Next Article in Journal
Stability Analysis via Impedance Modelling of a Real-World Wind Generation System with AC Collector and LCC-Based HVDC Transmission Grid
Previous Article in Journal
SSGNet: Selective Multi-Scale Receptive Field and Kernel Self-Attention Based on Group-Wise Modality for Brain Tumor Segmentation
Previous Article in Special Issue
Optical Frequency Comb Generator Employing Two Cascaded Frequency Modulators and Mach–Zehnder Modulator
 
 
Font Type:
Arial Georgia Verdana
Font Size:
Aa Aa Aa
Line Spacing:
Column Width:
Background:
Article

The Research on Large-Mode-Area Anti-Bending, Polarization-Insensitive, and Non-Resonant Optical Fibers

College of Optoelectronic Engineering, Nanjing University of Posts and Telecommunications, Nanjing 210003, China
*
Author to whom correspondence should be addressed.
Electronics 2024, 13(10), 1916; https://doi.org/10.3390/electronics13101916
Submission received: 12 March 2024 / Revised: 6 May 2024 / Accepted: 10 May 2024 / Published: 14 May 2024
(This article belongs to the Special Issue Optical Fiber and Optical Communication)

Abstract

In this paper, we propose a novel type of hollow-core anti-resonance fiber (HC-ARF). The cladding region of this fiber is formed by a combination of nested tubes and U-shaped tubes, and the centrally symmetric arrangement significantly reduces sensitivity to polarization. The influence of parameters on the performance of the designed HC-ARF LMA is analyzed by a finite element algorithm. The simulation results demonstrate that the designed structure achieves a large mode area of 3180 µm2, bending loss of 2 × 10−2 dB/km, and confinement loss of 5 × 10−3 dB/km at a wavelength of 1064 nm. Similarly, at a wavelength of 1550 nm, the large mode area, bending loss, and confinement loss are 3180 µm2, 1.4 × 10−2 dB/km, and 4 × 10−2 dB/km, respectively. These results indicate unprecedentedly large mode areas and ultra-low losses compared to previous studies. Within the bending radius under consideration, the bending loss remains below 1.35 × 10−2 dB/km. Furthermore, by increasing the fiber radius, the large mode area can reach an extraordinary 6250 µm2. The proposed device exhibits excellent mode area and outstanding polarization insensitivity, along with favorable bending performance. We believe that the designed fiber holds promising applications in high-power miniaturized fiber lasers, fiber amplifiers, and various high-power fiber communication systems, and it can be applied in sensors that require polarization insensitivity and better bending performance.

1. Introduction

Large Mode Area (LMA) single-mode fiber, as a crucial optical transmission medium, plays a significant role in increasing the mode field area to effectively reduce laser power density while ensuring single-mode operation. It can substantially mitigate the impact of nonlinear effects, address transverse mode instability issues, and holds crucial significance in overcoming the development bottlenecks of high-power lasers [1,2,3,4,5]. To advance high-performance single-mode LMA fibers, innovative exploration of new LMA fiber types is urgently needed. LMA single-mode fibers with polarization insensitivity and excellent bending resistance are fundamental materials for the development of high-power miniaturized fiber lasers. Traditional step-index structured LMA fibers face constraints due to the inherent contradictions among LMA, single-mode operation, and low bending loss (BL) [6]. Additionally, they exhibit significant differences in mode field areas under different polarization conditions, making them unsuitable for stable development of high-power miniaturized fiber lasers [7]. As a novel fiber material, anti-resonance fiber (ARF) has gained attention due to its significant reduction in confinement loss [8]. Polarization-insensitive, anti-bending large mode area ARF, with its ultra-large mode field area, low BL, and low confinement loss (CL), holds important exploratory and application prospects in LMA research.
ARF can be categorized into an all-solid-state and hollow-core [9,10,11,12,13]. All-solid-state ARF has relatively high requirements for material doping [14,15,16,17] and fabrication processes. On the other hand, Hollow Core Anti-Resonant Optical Fiber (HC-ARF) offers longer transmission distances, lower transmission losses, higher mode purity, and higher laser thresholds [18,19,20,21]. Therefore, hollow-core ARF holds broader application prospects in short-distance, high-capacity, high-speed optical communication, and other fields.
In 2007, Yukihiro Tsuchida and colleagues [22] proposed the design of a single-mode holey fiber with a large mode area and low bending loss. The LMA was approximately 1400 μm2, and at a wavelength of 1.064 µm, the CL exceeded 1 dB/m for high-order modes, resulting in significant loss and a relatively small mode field area. A few years later, B.L. Behera and others [23] introduced the design of a bend-insensitive micro-structured core fiber (MCF) with a larger LMA at a wavelength of 1550 nm, showing BL of <0.1 dB/m, yet with higher overall losses and a smaller LMA. In 2019, Yan and colleagues [24] proposed a single-mode LMA double-ring hollow-core anti-resonance fiber for high-power transmission in the mid-infrared region. At a wavelength of 2.8 µm, the LMA could reach 2314 μm2, and with a fiber bending radius of 18 cm, the LMA reached 2268 μm2 at the same wavelength. However, it exhibited sensitivity to polarization direction, limiting the stable and efficient transmission of information when the polarization state changed. In 2021, Zhen and colleagues [25] introduced a novel dual-layer all-solid anti-resonance fiber (DL-AAF), achieving a mode field area of 3030 μm2 at a wavelength of 1.064 µm. However, it suffered from high bending loss and polarization sensitivity. Two years later, Tian and others [26] proposed a LMA solid-core anti-resonance fiber with dual anti-resonance elements to maintain polarization. The LMA was 3026 μm2, BL was below 0.0067 dB/m, and CL was below 0.0084 dB/m. Nevertheless, it exhibited noticeable polarization separation, sensitivity, and relatively high losses, limiting its application in high-power lasers. Recently, Jie and colleagues [27] introduced a bend-resistant large mode area photonic crystal fiber, achieving the highest losses for each mode down to 5.65 × 10−5 dB/km. However, its LMA did not exceed 1200 μm2. In the latest research achievement, Huang et al. [28] have developed a type of negative curvature nested-nodeless anti-resonant hollow-core fiber (AR-HCF), with an ultra-low loss of 3.28 × 10−4 dB/m at a wavelength of 2.79 μm. When the bending radius is 30 mm, the bending loss is only 4.72 × 10−2 dB/m.
To achieve low losses in HC-ARF fibers, this paper, based on a combination of the ARROW model and the suppressed coupling model for the guiding mechanism, presents a model for a hollow-core anti-resonance fiber with a combined circular and U-shaped quartz elliptical nested structure. In the study of the aforementioned LMA fiber, it was observed that changes in polarization significantly alter the mode field area. The newly proposed model effectively addresses this issue. The analysis includes the evaluation of LMA, BL, and CL. The simulation results indicate that the designed anti-resonance fiber possesses characteristics such as polarization insensitivity, resistance to bending, and a large mode field area, reaching a maximum of 6250 μm2. At wavelengths of 1024 nm and 1550 nm, the LMAs are 3180 μm2 and 3456 µm2, respectively. With a bending radius of 10 cm, the BL is significantly below 0.014 dB/m. The designed structure also exhibits good coupling performance, with the large mode area being nearly identical in X/Y polarization modes. Simulation results demonstrate that this HC-ARF fiber can serve in a high-performance fiber laser source, meeting the requirements for the highest large mode area, while reducing bending and confinement losses and exhibiting polarization insensitivity. Due to the energy loss caused by bending optical fibers, there is an urgent need to design a type of fiber that meets bending conditions while still maintaining minimal energy loss for application in sensors. Additionally, it should be noted that in this article, we only focus on the research of single-mode fibers. However, this does not imply that the higher-order modes of multimode fibers are unimportant. On the contrary, for this research direction, the higher-order modes of multimode fibers remain significant. However, The emphasis of this study lies on single-mode fibers.

2. Structure Introduction

Through the study of AR-HCF fiber structures, we found that as early as 2007, Yukihiro Tsuchida and colleagues [22] proposed a porous fiber composed of seven adjacent missing air holes. However, this model structure could only generate a small mode field area and suffered from significant losses. Several years later, B.L. Behera and others [23] introduced two different types of low refractive index grooves below the cladding to achieve lower bending losses, resembling nested hollow tubes within the fiber. This structure further reduced bending losses. In 2021, Zhen and colleagues [25] designed a double-clad all-solid-state anti-resonance fiber with a cladding composed of double-layer rods coated with highly doped silica layers. This configuration increased the mode field area. In 2023, Tian and others [26] proposed a polarization-maintaining large mode area solid-core anti-resonance fiber for high-power fiber lasers. This fiber utilized two layers of tubes and rods surrounding the fiber core, with different refractive indices for the nested tubes, resulting in a further increase in the mode field area and relatively low losses. After analyzing the research on numerous fibers mentioned above, in order to achieve a large mode field area, low bending losses, and polarization insensitivity, we designed this new hollow anti-resonance fiber with U-shaped tubes and nested tubes.
Figure 1 illustrates the cross-sectional structure of the designed HC-ARF. In the modeling of the fiber structure, a Perfectly Matched Layer (PML) was added as the outermost layer to calculate confinement loss and obtain the imaginary part of the mode effective refractive index [29]. PML fiber, short for “Polarization-Maintaining Large Mode Area fiber,” is a specialized type of optical fiber designed for use in fiber lasers or other applications. It features a specific structure intended to preserve the polarization state of light while providing a larger mode field area, enabling the handling of high-power laser beams. To ensure the accuracy and convergence of simulation results, the mesh resolution was set according to the working wavelength λ of the fiber. The maximum element size in the quartz region was set to λ/4, while in the air region, it was set to λ/2. As seen in Figure 1, the theoretical model represents a hollow-core anti-resonance fiber with a combined circular and U-shaped quartz elliptical nested structure. The model incorporates elliptical nested tubes within both circular and U-shaped tubes. This addition is based on various research results [30,31,32], indicating that HC-ARF fibers with elliptical nested structures exhibit lower losses at a wavelength of 1.55 µm compared to those with circular nested tubes. Six HC-ARF fibers with different cladding tube designs were developed.
Among them, three capillaries are arranged in a U-shaped nested structure, characterized by a geometric shape that combines a semicircle with two straight line segments. The two line segments are parallel to each other and intersect with the semicircle. For the geometric parameters of the hollow-core anti-resonance fiber, the Perfectly Matched Layer is denoted as C, with a fixed value of 30 µm. The cladding radius is denoted by R, where n = 6 indicates the number of cladding tubes, and the capillary radius is denoted as d. The quartz wall thickness of the cladding tube is marked as t. An elliptical hollow-core anti-resonance fiber is nested within the tube, with the x-axis semi-axis denoted as a and the y-axis semi-axis denoted as b. The bending radius of the HC-ARF is represented by rr. Finite element analysis [33,34] was employed to simulate and simulate the designed hollow-core anti-resonance fiber, yielding experimental results to demonstrate its feasibility. The reason for this design is that adding U-shaped and nested tubes in the cladding can effectively suppress bend losses and restrict losses. Furthermore, we compared different fibers with the same parameters, including single-mode fibers and our designed HC-ARF. By comparing the simulation results of the two, the mode field area of the single-mode fiber is 2490 µm2, while that of the HC-ARF reaches 2620 µm2. Therefore, we can conclude that it is indeed the design of the cladding that reduces losses, forcing more optical power to be confined within the core, thus increasing the desired large mode field area. This is also mentioned in the description of losses in [30,31] in the preceding text. The initial structural parameters of the HC-ARF are set as follows: R = 70 µm, d = 15 µm, C = 30 µm, a = 8.5 µm, b = 6 µm, t = 1.04 µm, rr = 1 cm.
Silicon dioxide’s material dispersion can be obtained from the following Sellmeier equation [35]:
n S i l i c a λ = 1 + A 1 λ 2 λ 2 B 1 2 + A 2 λ 2 λ 2 B 2 2 + A 3 λ 2 λ 2 B 3 2
In Equation (1), the coefficients are defined as follows: A1 = 0.6961663, A2 = 0.4079426, A3 = 0.897479, B1 = 0.00684, B2 = 0.1162414, B3 = 9.896161, and λ represents the free-space wavelength in micrometers. The refractive index of the Perfectly Matched Layer can be determined using the refractive index of silicon dioxide material: n_PML = n_silica + 0.03 [36]. Or the default boundary condition is set directly to the cylindrical perfect Match layer (PML) in the software.
For LMA fibers, it is crucial to focus on two key performance metrics: mode field area and mode loss. Mode loss is further divided into BL and CL. When the incident power remains constant, the size of the mode field area determines the optical power density at the fiber’s end face, subsequently influencing the threshold for nonlinear effects. Therefore, the mode field area is a vital performance indicator for LMA fibers.
The mode field area can be obtained by solving the electric field distribution of the mode, as expressed by the following equation [37]:
A n e f f = | E | 2 d x d y 2 E 4 d x d y
In Equation (2), E is the electric field in the fundamental mode and is integrated into the second and fourth powers respectively.
Due to the axisymmetric nature of the model architecture, the ultimate result for the LMA is polarization-insensitive [38,39]. When calculating the BL of the fiber, we treat the bent fiber as an equivalent straight fiber and apply an optical correction factor to the effective refractive indices of different sections of the bent fiber [40]. When the fiber is bent in the positive y-axis direction, the distribution of the equivalent refractive index in the cross-section of the fiber is:
n ( x , y ) = n 0 ( x , y ) ( 1 + Y g / r r )
In Equation (3), Where n0(x,y) is the effective refractive index of the original material, n(x,y) is the equivalent refractive index of the bent fiber, Yg is the y-coordinate, and rr is the bending radius. This step is particularly crucial during the design of material parameters.
The expression for the bending loss (BL, Bend Loss) of the fiber (unit: dB/km) is given by [41]:
B L = 20 ln 10 2 π λ Im ( n e f f ) × 10 9
In Equation (4), 2π/λ represents the free-space wavenumber, Im(neff) is the imaginary part of the mode effective refractive index, and λ (unit: µm) is the incident wavelength.
The losses of hollow-core anti-resonance fibers consist of confinement loss, surface scattering loss, and bending (macrobend and microbend) loss. Due to the limited spatial overlap between the mode fields of the cladding and the core, hollow-core anti-resonance fibers exhibit relatively low surface scattering loss. Therefore, in bent fibers, CL is a significant contributor to the overall losses of hollow-core anti-resonance fibers under equivalent straight fiber conditions.
The formula for confinement loss (CL, Confinement Loss) in units of dB/km is given by [42]:
C L = 40 π n e f f λ ln ( 10 )
In Equation (5), neff represents the imaginary part of the mode effective refractive index, and λ denotes the wavelength of the hollow-core anti-resonance fiber, measured in micrometers.
Under the initial condition of a wavelength λ of 1.55 µm, Aneff is equal to 2860 μm2. With a bending radius of 10 cm, the BL is below 0.02 dB/m, and the CL is below 0.56 dB/m. These values indicate a favorable mode field area, ensuring the requirements for high-power transmission. The low bending and confinement losses ensure a slower rate of energy attenuation during fiber transmission, facilitating more efficient energy utilization. This setup enables the realization of a high-performance fiber laser source.
Figure 2 and Figure 3 show the concentrated areas of energy in the fundamental mode. It can be seen that in both cases where the optical fiber is bent and not bent, the modal field energy can all be confined to the core region of the fiber. This indicates that the physical model we designed has achieved the desired goal.
The mode field area of the fundamental mode reflects the lateral distribution of the optical field on the cross-section of the fiber. The size of the fiber’s capacity is limited by nonlinear effects. To effectively suppress the impact of nonlinear effects, the most practical approach is to increase the mode field area, raise the power threshold for nonlinear effects in the fiber, reduce losses caused by excessive power density, and enhance the fiber’s transmission capacity. Therefore, a larger mode field area is precisely what is needed.
As shown in Figure 4, it represents the large mode field area within the wavelength range of 1.3–1.7 µm. The effective refractive indices for the four considered higher-order modes are illustrated in Figure 4, with the inset showing an enlarged view within the wavelength range of 1.4–1.55 µm. From Figure 4 and the inset, it can be observed that the mode field areas for both x-polarized and y-polarized modes are nearly identical for the large mode field area, directly confirming the polarization-insensitive characteristic of this model. Even if there is a change in the polarization state direction, the LMA does not change significantly. Within the wavelength range of 1.3–1.7 µm, the mode field areas for both x-polarized and y-polarized modes show a monotonic increase, where the mode field area Aneff increases with the wavelength. Under the initial parameters, a large mode field area of 2860 μm2 can be achieved within the range of 1.3–1.7 µm, and through subsequent parameter adjustments, the large mode field area can be further increased.
Based on the initial structural parameters of the proposed HC-ARF LMA, the calculated bending losses and confinement losses for x-polarized and y-polarized core modes within the wavelength range of 1.3–1.9 µm are shown in Figure 5. Since both cores and coupling channels are distributed along the y-polarized direction, the confinement loss in the X direction is greater than that in the Y direction, as shown in Figure 5. From the graph, it can be observed that the bending loss in the X direction is greater than in the Y direction, and compared to the CL, the BL continuously decreases with increasing wavelength. Therefore, at a wavelength of 1.55 µm, both BL and CL are relatively small, making them a prerequisite for efficient high-power fiber transmission and a key focus of our research. However, it is noted that when the wavelength reaches 1.65 µm, the losses sharply increase, which is one of the focal points for parameter optimization. To obtain more accurate bending losses, confinement losses, and large mode field areas, further optimization of the proposed HC-ARF LMA’s structural parameters is necessary.

3. Simulation Results and Discussion

According to the modal coupling theory [43,44], the proposed HC-ARF can generate two fundamental modes, referred to as the x-polarized fundamental mode and the y-polarized fundamental mode. Due to the presence of parity modes, x-polarized and y-polarized light will periodically propagate between the two cores. To ensure that the LMA of the bent fiber remains unchanged or undergoes minimal variation, we have designed a center-symmetric model. This model helps reduce bending losses and achieves polarization-insensitive anti-bending characteristics. To obtain a larger fundamental mode field area, we have enlarged the overall dimensions of the fiber while keeping the parameters of the nested tube and U-shaped tube unchanged. The introduction of the nested tube helps reduce the CL of the fundamental mode, effectively increasing the large mode field area.
In the following simulations, the operating wavelengths are set to 1.55 µm and 1.064 µm.
Figure 6a and Figure 6b respectively illustrate the LMA, BL, and CL of x-pol and y-pol polarization states when the wavelength is 1.55 µm and the bending radius is 1 cm, with R ranging from 60 µm to 90 µm. From Figure 6a, it can be observed that as R increases from 60 µm to 90 µm, the Aneff also increases, reaching up to 6200 μm2. This increase is attributed to the significant enlargement of the core cross-sectional area due to the increase in R, leading to an enhancement in LMA. Furthermore, with the increase in R, both considered bending loss and CL exhibit an overall trend of decreasing first and then increasing. The minimum values of BL and CL for both x-pol and y-pol polarizations occur at R = 75 µm. In the range of 60–65 µm and 75–85 µm, the BL in the x-pol polarization direction is greater than that in the y-pol polarization direction. Additionally, in the range of 60–65 µm and 75–85 µm, the CL in the x-pol polarization direction is greater than that in the y-pol polarization direction. The images demonstrate that the x-pol and y-pol polarization states are insensitive, with almost negligible differences in LMA, and it is noted that with the increase in R, the losses will significantly rise, accelerating the decay of energy in the fundamental mode, which is detrimental to high-power lasers. Considering the increase in LMA of HC-ARF LMA, and the decrease in BL and CL, the choice of R value should be appropriate.
Under initial conditions and wavelengths, as shown in Figure 7a,b, we found that the LMA for a wavelength of 1.064 µm is relatively smaller compared to the wavelength of 1.55 µm. The LMA shows an approximately linear increase with the growth of R, which is directly influenced by the fiber coupling method and the size of R. BL and CL in the x-pol polarization direction are both smaller than those in the y-pol polarization direction. Therefore, under the same conditions of fiber radius and bending radius, the BL and CL in the x-pol polarization direction are smaller than those in the y-pol polarization direction, which is related to the anti-resonance reflection principle. Additionally, when R is small, the losses in the y-pol polarization direction increase significantly. Hence, the operational characteristics of HC-ARF LMA depend on an appropriately chosen fiber radius R, and the polarization direction plays a crucial role in the field energy.
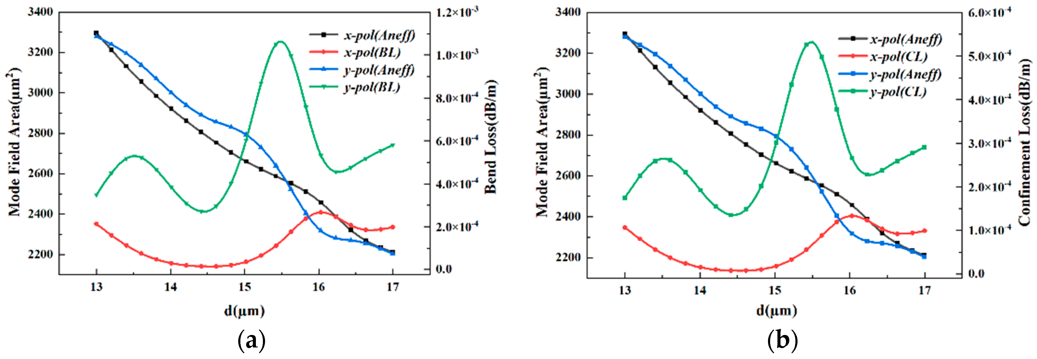
From Figure 8a, it can be observed that as d increases from 13 µm to 17 µm, the Aneff decreases approximately linearly. This is because the increase in d reduces the cross-sectional area of the core, leading to a decrease in the mode field area. Additionally, with the increase in d, both BL and CL show an overall decreasing trend. The minimum values of BL and CL for both x-pol and y-pol polarization directions occur at d = 16.5 µm. The losses in the x-pol polarization direction are consistently larger than those in the y-pol polarization direction, which is related to the effective refractive index of the equivalent bent fiber. The images show that both x-pol and y-pol polarization states are insensitive, and the LMA is almost identical. This is directly related to the construction of the model. It is also observed that with the increase in d, the losses significantly decrease, but the mode field area also decreases. If the LMA is small, it directly affects the reduction of transmitted energy, which is unfavorable for high-power laser systems. Therefore, the selection of the nested tube diameter (d) for HC-ARF LMA should consider a trade-off between the LMA and losses, taking into account various factors.
Figure 9a and Figure 9b respectively depict the LMA, BL, and CL when the wavelength is 1.55 µm, and the bending radius is 1 cm, with d ranging from 13 µm to 17 µm in the x-pol and y-pol polarization states. Due to the decrease in wavelength and the corresponding change in the effective bending refractive index, the polarization sensitivity of the LMA for both x-pol and y-pol states is slightly stronger compared to the case when the wavelength is 1.55 µm. In both polarization states, the losses in the x-pol direction are consistently larger than those in the y-pol direction. There are significant losses at d = 13.5 µm and 15.5 µm, minimal losses at d = 16 µm, and high losses at d = 16 µm, but at this point, the losses in the y-pol direction reach a maximum. Therefore, when selecting d, it is important to avoid positions with significant losses to minimize energy loss in the fiber. To understand the impact of U-shaped tube parameters on the LMA, BL, and CL, the analysis focuses on the elliptical major axis within the U-shaped tube.
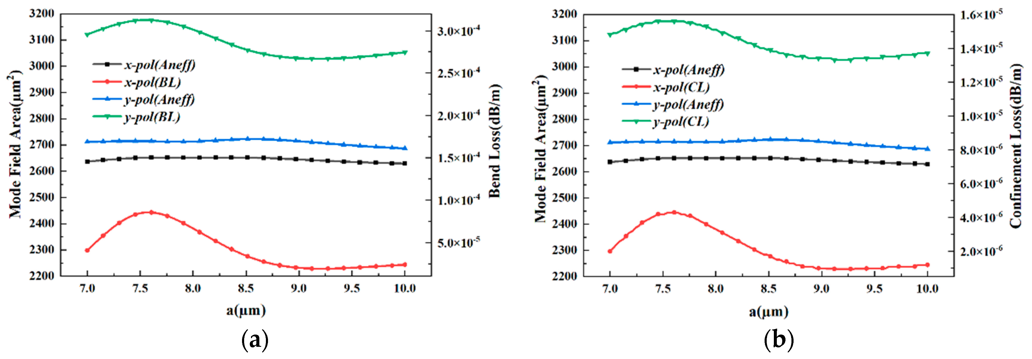
As the major axis a of the U-shaped tube changes, the corresponding LMA and losses can be observed in Figure 10a,b. From the two figures, it can be seen that, with the increase in “a” from 7 µm to 10 µm, the Aneff does not show a significant change. This aligns with the hypothesis that the increase in a does not significantly impact the cross-sectional area of the core, and therefore, the mode field area remains relatively constant. Additionally, it is evident that the physical model exhibits excellent insensitivity to polarization for LMA. Even when the bending radius reaches 1 cm, the LMA can be maintained. Throughout the process of increasing a from 7 µm to 10 µm, the losses show an overall increasing trend with the increase in a, which is directly related to the waveguide principles of the anti-resonant fiber. Therefore, the change in the major axis a of the U-shaped tube does not affect the variation of the mode field area but it will affect the magnitude of fiber losses. In other words, the change in a does not affect the energy of the fiber fundamental mode but influences losses and attenuation during fiber propagation. Taking all factors into account, when selecting the size of a, it is advisable to choose a smaller major axis to significantly reduce light losses.
Figure 11a and Figure 11b respectively show the LMA, BL, and CL of x-pol and y-pol polarization states when the wavelength is 1.064 µm and the bending radius is 1 cm, with the major axis a increasing from 7 µm to 10 µm. Due to the decrease in wavelength and the corresponding change in the effective bending refractive index, the polarization sensitivity of x-pol and y-pol polarization states increases compared to the wavelength of 1.55 µm, but the overall trend remains the same. In both polarization states, the losses in the y-pol direction are consistently higher than those in the x-pol direction, with a significant loss observed at a equal to 7.5 µm. Therefore, when selecting a, it is advisable to avoid positions with significant losses, such as at a equal to 7.5 µm, to prevent substantial energy loss in the optical fiber.
Based on these results, the optimized structural parameters for HC-ARF LMA are chosen as follows: R = 75 µm, d = 15 µm, C = 30 µm, a = 8 µm, b = 6 µm, t = 1.04 µm, and rr = 1 cm.
As shown in Figure 12a,b, under the optimized parameters, it can be observed that both BL and CL are generally small, with BL below 1.4 × 10−2 (dB/km) and CL below 4 × 10−2 (dB/km). Particularly, in the wavelength range of 1.25 µm to 1.7 µm, the overall loss is extremely low. This is directly related to the structure of the fiber’s nested tube and U-shaped tube because fiber loss is mainly concentrated in the solid silica medium. Changes in corresponding parameters have a direct impact on the loss. Additionally, the LMA performance is excellent at wavelengths of 1.064 µm and 1.55 µm, with LMA of 3180 µm2 and 3456 µm2, respectively, making it suitable for high-power fiber lasers. Furthermore, the polarization states in the x and y directions are nearly identical, meeting the characteristics of being polarization insensitive. Although there is a relatively higher loss around 1.15 µm, the overall performance under the optimized parameters is good, especially for the specific wavelengths of 1.064 µm and 1.55 µm with very low losses. Next, the simulation will investigate the relationship between the bending radius and LMA, as well as BL.
The model demonstrates from Figure 13 that even with a change in the bending radius (rr), the polarization insensitivity of LMA still exists. As shown in the figure, LMA decreases with the increase of the bending radius. This is because, with a larger bending radius, the propagation path of light inside the fiber becomes more curved, leading to an increased number of reflections within the fiber and consequently causing more leakage of light. This results in higher losses during the transmission of light in the fiber, affecting the transmission mode, and reducing the mode field area. It is evident that BL increases with the increase in the bending radius. The loss of hollow-core antiresonant fibers consists of three components: confinement loss, surface scattering loss, and bending (macro-bending and micro-bending) loss. Due to the limited overlap of the mode field between the cladding and the core, hollow-core antiresonant fibers exhibit relatively low surface scattering loss. Therefore, confinement loss and bending loss are the main sources of loss in hollow-core antiresonant fibers. This may seem contrary to common sense, but through consulting relevant literature, special cases have been identified. For example, as found in [45], not all large bending radii necessarily imply lower losses, as depicted in Figure 4 of the literature. Within certain wavelength ranges and with certain parameters, bending losses may increase with larger bending radii. It is possible that my selected parameters only capture an initial phase of increase, and subsequent situations may align more with common sense, where bending losses decrease with increasing bending radii.
From the below Table 1, it can be observed that the HC-ARF LMA we designed achieves a large mode field area of 3456 µm2 near a wavelength of 1550 nm. Notably, the fiber demonstrates an ultra-low CL of 4 × 10−2 dB/km in the commonly used wavelength range around 1550 nm. Moreover, under a bending radius of 1 cm, the fiber exhibits an exceptionally low BL of 1.4 × 10−2 dB/km, a level that has not been achieved in previous research. Additionally, our designed fiber shows excellent polarization insensitivity, making it resilient against bending and possessing outstanding large mode field area characteristics.

4. Conclusions

In summary, we propose an ultra-low loss, polarization-insensitive HC-AR LMA fiber. Through numerical simulations, we found that introducing centrally symmetric nested tubes and U-shaped structures in the fiber core region effectively reduces structural asymmetry, leading to polarization insensitivity. The simulated results indicate that, at a wavelength of 1064 nm, the designed structure achieves LMA, BL, and CL values of 3180 µm2, 2 × 10−2 dB/km, and 5 × 10−2 dB/km, respectively. At a wavelength of 1550 nm, the corresponding values are 3180 µm2, 1.4 × 10−2 dB/km, and 4 × 10−2 dB/km. The device exhibits an unprecedented combination of the LMA and ultra-low losses, which has not been achieved in previous research. Our proposed fiber demonstrates excellent mode field area and ultra-low bending losses at different bending radii. We believe that the designed fiber holds promising applications in high-power miniaturized fiber lasers, fiber amplifiers, and various high-power fiber communication systems, and it can be applied in sensors that require polarization insensitivity and better bending performance.

Author Contributions

Conceptualization, D.Z., J.Z., R.Z. and H.Z.; Methodology, D.Z. and R.Z.; Software, D.Z., J.Z., Y.D. and R.Z.; Validation, D.Z., J.Z., Y.D. and R.Z.; Formal analysis, D.Z., J.Z. and Y.D.; Investigation, D.Z. and J.Z.; Resources, D.Z.; Data curation, D.Z.; Writing—original draft, D.Z.; Writing—review & editing, D.Z. and H.Z.; Visualization, D.Z.; Supervision, H.Z.; Project administration, H.Z.; Funding acquisition, H.Z. All authors have read and agreed to the published version of the manuscript.

Funding

This work was supported by the National Natural Science Foundation of China under Grant No. 61405096. No. 61504058 and the introduction of talent research and Research Fund of Nanjing University of Posts and Telecommunications (NY214158), and the Open fund of Laboratory of Solid State Microstructures, Nanjing University (M28035), and the Open fund of State Key Laboratory of Transient Optics and Photonics, Chinese Academy of Sciences (SKLST201404). We would like to express our sincere thanks to the above organizations.

Data Availability Statement

Data underlying the results presented in this paper are not publicly available at this time but may be obtained from the authors upon reasonable request.

Conflicts of Interest

The authors declare no conflict of interest.

References

  1. Xing, Z. Research on New Large-Mode-Field Area Fiber for High-Power Fiber Lasers; Beijing Jiaotong University: Beijing, China, 2022. [Google Scholar] [CrossRef]
  2. Richardson, D.J.; Nilsson, J.; Clarkson, W.A. High power fiber lasers: Current status and future perspectives. JOSA B 2010, 27, B63–B92. [Google Scholar] [CrossRef]
  3. Yi, C.; Zhang, P.; Dai, S.; Wang, X.; Xu, Y.; Xu, T.; Nie, Q. Research Progress of large-mode photonic crystal fibers. Laser Optoelectron. Prog. 2012, 49, 100001. [Google Scholar]
  4. Beier, F.; Hupel, C.; Kuhn, S.; Hein, S.; Nold, J.; Proske, F.; Sattler, B.; Liem, A.; Jauregui, C.; Limpert, J.; et al. Single mode 4.3 kW output power from a diode-pumped Yb-doped fiber amplifier. Opt. Express 2017, 25, 14892–14899. [Google Scholar] [CrossRef] [PubMed]
  5. Charles, X.Y.; Shatrovoy, O.; Fan, T.Y.; Taunay, T.F. Diode-pumped narrow linewidth multi-kilowatt metalized Yb fiber amplifier. Opt. Lett. 2016, 41, 5202–5205. [Google Scholar]
  6. Poppett, C. A New Approach to Highly Multiplexed Spectroscopy; Durham University: Durham, UK, 2011. [Google Scholar]
  7. Li, M.J.; Chen, X.; Liu, A.; Gray, S.; Wang, J.; Walton, D.T.; Zenteno, L.A. Limit of effective area for single-mode operation in step-index large mode area laser fibers. J. Light. Technol. 2009, 27, 3010–3016. [Google Scholar]
  8. Bradley, T.D.; Hayes, J.R.; Chen, Y.; Jasion, G.T.; Sandoghchi, S.R.; Slavík, R.; Fokoua, E.N.; Bawn, S.; Sakr, H.; Davidson, I.A.; et al. Record low-loss 1.3 dB/km data transmitting antiresonant hollow core fibre. In Proceedings of the 2018 European Conference on Optical Communication (ECOC), Roma, Italy, 23–27 September 2018; pp. 1–3. [Google Scholar]
  9. He, L.; Liang, Y.; Guan, Y.; Gu, Z.; Xia, K.; Wang, X.; Dai, S.; Shen, X.; Liu, Z. Large mode-area all-solid anti-resonant fiber based on chalcogenide glass for mid-infrared transmission. Opt. Express 2023, 31, 8975–8986. [Google Scholar] [CrossRef] [PubMed]
  10. Zhang, H.; Chang, Y.; Xu, Y.; Liu, C.; Xiao, X.; Li, J.; Ma, X.; Wang, Y.; Guo, H. Design and fabrication of a chalcogenide hollow-core anti-resonant fiber for mid-infrared applications. Opt. Express 2023, 31, 7659–7670. [Google Scholar] [CrossRef]
  11. Zhang, X.; Gao, S.; Wang, Y.; Ding, W.; Wang, P. Design of large mode area all-solid anti-resonant fiber for high-power lasers. High Power Laser Sci. Eng. 2021, 9, e23. [Google Scholar] [CrossRef]
  12. Dey, S.; Das, N.R.; Ghosh, S. High power pulse delivery over a short distance through an all-solid anti-resonant microstructured optical fiber at 2 μm wavelength. Opt. Fiber Technol. 2023, 81, 103575. [Google Scholar] [CrossRef]
  13. Lu, G.; Liu, S.; Chen, M.; Zhang, Z. Low-loss all-solid antiresonant fiber for flat-top beam generation. Microw. Opt. Technol. Lett. 2024, 66, e33911. [Google Scholar] [CrossRef]
  14. Chen, X.; Huang, L.; Xi, X.; Yang, H.; An, Y.; Yan, Z.; Pan, Z.; Zhou, P. Leakage channels enabled multi-resonant all-solid photonic bandgap fiber for effective single-mode propagation. Opt. Express 2021, 29, 22455–22469. [Google Scholar] [CrossRef]
  15. Li, H.; Goel, C.; Zang, J.; Raghuraman, S.; Chen, S.; Hassan, M.R.; Chang, W.; Yoo, S. Integration of an anti-resonant hollow-core fiber with a multimode Yb-doped fiber for high power near-diffraction-limited laser operation. Opt. Express 2022, 30, 7928–7937. [Google Scholar] [CrossRef] [PubMed]
  16. Jasion, G.T.; Hayes, J.R.; Wheeler, N.V.; Chen, Y.; Bradley, T.D.; Richardson, D.J.; Poletti, F. Fabrication of tubular anti-resonant hollow core fibers: Modelling, draw dynamics and process optimization. Opt. Express 2019, 27, 20567–20582. [Google Scholar] [CrossRef] [PubMed]
  17. Ando, R.F.; Hartung, A.; Jang, B.; Schmidt, M.A. Approximate model for analyzing band structures of single-ring hollow-core anti-resonant fibers. Opt. Express 2019, 27, 10009–10021. [Google Scholar] [CrossRef]
  18. Ding, W.; Wang, Y.Y.; Gao, S.F.; Wang, M.L.; Wang, P. Recent progress in low-loss hollow-core anti-resonant fibers and their applications. IEEE J. Sel. Top. Quantum Electron. 2019, 26, 1–12. [Google Scholar] [CrossRef]
  19. Zhou, J.; Lu, Y.; Jiang, A.; Chen, Y.; Xu, J.; Su, W.; Zou, H. Dual hollow-core anti-resonant fiber polarization beam splitter with excellent single-mode characteristics for ultra-broadband. Appl. Phys. B 2023, 129, 153. [Google Scholar] [CrossRef]
  20. Li, Z.; Liu, J.; Xia, C.; Hou, Z.; Zhou, G. Supermode Characteristics of Nested Multiple Hollow-Core Anti-Resonant Fibers. Photonics 2022, 9, 816. [Google Scholar] [CrossRef]
  21. Zhao, X.; Wu, X.; Lan, X.; Luo, J.; Zhang, L.; Li, P.; Xiang, J.; Ma, W.; Wang, S. 5-tube hollow-core anti-resonant fiber with ultralow loss and single mode. Opt. Commun. 2021, 501, 127347. [Google Scholar] [CrossRef]
  22. Tsuchida, Y.; Saitoh, K.; Koshiba, M. Design of single-moded holey fibers with large-mode-area and low bending losses: The significance of the ring-core region. Opt. Express 2007, 15, 1794–1803. [Google Scholar] [CrossRef]
  23. Behera, B.L.; Maity, A.; Varshney, S.K.; Datta, R. Theoretical investigations of trench-assisted large mode-area, low bend loss and single-mode microstructured core fibers. Opt. Commun. 2013, 307, 9–16. [Google Scholar] [CrossRef]
  24. Yan, S.; Lou, S.; Wang, X.; Zhang, W.; Zhao, T. Single-mode large-mode-area double-ring hollow-core anti-resonant fiber for high power delivery in mid-infrared region. Opt. Fiber Technol. 2018, 46, 118–124. [Google Scholar] [CrossRef]
  25. Xing, Z.; Wang, X.; Gu, S.; Lou, S. Large mode area double-layer all-solid anti-resonant fiber for high-power fiber lasers. Results Phys. 2021, 29, 104700. [Google Scholar] [CrossRef]
  26. Tian, H.; Fu, S.; Sheng, Q.; Xu, H.; Zhang, S.; Shi, W.; Yao, J. Polarization-maintaining large-mode-area solid-core anti-resonant fiber for high-power fiber lasers. Results Phys. 2023, 46, 106281. [Google Scholar] [CrossRef]
  27. Xie, G.X.; Tan, F.; Zhang, Y.; Gao, B.; Cui, S.; Mu, W.; Zhu, X. Anti-bending large-mode field area low-mode photonic crystal fibers. High Power Laser Part. Beam 2023, 35, 1–7. [Google Scholar]
  28. Huang, L.; Wang, P.; Wang, Z.Y.; Cheng, Q.T.; Wang, L.; Jiang, H. Mid-Infrared 2.79 μm Band Er, Cr: YSGG Laser Transmission Anti-Bending Low-Loss Anti-Resonant Hollow-Core Fiber. Photonics 2024, 11, 432. [Google Scholar] [CrossRef]
  29. Wang, Z.; Tu, J.; Liu, Z.; Yu, C.; Lu, C. Design of weakly coupled two-mode hollow-core antiresonant fiber with low loss. J. Light. Technol. 2019, 38, 864–874. [Google Scholar] [CrossRef]
  30. Wei, C.; Weiblen, R.J.; Curtis; Menyuk, R.; Hu, J. Negative curvature fibers. Adv. Opt. Photon. 2017, 9, 504–561. [Google Scholar] [CrossRef]
  31. Fei, Y.; Knight, J. Negative curvature hollow core optical fiber. IEEE J. Sel. Top. Quantum Electron. 2016, 22, 1–11. [Google Scholar]
  32. Chaudhuri, S.; Van Putten, L.D.; Poletti, F.; Sazio, P.J. Low loss transmission in negative curvature optical fibers with elliptical capillary tubes. J. Light. Technol. 2016, 34, 4228–4231. [Google Scholar] [CrossRef]
  33. Gouri, D.; Lefrançois, E.; Touzot, G. Finite Element Method; John Wiley & Sons: Hoboken, NJ, USA, 2012. [Google Scholar]
  34. Masanori, K. Optical waveguide theory by the finite element method. IEICE Trans. Electron. 2014, 97, 625–635. [Google Scholar]
  35. Qiu, S.; Yuan, J.; Zhou, X.; Li, F.; Wang, Q.; Qu, Y.; Yan, B.; Wu, Q.; Wang, K.; Sang, X.; et al. Hollow-core negative curvature fiber with high birefringence for low refractive index sensing based on surface plasmon resonance effect. Sensors 2020, 20, 6539. [Google Scholar] [CrossRef]
  36. Ni, Y.; Yuan, J.; Qiu, S.; Zhou, G.; Xia, C.; Zhou, X.; Yan, B.; Wu, Q.; Wang, K.; Sang, X.; et al. Dual hollow-core negative curvature fiber polarization beam splitter covering the O + E + S + C + L communication band. J. Opt. Soc. Am. B 2022, 39, 2493–2501. [Google Scholar] [CrossRef]
  37. Li, S.; Zhang, H.; Hou, Y.; Bai, J.; Liu, W.; Chang, S. Terahertz polarization splitter based on orthogonal microstructure dual-core photonic crystal fiber. Appl. Opt. 2013, 52, 3305–3310. [Google Scholar] [CrossRef] [PubMed]
  38. Liao, S.; Gong, M.; Zhang, H. Theoretical calculation of beam quality factor of large-mode-area fiber amplifiers. Laser Phys. 2009, 19, 437–444. [Google Scholar] [CrossRef]
  39. Yariv, A. Coupled-mode theory for guided-wave optics. IEEE J. Quantum Electron. 1973, 9, 919–933. [Google Scholar] [CrossRef]
  40. Haus, H.; Huang, W.; Kawakami, S.; Whitaker, N. Coupled-mode theory of optical waveguides. J. Light. Technol. 1987, 5, 16–23. [Google Scholar] [CrossRef]
  41. Zheng, S.; Ren, G.; Lin, Z.; Jian, W.; Jian, S. A novel four-air-hole multicore dual-mode large-mode-area fiber: Proposal and design. Opt. Fiber Technol. 2013, 19, 419–427. [Google Scholar] [CrossRef]
  42. Sharma, M.; Dixit, V.; Konar, S.; Ahmed, K.; Dhasarathan, V. Endlessly single-mode photonic crystal fiber with high birefringence for sensing applications. Mod. Phys. Lett. B 2020, 34, 2050077. [Google Scholar] [CrossRef]
  43. Chen, X.; Hu, X.; Yang, L.; Peng, J.; Li, H.; Dai, N.; Li, J. Double negative curvature anti-resonance hollow core fiber. Opt. Express 2019, 27, 19548–19554. [Google Scholar] [CrossRef]
  44. Zhang, Z.; Shi, Y.; Bian, B.; Lu, J. Dependence of leaky mode coupling on loss in photonic crystal fiber with hybrid cladding. Opt. Express 2008, 16, 1915–1922. [Google Scholar] [CrossRef]
  45. Gao, S.-F.; Wang, Y.-Y.; Liu, X.-L.; Ding, W.; Wang, P. Bending loss characterization in nodeless hollow-core anti-resonant fiber. Opt. Express 2016, 24, 14801–14811. [Google Scholar] [CrossRef] [PubMed]
Figure 1. The design of HC-ARF cross-section structure and material identification diagram.
Figure 1. The design of HC-ARF cross-section structure and material identification diagram.
Electronics 13 01916 g001
Figure 2. The diagram shows the mode field distribution at a wavelength of 1.55 μm. (a) A pattern field distribution diagram representing the X-polarized state; (b) The mode field distribution diagram representing the Y polarization state.
Figure 2. The diagram shows the mode field distribution at a wavelength of 1.55 μm. (a) A pattern field distribution diagram representing the X-polarized state; (b) The mode field distribution diagram representing the Y polarization state.
Electronics 13 01916 g002
Figure 3. The diagram shows the mode field distribution at a wavelength of 1.55 μm and a bending radius of 10 cm. (a) is the mode field distribution diagram of the X polarization state; (b) is the mode field distribution diagram of the Y polarization state.
Figure 3. The diagram shows the mode field distribution at a wavelength of 1.55 μm and a bending radius of 10 cm. (a) is the mode field distribution diagram of the X polarization state; (b) is the mode field distribution diagram of the Y polarization state.
Electronics 13 01916 g003
Figure 4. The figure shows the large mode field area in the wavelength range of 1.3–1.7 μm.
Figure 4. The figure shows the large mode field area in the wavelength range of 1.3–1.7 μm.
Electronics 13 01916 g004
Figure 5. The diagram shows the variation of bending loss and confinement loss in the wavelength range of 1.3–1.7 μm.
Figure 5. The diagram shows the variation of bending loss and confinement loss in the wavelength range of 1.3–1.7 μm.
Electronics 13 01916 g005
Figure 6. The figure shows the mode field area, BL, and CL of x-pol and y-pol polarization states at a wavelength of 1.55 μm, with R increasing from 60 to 90 μm. (a) The mode field area and BL of x-pol and y-pol polarization states are shown; (b) The mode field area and CL of the x-pol and y-pol polarized states are shown.
Figure 6. The figure shows the mode field area, BL, and CL of x-pol and y-pol polarization states at a wavelength of 1.55 μm, with R increasing from 60 to 90 μm. (a) The mode field area and BL of x-pol and y-pol polarization states are shown; (b) The mode field area and CL of the x-pol and y-pol polarized states are shown.
Electronics 13 01916 g006
Figure 7. The figure shows the mode field area, BL, and CL of x-pol and y-pol polarization states at a wavelength of 1.064 μm, with R increasing from 60 to 90 μm. (a) The mode field area and BL of x-pol and y-pol polarization states are shown; (b) The mode field area and CL of the x-pol and y-pol polarized states are shown.
Figure 7. The figure shows the mode field area, BL, and CL of x-pol and y-pol polarization states at a wavelength of 1.064 μm, with R increasing from 60 to 90 μm. (a) The mode field area and BL of x-pol and y-pol polarization states are shown; (b) The mode field area and CL of the x-pol and y-pol polarized states are shown.
Electronics 13 01916 g007
Figure 8. The figure shows the mode field area, BL, and CL of x-pol and y-pol polarization states at a wavelength of 1.55 μm, with d increasing from 13 to 17 μm. (a) The mode field area and BL of x-pol and y-pol polarization states are shown; (b) The mode field area and CL of the x-pol and y-pol polarized states are shown.
Figure 8. The figure shows the mode field area, BL, and CL of x-pol and y-pol polarization states at a wavelength of 1.55 μm, with d increasing from 13 to 17 μm. (a) The mode field area and BL of x-pol and y-pol polarization states are shown; (b) The mode field area and CL of the x-pol and y-pol polarized states are shown.
Electronics 13 01916 g008
Figure 9. The figure shows the mode field area, BL, and CL of x-pol and y-pol polarization states at a wavelength of 1.064 μm, with d increasing from 13 to 17 μm. (a) The mode field area and BL of x-pol and y-pol polarization states are shown; (b) The mode field area and CL of the x-pol and y-pol polarized states are shown.
Figure 9. The figure shows the mode field area, BL, and CL of x-pol and y-pol polarization states at a wavelength of 1.064 μm, with d increasing from 13 to 17 μm. (a) The mode field area and BL of x-pol and y-pol polarization states are shown; (b) The mode field area and CL of the x-pol and y-pol polarized states are shown.
Electronics 13 01916 g009
Figure 10. The figure shows the mode field area, BL, and CL of x-pol and y-pol polarization states at a wavelength of 1.55 μm, with a increasing from 7 to 10 μm. (a) The mode field area and BL of x-pol and y-pol polarization states are shown, and there is an enlarged view of the area of the mode field; (b) The mode field area and CL of the x-pol and y-pol polarized states are shown, and there is an enlarged view of the area of the mode field.
Figure 10. The figure shows the mode field area, BL, and CL of x-pol and y-pol polarization states at a wavelength of 1.55 μm, with a increasing from 7 to 10 μm. (a) The mode field area and BL of x-pol and y-pol polarization states are shown, and there is an enlarged view of the area of the mode field; (b) The mode field area and CL of the x-pol and y-pol polarized states are shown, and there is an enlarged view of the area of the mode field.
Electronics 13 01916 g010
Figure 11. The figure shows the mode field area, BL, and CL of x-pol and y-pol polarization states at a wavelength of 1.064 μm, with a increasing from 7 to 10 μm. (a) The mode field area and BL of x-pol and y-pol polarization states are shown; (b) The mode field area and CL of the x-pol and y-pol polarized states are shown.
Figure 11. The figure shows the mode field area, BL, and CL of x-pol and y-pol polarization states at a wavelength of 1.064 μm, with a increasing from 7 to 10 μm. (a) The mode field area and BL of x-pol and y-pol polarization states are shown; (b) The mode field area and CL of the x-pol and y-pol polarized states are shown.
Electronics 13 01916 g011
Figure 12. The figure shows the mode field area, BL and CL of x-pol and y-pol polarization states with a wavelength range of 1.064–1.7 µm after optimization parameters. (a) The mode field area and BL of x-pol and y-pol polarization states are shown; (b) The mode field area and CL of the x-pol and y-pol polarized states are shown.
Figure 12. The figure shows the mode field area, BL and CL of x-pol and y-pol polarization states with a wavelength range of 1.064–1.7 µm after optimization parameters. (a) The mode field area and BL of x-pol and y-pol polarization states are shown; (b) The mode field area and CL of the x-pol and y-pol polarized states are shown.
Electronics 13 01916 g012
Figure 13. As shown in the figure, the bending radius is 1~10 cm, the wavelength is 1.55 μm, the mode area and the bending loss.
Figure 13. As shown in the figure, the bending radius is 1~10 cm, the wavelength is 1.55 μm, the mode area and the bending loss.
Electronics 13 01916 g013
Table 1. Summary of the Performance of Different HC-ARF LMA Fibers.
Table 1. Summary of the Performance of Different HC-ARF LMA Fibers.
Ref.Aneff (µm2)Bend Loss (dB/km)Confinement Loss (dB/km)
[24]23148.3 × 101-
[25]30303 × 1011 × 101
[27]30265 × 10−11 × 10−1
This work34581.4 × 10−24 × 10−2
Disclaimer/Publisher’s Note: The statements, opinions and data contained in all publications are solely those of the individual author(s) and contributor(s) and not of MDPI and/or the editor(s). MDPI and/or the editor(s) disclaim responsibility for any injury to people or property resulting from any ideas, methods, instructions or products referred to in the content.

Share and Cite

MDPI and ACS Style

Zhou, D.; Zhou, J.; Du, Y.; Zhang, R.; Zou, H. The Research on Large-Mode-Area Anti-Bending, Polarization-Insensitive, and Non-Resonant Optical Fibers. Electronics 2024, 13, 1916. https://doi.org/10.3390/electronics13101916

AMA Style

Zhou D, Zhou J, Du Y, Zhang R, Zou H. The Research on Large-Mode-Area Anti-Bending, Polarization-Insensitive, and Non-Resonant Optical Fibers. Electronics. 2024; 13(10):1916. https://doi.org/10.3390/electronics13101916

Chicago/Turabian Style

Zhou, Dinghao, Jingkai Zhou, Yuhang Du, Ruizhe Zhang, and Hui Zou. 2024. "The Research on Large-Mode-Area Anti-Bending, Polarization-Insensitive, and Non-Resonant Optical Fibers" Electronics 13, no. 10: 1916. https://doi.org/10.3390/electronics13101916

APA Style

Zhou, D., Zhou, J., Du, Y., Zhang, R., & Zou, H. (2024). The Research on Large-Mode-Area Anti-Bending, Polarization-Insensitive, and Non-Resonant Optical Fibers. Electronics, 13(10), 1916. https://doi.org/10.3390/electronics13101916

Note that from the first issue of 2016, this journal uses article numbers instead of page numbers. See further details here.

Article Metrics

Back to TopTop