Additive Manufacturing of a Miniaturized X-Band Single-Ridge Waveguide Magic-T for Monopulse Radar Applications
Abstract
1. Introduction
2. T-Junctions
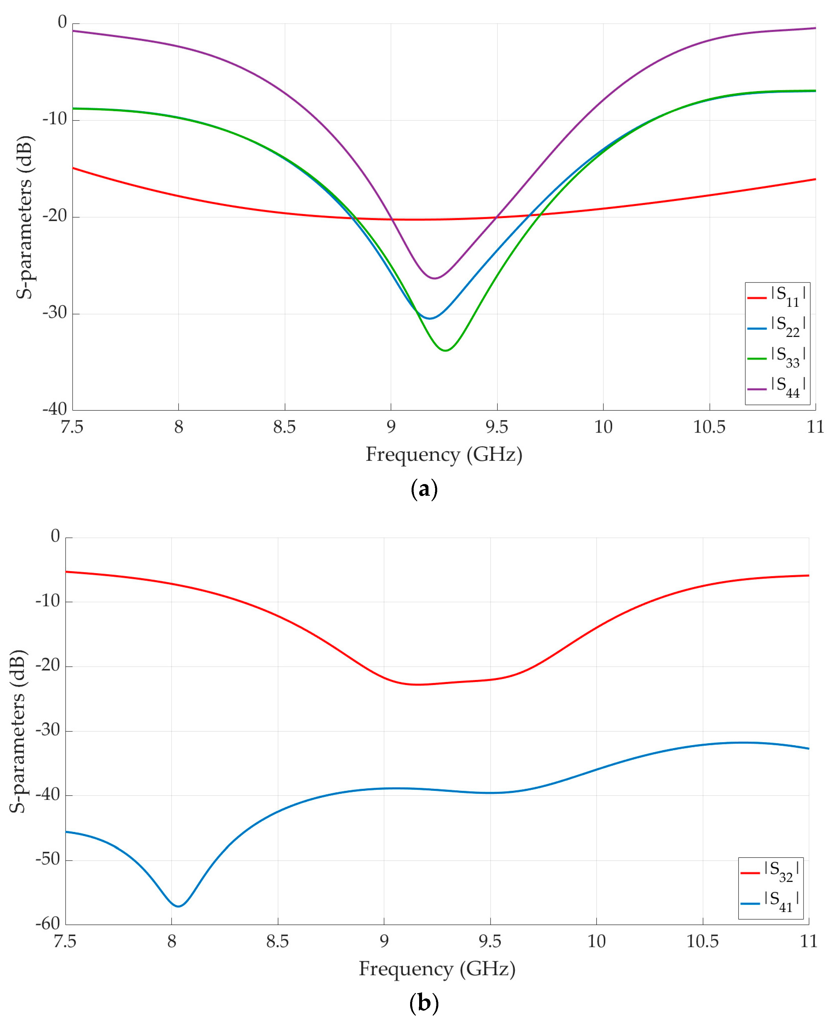
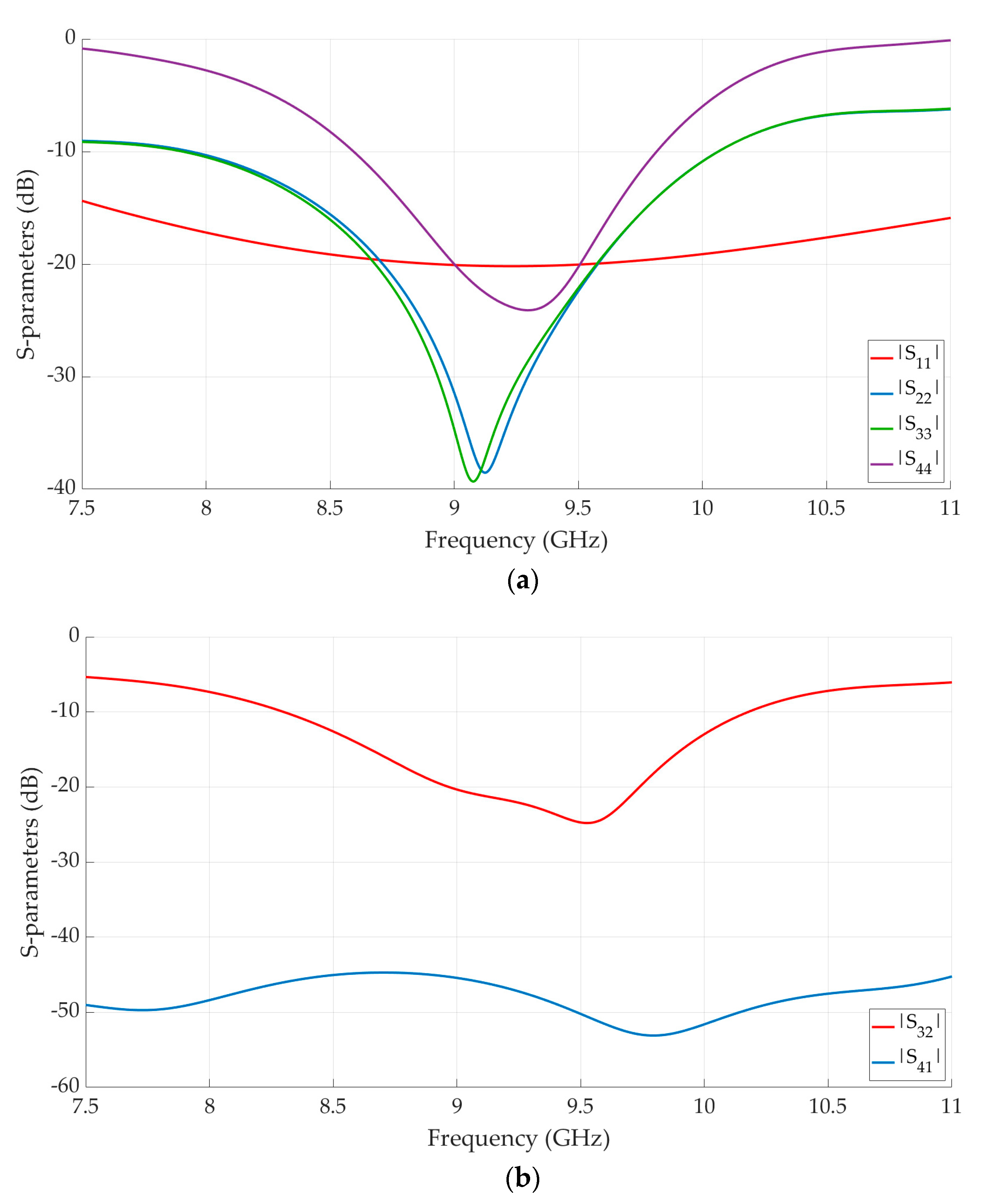
3. Magic-T
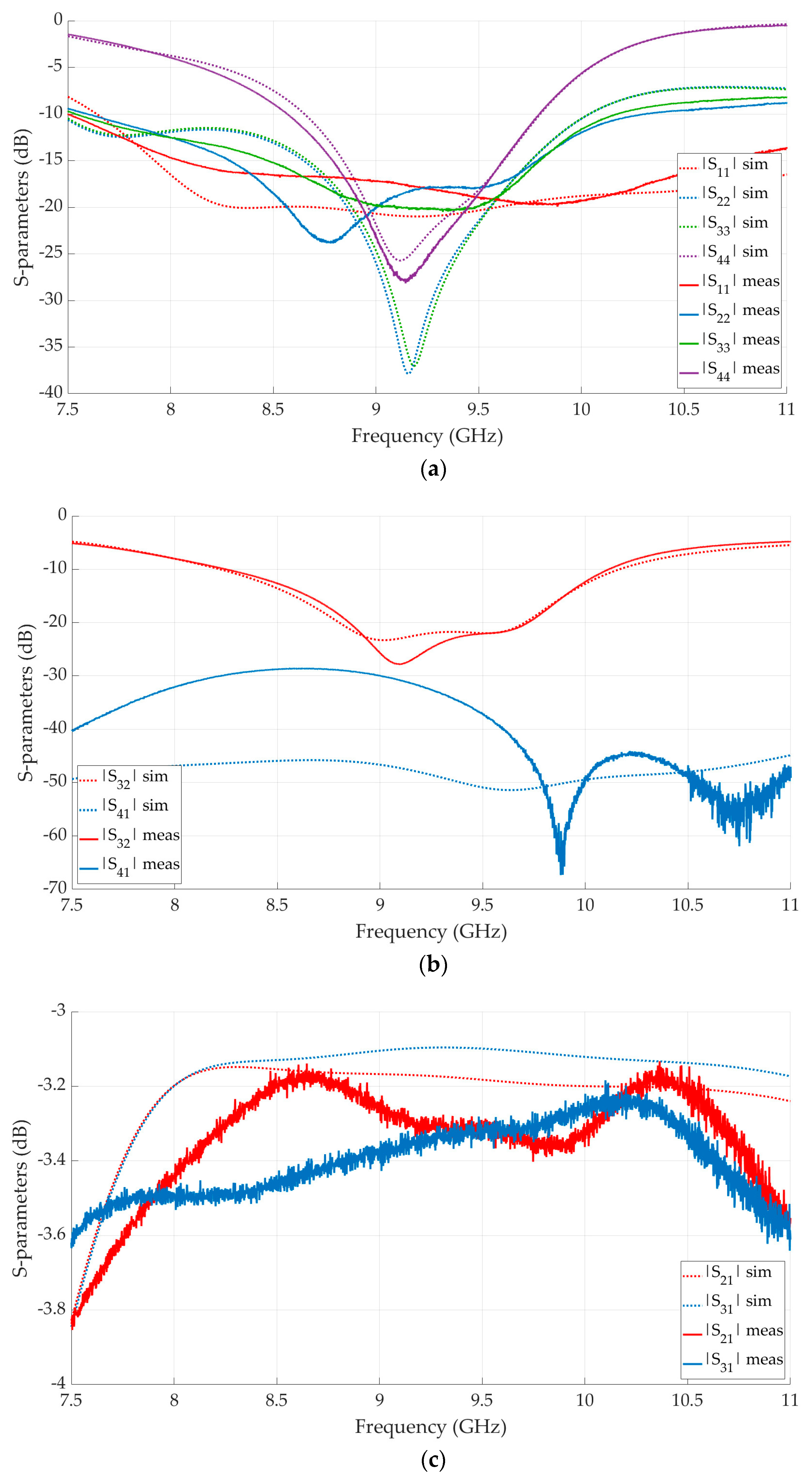
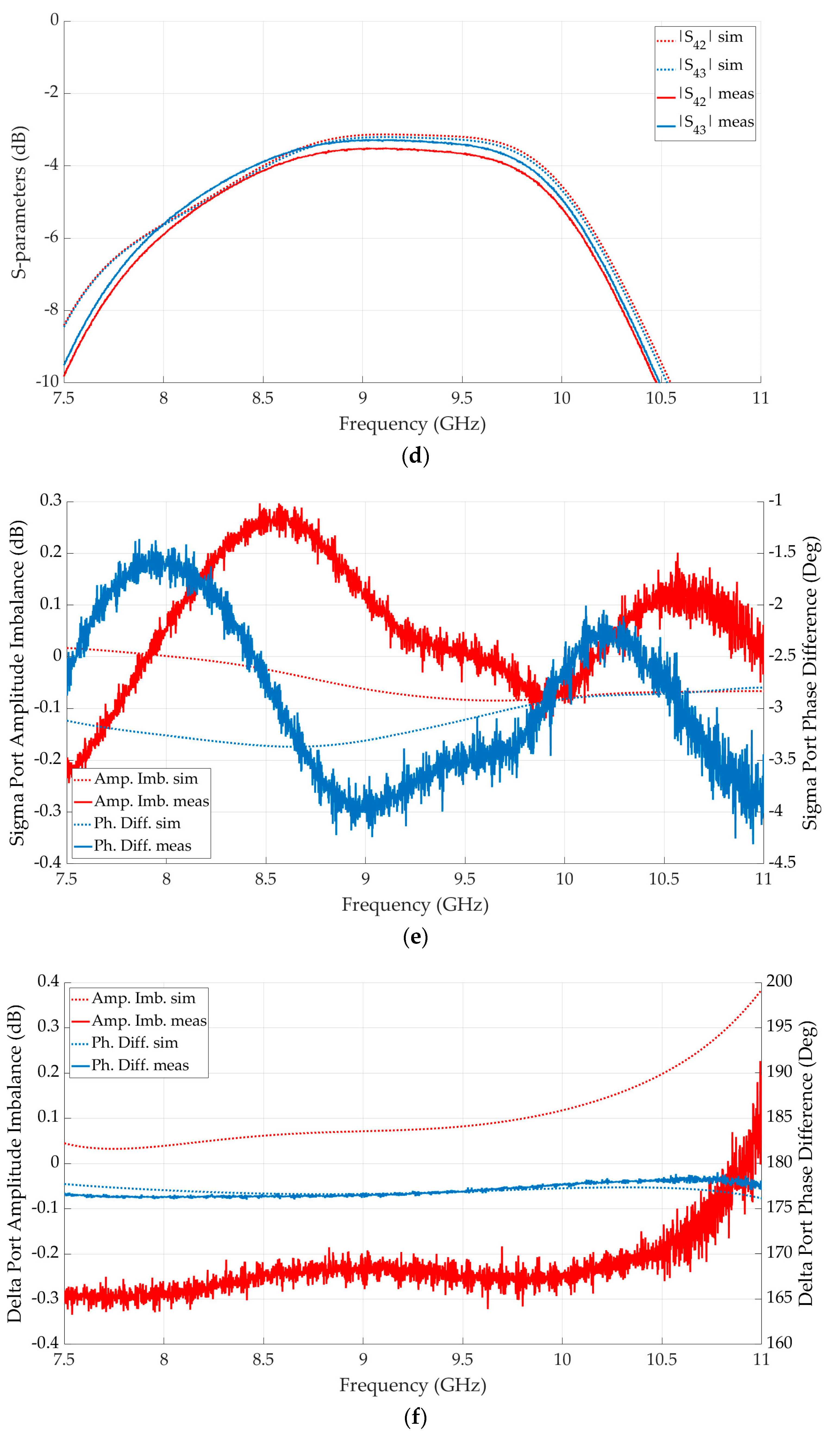
4. Magic-T Manufacturing and Test
5. Conclusions
Author Contributions
Funding
Institutional Review Board Statement
Informed Consent Statement
Data Availability Statement
Acknowledgments
Conflicts of Interest
References
- Pozar, D. Microwave Engineering, 4th ed.; John Wiley & Sons: Hoboken, NJ, USA, 2011. [Google Scholar]
- Gatti, R.V.; Rossi, R. A dual-polarization slotted waveguide array antenna with polarization-tracking capability and reduced sidelobe level. IEEE Trans. Antennas Propag. 2016, 64, 1567–1572. [Google Scholar] [CrossRef]
- Gatti, R.V.; Rossi, R. A dual circularly polarized slot-fed horn array antenna with linear polarization tracking feature. Wiley Int. J. RF Microw. Comput.-Aided Eng. 2018, 28, e21480. [Google Scholar] [CrossRef]
- Hopfer, S. The design of ridged waveguides. IRE Trans. Microw. Theory Technol. 1955, 3, 20–29. [Google Scholar] [CrossRef]
- He, Y.-J.; Mo, D.-Y.; Wu, Q.-S.; Chu, Q.-X. A ka-band waveguide magic-t with coplanar arms using ridge-waveguide transition. IEEE Microw. Wirel. Compon. Lett. 2017, 27, 965–967. [Google Scholar] [CrossRef]
- Guo, L.; Li, J.; Huang, W.; Shao, H.; Ba, T.; Jiang, T.; Jiang, Y.; Deng, G. A waveguide magic-t with coplanar arms for high-power solid-state power combining. IEEE Trans. Microw. Theory Technol. 2017, 65, 2942–2952. [Google Scholar] [CrossRef]
- Bunn, H.; Whitten, C. Ridged Waveguide Magic Tee. Patent US3315183A, University of California. 1967. Available online: https://patents.google.com/patent/US3315183 (accessed on 12 September 2022).
- Siekanowicz, W.; Paglione, R. Broadband Double-Ridge Waveguide Magic Tee, Patent US3629734A, RCA Corp. 1971. Available online: https://patents.google.com/patent/US3629734A/en (accessed on 12 September 2022).
- Yuan, C.; Luo, Y.; Meng, F.; Chen, G. A full-frequency band matching structure of double-ridge magic t. In Proceedings of the 2016 2nd International Conference on Advances in Energy, Environment and Chemical Engineering (AEECE 2016); Springer Nature: Berlin/Heidelberg, Germany, 2016. [Google Scholar] [CrossRef]
- Wu, J.; Wang, C.; Guo, Y. Ridged waveguide magic tees based on 3-d printing technology. IEEE Trans. Microw. Theory Technol. 2020, 68, 4267–4275. [Google Scholar] [CrossRef]
- Gatti, R.V.; Rossi, R.; Dionigi, M.; Spigarelli, A. An x-band compact and low-profile waveguide magic-t. Wiley Int. J. RF Microw. Comput.-Aided Eng. 2019, 29, e21854. [Google Scholar] [CrossRef]
- Rossi, R.; Gatti, R.V. An h-plane groove gap waveguide magic-t for x-band applications. Electronics 2022, 11, 4075. [Google Scholar] [CrossRef]
- Huang, G.-L.; Zhou, S.-G.; Chio, T.-H.; Yeo, T.-S. Two types of waveguide comparator for wideband monopulse antenna array application. In Proceedings of the 2015 IEEE 5th Asia-Pacific Conference on Synthetic Aperture Radar (APSAR), Singapore, 1–4 September 2015. [Google Scholar] [CrossRef]
- Singh, Y.; Chakrabarty, A. Design and sensitivity analysis of highly compact comparator for ku-band monopulse radar. In Proceedings of the 2006 International Radar Symposium, Krakow, Poland, 24–26 May 2006. [Google Scholar] [CrossRef]
- Mohammadi, M.; Kashani, F.; Ghalibafan, J. A compact planar monopulse combining network at w-band. In Proceedings of the 2009 5th IEEE GCC Conference & Exhibition, Kuwait, 17–19 March 2009. [Google Scholar] [CrossRef]
- Mohammadi, M.; Kashani, F. Planar eight port waveguide mono-pulse comparator. Prog. Electromagn. Res. C 2009, 6, 103–113. [Google Scholar] [CrossRef]
- Peverini, O.; Addamo, G.; Lumia, M.; Virone, G.; Calignano, F.; Lorusso, M.; Manfredi, D. Additive manufacturing of ku/k-band waveguide filters: A comparative analysis among selective-laser melting and stereo-lithography, IET Microwave. Antennas Propag. 2017, 11, 1936–1942. [Google Scholar] [CrossRef]
- Van Caekenberghe, K.; Bleys, P.; Craeghs, T.; Pelk, M.; Van Bael, S. A w-band waveguide fabricated using selective laser melting. Wiley Microw. Opt. Technol. Lett. 2012, 54, 2572–2575. [Google Scholar] [CrossRef]
- Calignano, F.; Peverini, O.; Addamo, G.; Iuliano, L. Accuracy of complex internal channels produced by laser powder bed fusion process. J. Manuf. Process. 2020, 54, 48–53. [Google Scholar] [CrossRef]
- Gatti, R.V.; Rossi, R.; Dionigi, M. X-band right-angle coaxial-to-single ridge waveguide compact transition with capacitive coupling. IET Electron. Lett. 2019, 55, 103–105. [Google Scholar] [CrossRef]














| Parameter | Description | Value (mm) | Parameter | Description | Value (mm) |
|---|---|---|---|---|---|
| a | Waveguide width | 13.00 | rh | Ridge height | 4.00 |
| b | Waveguide height | 5.50 | rw | Ridge width | 4.00 |
| lm1 | Matching length 1 | 5.82 | wm1 | Matching width 1 | 2.56 |
| lm2 | Matching length 2 | 8.98 | wm2 | Matching width 2 | 1.16 |
| Parameter | Description | Value (mm) | Parameter | Description | Value (mm) |
|---|---|---|---|---|---|
| a | Waveguide width | 13.00 | st | Slot thickness | 1.00 |
| b | Waveguide height | 5.50 | sw | Slot width | 5.92 |
| rh | Ridge height | 4.00 | sw1 | Slot width 1 | 1.52 |
| rw | Ridge width | 4.00 | sw2 | Slot width 2 | 1.54 |
| rx | Ridge length | 6.77 | xl | Septum length | 3.98 |
| sh | Short distance | 8.03 | xt | Septum thickness | 2.72 |
| sl | Slot length | 12.68 |
| Parameter | TSMT Value (mm) | XSMT Value (mm) | Parameter | TSMT Value (mm) | XSMT Value (mm) |
|---|---|---|---|---|---|
| a | 13.00 | 13.00 | st | 2.00 | 2.00 |
| b | 5.50 | 5.50 | sw | 4.84 | 5.19 |
| lm1 | 3.24 | 4.24 | sw1 | 1.00 | 1.00 |
| lm2 | 9.06 | 8.80 | sw2 | 1.00 | 1.00 |
| rh | 4.00 | 4.00 | wm1 | 1.00 | 2.39 |
| rw | 4.00 | 4.00 | wm2 | 1.56 | 1.38 |
| rx | 6.53 | 6.50 | xl | 3.72 | 3.83 |
| sh | 7.47 | 10.82 | xt | 2.84 | 2.21 |
| sl | 12.80 | 12.35 |
| Parameter | Core | Up-Skin (2 Layers) | Down-Skin (3 Layers) | Contour |
|---|---|---|---|---|
| Scan speed (mm/s) | 800 | 800 | 900 | 900 |
| Laser power (W) | 195 | 190 | 190 | 80 |
| Hatching distance (mm) | 0.17 | 0.1 | 0.1 |
Disclaimer/Publisher’s Note: The statements, opinions and data contained in all publications are solely those of the individual author(s) and contributor(s) and not of MDPI and/or the editor(s). MDPI and/or the editor(s) disclaim responsibility for any injury to people or property resulting from any ideas, methods, instructions or products referred to in the content. |
© 2023 by the authors. Licensee MDPI, Basel, Switzerland. This article is an open access article distributed under the terms and conditions of the Creative Commons Attribution (CC BY) license (https://creativecommons.org/licenses/by/4.0/).
Share and Cite
Rossi, R.; Vincenti Gatti, R.; Calignano, F.; Iuliano, L.; Chiarandini, S. Additive Manufacturing of a Miniaturized X-Band Single-Ridge Waveguide Magic-T for Monopulse Radar Applications. Electronics 2023, 12, 1124. https://doi.org/10.3390/electronics12051124
Rossi R, Vincenti Gatti R, Calignano F, Iuliano L, Chiarandini S. Additive Manufacturing of a Miniaturized X-Band Single-Ridge Waveguide Magic-T for Monopulse Radar Applications. Electronics. 2023; 12(5):1124. https://doi.org/10.3390/electronics12051124
Chicago/Turabian StyleRossi, Riccardo, Roberto Vincenti Gatti, Flaviana Calignano, Luca Iuliano, and Simona Chiarandini. 2023. "Additive Manufacturing of a Miniaturized X-Band Single-Ridge Waveguide Magic-T for Monopulse Radar Applications" Electronics 12, no. 5: 1124. https://doi.org/10.3390/electronics12051124
APA StyleRossi, R., Vincenti Gatti, R., Calignano, F., Iuliano, L., & Chiarandini, S. (2023). Additive Manufacturing of a Miniaturized X-Band Single-Ridge Waveguide Magic-T for Monopulse Radar Applications. Electronics, 12(5), 1124. https://doi.org/10.3390/electronics12051124

