Admittance Remodeling Strategy of Grid-Connected Inverter Based on Improving GVF
Abstract
1. Introduction
2. Admittance Model and Stability Analysis of Grid-Connected Inverter
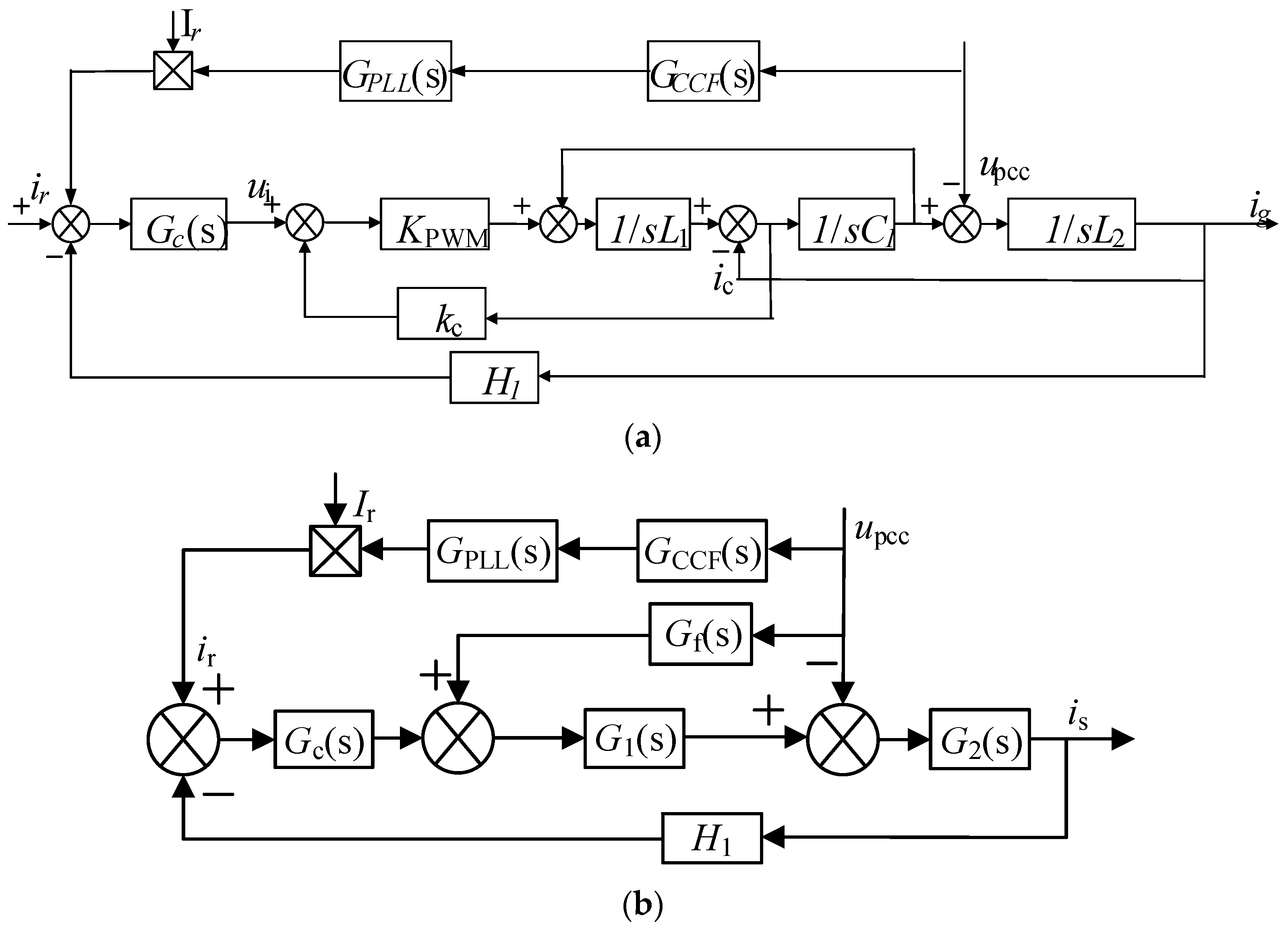
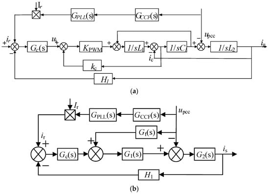
2.1. Output Admittance Model of Inverter System
2.2. Stability Analysis
3. Inverter Admittance Remodeling Strategy Based on Improved GVF
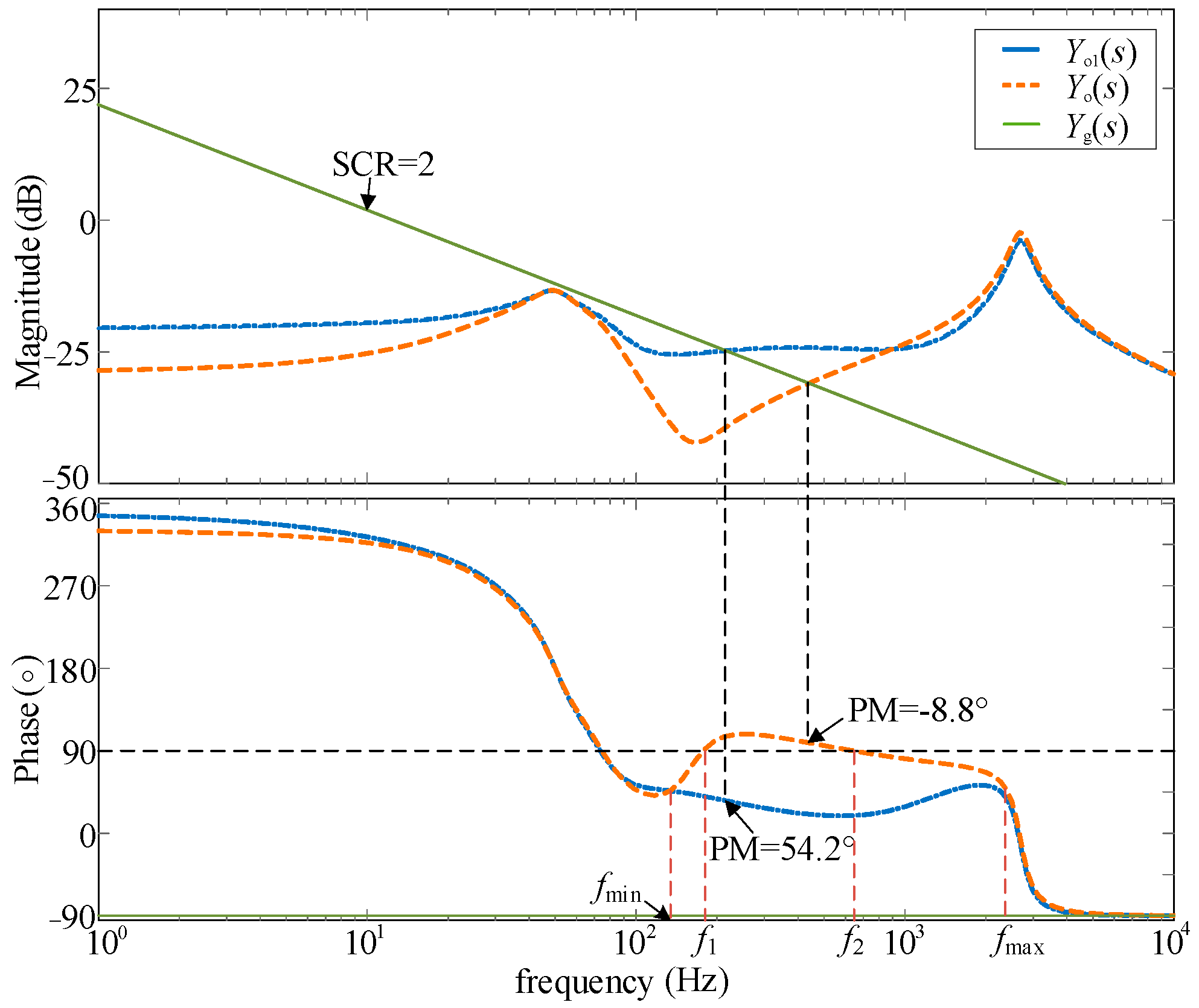
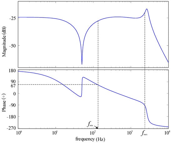
3.1. The Influence of Traditional GVF on System Stability
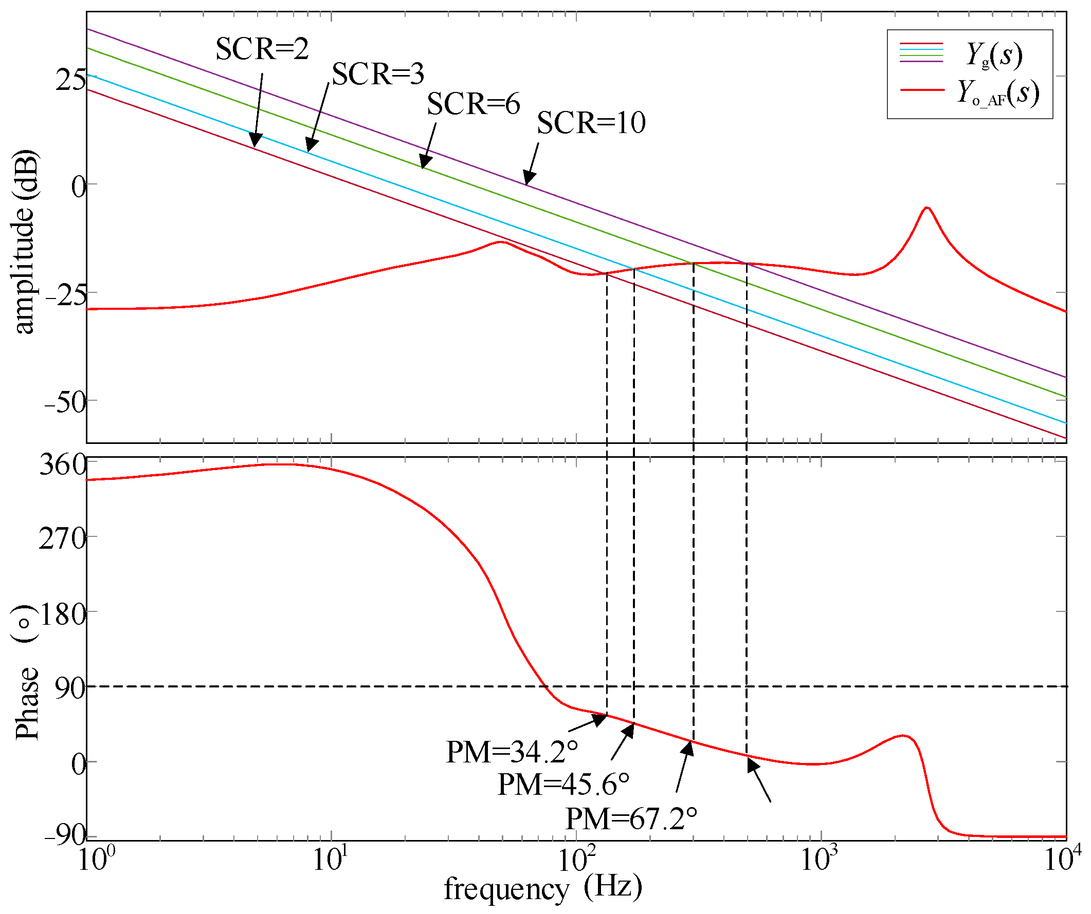
3.2. Improve the GVF Control Strategy
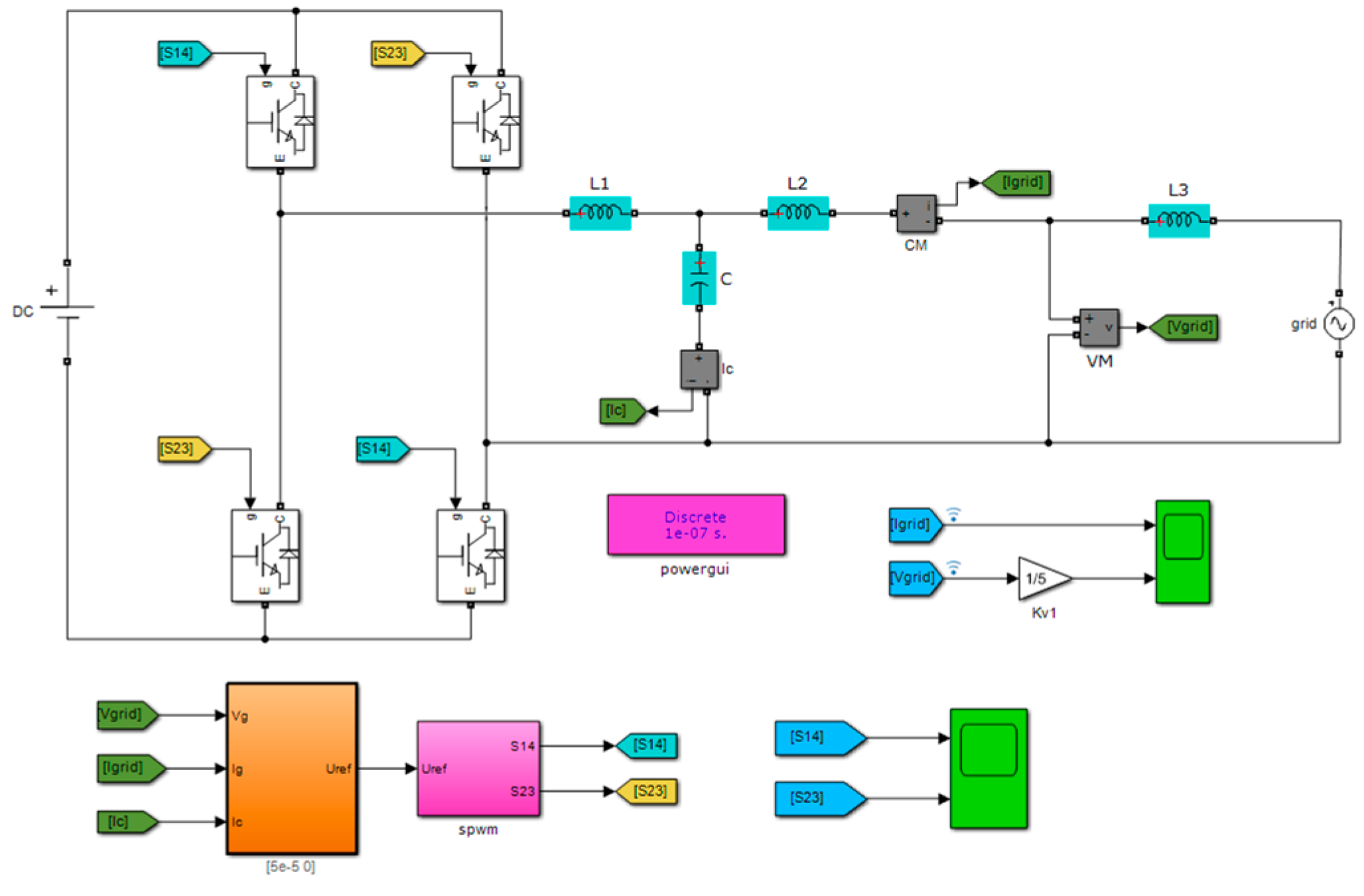
4. Simulation and Experimental Results
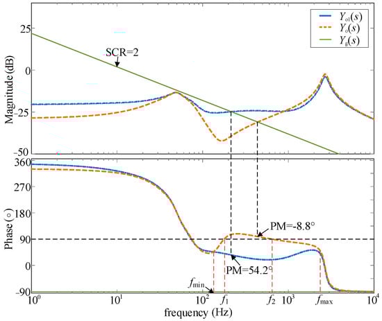
4.1. Simulated Analysis
4.2. Experiment Results
5. Conclusions
Author Contributions
Funding
Data Availability Statement
Conflicts of Interest
References
- Wu, W.; Liu, Y.; He, Y.; Chung, H.S.H.; Liserre, M.; Blaabjerg, F. Damping methods for resonances caused by LCL-filter-based current controlled grid-tied power inverters: An overview. IEEE Trans. Ind. Electron. 2017, 64, 7402–7413. [Google Scholar] [CrossRef]
- Yu, L.; Sun, H.; Zhao, B.; Xu, S.; Zhang, J.; Li, Z. ShiyunShort Circuit Ratio Index Analysis and Critical Short Circuit Ratio Calculation of Renewable Energy Grid-connected System. CSEE 2022, 42, 919–929. [Google Scholar]
- Chen, X.; Zhang, Y.; Wang, S.; Chen, J.; Gong, C. Impedance-phased dynamic control method for grid-connected inverters in a weak grid. IEEE Trans. Power Electron. 2016, 32, 274–283. [Google Scholar] [CrossRef]
- Li, M.; Zhang, X.; Guo, Z.; Wang, J.; Wang, Y.; Lib, F.; Zhao, W. The Control Strategy for the Grid-Connected Inverter through Impedance Reshaping in q-Axis and its Stability Analysis Under a Weak Grid. IEEE J. Emerg. Sel. Top. Power Electron. 2020, 9, 3229–3242. [Google Scholar] [CrossRef]
- Huanhai, X.; Wei, D.; Xiaoming, Y.; Deqiang, G.; Kang, W.; Huan, X. Generalized Short Circuit Ratio for Multi Power Electronic Based Devices Infeed to Power Systems. CSEE 2016, 36, 6013–6027. [Google Scholar]
- Fang, T.; Zhang, H.; Wu, H.; Zhang, Y. Robustness Enhancement of Coping with Dual Factors for Grid-Connected Inverter in Weak Grid Based on Synthesis-Admittance-Phasor Scheme. IEEE Trans. Ind. Electron. 2022, 14, 754–769. [Google Scholar] [CrossRef]
- Du, Y.; Sun, Q.; Yang, X.; Cui, L.; Zhang, J.; Wang, F. Adaptive Virtual Impedance of Grid-Tied Inverters to Enhance the Stability in a Weak Grid. J. Electr. Eng. Technol. 2019, 14, 1235–1246. [Google Scholar] [CrossRef]
- Xu, J.; Qian, Q.; Zhang, B.; Xie, S. Harmonics and stability analysis of single-phase grid-connected inverters in distributed power generation systems considering phase-locked loop impact. IEEE Trans. Sustain. Energy 2019, 10, 1470–1480. [Google Scholar] [CrossRef]
- Ali, Z.; Christofides, N.; Hadjidemetriou, L.; Kyriakides, E. Multi-functional distributed generation control scheme for improving the grid power quality. IET Power Electron. 2019, 12, 30–43. [Google Scholar] [CrossRef]
- Fang, J.; Li, X.; Li, H.; Tang, Y. Stability Improvement for Three-Phase Grid-Connected Converters Through Impedance Reshaping in Quadrature-Axis. IEEE Trans. Power Electron. 2018, 33, 8365–8375. [Google Scholar] [CrossRef]
- Xu, J.; Qian, Q.; Xie, S.; Zhang, B. Grid-voltage feedforward based control for grid-connected LCL-filtered inverter with high robustness and low grid current distortion in weak grid. In Proceedings of the 2016 IEEE Applied Power Electronics Conference and Exposition, IEEE, Long Beach, CA, USA, 20–24 March 2016; pp. 1919–1925. [Google Scholar]
- Guo, X.; Guerrero, J.M. Abc-frame complex-coefficient filter and controller based current harmonic elimination strategy for three-phase grid connected inverter. Mod. Power Syst. Clean Energy 2016, 4, 87–93. [Google Scholar] [CrossRef]
- Lee, K.J.; Lee, J.P.; Shin, D.; Yoo, D.W.; Kim, H.J. A novel grid synchronization PLL method based on adaptive low-pass notch filter for grid-connected PCS. IEEE Trans. Ind. Electron. 2013, 61, 292–301. [Google Scholar] [CrossRef]
- Tu, C.; Gao, J.; Li, Q. Research on adaptability of grid-connected inverter with complex coefficient-filter structure phase locked loop to weak grid. Trans. Electrotech. Soc. 2020, 35, 2632–2642. [Google Scholar]
- Lin, Z.; Chen, Z.; Yajuan, L.; Bin, L.; Jinhong, L.; Bao, X. Phase-reshaping strategy for enhancing grid-connected inverter robustness to grid impedance. IET Power Electron. 2018, 11, 1434–1443. [Google Scholar] [CrossRef]
- Lin, Z.; Ruan, X.; Wu, L.; Zhang, H.; Li, W. Multi resonant Component-Based Grid-Voltage-Weighted Feedforward Scheme for Grid-Connected Inverter to Suppress the Injected Grid Current Harmonics under Weak Grid. IEEE Trans. Power Electron. 2020, 9, 9784–9793. [Google Scholar] [CrossRef]
- Yan, Q.; Wu, X.; Yuan, X.; Geng, Y. An improved grid-Voltage feedforward strategy for high-power three-phase grid-connected inverters based on the simplified repetitive predictor. IEEE Trans. Power Electron. 2016, 31, 3880–3897. [Google Scholar] [CrossRef]
- Xu, J.; Xie, S.; Zhang, B.; Qian, Q. Robust grid current control with impedance-phase shaping for LCL-filtered inverters in weak and distorted grid. IEEE Trans. Power Electron. 2018, 33, 10240–10250. [Google Scholar] [CrossRef]
- Wang, X.; Qin, K.; Ruan, X.; Pan, D.; He, Y.; Liu, F. A robust grid-voltage feedforward scheme to improve adaptability of grid-connected inverter to weak grid condition. IEEE Trans. Power Electron. 2020, 36, 2384–2395. [Google Scholar] [CrossRef]
- Yang, S.; Tong, X.; Yin, J.; Wang, H.; Deng, Y.; Liu, L. BPF-based grid voltage feedforward control of grid-connected converters for improving robust stability. J. Power Electron. 2017, 17, 432–441. [Google Scholar] [CrossRef]
- Xu, J.; Xie, S.; Qian, Q.; Zhang, B. Adaptive feedforward algorithm without grid impedance estimation for inverters to suppress grid current instabilities and harmonics due to grid impedance and grid voltage distortion. IEEE Trans. Ind. Electron. 2017, 64, 7574–7586. [Google Scholar] [CrossRef]
- Khajeh, K.G.; Farajizadeh, F.; Solatialkaran, D. A full-feedforward technique to mitigate the grid distortion effect on parallel grid-tied inverters. IEEE Trans. Power Electron. 2022, 37, 8404–8419. [Google Scholar] [CrossRef]
- Xu, J.; Xie, S.; Tang, T. Improved control strategy with grid-voltage feedforward for LCL-filter-based inverter connected to weak grid. IET Power Electron. 2014, 7, 2660–2671. [Google Scholar] [CrossRef]
- Gao, J.; Tu, C.; Guo, Q.; Xiao, F.; Jiang, F.L.; Lu, B. Impedance Reshaping Control Method to Improve Weak Grid Stability of Grid-Connected Inverters. In Proceedings of the IECON 2020 the 46th Annual Conference of the IEEE Industrial Electronics Society, Singapore, 19–21 October 2020; pp. 1342–1346. [Google Scholar]
- Li, X.; Fang, J.; Tang, Y.; Wu, X. Robust design of LCL filters for single-current-loop-controlled grid-connected power converters with unit PCC voltage feedforward. IEEE J. Emerg. Sel. Top. Power Electron. 2017, 6, 54–72. [Google Scholar] [CrossRef]
- Chen, B.; Zeng, C.B.; Miao, H.; Hong, C. Improved voltage feedforward method for improving robust stability of grid-connected inverters in weak grids. J. Electr. Power Sci. Technol. 2021, 36, 118–124. [Google Scholar]
- Zeng, C.; Wang, H.; Li, S.; Miao, H. Grid-voltage-feedback active damping with lead compensation for LCL-type inverter connected to weak grid. IEEE Access 2021, 9, 106813–106823. [Google Scholar] [CrossRef]
- Wang, H.; Zeng, C.; Miao, H. A phase compensation algorithm of a grid-connected inverter based on a feedforward multi-resonant grid voltage. Power Syst. Prot. Control 2021, 49, 81–89. [Google Scholar]
- Wang, G.; Du, X.; Shi, Y.; Yang, Y.; Sun, P.; Li, G. Effects on oscillation mechanism and design of grid-voltage feedforward in grid-tied converter under weak grid. IET Power Electron. 2019, 12, 1094–1101. [Google Scholar] [CrossRef]
- Xie, Z.; Chen, Y.; Wu, W.; Gong, W.; Guerrero, J.M. Stability enhancing voltage feed-forward inverter control method to reduce the effects of phase-locked loop and grid impedance. IEEE J. Emerg. Sel. Top. Power Electron. 2020, 9, 3000–3009. [Google Scholar] [CrossRef]
- Pang, B.; Li, F.; Dai, H.; Nian, H. High Frequency Resonance Damping method for voltage source converter based on voltage feedforward control. Energies 2020, 13, 1591. [Google Scholar] [CrossRef]
- Yang, D.; Ruan, X.; Wu, H. Impedance shaping of the grid-connected inverter with LCL filter to improve its adaptability to the weak grid condition. IEEE Trans. Power Electron. 2014, 29, 5795–5805. [Google Scholar] [CrossRef]
- Xia, W.; Kang, J. Stability of LCL-filtered grid-connected inverters with capacitor current feedback active damping considering controller time delays. J. Mod. Power Syst. Clean Energy 2017, 5, 584–598. [Google Scholar] [CrossRef]
- Zhu, K.; Sun, P.; Zhou, L.; Du, X.; Luo, Q. Frequency-Division Virtual Impedance Shaping Control Method for Grid-Connected Inverters in a Weak and Distorted Grid. IEEE Trans. Power Electron. 2020, 35, 8116–8129. [Google Scholar] [CrossRef]
- Wang, H.; Chen, Y.; Wu, W.; Liao, S.; Wang, Z.; Li, G.; Guo, J. Impedance Reshaping Control Strategy for Improving Resonance Suppression Performance of a Series-Compensated Grid-Connected System. Energies 2021, 14, 2844. [Google Scholar] [CrossRef]
- Sun, J. Impedance-based stability criterion for grid-connected inverters. IEEE Trans. Power Electron. 2011, 26, 3075–3078. [Google Scholar] [CrossRef]
- Xue, T.; Sun, P.; Xu, Z.; Luo, Q. Feedforward phase compensation method of LCL grid-connected inverter based on all-pass filter in weak grid. IET Power Electron. 2020, 13, 4407–4416. [Google Scholar] [CrossRef]

















| Parameter | Value | Parameter | Value |
|---|---|---|---|
| vg/V | 220 | kp | 0.55 |
| vin/V | 400 | kr | 75 |
| L1/mH | 2 | ωi | π |
| L2/mH | 0.5 | kpp | 0.833 |
| Cf/μF | 8 | kpi | 107.88 |
| kc | 0.1 | H1 | 0.15 |
Disclaimer/Publisher’s Note: The statements, opinions and data contained in all publications are solely those of the individual author(s) and contributor(s) and not of MDPI and/or the editor(s). MDPI and/or the editor(s) disclaim responsibility for any injury to people or property resulting from any ideas, methods, instructions or products referred to in the content. |
© 2023 by the authors. Licensee MDPI, Basel, Switzerland. This article is an open access article distributed under the terms and conditions of the Creative Commons Attribution (CC BY) license (https://creativecommons.org/licenses/by/4.0/).
Share and Cite
Li, S.; Huang, S.; He, W.; Zhang, D. Admittance Remodeling Strategy of Grid-Connected Inverter Based on Improving GVF. Electronics 2023, 12, 2122. https://doi.org/10.3390/electronics12092122
Li S, Huang S, He W, Zhang D. Admittance Remodeling Strategy of Grid-Connected Inverter Based on Improving GVF. Electronics. 2023; 12(9):2122. https://doi.org/10.3390/electronics12092122
Chicago/Turabian StyleLi, Shengqing, Simin Huang, Weihua He, and Dong Zhang. 2023. "Admittance Remodeling Strategy of Grid-Connected Inverter Based on Improving GVF" Electronics 12, no. 9: 2122. https://doi.org/10.3390/electronics12092122
APA StyleLi, S., Huang, S., He, W., & Zhang, D. (2023). Admittance Remodeling Strategy of Grid-Connected Inverter Based on Improving GVF. Electronics, 12(9), 2122. https://doi.org/10.3390/electronics12092122
