Parasitic-Based Model for Characterizing False Turn-On and Switching-Based Voltage Oscillation in Hybrid T-Type Converter
Abstract
1. Introduction
- A general switching model of three-phase hybrid T-Type converter, consisting of SiC MOSFETs and Si IGBTs, is developed, which has not been studied before. This type of front-end converter is chosen due to the comparison results yielded from [42]. All possible effective parasitic components, which are modeled as stray inductances and switch intrinsic capacitors, are considered in the model. This makes a comprehensive model to be applied to other power electronic converter types.
- Unlike the conventional analytical model of the converter, sensitivity analysis is carried out here to investigate the impact of parasitic capacitances and inductances on the damping and natural oscillation frequency of the switch drain–source and gate–source voltages, simultaneously. This way, the most critical parasitic parameters affecting voltage overshoot and false turn-on are determined using the same analytical model.
- Regarding the proposed built compact converter, a new issue has been raised which is affecting the voltage oscillation characteristics across the switch. Accordingly, the effect of the switching in one phase on the drain–source voltage of the switches in the other phases is investigated in detail by simulating the equivalent circuit model, which was not completely focused in the literature.
- Simulation and experimental results have been carried out to verify the analytical model.
2. Topology-Based Miller Plateau Analysis
- (1)
- For the upper side half-bridge, where turning-on of SiC MOSFET (Q1) affects false turn-on of Si IGBT (Q3);
- (2)
- For the lower side half-bridge, where turning-on of Si IGBT (Q4) affects false turn-on of SiC MOSFET (Q2);
- (3)
- For leg switches, where turning-on of SiC MOSFET (Q1) affects false turn-on of SiC MOSFET (Q2).
3. Developed Model-Based Study
3.1. Simple Circuit Model
3.2. Higher Order False Turn-On Model Considering Parasitic Parameters
4. Model Discussion
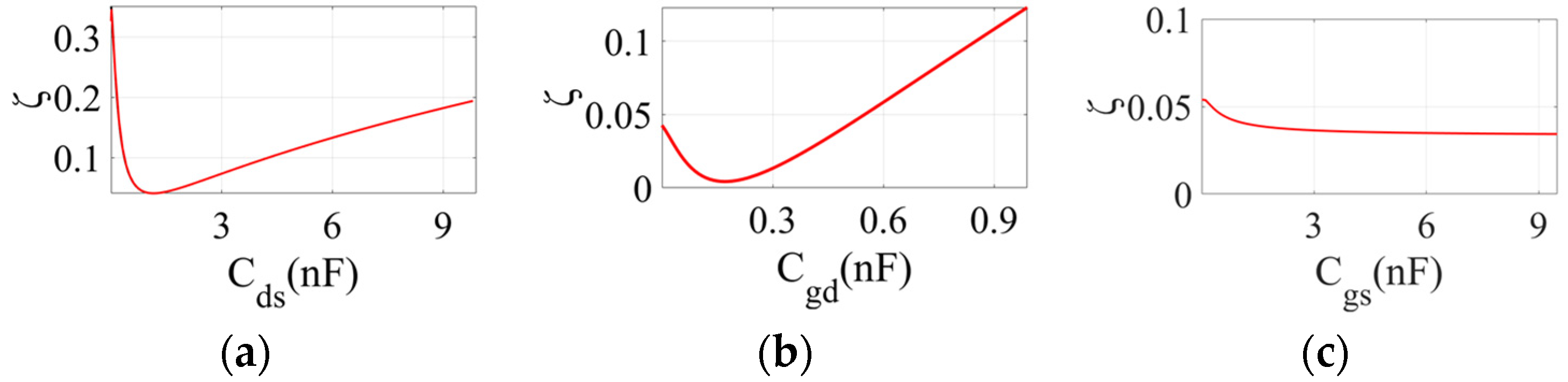
4.1. Sensitivity Analysis of ωn and ζ
4.2. Dependency of False Turn-On on Parasitics
5. Model Extension to Three-Phase T-Type Converter
6. Experimental Evaluation
6.1. Double Pulse Setup Test
6.2. False Turn-On Evaluation
6.3. Voltage Stress Evaluation
6.4. Effects of dv/dt
7. Conclusions
Author Contributions
Funding
Data Availability Statement
Conflicts of Interest
References
- Bhattacharya, S.; Narwal, R.; Shah, S.S.; Baliga, B.J.; Agarwal, A.; Kanale, A.; Han, K.; Hopkins, D.C.; Cheng, T.-H. Power Conversion Systems Enabled by SiC BiDFET Device. IEEE Power Electron. Mag. 2023, 10, 39–43. [Google Scholar] [CrossRef]
- Kumar, A.; Moradpour, M.; Losito, M.; Franke, W.-T.; Ramasamy, S.; Baccoli, R.; Gatto, G. Wide band gap devices and their application in power electronics. Energies 2022, 15, 9172. [Google Scholar] [CrossRef]
- Yadlapalli, R.T.; Kotapati, A.; Kandipati, R.; Koritala, C.S. A review on energy efficient technologies for electric vehicle applications. J. Energy Storage 2022, 50, 104212. [Google Scholar] [CrossRef]
- Mocevic, S.; Yu, J.; Fan, B.; Sun, K.; Xu, Y.; Stewart, J.; Rong, Y.; Song, H.; Mitrovic, V.; Yan, N. Design of a 10 kV SiC MOSFET-based high-density, high-efficiency, modular medium-voltage power converter. IEnergy 2022, 1, 100–113. [Google Scholar] [CrossRef]
- Cha, K.-H.; Ju, C.-T.; Kim, R.-Y. Analysis and evaluation of WBG power device in high frequency induction heating application. Energies 2020, 13, 5351. [Google Scholar] [CrossRef]
- Dini, P.; Ariaudo, G.; Botto, G.; Greca, F.L.; Saponara, S. Real-time electro-thermal modelling and predictive control design of resonant power converter in full electric vehicle applications. IET Power Electron. 2023, 16, 2045–2064. [Google Scholar] [CrossRef]
- Dini, P.; Basso, G.; Saponara, S.; Romano, C. Real-time monitoring and ageing detection algorithm design with application on SiC-based automotive power drive system. IET Power Electron. 2024. [Google Scholar] [CrossRef]
- Verbrugge, B.; Rasool, H.; Hasan, M.M.; Chakraborty, S.; Geury, T.; El Baghdadi, M.; Hegazy, O. Reliability Assessment of SiC-Based Depot Charging Infrastructure with Smart and Bidirectional (V2X) Charging Strategies for Electric Buses. Energies 2022, 16, 153. [Google Scholar] [CrossRef]
- Buffolo, M.; Favero, D.; Marcuzzi, A.; De Santi, C.; Meneghesso, G.; Zanoni, E.; Meneghini, M. Review and Outlook on GaN and SiC Power Devices: Industrial State-of-the-Art, Applications, and Perspectives. IEEE Trans. Electron Devices 2024, 71, 1344–1355. [Google Scholar] [CrossRef]
- Rasool, H.; Verbrugge, B.; Zhaksylyk, A.; Tran, T.M.; El Baghdadi, M.; Geury, T.; Hegazy, O. Design optimization and electro-thermal modeling of an off-board charging system for electric bus applications. IEEE Access 2021, 9, 84501–84519. [Google Scholar] [CrossRef]
- Dini, P.; Saponara, S. Electro-thermal model-based design of bidirectional on-board chargers in hybrid and full electric vehicles. Electronics 2021, 11, 112. [Google Scholar] [CrossRef]
- Dini, P.; Saponara, S.; Chakraborty, S.; Hosseinabadi, F.; Hegazy, O. Experimental Characterization & Electro-Thermal Modeling of Double Side Cooled SiC MOSFETs for Accurate and Rapid Power Converter Simulations. IEEE Access 2023, 11, 79120–79143. [Google Scholar]
- Tan, J.; Zhou, Z. An Optimized Switching Strategy Based on Gate Drivers with Variable Voltage to Improve the Switching Performance of SiC MOSFET Modules. Energies 2023, 16, 5984. [Google Scholar] [CrossRef]
- Wei, S.; Wen, W. High-Frequency Oscillation of the Active-Bridge-Transformer-Based DC/DC Converter. Energies 2022, 15, 3311. [Google Scholar] [CrossRef]
- Khanna, R.; Amrhein, A.; Stanchina, W.; Reed, G.; Mao, Z.-H. An analytical model for evaluating the influence of device parasitics on Cdv/dt induced false turn-on in SiC MOSFETs. In Proceedings of the 2013 Twenty-Eighth Annual IEEE Applied Power Electronics Conference and Exposition (APEC), Long Beach, CA, USA, 17–21 March 2013. [Google Scholar]
- Zhao, Q.; Stojcic, G. Characterization of Cdv/dt induced power loss in synchronous buck DC-DC converters. In Proceedings of the Nineteenth Annual IEEE Applied Power Electronics Conference and Exposition, 2004. APEC’04, Anaheim, CA, USA, 22–26 February 2004. [Google Scholar]
- Peters, D.; Aichinger, T.; Basler, T.; Rescher, G.; Puschkarsky, K.; Reisinger, H. Investigation of threshold voltage stability of SiC MOSFETs. In Proceedings of the 2018 IEEE 30th International Symposium on Power Semiconductor Devices and ICs (ISPSD), Chicago, IL, USA, 13–17 May 2018. [Google Scholar]
- Li, R.; Zhu, Q.; Xie, M. A new analytical model for predicting dv/dt-induced low-side MOSFET false turn-ON in synchronous buck converters. IEEE Trans. Power Electron. 2018, 34, 5500–5512. [Google Scholar] [CrossRef]
- Dalal, D.N.; Christensen, N.; Jørgensen, A.B.; Jørgensen, J.K.; Bęczkowski, S.; Munk-Nielsen, S.; Uhrenfeldt, C. Impact of power module parasitic capacitances on medium-voltage SiC MOSFETs switching transients. IEEE J. Emerg. Sel. Top. Power Electron. 2019, 8, 298–310. [Google Scholar] [CrossRef]
- Liu, B.; Ren, R.; Jones, E.A.; Gui, H.; Zhang, Z.; Chen, R.; Wang, F.; Costinett, D. Effects of junction capacitances and commutation loops associated with line-frequency devices in three-level ac/dc converters. IEEE Trans. Power Electron. 2018, 34, 6155–6170. [Google Scholar] [CrossRef]
- Xie, W.; Ji, S.; Zhao, Z.; Mo, X. SiC MOSFET Crosstalk Modelling with Suppression Considering Impacts of dv/dt and di/dt. In Proceedings of the 2023 11th International Conference on Power Electronics and ECCE Asia (ICPE 2023-ECCE Asia), Jeju Island, Republic of Korea, 22–25 May 2023. [Google Scholar]
- Khanna, R.; Stanchina, W.; Reed, G. Effects of parasitic capacitances on gallium nitride heterostructure power transistors. In Proceedings of the 2012 IEEE Energy Conversion Congress and Exposition (ECCE), Raleigh, NC, USA, 15–20 September 2012. [Google Scholar]
- Wei, S.; Zhao, Z.; Yuan, L.; Wen, W.; Chen, K. Voltage oscillation suppression for the high-frequency bus in modular-multiactive-bridge converter. IEEE Trans. Power Electron. 2021, 36, 9737–9742. [Google Scholar] [CrossRef]
- HIZARCI, H.; KALAYCI, K.; Demirel, O.; Arifoğlu, U. Reducing electromagnetic interference in three-level T-type isolated bidirectional DC-DC converter using a snubber circuit. Int. J. Appl. Math. Electron. Comput. 2021, 9, 26–34. [Google Scholar] [CrossRef]
- Zhang, M.; Ren, N.; Guo, Q.; Sheng, K. Understanding Turn-On Transients of SiC High-Power Modules: Drain-Source Voltage Plateau Characteristics. Energies 2020, 13, 3802. [Google Scholar] [CrossRef]
- Qin, H.; Ma, C.; Wang, D.; Xie, H.; Zhu, Z.; Xu, K.; Wang, S. An overview of SiC MOSFET gate drivers. In Proceedings of the 2017 12th IEEE Conference on Industrial Electronics and Applications (ICIEA), Siem Reap, Cambodia, 18–20 June 2017. [Google Scholar]
- Ma, C.-T.; Gu, Z.-H. Review on driving circuits for wide-bandgap semiconductor switching devices for mid-to high-power applications. Micromachines 2021, 12, 65. [Google Scholar] [CrossRef] [PubMed]
- Gao, F.; Zhou, Q.; Wang, P.; Zhang, C. A gate driver of SiC MOSFET for suppressing the negative voltage spikes in a bridge circuit. IEEE Trans. Power Electron. 2017, 33, 2339–2353. [Google Scholar] [CrossRef]
- Babaki, A.; Vaez-Zadeh, S.; Jahanpour-Dehkordi, M.; Zakerian, A. Wireless motor drives with a single inverter in primary side of power transfer systems. In Proceedings of the 2019 IEEE PELS Workshop on Emerging Technologies: Wireless Power Transfer (WoW), London, UK, 18–21 June 2019. [Google Scholar]
- Okilly, A.H.; Baek, J. Design and Fabrication of an Isolated Two-Stage AC–DC Power Supply with a 99.50% PF and ZVS for High-Power Density Industrial Applications. Electronics 2022, 11, 1898. [Google Scholar] [CrossRef]
- Liu, S.; Lin, H.; Wang, T. Comparative study of three different passive snubber circuits for SiC power MOSFETs. In Proceedings of the 2019 IEEE Applied Power Electronics Conference and Exposition (APEC), Anaheim, CA, USA, 17–21 March 2019. [Google Scholar]
- Dzhunusbekov, E.; Orazbayev, S. A new passive lossless snubber. IEEE Trans. Power Electron. 2021, 36, 9263–9272. [Google Scholar] [CrossRef]
- Behera, S.; Dash, S.K.; Sahu, M.K.; Sahu, I.; Parida, S. Design and Development of a New Soft-Switching Buck Converter. In Proceedings of the 2023 International Conference on Power Electronics and Energy (ICPEE), Bhubaneswar, India, 3–5 January 2023. [Google Scholar]
- Kasasbeh, A.; Kelleci, B.; Ozturk, S.B.; Aksoz, A.; Hegazy, O. Sepic converter with an LC regenerative snubber for ev applications. Energies 2020, 13, 5765. [Google Scholar] [CrossRef]
- Pastor, M.; Dudrik, J.; Michal, R. High-Frequency Soft-Switching DC-DC Converter with Simple Secondary Turn-Off Snubber. In Proceedings of the 2022 IEEE 20th International Power Electronics and Motion Control Conference (PEMC), Brasov, Romania, 25–28 September 2022. [Google Scholar]
- Christensen, N. Demonstration of High Power Density kW Converters Utilizing Wide-Band Gap Devices. Ph.D. Thesis, Aalborg University, Aalborg, Denmark, 2019. [Google Scholar]
- Mukherjee, S.; Ruiz, J.M.; Barbosa, P. A high power density wide range DC–DC converter for universal electric vehicle charging. IEEE Trans. Power Electron. 2022, 38, 1998–2012. [Google Scholar] [CrossRef]
- Liu, H.; Wang, Y.; Wheeler, P.; Zhou, X.; Zhu, K. A voltage spike suppression strategy based on De-Re-coupling idea for the three-phase high-frequency isolated matrix-type inverter. IEEE Trans. Power Electron. 2022, 37, 9024–9034. [Google Scholar] [CrossRef]
- Athwer, A.; Darwish, A. A Review on Modular Converter Topologies Based on WBG Semiconductor Devices in Wind Energy Conversion Systems. Energies 2023, 16, 5324. [Google Scholar] [CrossRef]
- Bonyadi, R.; Alatise, O.; Jahdi, S.; Hu, J.; Gonzalez, J.A.O.; Ran, L.; Mawby, P.A. Compact electrothermal reliability modeling and experimental characterization of bipolar latchup in SiC and CoolMOS power MOSFETs. IEEE Trans. Power Electron. 2015, 30, 6978–6992. [Google Scholar] [CrossRef]
- Heng, K.; Yang, X.; Wu, X.; Ye, J.; Liu, G. A temperature-dependent physical thermal network model including thermal boundary conditions for SiC MOSFET module. IEEE Trans. Electron Devices 2022, 69, 4444–4452. [Google Scholar] [CrossRef]
- Dalal, D.N.; Zhao, H.; Jørgensen, J.K.; Christensen, N.; Jørgensen, A.B.; Bȩczkowski, S.; Uhrenfeldt, C.; Munk-Nielsen, S. Demonstration of a 10 kV SiC MOSFET based medium voltage power stack. In Proceedings of the 2020 IEEE Applied Power Electronics Conference and Exposition (APEC), New Orleans, LA, USA, 15–19 March 2020. [Google Scholar]
- Rodríguez, M.; Rodríguez, A.; Miaja, P.F.; Lamar, D.G.; Zúniga, J.S. An insight into the switching process of power MOSFETs: An improved analytical losses model. IEEE Trans. Power Electron. 2010, 25, 1626–1640. [Google Scholar] [CrossRef]






























| Parameter | Definition | Value | Parameter | Definition | Value |
|---|---|---|---|---|---|
| L+ | Upper side conductor leakage inductance | 12.5 nH | L− | Lower side conductor inductance | 12.5 nH |
| Rleak+ | Upper side conductor leakage resistance | 12.5 mΩ | Rleak.− | Lower side conductor resistance | 12.5 mΩ |
| Lmid | Leg inductance between the switches | 5 nH | Rmid | Leg resistance between the switches | 5 mΩ |
| Ll+ | Leg inductance on top of the upper switch | 5 nH | Ll− | Leg inductance under the lower switch | 5 nH |
| Rl+ | Leg resistance on top of the upper switch | 5 mΩ | Rl− | Leg resistance under the lower switch | 5 mΩ |
| LG2 | Gate on/off stray inductance | 0.5 nH | RG2,on | Gate ON-resistance | 15.6 Ω |
| Cgd2 | Gate–Drain capacitor for SiC | 10 pF | Cgs2 | Gate–Source capacitor for SiC | 1300 pF |
| Cds2 | Drain–Source capacitor for SiC | 50 pF | Ron,Q1 | SiC MOSFET on resistance | 75 mΩ |
| Vref for: | |||||
|---|---|---|---|---|---|
| Phase 1/Sign | Phase 2/Sign | Phase 3/Sign | |||
| θ1 = 0–60° | + | 120°–180° | + | 240°–300° | - |
| θ1 = 60°–120° | + | 180°–240° | - | 300°–360° | - |
| θ1 = 120°–180° | + | 240°–300° | - | 0–60° | + |
| Parameter | Definition | Value | Parameter | Definition | Value |
|---|---|---|---|---|---|
| L+ | Upper side conductor leakage inductance | 40 nH | L− | Conductor leakage inductance | 40 nH |
| Ron,11 | SiC MOSFET ON-resistance | 75 mΩ | R’on,14 | Si IGBT ON-resistance | 75 mΩ |
| Cds31, Cds22, Cds12 | SiC MOSFET drain–source capacity | 550 pF | C’ds13 | Si IGBT drain–source capacity | 55 pF |
Disclaimer/Publisher’s Note: The statements, opinions and data contained in all publications are solely those of the individual author(s) and contributor(s) and not of MDPI and/or the editor(s). MDPI and/or the editor(s) disclaim responsibility for any injury to people or property resulting from any ideas, methods, instructions or products referred to in the content. |
© 2024 by the authors. Licensee MDPI, Basel, Switzerland. This article is an open access article distributed under the terms and conditions of the Creative Commons Attribution (CC BY) license (https://creativecommons.org/licenses/by/4.0/).
Share and Cite
Babaki, A.; Golsorkhi, M.S.; Christensen, N.; Baharizadeh, M.; Behrendt, S.; Beyer, J.; Ebel, T. Parasitic-Based Model for Characterizing False Turn-On and Switching-Based Voltage Oscillation in Hybrid T-Type Converter. Electronics 2024, 13, 1808. https://doi.org/10.3390/electronics13101808
Babaki A, Golsorkhi MS, Christensen N, Baharizadeh M, Behrendt S, Beyer J, Ebel T. Parasitic-Based Model for Characterizing False Turn-On and Switching-Based Voltage Oscillation in Hybrid T-Type Converter. Electronics. 2024; 13(10):1808. https://doi.org/10.3390/electronics13101808
Chicago/Turabian StyleBabaki, Amir, Mohammad Sadegh Golsorkhi, Nicklas Christensen, Mehdi Baharizadeh, Stefan Behrendt, Jesco Beyer, and Thomas Ebel. 2024. "Parasitic-Based Model for Characterizing False Turn-On and Switching-Based Voltage Oscillation in Hybrid T-Type Converter" Electronics 13, no. 10: 1808. https://doi.org/10.3390/electronics13101808
APA StyleBabaki, A., Golsorkhi, M. S., Christensen, N., Baharizadeh, M., Behrendt, S., Beyer, J., & Ebel, T. (2024). Parasitic-Based Model for Characterizing False Turn-On and Switching-Based Voltage Oscillation in Hybrid T-Type Converter. Electronics, 13(10), 1808. https://doi.org/10.3390/electronics13101808

