Outdoor-to-Indoor mmWave Relaying with Massive MIMO: Impact of Imperfect Channel Estimation †
Abstract
1. Introduction
Mathematical Notation
2. System and Signal Models
3. All-Pass Relay with Zero-Forcing Precoding at BS
3.1. Case of Perfect CSI
3.1.1. Asymptotic SNR Analysis
3.1.2. Outage Probability Analysis
3.2. Case of Imperfect CSI
3.2.1. Pilot Symbol Transmission
3.2.2. Despreading at the BS
3.2.3. MMSE Channel Estimation
3.2.4. Asymptotic SNR Analysis
3.2.5. Outage Probability Analysis
4. Hop-by-Hop Zero-Forcing Precoding at BS and Relay
4.1. Case of Perfect CSI
4.1.1. Asymptotic SNR Analysis
4.1.2. Outage Probability Analysis
4.2. Case of Imperfect CSI
4.2.1. MMSE Channel Estimation
4.2.2. Asymptotic SNR Analysis
4.2.3. Outage Probability Analysis
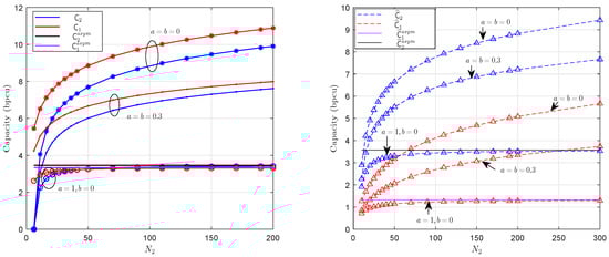
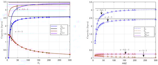
5. Numerical Results
5.1. Capacity and Energy Efficiency
5.2. Outage Probability
6. Conclusions
Author Contributions
Funding
Data Availability Statement
Conflicts of Interest
References
- Bounouader, N.; Chafnaji, H.; Benjillali, M. Power Normalization and Precoding for Massive MIMO in Outdoor-to-Indoor mmWave Relaying. In Proceedings of the 6th International Conference on Advanced Communication Technologies and Networking (CommNet), Rabat, Morocco, 11–13 December 2023; pp. 1–7. [Google Scholar]
- Hong, W.; Jiang, Z.H.; Yu, C.; Hou, D.; Wang, H.; Guo, C.; Hu, Y.; Kuai, L.; Yu, Y.; Jiang, Z.; et al. The role of millimeter-wave technologies in 5G/6G wireless communications. IEEE J. Microw. 2021, 1, 101–122. [Google Scholar] [CrossRef]
- Sakaguchi, K.; Yoneda, T.; Iwabuchi, M.; Murakami, T. Mmwave massive Analog relay MIMO. ITU J. Future Evol. Technol. 2021, 2, 43–55. [Google Scholar] [CrossRef]
- Nguyen, N.T.; Nguyen, H.N.; Nguyen, N.L.; Le, A.T.; Nguyen, T.N.; Voznak, M. Performance analysis of NOMA-based hybrid satellite-terrestrial relay system using mmWave technology. IEEE Access 2023, 11, 10696–10707. [Google Scholar] [CrossRef]
- Li, D.; Xu, G.; Gao, M.; Song, Z.; Zhang, Q.; Zhang, W. Performance Analyses of RIS-Assisted Stochastic UAV mmWave Relay Communication System With Moment Matching Estimation. IEEE Wirel. Commun. Lett. 2024, 13, 1198–1202. [Google Scholar] [CrossRef]
- Marzetta, T.L. How much training is required for multiuser MIMO? In Proceedings of the 40-th Asilomar Conference on Signals, Systems and Computers, Pacific Grove, CA, USA, 29 October–1 November 2006; pp. 359–363. [Google Scholar]
- Marzetta, T.L. Noncooperative Cellular Wireless with Unlimited Numbers of Base Station Antennas. IEEE Trans. Wirel. Commun. 2010, 9, 3590–3600. [Google Scholar] [CrossRef]
- Grossman, D. mmWave for Fixed Wireless: What We’ve Learned; Technical Report, Strategy Analytics; Strategy Analytics: Ottawa, ON, Canada, 2022. [Google Scholar]
- Ntontin, K.; Verikoukis, C. Relay-aided outdoor-to-indoor communication in millimeter-wave cellular networks. IEEE Syst. J. 2019, 14, 2473–2484. [Google Scholar] [CrossRef]
- Albreem, M.A.; Juntti, M.; Shahabuddin, S. Massive MIMO detection techniques: A survey. IEEE Commun. Surv. Tutor. 2019, 21, 3109–3132. [Google Scholar] [CrossRef]
- Zhang, Z.; Long, K.; Vasilakos, A.V.; Hanzo, L. Full-Duplex Wireless Communications: Challenges, Solutions, and Future Research Directions. Proc. IEEE 2016, 104, 1369–1409. [Google Scholar] [CrossRef]
- Koc, A.; Le-Ngoc, T. Full-duplex mmWave massive MIMO systems: A joint hybrid precoding/combining and self-interference cancellation design. IEEE Open J. Commun. Soc. 2021, 2, 754–774. [Google Scholar] [CrossRef]
- Osama, I.; Rihan, M.; Elhefnawy, M.; Eldolil, S.; Malhat, H.A.E.A. A review on Precoding Techniques For mm-Wave Massive MIMO Wireless Systems. Int. J. Commun. Netw. Inf. Secur. 2022, 14, 26–36. [Google Scholar] [CrossRef]
- Marzetta, T.L.; Ngo, H.Q. Fundamentals of Massive MIMO; Cambridge University Press: Cambridge, UK, 2016. [Google Scholar]
- Chae, C.B.; Tang, T.; Heath, R.W.; Cho, S. MIMO relaying with linear processing for multiuser transmission in fixed relay networks. IEEE Trans. Signal Process. 2008, 56, 727–738. [Google Scholar] [CrossRef]
- Lee, C.; Chae, C.B.; Kim, T.; Choi, S.; Lee, J. Network massive MIMO for cell-boundary users: From a precoding normalization perspective. In Proceedings of the IEEE Globecom Workshops, Anaheim, CA, USA, 3–7 December 2012; pp. 233–237. [Google Scholar]
- Lin, H.; Zhu, H.; Yang, Y.; Huang, G.; Huang, K.; Chen, Y. Robust Channel estimation for 5G mmWave massive MIMO relay communication systems. In Proceedings of the IEEE 21st International Conference on Communication Technology (ICCT), Tianjin, China, 13–16 October 2021; pp. 289–294. [Google Scholar]
- Eltayeb, M.E. Relay-aided channel estimation for mmWave systems with imperfect antenna arrays. In Proceedings of the IEEE International Conference on Communications (ICC), Shanghai, China, 20–24 May 2019; pp. 1–5. [Google Scholar]
- Tabataba, F.S.; Sadeghi, P.; Pakravan, M.R. Outage Probability and Power Allocation of Amplify and Forward Relaying with Channel Estimation Errors. IEEE Trans. Wirel. Commun. 2011, 10, 124–134. [Google Scholar] [CrossRef]
- Cao, Y.; Liang, X.; Wang, X.; Li, Y.; Fu, Q.; Wang, D.; You, X. Performance of Cell-Free Massive MIMO Under Imperfect Channel State Information and Reciprocity Calibration. IEEE Syst. J. 2023, 17, 4383–4394. [Google Scholar] [CrossRef]
- Niu, Y.; Li, Y.; Jin, D.; Su, L.; Vasilakos, A.V. A survey of millimeter wave communications (mmWave) for 5G: Opportunities and challenges. Wirel. Netw. 2015, 21, 2657–2676. [Google Scholar] [CrossRef]
- Akdeniz, M.R.; Liu, Y.; Samimi, M.K.; Sun, S.; Rangan, S.; Rappaport, T.S.; Erkip, E. Millimeter Wave Channel Modeling and Cellular Capacity Evaluation. IEEE J. Sel. Areas Commun. 2014, 32, 1164–1179. [Google Scholar] [CrossRef]
- Pandey, B.C.; Mohammed, S.K.; Raviteja, P.; Hong, Y.; Viterbo, E. Low complexity precoding and detection in multi-user massive MIMO OTFS downlink. IEEE Trans. Veh. Technol. 2021, 70, 4389–4405. [Google Scholar] [CrossRef]
- Cui, H.; Song, L.; Jiao, B. Multi-pair two-way amplify-and-forward relaying with very large number of relay antennas. IEEE Trans. Wirel. Commun. 2014, 13, 2636–2645. [Google Scholar]
- Coelho, C.A. The generalized integer Gamma distribution: A basis for distributions in multivariate analysis. J. Multivar. Anal. 1998, 64, 86–102. [Google Scholar] [CrossRef]
- Ngo, H.Q.; Larsson, E.G.; Marzetta, T.L. Energy and spectral efficiency of very large multiuser MIMO systems. IEEE Trans. Commun. 2013, 61, 1436–1449. [Google Scholar]
- Hawej, M.; Shayan, Y.R. Low-complexity channel estimation for time division duplex massive multi-user multi-input multi-output systems. IET Commun. 2021, 15, 43–50. [Google Scholar] [CrossRef]










| Power Scaling Parameters | Asymptotic SNR () |
|---|---|
| ∞ | |
| , and | |
| and | |
| and | |
| 0 |
| Power Scaling Parameters | Asymptotic SNR () |
|---|---|
| ∞ | |
| , and | |
| and | |
| and | |
| 0 |
| Power Scaling Parameters | Asymptotic SNR () |
|---|---|
| , | ∞ |
| and | |
| and | |
| Power Scaling Parameters | Asymptotic SNR () |
|---|---|
| , | ∞ |
| and | |
| and | |
Disclaimer/Publisher’s Note: The statements, opinions and data contained in all publications are solely those of the individual author(s) and contributor(s) and not of MDPI and/or the editor(s). MDPI and/or the editor(s) disclaim responsibility for any injury to people or property resulting from any ideas, methods, instructions or products referred to in the content. |
© 2024 by the authors. Licensee MDPI, Basel, Switzerland. This article is an open access article distributed under the terms and conditions of the Creative Commons Attribution (CC BY) license (https://creativecommons.org/licenses/by/4.0/).
Share and Cite
Bounouader, N.; Chafnaji, H.; Benjillali, M. Outdoor-to-Indoor mmWave Relaying with Massive MIMO: Impact of Imperfect Channel Estimation. Electronics 2024, 13, 1857. https://doi.org/10.3390/electronics13101857
Bounouader N, Chafnaji H, Benjillali M. Outdoor-to-Indoor mmWave Relaying with Massive MIMO: Impact of Imperfect Channel Estimation. Electronics. 2024; 13(10):1857. https://doi.org/10.3390/electronics13101857
Chicago/Turabian StyleBounouader, Nawal, Houda Chafnaji, and Mustapha Benjillali. 2024. "Outdoor-to-Indoor mmWave Relaying with Massive MIMO: Impact of Imperfect Channel Estimation" Electronics 13, no. 10: 1857. https://doi.org/10.3390/electronics13101857
APA StyleBounouader, N., Chafnaji, H., & Benjillali, M. (2024). Outdoor-to-Indoor mmWave Relaying with Massive MIMO: Impact of Imperfect Channel Estimation. Electronics, 13(10), 1857. https://doi.org/10.3390/electronics13101857

