 Shop Floors. In Proceedings of the Intelligent Information and Database Systems; Nguyen, N.T., Jearanaitanakij, K., Selamat, A., Trawiński, B., Chittayasothorn, S., Eds.; Springer: Cham, Switzerland, 2020; pp. 189–201. [Google Scholar] [CrossRef]
- Singh Rajawat, A.; Bedi, P.; Goyal, S.; Shukla, P.K.; Zaguia, A.; Jain, A.; Monirujjaman Khan, M. Reformist framework for improving human security for mobile robots in industry 4.0. Mob. Inf. Syst. 2021, 2021, 4744220. [Google Scholar] [CrossRef]
- Dégallier-Rochat, S.; Kurpicz-Briki, M.; Endrissat, N.; Yatsenko, O. Human augmentation, not replacement: A research agenda for AI and robotics in the industry. Front. Robot. AI 2022, 9, 997386. [Google Scholar] [CrossRef]
- Tsuchiya, A.; Fraile, F.; Koshijima, I.; Ortiz, A.; Poler, R. Software defined networking firewall for industry 4.0 manufacturing systems. J. Ind. Eng. Manag. (JIEM) 2018, 11, 318–333. [Google Scholar] [CrossRef]
- Babiceanu, R.F.; Seker, R. Cyber resilience protection for industrial internet of things: A software-defined networking approach. Comput. Ind. 2019, 104, 47–58. [Google Scholar] [CrossRef]
- Holik, F.; Dolezel, P. Industrial network protection by SDN-based IPS with AI. In Proceedings of the Asian Conference on Intelligent Information and Database Systems, Phuket, Thailand, 23–26 March 2020; Springer: Berlin/Heidelberg, Germany, 2020; pp. 192–203. [Google Scholar]
- Rahman, A.; Sara, U.; Kundu, D.; Islam, S.; Islam, M.J.; Hasan, M.; Rahman, Z.; Nasir, M. Distbsdoindustry: Enhancing security in industry 4.0 services based on distributed blockchain through sdn-iot enabled architecture. Int. J. Adv. Comput. Sci. Appl. 2020, 11, 9. [Google Scholar]
- Zainudin, A.; Akter, R.; Kim, D.S.; Lee, J.M. FedDDoS: An Efficient Federated Learning-based DDoS Attacks Classification in SDN-Enabled IIoT Networks. In Proceedings of the 2022 13th International Conference on Information and Communication Technology Convergence (ICTC), Jeju Island, Republic of Korea, 19–21 October 2022; pp. 1279–1283. [Google Scholar] [CrossRef]
- Masood, A.B.; Hasan, A.; Vassiliou, V.; Lestas, M. A Blockchain-Based Data-Driven Fault-Tolerant Control System for Smart Factories in Industry 4.0. Comput. Commun. 2023, 204, 158–171. [Google Scholar] [CrossRef]
- Alcaraz, C.; Lopez, J. Protecting Digital Twin Networks for 6G-enabled Industry 5.0 Ecosystems. IEEE Netw. 2023, 37, 302–308. [Google Scholar] [CrossRef]
- Rahman, Z.; Yi, X.; Khalil, I. Blockchain-Based AI-Enabled Industry 4.0 CPS Protection Against Advanced Persistent Threat. IEEE Internet Things J. 2023, 10, 6769–6778. [Google Scholar] [CrossRef]
- Czeczot, G.; Rojek, I.; Mikołajewski, D.; Sangho, B. AI in IIoT Management of Cybersecurity for Industry 4.0 and Industry 5.0 Purposes. Electronics 2023, 12, 3800. [Google Scholar] [CrossRef]
- Hajlaoui, R.; Moulahi, T.; Zidi, S.; El Khediri, S.; Alaya, B.; Sherali, Z. Towards Smarter Cyberthreats Detection Model for Industrial Internet of Things (IIoT) 4.0. J. Ind. Inf. Integr. 2024, 39, 100595. [Google Scholar] [CrossRef]
- Schuh, G.; Scholz, P. Development of a Framework for the Systematic Identification of AI Application Patterns in the Manufacturing Industry. In Proceedings of the 2019 Portland International Conference on Management of Engineering and Technology (PICMET), Portland, OR, USA, 25–29 August 2019; pp. 1–8. [Google Scholar] [CrossRef]
- Wiedau, M.; Tolksdorf, G.; Oeing, J.; Kockmann, N. Towards a Systematic Data Harmonization to Enable AI Application in the Process Industry. Chem. Ing. Tech. 2021, 93, 2105–2115. Available online: https://onlinelibrary.wiley.com/doi/pdf/10.1002/cite.202100203 (accessed on 1 April 2024). [CrossRef]
- Mattioli, J.; Robic, P.O.; Jesson, E. Information Quality: The cornerstone for AI-based Industry 4.0. Procedia Comput. Sci. 2022, 201, 453–460, The 13th International Conference on Ambient Systems, Networks and Technologies (ANT)/The 5th International Conference on Emerging Data and Industry 4.0 (EDI40). [Google Scholar] [CrossRef]
- Pokhrel, S.R. Learning from data streams for automation and orchestration of 6G industrial IoT: Toward a semantic communication framework. Neural Comput. Appl. 2022, 34, 15197–15206. [Google Scholar] [CrossRef]
- Zhang, M.; Zhang, H.; Fang, Y.; Yuan, D. Learning-Based Data Transmissions for Future 6G Enabled Industrial IoT: A Data Compression Perspective. IEEE Netw. 2022, 36, 180–187. [Google Scholar] [CrossRef]
- Sasiain, J.; Sanz, A.; Astorga, J.; Jacob, E. Towards Flexible Integration of 5G and IIoT Technologies in Industry 4.0: A Practical Use Case. Appl. Sci. 2020, 10, 7670. [Google Scholar] [CrossRef]
- Patalas-Maliszewska, J.; Pająk, I.; Skrzeszewska, M. AI-based Decision-making Model for the Development of a Manufacturing Company in the context of Industry 4.0. In Proceedings of the 2020 IEEE International Conference on Fuzzy Systems (FUZZ-IEEE), Glasgow, UK, 19–24 July 2020; pp. 1–7. [Google Scholar] [CrossRef]
- Liang, S.; Yang, J.; Ding, T. Performance evaluation of AI driven low carbon manufacturing industry in China: An interactive network DEA approach. Comput. Ind. Eng. 2022, 170, 108248. [Google Scholar] [CrossRef]
- Ktari, J.; Frikha, T.; Hamdi, M.; Elmannai, H.; Hmam, H. Lightweight AI Framework for Industry 4.0 Case Study: Water Meter Recognition. Big Data Cogn. Comput. 2022, 6, 72. [Google Scholar] [CrossRef]
- De Coninck, E. Distributed Computing Platforms for Efficient Execution of Complex AI-Tasks Enabling Industry 4.0. Ph.D. Thesis, Ghent University, Ghent, Belgium, 2019. [Google Scholar]
- Loorpuu, A. Adoption of AI Based Predictive Maintenance Technologies in the Manufacturing Industry: Research to Determine and Develop the Suitable Best Practices Reference Checklist to Facilitate the Adoption of Artificial Intelligence Predictive Maintenance Technologies. Ph.D. Thesis, Delft University of Technology, Delft, The Netherlands, 2020. [Google Scholar]
- Ravishankaran, C. Impact on How AI in Automobile Industry has Affected the Type Approval Process at RDW. Master’s Thesis, University of Twente, Enschede, The Netherlands, 2021. [Google Scholar]
- ETSI. Multi-Access Edge Computing (MEC). Available online: https://www.etsi.org/technologies/multi-access-edge-computing (accessed on 1 April 2024).
- Rojas, E.; Guimaraes, C.; Oliva, A.d.l.; Bernardos, C.J.; Gazda, R. Beyond Multi-access Edge Computing: Essentials to realize a Mobile, Constrained Edge. IEEE Commun. Mag. 2023, 62, 156–162. [Google Scholar] [CrossRef]
- 3GPP. EDGEAPP: Roaming, Federation and Edge Node Sharing. 2023. Available online: https://www.3gpp.org/technologies/edge-app (accessed on 1 April 2024).
- 5G-ACIA. Using 5G sidelink in industrial factory applications. In 5G-ACIA White Paper; 5G-ACIA: Frankfurt am Main, Germany, 2023. [Google Scholar]
- Lehman, N. ONF Merges Market Leading Portfolio of Open Source Networking Projects into the Linux Foundation. 2023. Available online: https://www.linuxfoundation.org/press/onf-merges-market-leading-portfolio-of-networking-projects-into-linux-foundation (accessed on 1 April 2024).
- ETSI. Linux Foundation and ETSI Further Collaborate to Drive Harmonization Across Open Source and Open Standards. 2023. Available online: https://www.etsi.org/committee/mec?id=2278 (accessed on 1 April 2024).
- FIT. IoT-LAB The Very Large Scale IoT Testbed. Available online: https://www.iot-lab.info/ (accessed on 1 April 2024).
- SLICES-RI. Scientific LargeScale Infrastructure for Computing/Communication Experimental Studies. Available online: https://www.slices-ri.eu/ (accessed on 1 April 2024).
- Rojas, E.; Amin, R.; Guerrero, C.; Savi, M.; Rastegarnia, A. Challenges and Solutions for hybrid SDN. Comput. Netw. 2021, 195, 108198. [Google Scholar] [CrossRef]
- Peuster, M.; Schneider, S.; Karl, H. The Softwarised Network Data Zoo. In Proceedings of the 2019 15th International Conference on Network and Service Management (CNSM), Halifax, NS, Canada, 21–25 October 2019; pp. 1–5. [Google Scholar] [CrossRef]
- Goodfellow, I.; Pouget-Abadie, J.; Mirza, M.; Xu, B.; Warde-Farley, D.; Ozair, S.; Courville, A.; Bengio, Y. Generative adversarial networks. Commun. ACM 2020, 63, 139–144. [Google Scholar] [CrossRef]
- Navidan, H.; Moshiri, P.F.; Nabati, M.; Shahbazian, R.; Ghorashi, S.A.; Shah-Mansouri, V.; Windridge, D. Generative Adversarial Networks (GANs) in networking: A comprehensive survey & evaluation. Comput. Netw. 2021, 194, 108149. [Google Scholar]
- Jiang, X.; Liu, S.; Gember-Jacobson, A.; Schmitt, P.; Bronzino, F.; Feamster, N. Generative, High-Fidelity Network Traces. In Proceedings of the HotNets ’23: 22nd ACM Workshop on Hot Topics in Networks, Cambridge, MA, USA, 28–29 November 2023; pp. 131–138. [Google Scholar] [CrossRef]
- Kaggle—Find Open Datasets and Machine Learning Projects. Available online: https://www.kaggle.com/ (accessed on 1 April 2024).
Disclaimer/Publisher’s Note: The statements, opinions and data contained in all publications are solely those of the individual author(s) and contributor(s) and not of MDPI and/or the editor(s). MDPI and/or the editor(s) disclaim responsibility for any injury to people or property resulting from any ideas, methods, instructions or products referred to in the content. |
© 2024 by the authors. Licensee MDPI, Basel, Switzerland. This article is an open access article distributed under the terms and conditions of the Creative Commons Attribution (CC BY) license (https://creativecommons.org/licenses/by/4.0/).






