Next Article in Journal
SOINN Intrusion Detection Model Based on Three-Way Attribute Reduction
Previous Article in Journal
Real-Time Low-Light Imaging in Space Based on the Fusion of Spatial and Frequency Domains
 
 
Font Type:
Arial Georgia Verdana
Font Size:
Aa Aa Aa
Line Spacing:
Column Width:
Background:
Article

Design Optimization of an Automotive Permanent-Magnet Synchronous Motor by Combining DOE and NMGWO

1
College of Mechanical and Electrical Engineering, China University of Petroleum, Qingdao 266580, China
2
National Engineering Research Center of Marine Geophysical Prospecting and Exploration and Development Equipment, Qingdao 266580, China
3
SAIC Volkswagen Automotive Co., Ltd., Shanghai 201800, China
4
Wuhan Alliance Electrical Technology Co., Ltd., Wuhan 432900, China
*
Author to whom correspondence should be addressed.
Electronics 2023, 12(24), 5024; https://doi.org/10.3390/electronics12245024
Submission received: 13 October 2023 / Revised: 7 December 2023 / Accepted: 12 December 2023 / Published: 15 December 2023

Abstract

:
This study proposes an optimization methodology for automotive permanent-magnet synchronous motors (PMSMs) to achieve maximum efficiency, maximum average torque, and minimum torque ripple. Many geometrical parameters can be used to define the PMSM of an automobile. To identify the most significant parameters for optimization, the fractional factorial design of the design of experiment (DOE) was employed for screening, considering the interaction effects. The central composite design was used to construct the proxy model between the optimization target and optimization variable, and the effectiveness of the model was judged. Aiming at the multi-objective optimization problem of a motor, a new mechanism for grey wolf optimizer (NMGWO) algorithm combining an elite reverse learning strategy, a local search strategy, and a nonlinear control parameter strategy is innovatively proposed. This algorithm was applied to solve the multi-objective optimization model. The numerical calculation results show that this is an effective optimization design method that can improve the performance of automotive PMSMs. The effectiveness of the NMGWO algorithm on the optimization results of permanent-magnet synchronous motors is verified by the experimental results.

1. Introduction

A PMSM has the advantages of a simple structure, small size, low noise, and high efficiency, which have attracted widespread attention in the automotive field [1,2]. For electric instrument vehicles, the complex road conditions in oil fields require sufficient output torque during operation, high reliability, strong environmental adaptability, and high operating efficiency. Thus, the driving motor for electric instrument vehicles must have high efficiency, large output torque, and small torque ripple. It is necessary to continuously strive to increase investment in material research, torque improvement, increased efficiency, and optimized control [3]. Thus, the optimization of motor performance is very important.
With the rapid development of permanent-magnet motor technology, Gillon and others have applied the DOE to optimize a permanent-magnet motor to improve the motor’s electromagnetic torque and no-load back EMF [4,5]. Kurihara and other scholars used methods based on the time-stepped finite element method and the response surface method of the DOE in the single-phase, capacitor circuit, permanent-magnet synchronous motor to maximize efficiency [6]. The permanent-magnet synchronous motor design process involves several parameters, each having a different degree of influence on the optimization objective. Furthermore, the DOE can quantify the degree of influence of each parameter on the objective function and screen out the significant factors [7,8,9]. Response surface methodology is often used in the optimal design of electromagnetic devices to fit a more accurate model [10,11,12,13]. This is followed by optimization of the resulting target response surface. The above studies have achieved certain results in optimizing permanent-magnet synchronous motors by using the ability of the DOE to solve complex parameter designs. However, the interaction effect between factors and the effect of mixing situations were not considered in the analysis process, especially in screening significant factors.
The definition of a permanent-magnet synchronous machine is a multi-parameter problem. Meanwhile, optimizing the machine’s parameters is very complex and requires considerable computing and experimental time. To avoid this issue, a fractional factorial design was used to reduce the number of experiments, conduct significant variable screening, and determine which variables significantly impact the performance indicators [14,15]. The design of experiment (DOE) was adopted. The DOE test design method is a scientific method to deal with multi-factor testing [16,17]. It can obtain better process optimization parameters [18] through reduced test times and is widely used in process and structure optimization [19].
In 2014, Mirjalili et al. proposed the grey wolf optimization (GWO) algorithm by simulating the leadership and hunting mechanism of grey wolf populations in nature. The simulation results showed that the GWO algorithm is highly competitive in exploration, exploitation, local optimum avoidance, and convergence [20]. However, the GWO algorithm also has the same defects common to many population intelligence optimization algorithms, such as a low convergence accuracy, slow late convergence, and easy premature convergence. The simplex method has been used [21] to improve the GWO algorithm, based on the reflection, expansion, outer contraction, and inner contraction operations of the simplex method, to improve the current population of poorer individuals to avoid falling into the local optimum. The literature [22] demonstrates an improved grey wolf position update formula by introducing the particle swarm algorithm and combining the position information of the individual optimal value and the population optimal value to avoid premature convergence. A previous study [23] introduced the Cauchy variation operator to improve the probability of premature convergence of the GWO algorithm and used it for the optimal allocation of independent microgrid capacity. Regarding the multi-objective optimization problem of electric motors, the traditional grey wolf optimization (GWO) algorithm has the common shortcomings of numerous swarm intelligence optimization algorithms, including low convergence accuracy, slow convergence speed in the later stage, and easy premature convergence [20,24]. The article proposes a multi-objective optimization design method for the PMSM based on the improved grey wolf optimization algorithm.
The optimization objectives are to maximize motor efficiency, average torque, and minimum torque ripple [25,26], primarily utilizing elite reverse learning strategies to initialize the population and increase its diversity. The nonlinear control parameter strategy has been adopted to balance the local and global search ability and accelerate the rate of convergence speed of the algorithm; the local search strategy of the downhill simplex algorithm was introduced to avoid the premature convergence stagnation of the population [27].
In this study, an optimization procedure based on the DOE and NMGWO methods was employed to obtain an optimum design of the automotive PMSM to achieve maximum efficiency, maximum average torque, and minimum torque ripple simultaneously. Then, a fractional factorial design was used to screen activity and identify the main factors that significantly influence the responses (efficiency, average torque, and torque ripple). To ensure a good convergence for the performance of the automotive PMSM, the improved grey wolf algorithm was innovatively proposed. All simulation experiments were performed using FEM. Finally, the validity of the optimization solution was experimentally verified.

2. Structural Design and Design Variables of the PMSM

According to the technical requirements of the PMSM, combined with the design theory of a permanent-magnet motor and the empirical formula, the performance parameters of the motor were determined. The characteristics of various rotor structures were compared and analyzed, and the built-in “V+1” rotor structure was selected, as shown in Figure 1. According to the performance parameters of the motor, the stator and rotor structure, main size, air gap, slot size, permanent-magnet size, and other important structural parameters were preliminarily designed. Meanwhile, to reduce the cogging torque and torque ripple, the stator winding was selected as an integer slot double-layer distributed winding, and a 48-slot/8-pole machine was selected.
The stator slot size will affect the magnetic flux leakage and torque characteristics of the motor, so the stator slot opening, stator slot shoulder height, and stator slot shoulder angle were selected as design variables. As the designed rotor structure adopts the “V + 1” structure, the distance between the two layers of permanent magnets will affect the magnetic field distribution. In addition, the outer bridge thickness of the V-shaped permanent magnet can change the distance between the permanent magnets and affect the no-load magnetic leakage coefficient of the motor, thus it was selected as a design variable. Additionally, given that the air gap length is an important parameter in the motor design, it was selected as a design variable. The length of the motor core greatly influences copper loss, iron loss, and stray loss and was also selected as a design variable. In summary, six parameter variables, including the stator slot opening, stator slot shoulder height, stator slot shoulder angle, V-shaped permanent-magnet outer bridge thickness, air gap length, and iron core length, were selected as design variables.
The initial value of the design variable is not the optimal solution of the optimization objective [28,29]. It is, therefore, necessary to optimize the design variables for the optimization objective. Generally, the optimal value range of design variables can be determined according to the following constraints:
(i)
Bt ≤ 1.9 T, Bj ≤ 1.6 T;
(ii)
J ≤ 10 A·mm−2;
(iii)
Sf ≤ 70%;
where Bt is the mean magnetic density of the stator teeth, Bj is the magnetic density of the stator yoke, J is the stator winding current density, and Sf is the slot filling rate. In this study, 1.9 T, 1.6 T, and 70% are empirical values. When Bt  <  1.9 T and Bj <  1.6 T, the motor has a good performance and long operating life, and Sf <  70% is reasonable for installing windings.
According to the principle of symmetry, a smaller value and a larger value than the initial value were selected; they were set to a low and high level, respectively. The value range of the design variable obtained is shown in Table 1.

3. Fractional Factor Design and Screening

If we have k variables, and each variable has n levels, the number of simulations or experiments for a full factorial design can be given by:
Ne = nk
The number of simulations or experiments increases exponentially when the number of parameters increases. To avoid this, the fractional factorial design was used to reduce the number of simulations and determine which factors significantly affect the studied responses.
Confusion is unavoidable when the fractional factorial design is used. Confusion represents a merger among the contributions of the main effects of the parameters, between the contributions of the main effects and the interaction effects, or among the contributions of the different order interaction effects. According to the influence results, the interaction effect between variables can be defined as a no interaction effect, positive interaction effect, or reverse interaction effect. According to the number of variables in the interactive item, it can be divided into second order, third order, fourth order, etc. [16]. According to the actual application, most interaction effects are non-existent or negligible, so the specific application is mainly the second-order interaction effect.
Due to the presence of confounding, significant variables are difficult to determine and may be mistakenly excluded without accurate analysis. To avoid this situation, we attempted to mix the main or second-order interaction effect with the higher-order interaction effect when selecting the resolution of the fractional factorial design. Meanwhile, for convenience of analysis, the following assumptions were made [30]:
(i)
If a group of confounders can be ignored, all effects contained in that group can also be ignored.
(ii)
If a second-order interaction effect is determined to be a significant term, the two variables that make up the second-order effect can be identified as significant.
The available factor design and resolution are listed in Table 2. “All” indicates the complete factorial design and Roman numerals indicate the resolution of the corresponding fractional factorial design.
According to Table 2, if there are six design variables, fractional factorial design schemes with resolutions of III, IV, and VI are usable. Since the fractional factorial design with a resolution of III is a hybrid of the main and second-order effects, it is not possible to directly determine which variables are significant among those that make up the hybrid. The fractional factorial designs with resolutions of IV and VI can separately estimate the main effect and second-order interaction effect, and the corresponding design scheme for IV has fewer runs. Thus, the 2IV6-2 design solution was selected, and the detailed fractional factorial design experimental table is presented in Table 3. A, B, C, D, E, and F represent the six variables. The experimental results can be obtained through finite element simulation. Compared to actual experiments, it not only achieves the goal of screening significant variables but also saves time and economic costs.
For the 2IV6-2 design scheme, a resolution of IV indicates confusion between the main and third-order interaction effects and between one second-order interaction effect and another. As higher-order interaction effects above the third order are not considered, only the remaining second-order interaction effects are mixed, as shown in Table 4.
In the case of fractional factor analysis, only the “representatives” of the confounding items are usually considered for inclusion in the model. Taking the confusion “AB + CE” as an example, only the term “AB” is chosen during the analysis when the actual result is the joint contribution of “AB + CE.” Thus, if the result of the representative AB is remarkable, we must determine which term(s) truly work. If the result of the representative AB is not remarkable, we can determine that all the interaction effect terms comprising the confusion are non-significant.
The Pareto chart can help determine the most significant factors. The abscissa of the Pareto chart is the absolute value of t obtained by the t-test. The critical value of t is determined according to the significance level αs and degree of freedom of error terms. The term with an absolute value of t that exceeds the critical value of t will be selected as the significant factor. The critical value of t value is equal to the margin error, ME, and its value is calculated using the following formula:
ME = t α s ( n e ) PSE
where tαs(ne) is the quantile of (1 − αs/2) of the t distribution, which can be obtained from the quantile table of the t-distribution, and ne is an effector.
PSE is the pseudo-standard error in the Lawrence method when the degree of freedom of the error term is zero.
To ensure that the results of the significance test are correct, the value of αs is first taken as 0.05. The Pareto effect plot of the efficiency obtained when αs = 0.05 is shown in Figure 2a.
For efficiency, A, D, E, and F are significant variables in the main effects, while AC and AF are significant confounding terms. For the confounding term AC, also known as “AC + BE,” due to the strong significance of E and the critical significance of B, it can be posited that the confounding term is mainly influenced by BE; therefore, B and E are significant variables. For the confounding term AF, also known as “AF + DE,” it is easy to conclude that A, D, E, and F are significant variables. In summary, A, B, D, E, and F are significant variables.
When αs = 0.05, the Pareto effect diagram of the average torque is shown in Figure 2b. For the average torque, A, D, E, and F are significant variables in the main effects, with significant confounding terms including AD, AE, and AF. For the confounding term AD, also known as “AD + EF,” A, D, E, and F can be significant variables. For the confounding term AE, also known as “AE + BC,” since B and C are not significant variables, it can be considered that the confounding term is mainly influenced by A; therefore, A and E are significant variables. The analysis of AF is the same as before, therefore A, D, E, and F are significant variables.
When αs = 0.05, for torque ripple, there is no significant interaction effect, and only A is a significant item in the main effect; therefore, the only significant variable is A. To obtain sufficient significant variables and make the subsequent response surface fitting process more accurate, the values should be reasonably increased. When αs = 0.10, the Pareto effect diagram of torque ripple obtained is shown in Figure 2c.
For torque ripple, A, D, and E are significant variables in the main effects, and the significant confounding term is AF. The analysis of AF is the same as before; therefore, A, D, E, and F are significant variables.
The “DOE mean plots” are used to establish a mutual corroboration with the above analysis to fix significant factors, as shown in Figure 3. The DOE mean plot is ideally suited for determining significant factors. The plot presents mean values for the two or more levels of each plotted factor. The mean values for a single factor are connected by a straight line and can be expressed as:
M x i l e v e l = R x i l e v e l K
where x represents design variables, i-level represents each level, Rxi-level is the response value of factor x at the i-level, and K is the number of response values of factor x at the i-level.
The DOE mean plot complements the traditional analysis of the variance of designed experiments. The plot reveals which factors are important and then ranks the list of the important factors. The DOE mean plot is qualitative and does not provide a definitive answer to the question, but it does help categorize factors as “clearly important,” “clearly not important,” and “borderline important.”
Figure 3 shows that five variables are identified as significant variables, namely stator slot opening Ws, stator slot shoulder height Ht, external bridge thickness Tb of a V-shaped permanent magnet, air gap length δ, and iron core length Lef. These are also significant variables for efficiency. Moreover, the significant variables for both average torque and torque ripple are stator slot opening Ws, external bridge thickness Tb of a V-shaped permanent magnet, air gap length δ, and iron core length Lef. After screening significant variables, the non-significant variables in the subsequent design process were taken as the initial value; that is, the stator slot shoulder angle At was taken as 20°.
Through fractional factorial design and significance analysis, the screening of significant variables was completed on the basis of considering the interaction effects and confounding effects between variables. This laid the foundation for adopting the improved grey wolf algorithm for multi-objective optimization in the next step.

4. Fitting Model

The response surface methodology (RSM) is a statistical tool used to build an empirical model by finding the relationship between the design variables and response through a statistical fitting method. The true functional relationship between responses and variables is complicated to determine. Thus, the relationship has to be approximated. The second-order model is used to predict a curvature response more accurately under fewer variables. A second-order response surface model that might describe this relationship is given by:
Y = β 0 + i = 1 k β i x i + i = 1 k β i i x i 2 + i j k β i j x i x j + ε
where β is the regression coefficient, k is the number of design variables, and ε is a statistical error.
In RSM, further analysis can be conveniently performed if the natural design variables are transformed into coded variables. They are usually defined as dimensionless quantities with a mean of zero and the same spread or standard deviation. The regression coefficients do not influence one another and can be compared directly after coding. The coding rule is written as:
x i C o d e = x i ( x i H i g h + x i L o w ) / 2 ( x i H i g h x i L o w ) / 2
The fitted model should be examined to ensure it provides an adequate approximation for response. The determination coefficient used for the quality estimate of the fitted model can be expressed as:
R 2 = S S M o d e l S S T o t a l = 1 S S E r r o r S S T o t a l
where SSModel is the sum of squares explained by the fitted model, SSError is the sum of squares of error, and SSTotal is the total sum of squares.
Numerous experimental designs can be used to create a response surface. These designs include the central composite design (CCD) and the Box–Behnken design. The CCD has been widely used to fit a second-order response surface. In this study, the CCD was chosen to estimate the curvature properties of the response surface and to complete the modeling. The CCD comprises three kinds of experimental points, each with a coded coordinate value:
(1)
Cube point (or corner point): The coordinate values of each cube point are 1 or −1.
(2)
Center point: The three-dimensional coordinate values of the center point are zero.
(3)
Star point: One of the three-dimensional coordinate values of the star point is m or −m, whereas the others are zero.
The value of m is related to the rotatability and the number of design variables. According to the value of m, the CCD can be classified as follows (Figure 4): (1) When m = 2k/4, the design is central composite circumscribed design (CCC), where k is the number of design variables; (2) when the value of m is < 1, the design is central composite inscribed design (CCI); and (3) when m is = 1, the design is central composite face-centered design (CCF).
In this study, the CCF design was used. Thus, the star points are at the center of each face of the cube, such that m = ±1. This type requires only three levels (−1, 0, 1) of each factor. The most significant variables for efficiency and cogging torque differ. Thus, the response surface designs are created correspondingly.
MINITAB 20 software was used to analyze the response surface design and fitting model. For convenience, x1 symbolizes Ws, x2 symbolizes Ht, x3 symbolizes Tb, x4 symbolizes δ, and x5 symbolizes Lef. The estimated regression coefficients were calculated, and the three fitted second-order polynomial functions for efficiency, average torque, and torque ripple are as follows:
y ^ η = 92.7465 + 0.05409 x 1 + 0.00876 x 2 0.04971 x 3 + 0.30653 x 4 + 0.04282 x 5 0.00720 x 1 2 0.00970 x 2 2 0.03270 x 3 2 0.00270 x 4 2 + 0.00530 x 5 2 0.00709 x 1 x 2 + 0.00428 x 1 x 3 + 0.00153 x 1 x 4 + 0.00028 x 1 x 5 + 0.00216 x 2 x 3 + 0.00291 x 2 x 4 + 0.00003 x 2 x 5 + 0.03228 x 3 x 4 + 0.00078 x 3 x 5 + 0.00128 x 4 x 5
y ^ T a v e = 109.708 0.70383 x 1 2.07417 x 3 2.84683 x 4 + 8.74239 x 5 0.3444 x 1 2 0.0594 x 3 2 0.0544 x 4 2 0.0344 x 5 2 0.07506 x 1 x 3 0.15369 x 1 x 4 0.05631 x 1 x 5 0.13344 x 3 x 4 0.16656 x 3 x 5 0.22794 x 4 x 5
y ^ T r i p = 14.0987 + 2.1101 x 1 + 0.8822 x 3 0.5522 x 4 + 1.018 x 1 2 0.071 x 3 2 + 0.940 x 4 2 + 0.0478 x 1 x 3 0.3473 x 1 x 4 + 0.5890 x 3 x 4
The determination coefficients of the three fitting models are listed in Table 5, which indicates that the second-order polynomials have good accuracy.
We cannot identify the optimal solution directly from these models; thus, a specific optimization algorithm is needed to search the optimal solutions.

5. NMGWO Algorithm Process and Validity Verification

The improved grey wolf optimization algorithm in this study combines the elite reverse learning strategy, the local search strategy based on the downhill simplex method, and the nonlinear control parameter strategy. NMGWO has a high convergence accuracy, a fast convergence speed, and is not prone to premature convergence. The specific algorithm process of NMGWO is as follows (Figure 5):
To verify the convergence accuracy and speed of the NMGWO algorithm, this study selected nine benchmark functions to evaluate the algorithm’s performance via numerical testing, as listed in Table 6. The comparison algorithms include the particle swarm optimization algorithm (PSO), biogeography algorithm (BBO), genetic algorithm (GA), differential evolution (DE), and basic grey wolf optimization (GWO) algorithm. Moreover, the downhill simplex method was replaced with the simplex method to obtain another improved grey wolf optimization (NIGWO) algorithm. This was compared with the numerical test results of NMGWO. Each algorithm was independently run 30 times in Matlab 2021, and the optimization performance of NMGWO was tested by counting the maximum function value, minimum function value, average function value, and standard deviation of the seven algorithms.
The population size of all seven algorithms was 30, and the maximum number of iterations was set to 500. For NMGWO, the sensitive parameter α = 3, and the termination tolerance adopted the default value of ε = 1.0 × 10−4. For NIGWO, the reflection coefficient ρ = 1, expansion coefficient γ = 2, and internal (external) contraction coefficient β = 0.5 in the simplex method; for PSO, the maximum speed νmax = 6, the maximum and minimum values of inertia weight were ωmax = 0.9 and ωmin = 0.2, respectively, and the acceleration constant c1 = c2 = 2; for BBO, the proportion of fixed habitats was rate = 0.2, and the mutation probability was Pm = 0.1; for GA, the crossover rate Pc = 0.8 and the mutation rate Pm = 0.1; for DE, the scaling factor F = 0.5 and the crossover factor Cr = 0.3.
For the statistical result to be more intuitive and visual, box plots were used to display the numerical results of these seven algorithms, as shown in Figure 6. Compared with the other six algorithms, NMGWO can find the best objective values for different benchmark functions. The box plots of NMGWO are at the lowest position, which indicates that the average value obtained by NMGWO was the smallest. The box plots of NMGWO show a smaller box thickness and fewer outliers, indicating that the NMGWO algorithm has a strong searching ability and good stability.
When multiple objectives need to be achieved in practical engineering application scenarios, it is difficult to obtain the absolute optimal solution due to the internal conflicts among these objectives. In addition, the optimization of one objective is at the cost of the deterioration of other objectives. The trade-off is to coordinate or compromise between the objectives to find a feasible solution that makes each objective as optimal as possible. Typically, such problems can be described by the following mathematical model:
{ min f ( x ) = [ f 1 ( x ) , f 2 ( x ) , , f m ( x ) ] s . t . x = ( x 1 , x 2 , , x n ) X a j x j b j , j = 1 , 2 , , n
where f ( x ) = [ f 1 ( x ) , f 2 ( x ) , , f m ( x ) ] is the objective function vector and x = ( x 1 , x 2 , , x n ) are the decision variables.
The multi-objective optimization problem mentioned above does not have an absolute optimal solution, and the feasible solution obtained by trade-off is called a non-inferior or Pareto solution. Generally, the feasible solution obtained by a traditional optimization method each time is part of the Pareto solution set. More Pareto solutions can be obtained by using the population intelligent optimization algorithm. These solutions form an optimal solution set called the Pareto optimal solution set. In practical problem solving, the Pareto optimal solution set is usually selected according to the demands for the optimization objective.
For the multi-objective optimization problem min f(X), let X1, X2Xf (the set of feasible solutions), where X1 weakly dominates X2 if f(X1) ≤ f(X2) and X1 dominates X2 if f(X1) < f(X2). Let X*Xf. If X∈ Xf that dominates X* does not exist, then X* is a weakly Pareto optimal solution; if X* prevails over X for all ∀XXf, then X* is a full Pareto optimal solution; if XXf that weakly prevails over X* does not exist, then X* is a strong Pareto optimal solution. All of the solutions that satisfy the Pareto optimal solution condition can constitute the Pareto optimal solution set, which can be generally expressed as [31]:
P * = { X X f | X X f , f i ( X ) f i ( X )   ( i = 1 , 2 , , m ) }
For the multi-objective motor optimization problem in this study, the efficiency and average torque in the optimization target are maximized. Therefore, the objective function shall be transformed. Multiplying the response model of the two by “−1” can be equivalent to the minimization problem. Meanwhile, the design variable has been coded in Section 4; the value interval of each variable is [−1, 1], and it is a continuous variable. Therefore, the mathematical model of the multi-objective optimization problem is:
{ min f ( x ) = [ y η ( x ) , y T a v e ( x ) , y T r i p ( x ) ] s . t . x = ( x 1 , x 2 , x 3 , x 4 , x 5 ) 1 x j 1 , j = 1 , 2 , , 5
Referring to the multi-objective gray wolf algorithm, introducing an archive unit component and a leader selection strategy extends the previously proposed NMGWO algorithm into a multi-objective version [32].
(1)
Archiving unit components
The key aspect of the archive unit component, which saves or retrieves the non-dominated Pareto optimal solutions up to the current iteration loop, is the archive controller. Since the archive unit component presets the maximum number of archives, the archive controller controls the presence of feasible solutions when they expect to enter the archive or when the number of archives has been maximized. During the iteration process, the undominated Pareto solution obtained up to the current iteration (the new solution) is compared with the solution in the archive unit. There are generally four possible scenarios:
(i)
At least one solution in the archive cell that (weakly) prevails over the new solution. In this case, the new solution cannot be entered into the archive cell.
(ii)
The new solution (weakly) prevails over one or more solutions in the archive cell. In this case, the new solution can enter the archive unit.
(iii)
If the new solution and the solutions in the archive cell do not dominate each other, then the new solution should be added to the archive cell.
(iv)
If the archive cell reaches the maximum number of archives, the grid mechanism should first be run to rearrange the partitioning of the target vector space; then, the most crowded part of the space, i.e., that containing the highest number of solutions, should be found and one of the solutions should be deleted. Finally, new solutions are inserted into the least crowded part to improve the diversity of the Pareto optimal front.
(2)
Leader selection strategy
In GWO, alpha, beta, and delta wolves can be easily obtained. However, in multi-objective search space summarization, comparisons to derive a leader for the gray wolf population based on the aforementioned concept of Pareto optimality are not readily available. The leader selection strategy tries to take the least crowded portion of the archive unit from which the alpha, beta, and delta wolves are provided. The selection is carried out by roulette, and the probability of each section being selected, obtained by the grid mechanism, is as follows:
P i = c / N i
where c is constant and greater than 1, and Ni represents the number of Pareto solutions obtained in part i. This equation shows that the less crowded each segmented part is, the higher the probability of providing a leader. It should be noted that since there are three leaders, there will be cases where leaders are provided from different parts. If there are more than three solutions in the least congested part, three will be randomly assigned as leaders; if there are less than three solutions in the least congested part, leaders will continue to be selected from the second least congested portion; if the number of solutions is insufficient to provide a satisfactory number of leaders, leaders will continue to be provided from the other uncongested parts.
Refer to the previously mentioned parameter settings where the initial population size was set to 150 to increase the diversity of the Pareto solution. The Pareto front obtained after 500 iterations of optimization searching is shown in Figure 7. The point that meets the requirements of high efficiency, high average torque, and smaller torque pulsation should be the origin of the coordinates in the graph. However, there is no optimal solution for the distribution of the origin; therefore, the region close to the origin meets the requirements, and the principle of selection can lead to a significant improvement in each optimization objective. After comparing the optimal solution for each Pareto in the region, the point indicated by the red arrow in the three indicators is improved. Therefore, we make a tradeoff, and the point indicated by the red arrow in the figure is chosen as a compromise solution; the coded and actual values of the design variables are shown in Table 7. After optimization, the stator slot opening Ws is 2.67 mm, the stator slot shoulder height Ht is 1.164 mm, the external bridge thickness Tb of the V-type permanent magnet is 1.72 mm, the air gap length δ is 0.79 mm, and the core length Lef is 135 mm. For ease of expression and analytical intuition, let x1 denote the stator slot opening Ws, x2 denote the stator slot shoulder height Ht, x3 denote the external bridge thickness Tb of the V-type permanent magnet, x4 denote the air gap length δ, and x5 denote the core length Lef.
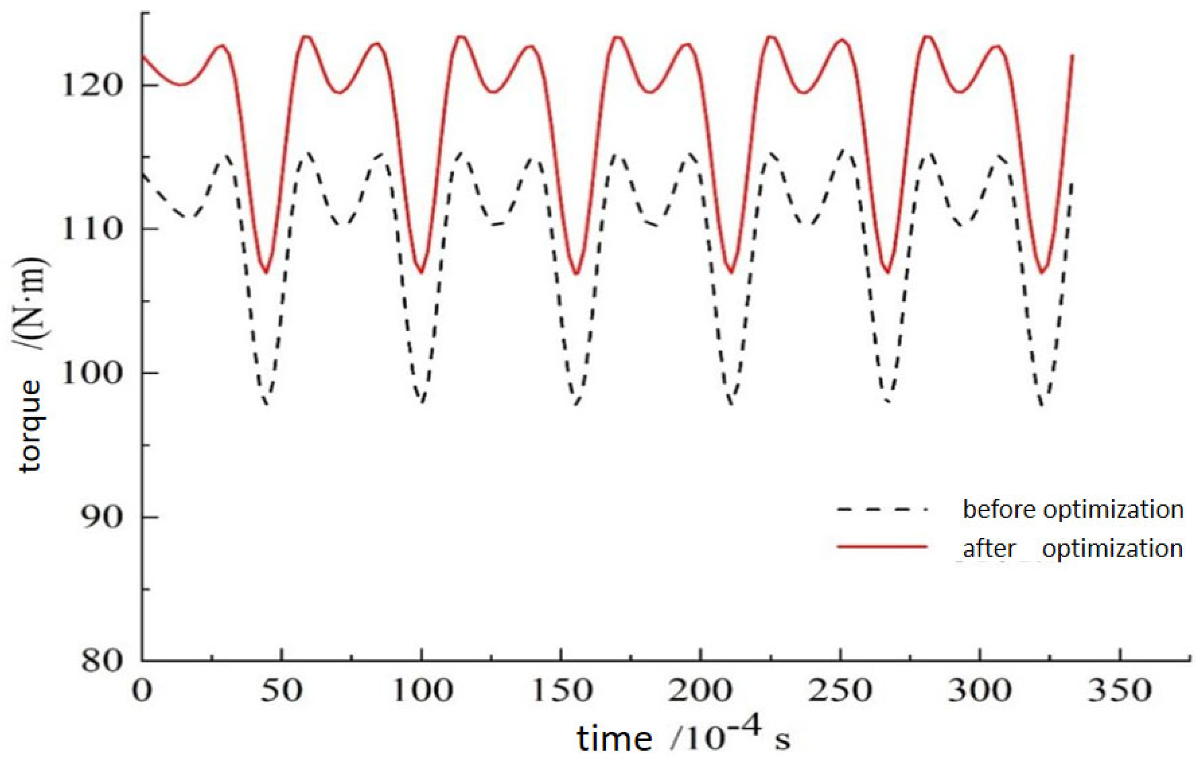
After obtaining the optimized values of the design variables, a finite element simulation of the permanent-magnet synchronous motor was carried out, and the optimized performance indexes are shown in Table 8. Compared with the pre-optimization period, the efficiency was improved by 0.31%, the average torque was improved by 7.73%, and the torque pulsation was reduced by 13.54%. The high initial efficiency of the motor results showed a less significant improvement after optimization, but the overall performance indexes were significantly improved. Figure 8 shows the comparison of motor output torque before and after optimization.
Figure 9 shows the distribution of magnetic force lines and flux density at the moment of t = 0 after optimization. It can be seen that the magnetic force lines were uniformly distributed. The maximum flux density at that moment was 2.2 T. Throughout the simulation, the average flux density of the stator teeth was 1.157 T, the average flux density of the stator tooth tips was 1.226 T, and the average flux density of the stator yoke was 1.012 T, which are all within the constraint conditions.
In the whole optimization process, the role of the agent model is to quickly predict the motor’s performance, and the heuristic algorithm’s role is to find the optimal solution based on the prediction information of the agent model and the optimization objective. When considering the parameter changes during the motor operation, these parameters can be used as constraints or optimization variables in the heuristic algorithm.

6. PMSM Prototype Manufacturing and Test Verification

To verify the operating performance of the optimized built-in permanent-magnet synchronous motor as well as the validity and accuracy of the simulation results, the optimized motor design scheme was used to carry out the trial production of the physical prototype and build the test bench. In the process of building the test bench, the installation position of the torque-speed sensor is shown in Figure 10. The performance parameters of the motor and controller are shown in Table 9 and Table 10, respectively.
According to the optimization results, an automotive permanent-magnet synchronous motor prototype was manufactured and the test was carried out, as shown in Figure 11.
It can be seen from the figure that the trial production prototype was fixed on the test bench, and the torque-speed sensor was installed between the motor output shaft and the dynamometer. The dynamometer was used to load and control the motor speed for the bench test.
The data for the permanent-magnet synchronous motor were collected through the bench test, and the rated external characteristic curve and efficiency cloud diagram of the test prototype were obtained, as shown in Figure 12 and Figure 13, respectively. The motor efficiency MAP diagram mainly reflects the distribution of motor efficiency under different speeds and torques. The points with the same efficiency were connected into a loop and directly projected onto the plane to form a horizontal curve; the loops with different efficiencies did not coincide. From the efficiency MAP diagram, we can obtain the maximum efficiency value that the motor can achieve, as well as the motor speed and motor torque corresponding to this value.
As can be seen from Figure 12, due to the existence of experimental errors and the limitation of limited sampling and other factors, the rated external characteristic curve of the test prototype was not sufficiently smooth. However, the constant torque interval and constant power interval can be vaguely seen. The torque characteristic curve shows that the torque of the motor was approximately 110 N·m–120 N·m in the constant torque interval. The power characteristic curve shows that the motor’s output power fluctuated up and down by 55 kW in the constant power interval. These results show that the rated torque of the tested motor was approximately 110 N·m–120 N·m, the rated speed was approximately 4500 rpm, and the rated power was approximately 55 kW, which met the determined design requirements.
Analyzing the measured efficiency MAP diagram of the prototype, it can be seen that in the electric state, when the rotational speed was 4500 rpm and the torque was 118 N·m, the motor’s efficiency was within the 93–94% range. When the motor speed was > 1000 rpm, the motor efficiency in most areas reached> 90%. This is consistent with the conclusion of the motor efficiency simulation MAP diagram. Observing the simulated and measured efficiency MAP diagrams, it is apparent that the coherence of the efficiency dividing line and the location of the dividing line corresponding to different efficiencies show a high degree of consistency. Due to the richer amount of data collected in the actual test, the measured efficiency MAP diagram is more coherent in the consistency of the dividing line. Therefore, this diagram can more consistently reflect the changes in efficiency.
The measured output torque fluctuation of the prototype is shown in Figure 14, with an average torque of 117.852 N·m and a torque pulsation of 12.702%. This is within the error tolerance and is relatively consistent with the simulation results after optimization.
Based on the above experimental results, the effectiveness of the NMGWO algorithm proposed in this paper on the optimization of permanent-magnet synchronous motors has been proven.

7. Conclusions

In this study, the maximization of motor efficiency, maximization of average torque, and minimization of torque pulsation were selected as the optimization objectives. Optimization variables were selected, and significance screening was completed. The NMGWO algorithm, which combines the gray wolf algorithm, elite backward learning strategy, downhill simplex method, and nonlinear control parameter strategy, was proposed to improve the accuracy and convergence speed of the traditional gray wolf algorithm. The standard test function was used to test the improvement effect and showed that this method effectively improves the performance of a permanent-magnet synchronous motor. Finally, the prototype test was carried out according to the optimized design scheme, and the measured efficiency MAP cloud chart, rated external characteristic curve, and output torque fluctuation chart of the motor were obtained through the test. The simulation results were compared with the test results to verify the validity of the NMGWO algorithm for the optimization of the permanent-magnet synchronous machine.

Author Contributions

Conceptualization, J.C., F.C. and J.Z.; methodology, J.Z. and L.T.; validation, F.C. and J.Z.; formal analysis, F.C.; investigation, J.C.; resources, W.X.; writing—original draft preparation, F.C. and J.Z.; writing—review and editing, J.C.; supervision, W.X.; project administration, H.H.; funding acquisition, H.H. and J.Z. All authors have read and agreed to the published version of the manuscript.

Funding

This research was supported by the National Key R&D Program of China (2021YFB3401400, 2021YFB3401402), the Shandong Provincial Central Government Guiding Funds for Local Science and Technology Development (YDZX20203700002959), and the COSL Science and Technology Development Project (G2315B-0620T026).

Data Availability Statement

The data presented in this study are available upon request from the corresponding author.

Conflicts of Interest

Author J.Z. was employed by the company SAIC Volkswagen Automotive Co., Ltd. Author H.H. was employed by the company Wuhan Alliance Electrical Technology Co., Ltd. The remaining authors declare that the research was conducted in the absence of any commercial or financial relationships that could be construed as a potential conflict of interest. The authors declare that this study received funding from Ministry of Science and Technology, Science and Technology Department of Shandong Province and COSL. The funder was not involved in the study design, collection, analysis, interpretation of data, the writing of this article or the decision to submit it for publication.

References

  1. Liu, X.P.; Hu, W.P.; Ding, W.Z. Research on multi-parameter identification method of permanent magnet synchronous motor. Diangong Jishu Xuebao 2020, 35, 1198–1207. [Google Scholar]
  2. Bernard, N.; Dang, L.; Olivier, J.C.; Bracikowski, N.; Berthiau, G. Design Optimization of High-Speed PMSM for Electric Vehicles. In Proceedings of the IEEE Vehicle power and Propuision Conference (VPPC), Montreal, QC, Canada, 19–22 October 2015. [Google Scholar]
  3. Peng, L.; Huang, X.D.; Li, C.X. Development status and technical challenges of automotive permanent magnet synchronous motors. China Stand. 2023, 626, 208–211. [Google Scholar]
  4. Gillon, F.; Brochet, P. Optimization of a Brushless permanent magnet motor with the Experimental Design Method. IEEE Trans. Magn. 1998, 34, 3648–3651. [Google Scholar] [CrossRef]
  5. Gillon, F.; Brochet, P. Shape optimization of a permanent magnet motor using the experimental design method. IEEE Trans. Magn. 1999, 35, 1278–1281. [Google Scholar] [CrossRef]
  6. Kurihara, K.; Ito, T.; Imaizumi, Y.; Kubota, T. Efficiency maximization of a single-phase capacitor-run permanent-magnet motor using response surface methodology. In Proceedings of the 12th International Conference on Electrical Machines and Systems, Tokyo, Japan, 15–18 November 2009. [Google Scholar]
  7. Gillon, F.; Brochet, P. Screening and response surface method applied to the numerical optimization of electromagnetic devices. IEEE Trans. Magn. 2000, 36, 1163–1167. [Google Scholar]
  8. Kim, K.C.; Koo, D.H.; Lee, J. The study on the overhang coefficient for permanent magnet machine by experimental design method. IEEE Trans. Magn. 2007, 43, 2483–2485. [Google Scholar] [CrossRef]
  9. Costa, M.C.; Nabeta, S.I.; Dietrich, A.B. Optimization of a switched reluctance motor using experimental design method and diffuse elements response surface. IEE P-SCI Meas. Tech. 2004, 151, 411–413. [Google Scholar] [CrossRef]
  10. Giurgea, S.; Fodorean, D.; Cirrincione, G. Multimodel optimization based on the response surface of the reduced FEM simulation model with application to a PMSM. IEEE Trans. Magn. 2008, 44, 2153–2157. [Google Scholar] [CrossRef]
  11. Fujishima, Y.; Wakao, S.; Yamashita, A. Design optimization of a permanent magnet synchronous motor by the response surface methodology. J. Appl. Phys. 2002, 91, 8305–8307. [Google Scholar] [CrossRef]
  12. Jabbar, M.A.; Lu, Q.H.; Jolly, L. Application of response surface methodology (RSM) in design optimization of permanent magnet synchronous motors. In Proceedings of the IEEE Region 10 Annual International Conference, Proceedings/TENCON, Chiang Mai, Thailand, 24 November 2004. [Google Scholar]
  13. Hasanien, H.M.; Abd-Rabou, A.S.; Sakr, S.M. Design optimization of transverse fluxlinear motor for weight reduction and performance improvement using response surface methodology and genetic algorithms. IEET Trans. Energy. Conver. 2010, 25, 598–605. [Google Scholar] [CrossRef]
  14. Dai, R.; Zhang, Y.; Wang, H.J. Multi-objective optimization design of high-speed permanent magnet machine based on multi-physics approximate model. Diangong Jishu Xuebao 2022, 37, 5414–5423. [Google Scholar]
  15. Li, X.L.; Li, J.Y.; Yang, G.Y. Multi-Objective Optimization Analysis of Electric-Excitation Double-Stator Field-Modulated Machine. Diangong Jishu Xuebao 2020, 35, 972–982. [Google Scholar]
  16. Min, Y.N. Design of Experiments (DOE) Application Guide, 1st ed.; Mechanical Industry Press: Beijing, China, 2011; pp. 198–310. [Google Scholar]
  17. Ma, L.; He, Z. Six Sigma Management, 1st ed.; Renmin University China Press: Beijing, China, 2004; pp. 1–387. [Google Scholar]
  18. Zhai, L.L.; Liu, H.B.; Huan, H. Optimization of electrochemical machining process of blade based on DOE design. Aviat. Manuf. Technol. 2021, 64, 45–52. [Google Scholar]
  19. Lv, J.H.; Chu, Y.X.; Dang, X.W. Optimization of crankshaft structure based on DOE design. Beihua Univ. J. 2018, 19, 410–416. [Google Scholar]
  20. Mirjalili, S.; Mirjalili, S.M.; Lewis, A. Grey Wolf Optimizer. Adv. Eng. Softw. 2014, 69, 46–61. [Google Scholar] [CrossRef]
  21. Wang, M.N.; Wang, Q.P.; Wang, X.F. Improved grey wolf optimization algorithm based on Iterative mapping and simplex method. J. Comput. Appl. 2018, 38, 16–20. [Google Scholar]
  22. Teng, Z.J.; Lu, J.L.; Guo, L.W. An improved algorithm for hybrid grey wolf optimization based on Tent mapping. J. Harbin Inst. Technol. 2018, 50, 40–49. [Google Scholar]
  23. Zhao, C.; Wang, B.; Sun, Z.X. Optimal allocation of independent microgrid capacity based on improved grey wolf algorithm. Acta. Energiae. Solaris. Sin. 2022, 43, 256–262. [Google Scholar]
  24. Ruan, Z.X.; Xiao, L.F.; Lin, C. Fractional order active disturbance rejection start-up Control Based on random evolution grey wolf optimization. Electr. Mach. Control Appl. 2020, 47, 10–16. [Google Scholar]
  25. Lu, W.J.; Zeng, G.H.; Huang, B.; Wei, Y. Vector control of in-wheel motor based on improved gray wolf optimizer. Manuf. Autom. 2022, 44, 104–109. [Google Scholar]
  26. LI, W.; Du, Z.Q. PMSM parameter identification based on improved grey wolf optimization algorithm. Modul. Mach. Tool Autom. Manuf. Tech. 2020, 4, 113–117. [Google Scholar]
  27. Zhang, M.J.; Long, D.Y.; Wang, X. Research on convergence of grey wolf optimization algorithm based on markov chain. Acta Electron. Sin. 2020, 48, 1587–1595. [Google Scholar]
  28. Cui, J.G. Optimal Study of the Electromagnetic Parameters of Low-Speed High-Torque Submersible Permanent Magnet Synchronous Motor. Ph.D. Thesis, China University of Petroleum (East China), Qingdao, China, 2014. [Google Scholar]
  29. Liu, G.H.; Wang, Y.Y.; Chen, Q. Multi-objective optimization of an asymmetric v-shaped interior permanent magnet synchronous motor. Diangong Jishu Xuebao 2018, 33, 385–393. [Google Scholar]
  30. Cui, J.G.; Xiao, W.S.; Zou, W.Q. Design optimization of submersible permanent magnet synchronous motor by combined DOE and Taguchi approach. IET Electric. Power. App. 2020, 14, 1060–1066. [Google Scholar] [CrossRef]
  31. Zheng, J.H. Multi-Objective Evolutionary Optimization, 2nd ed.; Science Press: Beijing, China, 2017; pp. 69–106. [Google Scholar]
  32. Mirjalili, S.; Saremi, S.; Mirjalili, S.M. Multi-objective grey wolf optimizer: A novel algorithm for multi-criterion optimization. Expert. Syst. Appl. 2016, 47, 106–119. [Google Scholar] [CrossRef]
Figure 1. Initial configuration of the analysis model.
Figure 1. Initial configuration of the analysis model.
Electronics 12 05024 g001
Figure 2. Standardized effect diagram with response as efficiency, average torque, and torque ripple. (a) Pareto chart for efficiency; (b) Pareto chart for average torque; (c) Pareto chart for torque ripple.
Figure 2. Standardized effect diagram with response as efficiency, average torque, and torque ripple. (a) Pareto chart for efficiency; (b) Pareto chart for average torque; (c) Pareto chart for torque ripple.
Electronics 12 05024 g002
Figure 3. DOE mean plots. (a) Mean plot of efficiency; (b) Mean plot of average torque; (c) Mean plot of torque ripple.
Figure 3. DOE mean plots. (a) Mean plot of efficiency; (b) Mean plot of average torque; (c) Mean plot of torque ripple.
Electronics 12 05024 g003
Figure 4. Experimental point distribution of CCD for three variables. (a) CCC; (b) CCF; (c) CCI.
Figure 4. Experimental point distribution of CCD for three variables. (a) CCC; (b) CCF; (c) CCI.
Electronics 12 05024 g004
Figure 5. Specific algorithm process of NMGWO.
Figure 5. Specific algorithm process of NMGWO.
Electronics 12 05024 g005
Figure 6. Box plots of seven algorithms on benchmark functions. (a) F1; (b) F2; (c) F3; (d) F4; (e) F5; (f) F6; (g) F7; (h) F8; (i) F9.
Figure 6. Box plots of seven algorithms on benchmark functions. (a) F1; (b) F2; (c) F3; (d) F4; (e) F5; (f) F6; (g) F7; (h) F8; (i) F9.
Electronics 12 05024 g006
Figure 7. Pareto optimal solution.
Figure 7. Pareto optimal solution.
Electronics 12 05024 g007
Figure 8. Comparison of output torque before and after optimization.
Figure 8. Comparison of output torque before and after optimization.
Electronics 12 05024 g008
Figure 9. Distribution of magnetic field line and magnetic flux density at t = 0.
Figure 9. Distribution of magnetic field line and magnetic flux density at t = 0.
Electronics 12 05024 g009
Figure 10. Installation position diagram of torque speed sensor.
Figure 10. Installation position diagram of torque speed sensor.
Electronics 12 05024 g010
Figure 11. Prototype test.
Figure 11. Prototype test.
Electronics 12 05024 g011
Figure 12. Rated external characteristic curve of the test prototype.
Figure 12. Rated external characteristic curve of the test prototype.
Electronics 12 05024 g012
Figure 13. Measured efficiency MAP diagram of the prototype.
Figure 13. Measured efficiency MAP diagram of the prototype.
Electronics 12 05024 g013
Figure 14. Comparison of test and simulation output torques.
Figure 14. Comparison of test and simulation output torques.
Electronics 12 05024 g014
Table 1. Design variable value range.
Table 1. Design variable value range.
SymbolNameInitial Low Level High Level
WsStator slot opening/mm2.92.53.3
HtStator slot shoulder height/mm1.1010.9011.301
AtStator slot shoulder angle/201525
TbV-shaped permanent-magnet external bridge thickness/mm2.21.72.7
δAir gap length/mm0.70.60.8
LefIron core length/mm125115135
Table 2. Available factor design and resolution.
Table 2. Available factor design and resolution.
RunFactor (Number of Variables)
23456789101112131415
4AllIII
8 AllIVIIIIIIIII
16 AllVIVIVIVIIIIIIIIIIIIIIIIIIIII
32 AllVIIVIVIVIVIVIVIVIVIV
64 AllVIIVIVIVIVIVIVIVIV
128 AllVIIIVIVVIVIVIVIV
Table 3. Fractional factorial design experiment table and simulation results.
Table 3. Fractional factorial design experiment table and simulation results.
Standard SequenceRunning SequenceABCDEFη/%Tave/(N·m)Trip/%
WsHtAtTbδLef
112.50.901151.70.611592.386105.31014.228
1522.51.301252.70.613592.225119.53014.342
332.51.301151.70.813593.031118.13011.729
1342.50.901252.70.811592.86696.73414.983
853.31.301251.70.811593.03899.12815.670
1063.30.901152.70.813593.089111.61018.312
772.51.301251.70.611592.271105.23015.591
1283.31.301152.70.611592.311100.79018.754
992.50.901152.70.613592.288119.54014.731
16103.31.301252.70.813593.113111.44019.263
4113.31.301151.70.613592.549122.67018.285
2123.30.901151.70.811593.02999.20115.882
11132.51.301152.70.811592.89096.68615.005
5142.50.901251.70.813593.000118.16012.418
14153.30.901252.70.611592.326100.76019.180
6163.30.901251.70.613592.576122.64018.676
Table 4. Mixed second-order interaction effects.
Table 4. Mixed second-order interaction effects.
No.Mixed Item
1AB + CE
2AC + BE
3AD + EF
4AE + BC
5AF + DE
6BD + CF
7BF + CD
Table 5. Determination index of fitting model.
Table 5. Determination index of fitting model.
ObjectiveR2
Efficiency99.91%
Average torque100.00%
Torque ripple98.72%
Table 6. Benchmark functions.
Table 6. Benchmark functions.
Expression of FunctionDimensionSearch Interval
F 1 ( x ) = i = 1 n x i 2 30[−100, 100]
F 2 ( x ) = i = 1 n | x i | + i = 1 n | x i | 30[−10, 10]
F 3 ( x ) = i = 1 n ( j = 1 i x j ) 2 30[−100, 100]
F 4 ( x ) = i = 1 n 1 [ 100 ( x i + 1 x i 2 ) 2 + ( x i 1 ) 2 ] 30[−30, 30]
F 5 ( x ) = i = 1 n ( [ x i + 0.5 ] ) 2 30[−100, 100]
F 6 ( x ) = i = 1 n [ x i 2 10 cos ( 2 π x i ) + 10 ] 30[−5.12, 5.12]
F 7 ( x ) = 20 exp ( 0.2 1 n i = 1 n x i 2 ) exp ( 1 n i = 1 n cos ( 2 π x i ) ) + 20 + e 30[−32, 32]
F 8 ( x ) = π n { 10 sin ( π y 1 ) + i = 1 n 1 ( y i 1 ) 2 [ 1 + 10 sin 2 ( π y i + 1 ) ] + ( y n 1 ) 2 } + i = 1 n u ( x i , 10 , 100 , 4 ) y i = 1 + x i + 1 4 30[−50, 50]
F 9 ( x ) = 0.1 { sin 2 ( 3 π x 1 ) + i = 1 n ( x i 1 ) 2 [ 1 + sin 2 ( 3 π x i + 1 ) ] + ( x n 1 ) 2 [ 1 + sin 2 ( 2 π x n ) ] } + i = 1 n u ( x i , 5 , 100 , 4 ) 30[−50, 50]
Table 7. Design variable value corresponding to the compromise point.
Table 7. Design variable value corresponding to the compromise point.
Variablex1x2x3x4x5
Encoding values−0.58720.3129−0.96430.86621.0000
Actual value2.671.1641.720.79135
Table 8. Comparison of performance indexes before and after optimization.
Table 8. Comparison of performance indexes before and after optimization.
Efficiency/%Average Torque/(N·m)Torque Ripple/%
Before optimization92.750109.6914.076
After optimization93.034118.1712.170
Optimization rate+0.31%+7.73%−13.54%
Table 9. Parameters of permanent-magnet synchronous motor.
Table 9. Parameters of permanent-magnet synchronous motor.
Rated Power
(kW)
Rated Torque
(Nm)
Rated Speed
(rpm)
Peak Power
(kW)
Peak Torque
(Nm)
Maximum Speed
(rpm)
55116.7245001103509000
Table 10. Parameters of controller.
Table 10. Parameters of controller.
Product ModelIngress ProtectionPower Supply ControlPeak Voltage
KTZ38X45S-1C05EIP6712/24 VDC450 VDC
Current ratingPeak currentCooling methodWork schedule
250 Arms450 ArmsLiquid coolingS9
Disclaimer/Publisher’s Note: The statements, opinions and data contained in all publications are solely those of the individual author(s) and contributor(s) and not of MDPI and/or the editor(s). MDPI and/or the editor(s) disclaim responsibility for any injury to people or property resulting from any ideas, methods, instructions or products referred to in the content.

Share and Cite

MDPI and ACS Style

Cui, J.; Cui, F.; Zhang, J.; Huang, H.; Tan, L.; Xiao, W. Design Optimization of an Automotive Permanent-Magnet Synchronous Motor by Combining DOE and NMGWO. Electronics 2023, 12, 5024. https://doi.org/10.3390/electronics12245024

AMA Style

Cui J, Cui F, Zhang J, Huang H, Tan L, Xiao W. Design Optimization of an Automotive Permanent-Magnet Synchronous Motor by Combining DOE and NMGWO. Electronics. 2023; 12(24):5024. https://doi.org/10.3390/electronics12245024

Chicago/Turabian Style

Cui, Junguo, Fanqiang Cui, Jun Zhang, Hongsheng Huang, Liping Tan, and Wensheng Xiao. 2023. "Design Optimization of an Automotive Permanent-Magnet Synchronous Motor by Combining DOE and NMGWO" Electronics 12, no. 24: 5024. https://doi.org/10.3390/electronics12245024

APA Style

Cui, J., Cui, F., Zhang, J., Huang, H., Tan, L., & Xiao, W. (2023). Design Optimization of an Automotive Permanent-Magnet Synchronous Motor by Combining DOE and NMGWO. Electronics, 12(24), 5024. https://doi.org/10.3390/electronics12245024

Note that from the first issue of 2016, this journal uses article numbers instead of page numbers. See further details here.

Article Metrics

Back to TopTop