SSGNet: Selective Multi-Scale Receptive Field and Kernel Self-Attention Based on Group-Wise Modality for Brain Tumor Segmentation
Abstract
1. Introduction
- (1)
- We proposed SSGNet, which can fully utilize the special relationship combinations between modalities to improve segmentation performance.
- (2)
- We designed two different attention mechanisms, SMRF and SKSA, for use in the downsampling process of the encoder and applied them to groups T1 and T1ce, and groups T2 and FLAIR, respectively, to reduce information loss and capture more detailed features.
- (3)
- We developed a SCAM to be used for high-level semantic features, to guide the selection of low-level semantic features in skip connection layers.
- (4)
- Depth supervision was introduced to further improve the segmentation effect. The proposed model achieved state-of-the-art performance compared with more than twelve benchmarks.
2. Related Work
2.1. Deep-Learning-Based Methods for Medical Image Segmentation
2.2. The Attention-Based Module for Medical Image Segmentation
2.3. Modality-Based Methods for Medical Image Segmentation
3. Methodology
3.1. Network Architecture
3.2. Selective Multi-Scale Receptive Field Module (SMRF)
- (1)
- Layer 1: the kernel size is 3 × 3 × 3 → U1 → ;
- (2)
- Layer 2: the kernel size is 5 × 5 × 5 → U2 → ;
- (3)
- Layer 3: the kernel size is 7 × 7 × 7 → U3 → ;
- (4)
- Layer 4: the kernel size is 7 × 7 × 7 → U4 → .
3.3. Selective Kernel Self-Attention Module (SKSA)
3.4. Skip Connection Attention Module (SCAM)
4. Experiments
4.1. Datasets and Preprocessing
4.2. Implementation Details
4.3. Evaluation Metrics
5. Results
5.1. Comparison with Other Methods
5.2. Ablation Experiments
5.2.1. Ablation Study of Each Module in SSGNet
5.2.2. Ablation Experiments for SMRF and SKSA Modules
5.2.3. Ablation Experiments for SCAM Module
5.3. Comparative Experiment SMRF, SKSA, and SCAM Module with RFAConv and CAM Module
6. Discussion
7. Conclusions
Author Contributions
Funding
Data Availability Statement
Conflicts of Interest
References
- McFaline-Figueroa, J.R.; Lee, E.Q. Brain tumors. Am. J. Med. 2018, 131, 874–882. [Google Scholar] [CrossRef]
- DeAngelis, L.M. Brain tumors. N. Engl. J. Med. 2001, 344, 114–123. [Google Scholar] [CrossRef] [PubMed]
- Castro, M.G.; Cowen, R.; Williamson, I.K.; David, A.; Jimenez-Dalmaroni, M.J.; Yuan, X.; Bigliari, A.; Williams, J.C.; Hu, J.; Lowenstein, P.R. Current and future strategies for the treatment of malignant brain tumors. Pharmacol. Ther. 2003, 98, 71–108. [Google Scholar] [CrossRef] [PubMed]
- Dandy, W.E. Intracranial pressure without brain tumor: Diagnosis and treatment. Ann. Surg. 1937, 106, 492–513. [Google Scholar] [CrossRef] [PubMed]
- Alther, B.; Mylius, V.; Weller, M.; Gantenbein, A. From first symptoms to diagnosis: Initial clinical presentation of primary brain tumors. Clin. Transl. Neurosci. 2020, 4, 2514183X20968368. [Google Scholar] [CrossRef]
- Alentorn, A.; Hoang-Xuan, K.; Mikkelsen, T. Presenting signs and symptoms in brain tumors. Handb. Clin. Neurol. 2016, 134, 19–26. [Google Scholar]
- Brandsma, D.; Stalpers, L.; Taal, W.; Sminia, P.; van den Bent, M.J. Clinical features, mechanisms, and management of pseudoprogression in malignant gliomas. Lancet Oncol. 2008, 9, 453–461. [Google Scholar] [CrossRef]
- Omuro, A.; DeAngelis, L.M. Glioblastoma and other malignant gliomas: A clinical review. JAMA 2013, 310, 1842–1850. [Google Scholar] [CrossRef]
- Barnholtz-Sloan, J.S.; Ostrom, Q.T.; Cote, D. Epidemiology of brain tumors. Neurol. Clin. 2018, 36, 395–419. [Google Scholar] [CrossRef]
- Inoue, T.; Ogasawara, K.; Beppu, T.; Ogawa, A.; Kabasawa, H. Diffusion tensor imaging for preoperative evaluation of tumor grade in gliomas. Clin. Neurol. Neurosurg. 2005, 107, 174–180. [Google Scholar] [CrossRef]
- Bauer, S.; Wiest, R.; Nolte, L.-P.; Reyes, M. A survey of MRI-based medical image analysis for brain tumor studies. Phys. Med. Biol. 2013, 58, R97–R129. [Google Scholar] [CrossRef] [PubMed]
- Thoman, W.J.; Ammirati, M.; Caragine, L.P., Jr.; McGregor, J.M.; Sarkar, A.; Chiocca, E.A. Brain tumor imaging and surgical management: The neurosurgeon’s perspective. Top. Magn. Reson. Imaging 2006, 17, 121–126. [Google Scholar] [CrossRef] [PubMed]
- McAfee, J.G.; Taxdal, D.R. Comparison of radioisotope scanning with cerebral angiography and air studies in brain tumor localization. Radiology 1961, 77, 207–222. [Google Scholar] [CrossRef] [PubMed]
- Schillaci, O.; Filippi, L.; Manni, C.; Santoni, R. Single-photon emission computed tomography/computed tomography in brain tumors. Semin. Nucl. Med. 2007, 37, 34–47. [Google Scholar] [CrossRef]
- Tonarelli, L. Magnetic Resonance Imaging of Brain Tumor. 2013. Available online: https://cewebsource.com/lander (accessed on 11 May 2024).
- Auer, L.M.; Van Velthoven, V. Practical Handling of the US Probe During Investigation. In Intraoperative Ultrasound Imaging in Neurosurgery: Comparison with CT and MRI; Spring: Berlin/Heidelberg, Germany, 1990; pp. 10–21. [Google Scholar]
- Abd-Ellah, M.K.; Awad, A.I.; Khalaf, A.A.; Hamed, H.F. A review on brain tumor diagnosis from MRI images: Practical implications, key achievements, and lessons learned. Magn. Reson. Imaging 2019, 61, 300–318. [Google Scholar] [CrossRef] [PubMed]
- Sander, L.M.; Deisboeck, T.S. Growth patterns of microscopic brain tumors. Phys. Rev. E 2002, 66, 66–73. [Google Scholar] [CrossRef] [PubMed]
- Pereira, S.; Pinto, A.; Alves, V.; Silva, C.A. Brain tumor segmentation using convolutional neural networks in MRI images. IEEE Trans. Med. Imaging 2016, 35, 1240–1251. [Google Scholar] [CrossRef]
- Alam, M.T.; Nawal, N.; Nishi, N.J.; Sahan, M.; Islam, M.T. Automatic Brain Tumor Segmentation Using U-ResUNet Chain Model Approach. Ph.D. Thesis, Brac University, Dhaka, Bangladesh, 2021. [Google Scholar]
- Blanc, D. Artificial Intelligence Methods for Object Recognition: Applications in Biomedical Imaging. Ph.D. Thesis, Université de Montpellier, Montpellier, France, 2022. [Google Scholar]
- Xue, Y. Deep Generative Models for Medical Images and Beyond. Ph.D. Thesis, Pennsylvania State University, Pennsylvania, PA, USA, 2021. [Google Scholar]
- Weninger, L.; Rippel, O.; Koppers, S.; Merhof, D. Segmentation of brain tumors and patient survival prediction: Methods for the brats 2018 challenge. In Brainlesion: Glioma, Multiple Sclerosis, Stroke and Traumatic Brain Injuries, Proceedings of the 4th International Workshop, BrainLes 2018, Held in Conjunction with MICCAI 2018, Spain, Granada, 16 September 2019; Springer International Publishing: Berlin/Heidelberg, Germany, 2019; pp. 3–12. [Google Scholar]
- Menze, B.H.; Jakab, A.; Bauer, S.; Kalpathy-Cramer, J.; Farahani, K.; Kirby, J.; Burren, Y.; Porz, N.; Slotboom, J.; Wiest, R. The multimodal brain tumor image segmentation benchmark (BRATS). IEEE Trans. Med. Imaging 2014, 34, 1993–2024. [Google Scholar] [CrossRef]
- Bakas, S.; Akbari, H.; Sotiras, A.; Bilello, M.; Rozycki, M.; Kirby, J.S.; Freymann, J.B.; Farahani, K.; Davatzikos, C. Advancing the cancer genome atlas glioma MRI collections with expert segmentation labels and radiomic features. Sci. Data 2017, 4, 170117. [Google Scholar] [CrossRef]
- Bakas, S.; Reyes, M.; Jakab, A.; Bauer, S.; Rempfler, M.; Crimi, A.; Shinohara, R.T.; Berger, C.; Ha, S.M.; Rozycki, M. Identifying the best machine learning algorithms for brain tumor segmentation, progression assessment, and overall survival prediction in the BRATS challenge. arXiv 2018, arXiv:1811.02629. [Google Scholar]
- Ginat, D.T.; Meyers, S.P. Intracranial lesions with high signal intensity on T1-weighted MR images: Differential diagnosis. Radiographics 2012, 32, 499–516. [Google Scholar] [CrossRef]
- Zacharaki, E.I.; Wang, S.; Chawla, S.; Soo Yoo, D.; Wolf, R.; Melhem, E.R.; Davatzikos, C. Classification of brain tumor type and grade using MRI texture and shape in a machine learning scheme. Magn. Reson. Med. Off. J. Int. Soc. Magn. Reson. Med. 2009, 62, 1609–1618. [Google Scholar] [CrossRef]
- Whittall, K.P.; Mackay, A.L.; Graeb, D.A.; Nugent, R.A.; Li, D.K.; Paty, D.W. In vivo measurement of T2 distributions and water contents in normal human brain. Magn. Reson. Med. 1997, 37, 34–43. [Google Scholar] [CrossRef]
- Roozpeykar, S.; Azizian, M.; Zamani, Z.; Farzan, M.R.; Veshnavei, H.A.; Tavoosi, N.; Toghyani, A.; Sadeghian, A.; Afzali, M. Contrast-enhanced weighted-T1 and FLAIR sequences in MRI of meningeal lesions. Am. J. Nucl. Med. Mol. Imaging 2022, 12, 63–70. [Google Scholar]
- Liu, C.; Li, W.; Tong, K.A.; Yeom, K.W.; Kuzminski, S. Susceptibility-weighted imaging and quantitative susceptibility mapping in the brain. J. Magn. Reson. Imaging 2015, 42, 23–41. [Google Scholar] [CrossRef]
- Shi, T.; Jiang, H.; Zheng, B. C 2 MA-Net: Cross-modal cross-attention network for acute ischemic stroke lesion segmentation based on CT perfusion scans. IEEE Trans. Biomed. Eng. 2021, 69, 108–118. [Google Scholar] [CrossRef]
- Kalyan, K.S.; Rajasekharan, A.; Sangeetha, S. Ammus: A survey of transformer-based pretrained models in natural language processing. arXiv 2021, arXiv:2108.05542. [Google Scholar]
- Iqbal, S.; Ghani Khan, M.U.; Saba, T.; Mehmood, Z.; Javaid, N.; Rehman, A.; Abbasi, R. Deep learning model integrating features and novel classifiers fusion for brain tumor segmentation. Microsc. Res. Tech. 2019, 82, 1302–1315. [Google Scholar] [CrossRef]
- Long, J.; Shelhamer, E.; Darrell, T. Fully convolutional networks for semantic segmentation. In Proceedings of the IEEE Conference on Computer Vision and Pattern Recognition, Boston, MA, USA, 7–12 June 2015; pp. 3431–3440. [Google Scholar]
- Ronneberger, O.; Fischer, P.; Brox, T. U-net: Convolutional networks for biomedical image segmentation. In Proceedings of the Medical Image Computing and Computer-Assisted Intervention–MICCAI 2015: 18th International Conference, Munich, Germany, 5–9 October 2015; pp. 234–241. [Google Scholar]
- Huang, H.; Lin, L.; Tong, R.; Hu, H.; Zhang, Q.; Iwamoto, Y.; Han, X.; Chen, Y.W.; Wu, J. Unet 3+: A full-scale connected unet for medical image segmentation. In Proceedings of the ICASSP 2020–2020 IEEE International Conference on Acoustics, Speech and Signal Processing (ICASSP), Barcelona, Spain, 4–8 May 2020; pp. 1055–1059. [Google Scholar]
- Çiçek, Ö.; Abdulkadir, A.; Lienkamp, S.S.; Brox, T.; Ronneberger, O. 3D U-Net: Learning dense volumetric segmentation from sparse annotation. In Proceedings of the Medical Image Computing and Computer-Assisted Intervention–MICCAI 2016: 19th International Conference, Athens, Greece, 17–21 October 2016; pp. 424–432. [Google Scholar]
- Zhou, Z.; Rahman Siddiquee, M.M.; Tajbakhsh, N.; Liang, J. Unet++: A nested u-net architecture for medical image segmentation. In Proceedings of the Deep Learning in Medical Image Analysis and Multimodal Learning for Clinical Decision Support: 4th International Workshop, DLMIA 2018, and 8th International Workshop, ML-CDS 2018, Held in Conjunction with MICCAI 2018, Granada, Spain, 20 September 2018; pp. 3–11. [Google Scholar]
- Milletari, F.; Navab, N.; Ahmadi, S.A. V-net: Fully convolutional neural networks for volumetric medical image segmentation. In Proceedings of the 2016 Fourth International Conference on 3D Vision (3DV), Stanford, CA, USA, 25–28 October 2016; pp. 565–571. [Google Scholar]
- Chen, C.; Liu, X.; Ding, M.; Zheng, J.; Li, J. 3D dilated multi-fiber network for real-time brain tumor segmentation in MRI. In Proceedings of the Medical Image Computing and Computer Assisted Intervention–MICCAI 2019: 22nd International Conference, Shenzhen, China, 13–17 October 2019; pp. 184–192. [Google Scholar]
- Luo, Z.; Jia, Z.; Yuan, Z.; Peng, J. HDC-Net: Hierarchical decoupled convolution network for brain tumor segmentation. IEEE J. Biomed. Health Inform. 2020, 25, 737–745. [Google Scholar] [CrossRef] [PubMed]
- Guan, X.; Zhao, Y.; Nyatega, C.O.; Li, Q. Brain tumor segmentation network with multi-view ensemble discrimination and kernel-sharing dilated convolution. Brain Sci. 2023, 13, 650. [Google Scholar] [CrossRef] [PubMed]
- Liu, H.; Huang, J.; Li, Q.; Guan, X.; Tseng, M. A deep convolutional neural network for the automatic segmentation of glioblastoma brain tumor: Joint spatial pyramid module and attention mechanism network. Artif. Intell. Med. 2024, 148, 102776. [Google Scholar] [CrossRef]
- Xu, W.; Wang, J.; Wang, Y.; Xu, G.; Lin, D.; Dai, W.; Wu, Y. Where is the model looking at?–Concentrate and explain the network attention. IEEE J. Sel. Top. Signal Process. 2020, 14, 506–516. [Google Scholar] [CrossRef]
- Liu, D.; Sheng, N.; He, T.; Wang, W.; Zhang, J.; Zhang, J. SGEResU-Net for brain tumor segmentation. Math. Biosci. Eng. 2022, 19, 5576–5590. [Google Scholar] [CrossRef]
- Tian, W.; Li, D.; Lv, M.; Huang, P. Axial attention convolutional neural network for brain tumor segmentation with multi-modality MRI scans. Brain Sci. 2022, 13, 12. [Google Scholar] [CrossRef]
- Yang, L.; Zhai, C.; Liu, Y.; Yu, H. CFHA-Net: A polyp segmentation method with cross-scale fusion strategy and hybrid attention. Comput. Biol. Med. 2023, 164, 107301. [Google Scholar] [CrossRef]
- Chen, J.; Lu, Y.; Yu, Q.; Luo, X.; Adeli, E.; Wang, Y.; Lu, L.; Yuille, A.L.; Zhou, Y. Transunet: Transformers make strong encoders for medical image segmentation. arXiv 2021, arXiv:2102.04306. [Google Scholar]
- Lu, Y.; Chang, Y.; Zheng, Z.; Sun, Y.; Zhao, M.; Yu, B.; Tian, C.; Zhang, Y. GMetaNet: Multi-scale ghost convolutional neural network with auxiliary MetaFormer decoding path for brain tumor segmentation. Biomed. Signal Process. Control 2023, 83, 104694. [Google Scholar] [CrossRef]
- Zhang, W.; Chen, S.; Ma, Y.; Liu, Y.; Cao, X. ETUNet: Exploring efficient transformer enhanced UNet for 3D brain tumor segmentation. Comput. Biol. Med. 2024, 171, 108005. [Google Scholar] [CrossRef]
- Wang, Y.; Zhang, Y.; Hou, F.; Liu, Y.; Tian, J.; Zhong, C.; Zhang, Y.; He, Z. Modality-pairing learning for brain tumor segmentation. In Proceedings of the Brainlesion: Glioma, Multiple Sclerosis, Stroke and Traumatic Brain Injuries: 6th International Workshop, BrainLes 2020, Held in Conjunction with MICCAI 2020, Lima, Peru, 4 October 2021; pp. 230–240. [Google Scholar]
- Li, X.; Jiang, Y.; Li, M.; Zhang, J.; Yin, S.; Luo, H. MSFR-Net: Multi-modality and single-modality feature recalibration network for brain tumor segmentation. Med. Phys. 2023, 50, 2249–2262. [Google Scholar] [CrossRef]
- Zhou, T.; Ruan, S.; Vera, P.; Canu, S. A Tri-Attention fusion guided multi-modal segmentation network. Pattern Recognit. 2022, 124, 108417. [Google Scholar] [CrossRef]
- Lin, J.; Lin, J.; Lu, C.; Chen, H.; Lin, H.; Zhao, B.; Shi, Z.; Qiu, B.; Pan, X.; Xu, Z. CKD-TransBTS: Clinical knowledge-driven hybrid transformer with modality-correlated cross-attention for brain tumor segmentation. IEEE Trans. Med. Imaging 2023, 42, 2451–2461. [Google Scholar] [CrossRef] [PubMed]
- Jiao, C.; Yang, T.; Yan, Y.; Yang, A. RFTNet: Region–Attention Fusion Network Combined with Dual-Branch Vision Transformer for Multimodal Brain Tumor Image Segmentation. Electronics 2023, 13, 77. [Google Scholar] [CrossRef]
- Zhuang, Y.; Liu, H.; Song, E.; Hung, C.C. A 3D cross-modality feature interaction network with volumetric feature alignment for brain tumor and tissue segmentation. IEEE J. Biomed. Health Inform. 2022, 27, 75–86. [Google Scholar] [CrossRef] [PubMed]
- Zhang, X.; Liu, C.; Yang, D.; Song, T.; Ye, Y.; Li, K.; Song, Y. Rfaconv: Innovating spatital attention and standard convolutional operation. arXiv 2023, arXiv:2304.03198. [Google Scholar]
- Huang, G.; Zhu, J.; Li, J.; Wang, Z.; Cheng, L.; Liu, L.; Li, H.; Zhou, J. Channel-attention U-Net: Channel attention mechanism for semantic segmentation of esophagus and esophageal cancer. IEEE Access. 2020, 8, 122798–122810. [Google Scholar] [CrossRef]
- Zhang, Y.; He, N.; Yang, J.; Li, Y.; Wei, D.; Huang, Y.; Zhang, Y.; He, Z.; Zheng, Y. mmformer: Multimodal medical transformer for incomplete multimodal learning of brain tumor segmentation. In Proceedings of the International Conference on Medical Image Computing and Computer-Assisted Intervention, Singapore, 18–22 September 2022; Springer Nature: Cham, Switzerland, 2022; pp. 107–117. [Google Scholar]
- Baid, U.; Ghodasara, S.; Mohan, S.; Bilello, M.; Calabrese, E.; Colak, E.; Farahani, K.; Kalpathy-Cramer, J.; Kitamura, F.C.; Pati, S. The rsna-asnr-miccai brats 2021 benchmark on brain tumor segmentation and radiogenomic classification. arXiv 2021, arXiv:2107.02314. [Google Scholar]














| Basic Configuration | Value |
|---|---|
| PyTorch Version | 1.10.0 |
| Python | 3.8.10 |
| GPU | NVIDIA GeForce RTX 3090(24G) |
| Cuda | 11.3 |
| Learning Rate | 1 × 104 |
| Optimizer | ranger |
| Batch Size | 1 |
| Input Size | 128 × 128 × 128 |
| Output Size | 128 × 128 × 128 |
| Method | WT | TC | ET | Avg | ||||
|---|---|---|---|---|---|---|---|---|
| Dice | HD95 | Dice | HD95 | Dice | HD95 | Dice | HD95 | |
| 3D U-Net [38] (2016) | 88.53 | 17.10 | 71.77 | 11.62 | 75.96 | 6.04 | 78.75 | 11.59 |
| V-Net [40] (2016) | 89.60 | 6.54 | 81.00 | 7.82 | 76.60 | 7.21 | 82.40 | 7.19 |
| DMFNet [41] (2019) | 89.90 | 4.86 | 83.50 | 7.74 | 78.10 | 3.38 | 83.83 | 5.33 |
| HDCNet [42] (2020) | 88.50 | 7.89 | 84.80 | 7.09 | 76.60 | 7.21 | 83.30 | 7.40 |
| TransUNet [49] (2022) | 89.95 | 7.11 | 82.04 | 7.67 | 78.38 | 4.28 | 83.46 | 6.35 |
| Mmformer [60] (2022) | 89.56 | 4.43 | 83.33 | 8.04 | 78.75 | 3.27 | 83.88 | 5.25 |
| MVKS-Net [43] (2023) | 90.00 | 3.95 | 83.39 | 7.63 | 79.88 | 2.31 | 84.42 | 4.63 |
| ACMINet [57] (2023) | 90.41 | - | 84.96 | - | 81.52 | - | 85.63 | - |
| MSFR-Net [53] (2023) | 90.90 | 4.24 | 85.80 | 6.72 | 80.70 | 2.73 | 85.80 | 4.82 |
| RFTNet [56] (2024) | 90.30 | 5.97 | 82.15 | 6.41 | 80.24 | 3.16 | 84.23 | 5.18 |
| ETUNet [51] (2024) | 90.00 | 6.67 | 85.20 | 7.40 | 81.00 | 6.01 | 85.40 | 6.69 |
| SPA-Net [44] (2024) | 89.63 | 4.79 | 85.89 | 5.40 | 79.90 | 2.77 | 85.14 | 4.32 |
| SSGNET (Ours) | 91.04 | 4.62 | 86.64 | 5.75 | 81.11 | 2.68 | 86.26 | 4.35 |
| Experiment | SMRF | SKSA | SCAM | DP | Dice (%) | Avg | ||
|---|---|---|---|---|---|---|---|---|
| WT | TC | ET | ||||||
| A | 89.29 | 82.36 | 78.97 | 83.54 | ||||
| B | √ | √ | 90.27 | 84.06 | 78.73 | 84.36 | ||
| C | √ | √ | √ | 90.11 | 85.55 | 80.37 | 85.34 | |
| D | √ | √ | √ | 89.63 | 85.36 | 79.15 | 84.71 | |
| E (SSGNet) | √ | √ | √ | √ | 91.04 | 86.64 | 81.11 | 86.26 |
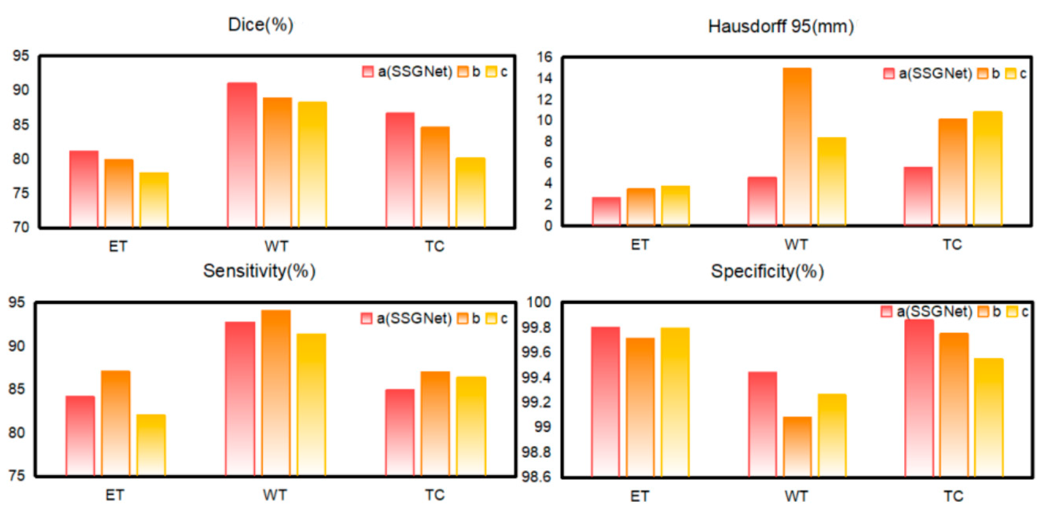
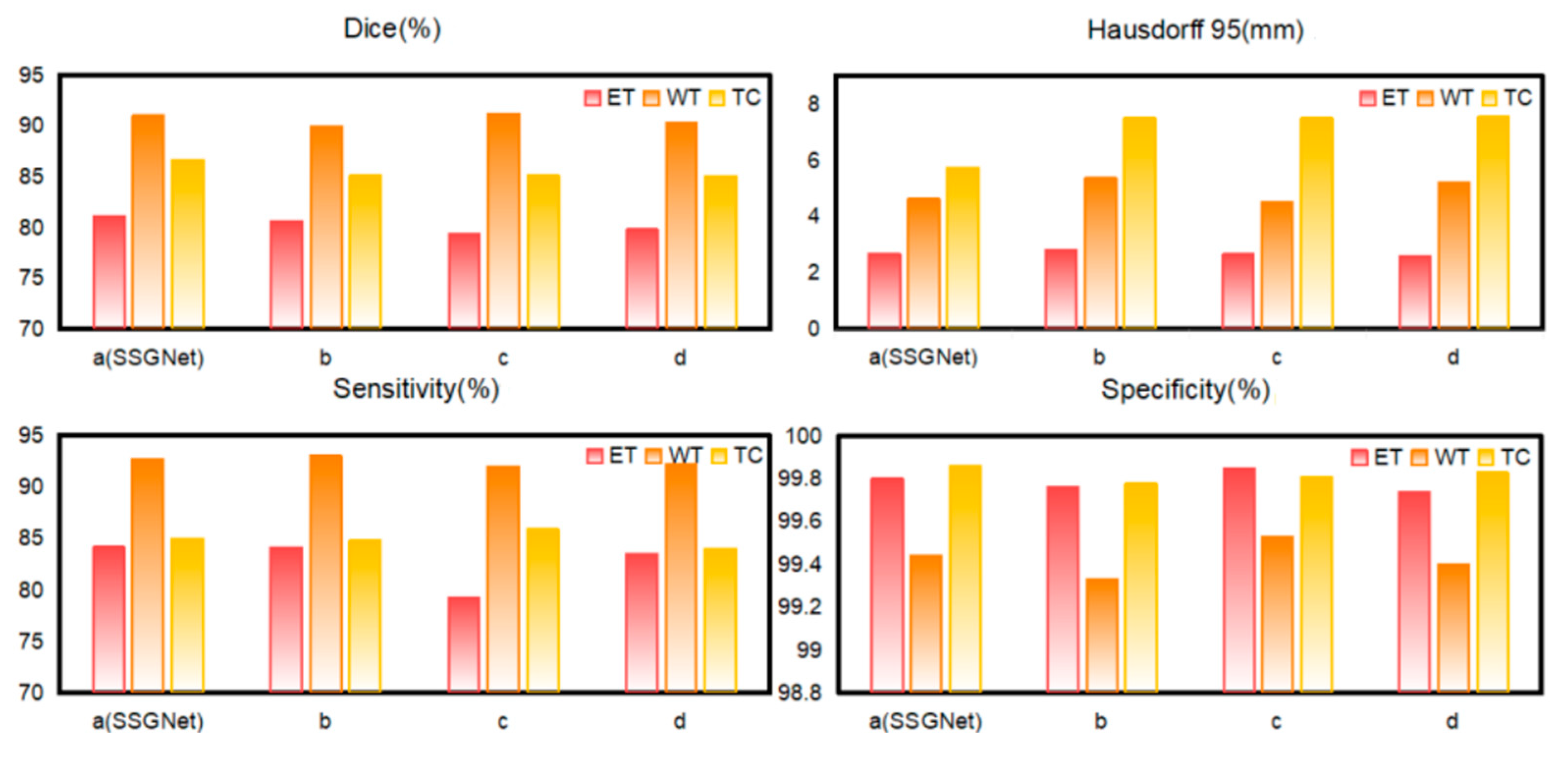
| Experiment | Dice (%) | Hausdorff 95 (mm) | ||||
|---|---|---|---|---|---|---|
| WT | TC | ET | WT | TC | ET | |
| a (SSGNet) | 91.04 | 86.64 | 81.11 | 4.62 | 5.75 | 2.68 |
| b | 90.02 | 85.12 | 80.67 | 5.37 | 7.51 | 2.80 |
| c | 91.20 | 85.19 | 79.37 | 4.50 | 7.50 | 2.66 |
| d | 90.32 | 85.06 | 79.82 | 5.21 | 7.54 | 2.61 |
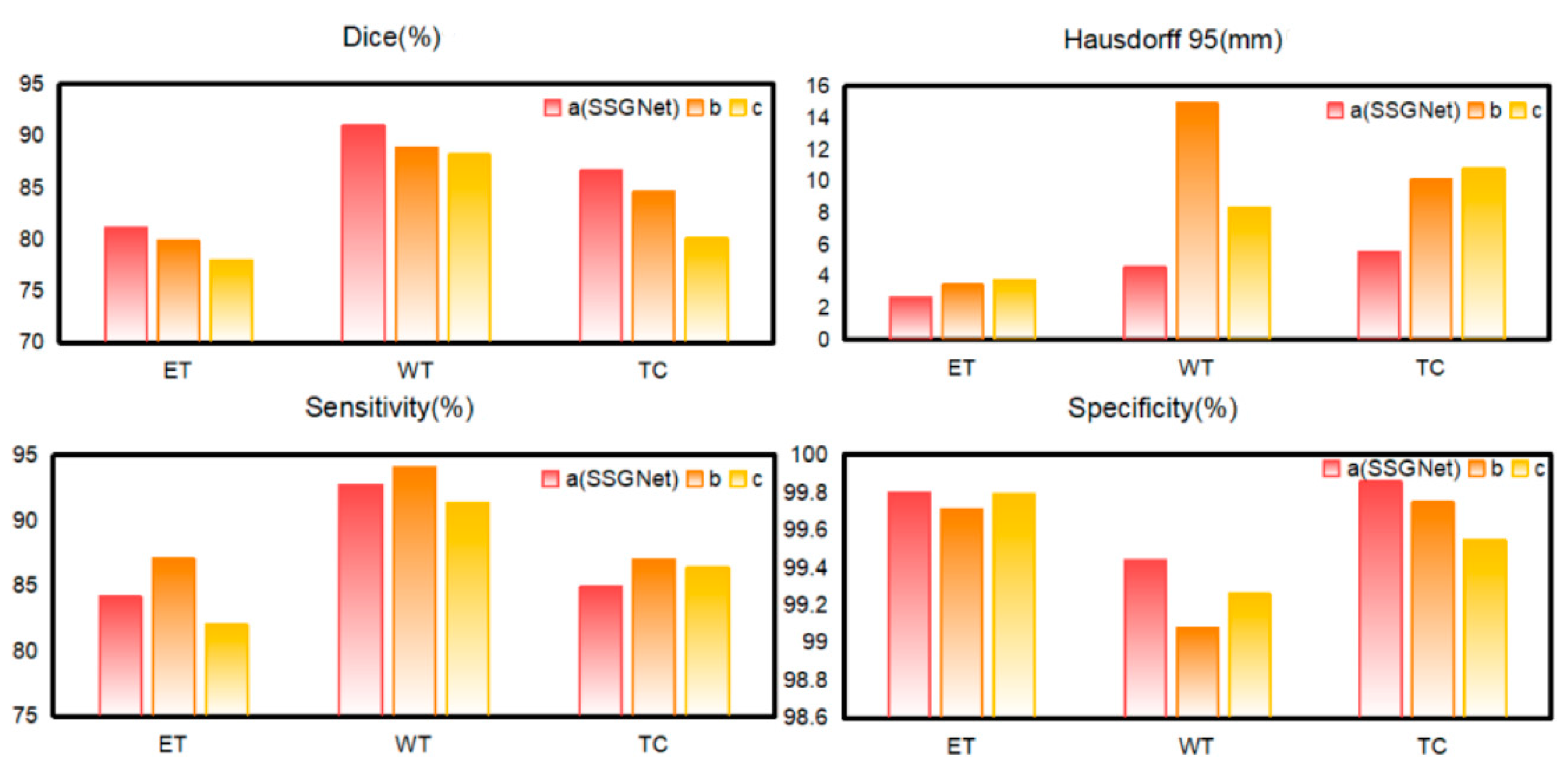
| Experiment | Dice (%) | Hausdorff 95 (mm) | ||||
|---|---|---|---|---|---|---|
| WT | TC | ET | WT | TC | ET | |
| e (SSGNet) | 91.04 | 86.64 | 81.11 | 4.62 | 5.75 | 2.68 |
| f | 88.89 | 84.62 | 79.86 | 14.91 | 10.10 | 3.48 |
| g | 88.20 | 80.17 | 77.99 | 8.34 | 10.79 | 3.77 |
| Experiment | SCAM | Dice (%) | |||||
|---|---|---|---|---|---|---|---|
| Layer 1 | Layer 2 | Layer 3 | Layer 4 | WT | TC | ET | |
| A | 89.63 | 85.36 | 79.15 | ||||
| B | √ | 90.86 | 85.49 | 79.33 | |||
| C (SSGNet) | √ | √ | 91.04 | 86.64 | 81.11 | ||
| D | √ | √ | √ | 90.89 | 86.10 | 80.41 | |
| E | √ | √ | √ | √ | 90.88 | 85.00 | 80.50 |
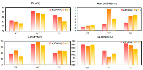
| Method | Dice(%) | Avg | Dataset | ||
|---|---|---|---|---|---|
| WT | TC | ET | |||
| (a): Replace SCAM with CAM in the proposed model | 90.86 | 86.44 | 77.67 | 84.99 | BraTS2018 |
| (b): Replace SMRF and SKSA with RFAConv in the proposed model | 86.45 | 84.57 | 79.46 | 83.49 | |
| (c): Proposed model (SSGNet) | 91.04 | 86.64 | 81.11 | 86.26 | |
Disclaimer/Publisher’s Note: The statements, opinions and data contained in all publications are solely those of the individual author(s) and contributor(s) and not of MDPI and/or the editor(s). MDPI and/or the editor(s) disclaim responsibility for any injury to people or property resulting from any ideas, methods, instructions or products referred to in the content. |
© 2024 by the authors. Licensee MDPI, Basel, Switzerland. This article is an open access article distributed under the terms and conditions of the Creative Commons Attribution (CC BY) license (https://creativecommons.org/licenses/by/4.0/).
Share and Cite
Guo, B.; Cao, N.; Yang, P.; Zhang, R. SSGNet: Selective Multi-Scale Receptive Field and Kernel Self-Attention Based on Group-Wise Modality for Brain Tumor Segmentation. Electronics 2024, 13, 1915. https://doi.org/10.3390/electronics13101915
Guo B, Cao N, Yang P, Zhang R. SSGNet: Selective Multi-Scale Receptive Field and Kernel Self-Attention Based on Group-Wise Modality for Brain Tumor Segmentation. Electronics. 2024; 13(10):1915. https://doi.org/10.3390/electronics13101915
Chicago/Turabian StyleGuo, Bin, Ning Cao, Peng Yang, and Ruihao Zhang. 2024. "SSGNet: Selective Multi-Scale Receptive Field and Kernel Self-Attention Based on Group-Wise Modality for Brain Tumor Segmentation" Electronics 13, no. 10: 1915. https://doi.org/10.3390/electronics13101915
APA StyleGuo, B., Cao, N., Yang, P., & Zhang, R. (2024). SSGNet: Selective Multi-Scale Receptive Field and Kernel Self-Attention Based on Group-Wise Modality for Brain Tumor Segmentation. Electronics, 13(10), 1915. https://doi.org/10.3390/electronics13101915

