Microstrip Quasi-Elliptic Absorptive Bandpass Filter with Ultra-Wide Reflectionless Range and Compact Size
Abstract
1. Introduction
2. Design Procedure for the Quasi-Elliptic ABPF
2.1. Schematic and Analysis of the Quasi-Elliptic ALPF Prototype
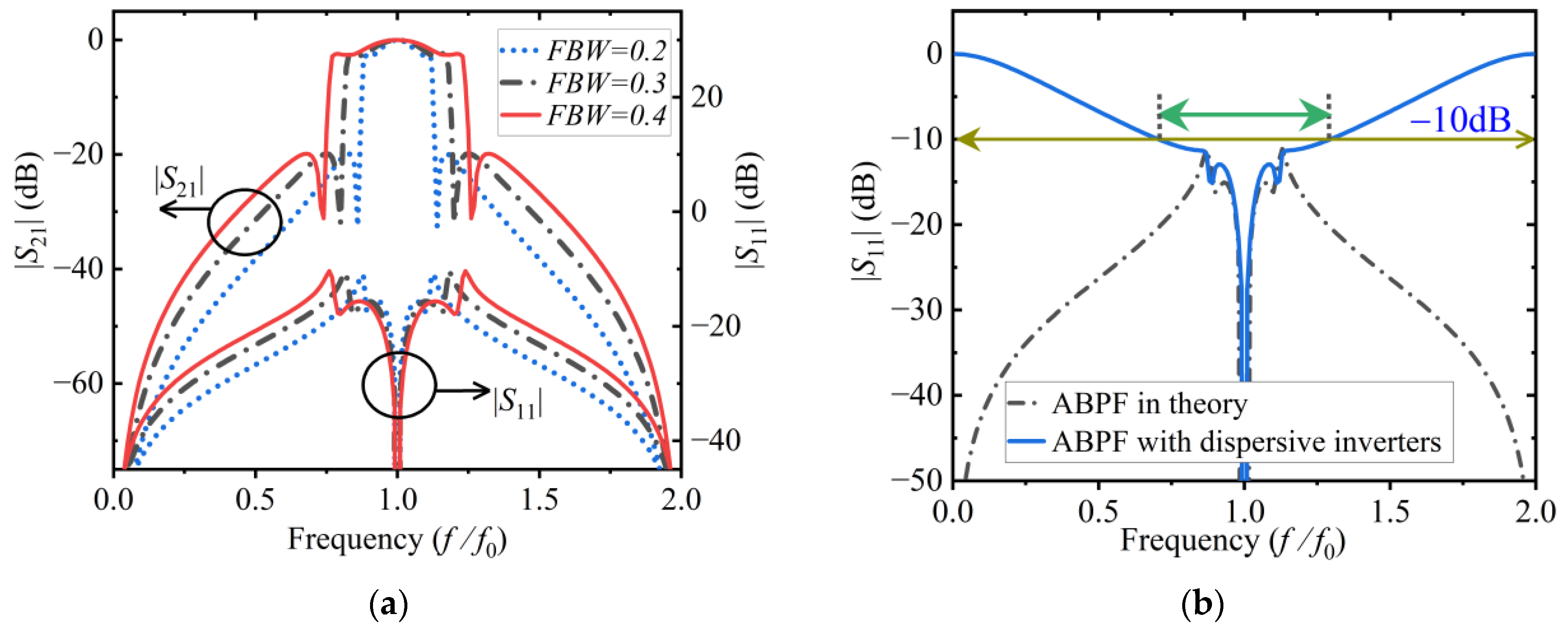
2.2. Lowpass to Bandpass Transformation
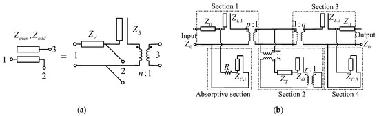
2.3. Equivalent Impedance Transformer Circuit Model
2.4. Coupled-Line-Based Quasi-Elliptic ABPF Scheme
3. Implementation and Discussion
3.1. Simulation and Measurement Results
3.2. Discussion and Recommendation
4. Conclusions
Author Contributions
Funding
Data Availability Statement
Conflicts of Interest
References
- Yang, L.; Gómez-García, R. High-order quasi-elliptic-type single-ended and balanced wideband bandpass filters using microstrip-to-microstrip vertical transitions. IEEE Trans. Circuits Syst. II Exp. Briefs 2023, 70, 1425–1429. [Google Scholar] [CrossRef]
- Chu, Q.-X.; Qiu, L.-L. Wideband balanced filters with high selectivity and common-mode suppression. IEEE Trans. Microw. Theory Tech. 2015, 63, 3462–3468. [Google Scholar] [CrossRef]
- Li, X.; Xing, M.; Liu, G.; Yang, X.; Dai, C.; Hou, M. Compact, reflectionless band-pass filter: Based on GaAs IPD process for highly reliable communication. Electronics 2021, 10, 2998. [Google Scholar] [CrossRef]
- Moon, S.-M.; Lee, H.L.; Lee, M.-Q. Absorptive K-band bandpass filter using a balanced recursive structure. Electronics 2020, 9, 1633. [Google Scholar] [CrossRef]
- Zhang, S.; Liu, H.; Chen, S.; Wang, Z.; Fang, S. Synthesis of wideband all-frequency absorptive filtering power divider with high selectivity and flat output port distributions. Electronics 2023, 12, 3704. [Google Scholar] [CrossRef]
- Morgan, M.A.; Boyd, T.A. Theoretical and experimental study of a new class of reflectionless filter. IEEE Trans. Microw. Theory Tech. 2011, 59, 1214–1221. [Google Scholar] [CrossRef]
- Morgan, M.A.; Boyd, T.A. Reflectionless filter structures. IEEE Trans. Microw. Theory Tech. 2015, 63, 1263–1271. [Google Scholar] [CrossRef]
- Lu, Q.-Y.; Wang, J.; Zhu, L.; Xia, Z.; Wu, W. Design of reflectionless bandpass filters based on asymmetric reciprocal filtering network. IEEE Trans. Microw. Theory Tech. 2023; Early Access. [Google Scholar] [CrossRef]
- Fan, M.; Song, K.; Yang, L.; Gomez-Garcia, R. Frequency-tunable constant-absolute-bandwidth single-/dual-passband filters and diplexers with all-port-reflectionless behavior. IEEE Trans. Microw. Theory Tech. 2021, 69, 1365–1377. [Google Scholar] [CrossRef]
- Liu, C.; Deng, Z.; Liu, X.; Luo, X. A wideband bandpass filter with broad stopband and ultra-wide reflectionless range for 5G applications. In Proceedings of the 2019 IEEE MTT-S International Microwave Symposium (IMS), Boston, MA, USA, 2–7 June 2019; pp. 834–837. [Google Scholar] [CrossRef]
- Lee, J.; Lee, J. Transmission-line bandpass filter structures with infinite reflectionless range. IEEE Trans. Circuits Syst. I Reg. Pap. 2022, 69, 2387–2398. [Google Scholar] [CrossRef]
- Li, X.; Xiao, J. Reflectionless ultra-wideband bandpass filter based on suspended coplanar waveguide-microstrip broadside coupling. AEU Int. J. Electron. Commun. 2024, 175, 155100. [Google Scholar] [CrossRef]
- Psychogiou, D.; Gómez-García, R. Reflectionless adaptive RF filters: Bandpass, bandstop, and cascade designs. IEEE Trans. Microw. Theory Tech. 2017, 65, 4593–4605. [Google Scholar] [CrossRef]
- Gómez-García, R.; Muñoz-Ferreras, J.-M.; Psychogiou, D. Symmetrical quasi-absorptive RF bandpass filters. IEEE Trans. Microw. Theory Tech. 2019, 67, 1472–1482. [Google Scholar] [CrossRef]
- Wu, X.; Li, Y.; Liu, X. High-order dual-port quasi-absorptive microstrip coupled-line bandpass filters. IEEE Trans. Microw. Theory Tech. 2020, 68, 1462–1475. [Google Scholar] [CrossRef]
- Luo, C.; Wong, S.-W.; Lin, J.-Y.; Yang, Y.; Li, Y.; Yu, X.-Z.; Feng, L.-P.; Tu, Z.-H.; Zhu, L. Quasi-reflectionless microstrip bandpass filters using bandstop filter for out-of-band improvement. IEEE Trans. Circuits Syst. II Exp. Briefs 2020, 67, 1849–1853. [Google Scholar] [CrossRef]
- Yang, L.; Gómez-García, R.; Muñoz-Ferreras, J.-M.; Zhang, R.; Peroulis, D.; Zhu, L. Multilayered reflectionless wideband bandpass filters with shunt/in-series resistively terminated microstrip lines. IEEE Trans. Microw. Theory Tech. 2020, 68, 877–893. [Google Scholar] [CrossRef]
- Wei, F.; Xue, Y.-C.; Zhao, X.-B.; Liu, W.-S.; Xu, L.; Zhang, P.F. Balanced BPF with dual-port quasi-reflectionless characteristic and selectivity enhancement. IEEE Trans. Circuits Syst. II Exp. Briefs 2023, 70, 994–998. [Google Scholar] [CrossRef]
- Jeong, S.-W.; Lee, T.-H.; Lee, J. Absorptive filter prototype and distributed-element absorptive bandpass filter. In Proceedings of the 2018 IEEE MTT-S International Conference on Numerical Electromagnetic and Multiphysics Modeling and Optimization (NEMO), Reykjavik, Iceland, 8–10 August 2018; pp. 1–4. [Google Scholar] [CrossRef]
- Jeong, S.-W.; Lee, T.-H.; Lee, J. Frequency- and bandwidth-tunable absorptive bandpass filter. IEEE Trans. Microw. Theory Tech. 2019, 67, 2172–2180. [Google Scholar] [CrossRef]
- Lee, T.-H.; Lee, B.; Kim, Y.-S.; Wu, K.; Lee, J. Higher order lumped element absorptive low-pass and bandpass filter structures. IET Microw. Antennas Propag. 2018, 13, 1166–1173. [Google Scholar] [CrossRef]
- Cho, Y.H.; Park, C. Tunable Absorptive bandpass filter with two transmission zeros based on image parameter method. IET Microw. Opt. Technol. Lett. 2023, 66, 1. [Google Scholar] [CrossRef]
- Gómez-Garcia, R.; Muñoz-Ferreras, J.-M.; Psychogiou, D. High-order input-reflectionless bandpass/bandstop filters and multiplexers. IEEE Trans. Microw. Theory Tech. 2019, 67, 3683–3695. [Google Scholar] [CrossRef]
- Malki, M.; Yang, L.; Gómez-García, R. Input-reflectionless quasi-elliptic-type single- and dual-band bandpass filters based on passive channelized principles. IEEE Trans. Circuits Syst. I Reg. Pap. 2023, 70, 190–202. [Google Scholar] [CrossRef]
- Yang, L.; Zhu, X.; Gómez-García, R. High-order quasi-elliptic-type wideband bandpass filter with ultrabroad input-reflectionless stopband range. IEEE Microw. Wirel. Technol. Lett. 2023, 33, 655–658. [Google Scholar] [CrossRef]
- Yang, L.; Gómez-García, R.; Fan, M.; Zhang, R. Multilayered input-reflectionless quasi-elliptic-type wideband bandpass filtering devices on diplexer-based structures. IEEE Trans. Microw. Theory Tech. 2022, 70, 122–138. [Google Scholar] [CrossRef]
- Matthaei, G.L.; Young, L.; Jones, E.M.T. Microwave Filters, Impedance-Matching Networks, and Coupling Structures; Artech House: Dedham, MA, USA, 1980. [Google Scholar]
- Nemoto, Y.; Kobayashi, K.; Sato, R. Graph transformations of non-uniform coupled transmission line networks and their application. IEEE Trans. Microw. Theory Tech. 1985, 33, 1257–1263. [Google Scholar] [CrossRef]
- Lee, J.; Lee, J. Implementation of distributed-element foster section and its applications to bandpass filters. IEEE Microw. Wireless Compon. Lett. 2022, 32, 391–394. [Google Scholar] [CrossRef]
- Tong, R.; Olsson, J.; Dancila, D. An improved analytical model for broadside coupled transmission line used on planar circuit. AEU Int. J. Electron. Commun. 2021, 138, 1434–8411. [Google Scholar] [CrossRef]
- Xiao, J.; Zhang, J.; Pu, J. Analysis and implementation of self-packaged multi-layer suspended coplanar waveguide and its applications in filtering circuits. IEEE Access 2022, 10, 456–467. [Google Scholar] [CrossRef]









| ΩZ | |||||||
|---|---|---|---|---|---|---|---|
| 1.4 | 1.0 | 0.886 | 1.277 | 1.473 | 0.346 | 1.277 | 0.470 |
| 1.6 | 1.0 | 0.982 | 1.207 | 0.839 | 0.464 | 1.207 | 0.513 |
| 1.8 | 1.0 | 1.011 | 1.164 | 0.540 | 0.571 | 1.164 | 0.608 |
| w0 | w1 | w2 | w3 | w4 | w5 | l1 |
|---|---|---|---|---|---|---|
| 1.10 | 0.80 | 0.76 | 0.80 | 4.30 | 2.00 | 18.2 |
| l2 | l3 | l4 | l5 | S1 | S2 | R1 |
| 16.7 | 18.1 | 19.6 | 17.5 | 0.10 | 0.15 | 51.0 |
| Ref. | f0 (GHz) | IL (dB) | QET | Closed- Method | Order | Rejection /Stopband | U/L Roll-off Rate (dBc/GHz) | Reflectionless Range | Size (λg2) |
|---|---|---|---|---|---|---|---|---|---|
| [8] | 2.00 | 1.40 | No | No | 2 | 30 dB/1.75 f0 | NA | 0.7–1.3 f0 | 0.22 |
| [14] | 2.49 | 0.90 | No | Yes | 2 | 20 dB/1.40 f0 | NA | 0.6–1.3 f0 | 0.78 |
| [15] | 2.45 | 1.10 | No | No | 3 | NA | 70.1/77.3 * | 0.4–2.7 f0 | 0.82 |
| [16] | 1.98 | 0.71 | No | No | 3 | NA | 39.5/43.5 * | 0.2–1.8 f0 | 0.39 |
| [17] | 2.03 | 0.52 | No | Yes | 4 | NA | 25.8/22.1 * | DC–2.2 f0 | 0.66 |
| [23] | 1.96 | 0.95 | Yes | Yes | 3 | 20 dB/2.73 f0 | NA | 0.5–1.5 f0 | 1.09 |
| [24] | 2.98 | 2.20 | Yes | Yes | 2 | 30 dB/1.91 f0 | 74.8/58.7 | 0.5–1.3 f0 | NA |
| [26] | 1.98 | 0.75 | Yes | Yes | 6 | 28 dB/2.42 f0 | 68.5/100.5 * | DC–2.8 f0 | 1.97 |
| This work | 2.45 | 0.83 | Yes | Yes | 4 | 20 dB/2.77 f0 | 93.9/121.4 | DC–5.2 f0 | 0.12 |
Disclaimer/Publisher’s Note: The statements, opinions and data contained in all publications are solely those of the individual author(s) and contributor(s) and not of MDPI and/or the editor(s). MDPI and/or the editor(s) disclaim responsibility for any injury to people or property resulting from any ideas, methods, instructions or products referred to in the content. |
© 2024 by the authors. Licensee MDPI, Basel, Switzerland. This article is an open access article distributed under the terms and conditions of the Creative Commons Attribution (CC BY) license (https://creativecommons.org/licenses/by/4.0/).
Share and Cite
Zhang, A.; Xu, J.; Liu, Z.; Zhang, Y. Microstrip Quasi-Elliptic Absorptive Bandpass Filter with Ultra-Wide Reflectionless Range and Compact Size. Electronics 2024, 13, 1841. https://doi.org/10.3390/electronics13101841
Zhang A, Xu J, Liu Z, Zhang Y. Microstrip Quasi-Elliptic Absorptive Bandpass Filter with Ultra-Wide Reflectionless Range and Compact Size. Electronics. 2024; 13(10):1841. https://doi.org/10.3390/electronics13101841
Chicago/Turabian StyleZhang, Awei, Jinping Xu, Zhiqiang Liu, and Yuwei Zhang. 2024. "Microstrip Quasi-Elliptic Absorptive Bandpass Filter with Ultra-Wide Reflectionless Range and Compact Size" Electronics 13, no. 10: 1841. https://doi.org/10.3390/electronics13101841
APA StyleZhang, A., Xu, J., Liu, Z., & Zhang, Y. (2024). Microstrip Quasi-Elliptic Absorptive Bandpass Filter with Ultra-Wide Reflectionless Range and Compact Size. Electronics, 13(10), 1841. https://doi.org/10.3390/electronics13101841

